Investigation of Zinc and Phosphorus Elements Incorporated into Micro-Arc Oxidation Coatings Developed on Ti-6Al-4V Alloys
Abstract
:1. Introduction
2. Experimental
2.1. Materials and MAO Treatment
2.2. Measurement
2.2.1. Surface Characterization
2.2.2. The Measurement of Zn and P concentration
3. Results
3.1. Results of the Orthogonal Experiment
3.2. Effects of Processing Factors on Coating Property
3.2.1. Surface Morphology and Chemical Composition of the MAO Film
3.2.2. XRD Analysis
3.2.3. XPS Analysis
3.3. Zn and P Concentrations
4. Discussion
4.1. How Zn Enters MAO Coatings
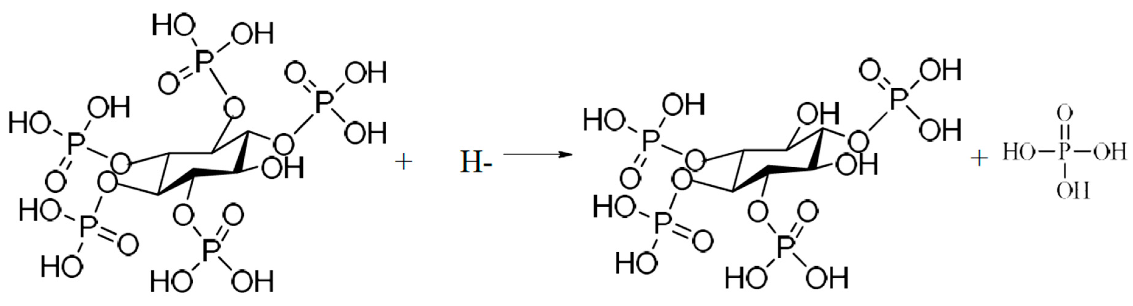
4.2. How P Enters the MAO Coatings
5. Conclusions
- (1)
- Zn element in MAO coatings combined with P element exists in the form of Zn3(PO4)2. Zn enters into MAO coatings with P from phytic acid, while P takes part in coating formation mainly by diffusion.
- (2)
- The impact of factors on the Zn content in MAO coatings is as follows: phytic acid concentration > KOH concentration > EDTA-ZnNa2 concentration > treating time, while the influencing order on the P amount is phytic acid concentration > KOH concentration > treating time> EDTA-ZnNa2 concentration.
- (3)
- Phytic acid is beneficial to the development of MAO coatings, while NaOH inhibits the coating formation. With the increase of phytic acid concentration or the decrease of KOH concentration, the contents of Zn and P in MAO coatings present similar increasing tendencies.
Acknowledgments
Author Contributions
Conflict of Interest
References
- Geetha, M.; Singh, A.K.; Asokamani, R.; Gogia, A.K. Ti based biomaterials, the ultimate choice for orthopaedic implants—A review. Prog. Mater. Sci. 2009, 54, 397–425. [Google Scholar] [CrossRef]
- Zhao, Y.; Wong, S.M.; Wong, H.M.; Wu, S.L.; Hu, T.; Yeung, K.W.K.; Chu, P.K. Effect of carbon and nitrogen plasma immersion ion implantation on in vitro and in vivo biocompatibility of titanium alloy. ACS Appl. Mater Interfaces 2013, 5, 1510–1516. [Google Scholar] [CrossRef] [PubMed]
- Krzakala, A.; Kazek-Kesik, A.; Simka, W. Application of plasma electrolytic oxidation to bioactive surface formation on titanium and its alloys. RSC Adv. 2013, 3, 19725–19743. [Google Scholar] [CrossRef]
- Zhao, L.Z.; Chu, P.K.; Zhang, Y.M.; Wu, Z.F. Antibacterial coatings on titanium implants. J. Biomed. Mater. Res. Part B 2009, 91, 470–480. [Google Scholar] [CrossRef] [PubMed]
- Rokosz, K.; Hryniewicz, T.; Matysek, D.; Raaen, S.; Valicek, J.; Dudek, L.; Harnicarova, M. SEM, EDS and XPS analysis of the coatings obtained on titanium after plasma electrolytic oxidation in electrolytes containing copper nitrate. Materials 2016, 9, 318. [Google Scholar] [CrossRef] [PubMed]
- Zhu, X.L.; Chen, J.; Scheideler, L.; Reichl, R.; Geis-Gerstorfer, J. Effects of topography and composition of titanium surface oxides on osteoblast responses. Biomaterials 2004, 25, 4087–4103. [Google Scholar] [CrossRef] [PubMed]
- Hu, H.; Zhang, W.; Qiao, Y.; Jiang, X.; Liu, X.; Ding, C. Antibacterial activity and increased bone marrow stem cell functions of Zn-incorporated TiO2 coatings on titanium. Acta Biomater. 2012, 8, 904–915. [Google Scholar] [CrossRef] [PubMed]
- Zhang, J.Y.; Ai, H.J.; Qi, M. Osteoblast growth on the surface of porous Zn-containing HA/TiO2 hybrid coatings on Ti substrate by MAO plus sol-gel methods. Surf. Coat. Technol. 2013, 228, S202–S205. [Google Scholar] [CrossRef]
- Wang, Y.M.; Lei, T.Q.; Jiang, B.L.; Guo, L.X. Growth, microstructure and mechanical properties of microarc oxidation coatings on titanium alloy in phosphate-containing solution. Appl. Surf. Sci. 2004, 233, 258–267. [Google Scholar] [CrossRef]
- Wang, Y.P.; Lou, J.; Zeng, L.L.; Xiang, J.H.; Zhang, S.F.; Wang, J.; Xiong, F.C.; Li, C.L.; Zhao, Y.; Zhang, R.F. Osteogenic potential of a novel microarc oxidized coating formed on Ti6Al4V alloys. Appl. Surf. Sci. 2017, 412, 29–36. [Google Scholar] [CrossRef]
- Fraga, C.G. Relevance, essentiality and toxicity of trace elements in human health. Mol. Asp. Med. 2005, 26, 235–244. [Google Scholar] [CrossRef] [PubMed]
- Jin, G.D.; Cao, H.L.; Qiao, Y.Q.; Meng, F.H.; Zhu, H.Q.; Liu, X.Y. Osteogentic activity and antibacterial effects of zinc ion implanted titanium. Colloids Surf. B Biointerfaces 2014, 117, 158–165. [Google Scholar] [CrossRef] [PubMed]
- Huang, Y.; Zhang, X.J.; Mao, H.H.; Li, T.T.; Zhao, R.L.; Yan, Y.J.; Pang, X.F. Osteoblastic cell responses and antibacterial efficacy of Cu/Zn co-substitued hydroxyapatite coatings on pure titanium using electrodeposition method. RSC Adv. 2015, 5, 17076–17086. [Google Scholar] [CrossRef]
- Zhao, B.H.; Zhang, W.; Wang, D.N.; Feng, W.; Liu, Y.; Lin, Z.; Du, K.Q.; Deng, C.F. Effect of Zn content on cytoactivity and bacteriostasis of micro-arc oxidation coatings on pure titanium. Surf. Coat. Technol. 2013, 228, S428–S432. [Google Scholar] [CrossRef]
- Jin, G.D.; Qin, H.; Cao, H.L.; Qian, S.; Zhao, Y.C.; Peng, X.C.; Zhang, X.L.; Liu, X.Y.; Chu, P.K. Synergistic effects of dual Zn/Ag ion implantation in osteogenic activity and antibacterial ability of titanium. Biomaterials 2014, 35, 7699–7713. [Google Scholar] [CrossRef] [PubMed]
- Zhang, R.F.; Shan, D.Y.; Chen, R.S.; Han, E.H. Effects of electric parameters on properties of anodic coatings formed on magnesium alloys. Mater. Chem. Phys. 2008, 107, 356–363. [Google Scholar] [CrossRef]
- Qiao, L.P.; Lou, J.; Zhang, S.F.; Qu, B.; Chang, W.H.; Zhang, R.F. The entrance mechanism of calcium and phosphorus elements into micro arc oxidation coatings developed on Ti6Al4V alloy. Surf. Coat. Technol. 2016, 185, 187–196. [Google Scholar] [CrossRef]
- Liu, J.; Zhu, R.L.; Xu, T.Y.; Xu, Y.; Ge, F.; Xi, Y.F.; Zhu, J.X.; He, H.P. Co-adsorption of phosphate and zinc(Ⅱ) on the surface of ferrihydrite. Chemosphere 2016, 144, 1148–1155. [Google Scholar] [CrossRef] [PubMed]
- Liu, S.M.; Yang, X.J.; Cui, Z.D.; Zhu, S.L.; Wei, Q. One-step synthesis of petal-like apatite/titania composite coating on a titanium by micro-arc treating. Mater. Lett. 2011, 65, 1041–1044. [Google Scholar] [CrossRef]
- Yan, Y.Y.; Sun, J.F.; Han, Y.; Li, D.C.; Cui, K. Microstructure and bioactivity of Ca, P and Sr doped TiO2 coating formed on porous titanium by micro-arc oxidation. Surf. Coat. Technol. 2010, 205, 1702–1713. [Google Scholar] [CrossRef]
- Torres, J.; Dominguez, S.; Cerda, M.F.; Obal, G.; Mederos, A.; Irvine, R.F.; Diaz, A.; Kremer, C. Solution behaviour of myo-inositol hexakisphosphate in the presence of multivalent cations. Prediction of a neutral pentamagnesium species under cytosolic/nuclear conditions. J. Inorg. Biochem. 2005, 99, 828–840. [Google Scholar] [CrossRef] [PubMed]
- Crea, F.; Stefano, C.D.; Milea, D.; Sammartano, S. Formation and stability of phytate complexes in solution. Coord. Chem. Rev. 2008, 252, 1108–1120. [Google Scholar] [CrossRef]
- Zhang, R.Y.; Cai, S.; Xu, G.H.; Zhao, H.; Li, Y.; Wang, X.X.; Huang, K.; Ren, M.G.; Wu, X.D. Crack self-healing of phytic acid conversion coating on AZ31 magnesium alloy by heat treatment and the corrosion resistance. Appl. Surf. Sci. 2014, 313, 896–904. [Google Scholar] [CrossRef]
- Xue, W.B.; Deng, Z.W.; Lai, Y.C.; Chen, R.Y. Analysis of phase distribution for ceramic coatings formed by microarc oxidation on aluminum alloy. J. Am. Ceram. Soc. 1998, 81, 1365–1368. [Google Scholar] [CrossRef]










| Levels | Factors | |||
|---|---|---|---|---|
| EDTA-ZnNa2 Concentration (g/L) | KOH Concentration (g/L) | Phytic Acid Concentration (g/L) | Treating Time (min) | |
| 1 | 2 | 2 | 2 | 2.5 |
| 2 | 6 | 5 | 5 | 3 |
| 3 | 10 | 8 | 8 | 3.5 |
| Experiment No. | EDTA-ZnNa2 Concentration (g/L) | KOH Concentration (g/L) | Phytic Acid Concentration (g/L) | Treating Time (min) | Zn (wt %) | P (wt %) |
|---|---|---|---|---|---|---|
| No.1 | 2 | 2 | 2 | 2.5 | 0.89 | 3.70 |
| No.2 | 2 | 5 | 5 | 3 | 3.16 | 7.27 |
| No.3 | 2 | 8 | 8 | 3.5 | 2.86 | 6.88 |
| No.4 | 6 | 2 | 5 | 3.5 | 5.83 | 12.14 |
| No.5 | 6 | 5 | 8 | 2.5 | 7.73 | 9.89 |
| No.6 | 6 | 8 | 2 | 3 | 0.18 | 0.15 |
| No.7 | 10 | 2 | 8 | 3 | 8.81 | 14.10 |
| No.8 | 10 | 5 | 2 | 3.5 | 2.36 | 1.93 |
| No.9 | 10 | 8 | 5 | 2.5 | 0.48 | 0.96 |
| K1 | 6.91 (17.85) | 15.53 (29.94) | 3.43 (5.78) | 9.1 (14.55) | ||
| K2 | 13.74 (22.18) | 13.25 (19.09) | 9.47 (20.37) | 12.15 (21.52) | ||
| K3 | 11.65 (16.99) | 3.52 (7.99) | 19.4 (30.87) | 11.05 (20.95) | ||
| Difference | 6.83 (5.19) | 12.01 (21.95) | 15.97 (25.09) | 3.05 (6.97) | ||
| Rank | 3 (4) | 2 (2) | 1 (1) | 4 (3) |
© 2018 by the authors. Licensee MDPI, Basel, Switzerland. This article is an open access article distributed under the terms and conditions of the Creative Commons Attribution (CC BY) license (http://creativecommons.org/licenses/by/4.0/).
Share and Cite
Wang, Y.; Zeng, L.; Zhang, H.; Xiang, J.; Zhang, S.; Chang, W.; Zhang, R.; Wang, Q.; Sheng, Y.; Zhao, Y. Investigation of Zinc and Phosphorus Elements Incorporated into Micro-Arc Oxidation Coatings Developed on Ti-6Al-4V Alloys. Materials 2018, 11, 344. https://doi.org/10.3390/ma11030344
Wang Y, Zeng L, Zhang H, Xiang J, Zhang S, Chang W, Zhang R, Wang Q, Sheng Y, Zhao Y. Investigation of Zinc and Phosphorus Elements Incorporated into Micro-Arc Oxidation Coatings Developed on Ti-6Al-4V Alloys. Materials. 2018; 11(3):344. https://doi.org/10.3390/ma11030344
Chicago/Turabian StyleWang, Yaping, Lilan Zeng, Honghua Zhang, Junhuai Xiang, Shufang Zhang, Wenhui Chang, Rongfa Zhang, Qiao Wang, Yang Sheng, and Ying Zhao. 2018. "Investigation of Zinc and Phosphorus Elements Incorporated into Micro-Arc Oxidation Coatings Developed on Ti-6Al-4V Alloys" Materials 11, no. 3: 344. https://doi.org/10.3390/ma11030344
APA StyleWang, Y., Zeng, L., Zhang, H., Xiang, J., Zhang, S., Chang, W., Zhang, R., Wang, Q., Sheng, Y., & Zhao, Y. (2018). Investigation of Zinc and Phosphorus Elements Incorporated into Micro-Arc Oxidation Coatings Developed on Ti-6Al-4V Alloys. Materials, 11(3), 344. https://doi.org/10.3390/ma11030344
