Abstract
The first example of wholly inorganic ruthenium-containing polyoxomolybdate Cs3Na6H[MoVI14RuIV2O50(OH)2]·24H2O (1) was isolated and systematically characterized by element analysis, infrared spectroscopy (IR), thermogravimetric analyses (TGA), X-ray photoelectron spectroscopy (XPS), energy dispersive X-ray spectroscopy (EDX) and single-crystal X-ray diffraction. Compound 1 is composed of an unprecedented {Mo14}-type isopolymolybdate with a di-ruthenium core precisely encapsulated in its center, exhibiting a three-tiered ladder-like structure. The title compound can act as an efficient heterogeneous catalyst in the transformation of 1-phenylethanol to acetophenone. This catalyst is also capable of being recycled and reused for at least ten cycles with its activity being retained under the optimal conditions.
1. Introduction
Noble metals containing polyoxometalates (POMs), in particular ruthenium (Ru)-incorporating structures [1], have been widely implemented in homo-/heterogeneous oxidation catalysis of both organic [2,3,4,5,6,7,8,9,10,11,12,13] and water-splitting reactions [14,15,16,17,18], and have therefore been attracting ever-increasing attention in recent decades. Since the discovery of the first Ru-containing POM [SiW11O39RuL]n− in 1989 [2], this domain has been further explored by the research groups of Neumann, Sadakane, Bonchio, Pope, Nomiya, Proust, Hill, Bond, Kortz, Bi and others [19]. Enormous efforts have been made to check the reactivity of different ruthenium precursors, mainly using RuCl3·nH2O, (NH4)2[RuCl6], Ru(dmso)4Cl2 and [Ru(η6-arene)Cl2]2 with Keggin-, Dawson-, and Lindqvist-type polyanions, which has resulted in plenty of novel Ru-containing POMs. Among them, the wholly inorganic Ru-containing POMs represent an important subclass, which had been studied previously but with only a few structures reported as compared to those with inorganic-organic hybrid Ru-containing POMs. Up until now, the majority of investigations in this area of research have been dominated by the preparations and characterizations of Ru-substituted or -sandwiched lacunary Keggin/Dawson-type heteropolytungstates [2,3,4,5,6,7,8,9,10,11,12,13,14,15,16,17,18,20,21,22,23,24,25,26,27,28,29,30,31,32,33,34,35,36,37,38,39,40,41,42,43], such as mono-Ru substituted polyanions [XW11O39RuIII(H2O)]n− (X = Si, Ge, P) [2,3,4,5,20,21,22,23,24,25] and [P2W17O61RuIII(H2O)]5− [26,27,28], di-Ru-sandwiched/substituted polyanions {O[RuIV(X)P2W17O61]2}16− (X = OH, Cl) [27], {[(XZnRu2III(OH)(H2O)](ZnW9O34)2}n− (X = W, Zn) [29,30,31,32,33,34], [{a-SiW11O39RuIII}2O]12− [21,23], [{PW11O39}2{(HO)RuIV}2O}]10– [35], and [XW10O38{RuIVN}2]6− (X = Si, Ge) [36], tri-Ru-substituted polyanion [SiW9O34{Ru3O3(H2O)Cl2}]7− [41], tetra-Ru-sandwiched/substituted polyanions [{RuIV4O4(OH)2(H2O)4}(γ-SiW10O36)2]10− [37,38], [RuIV4Cl4O2(μ-OH)4(γ-SiW10O36)2]12− [39], [(γ-PW10O36)2RuIV4O5(OH)(H2O)4]9− [40], and [SiW9O37{Ru4(H2O)3Cl3}]7− [42]. However, some of the above-mentioned examples were not supported by structural confirmation evidence, or were not even capable of providing a reliable molecular formula, primarily due to the difficulties of obtaining the crystal structures. For instance, there have been some controversies regarding the reproduction and precise structure of two Ru2-incorporated POMs with putative formulae [WZnRu2III(H2O)(OH)(ZnW9O34)2]11− and {[(Zn2Ru2III(OH)(H2O)](ZnW9O34)2}14−, which were synthesized under completely identical synthetic conditions by different research groups [26,27,28]. Recently, the same doubts were also raised with regard to the polyanions [Ru4(H2O)3Cl3(SiW9O37)]7− and [SiW9O37{Ru4(H2O)3Cl3}]7− owing to the absence of crystal structure [41,42]. To the best of our knowledge, only very little direct crystallographic evidence of inorganic Ru-containing POMs has been reported in early-stage investigations (Table S1). Therefore, it is still a great challenge and an excellent opportunity for us to either explore or investigate their structures along with their catalytic applications.
Herein, we report a novel inorganic Ru-containing POM Cs3Na6H[MoVI14RuIV2O50(OH)2]·24H2O (1), which is the first example of X-ray crystallographically characterized inorganic Ru-containing polyoxomolybdate. The catalytic study revealed that compound 1 could efficiently catalyze 1-phenylethanol to acetophenone with excellent structural stability in the presence of tert-butyl hydroperoxide (TBHP) as an oxidant in the reaction medium.
2. Results and Discussion
2.1. Structure Description
The phase purity of sample 1 was characterized by X-ray powder diffraction, as the experimental pattern was mainly consistent with the simulated one (Figure S1). The bond valence sums (BVS) calculated for polyanion 1 from the observed bond lengths mainly indicate that all the Mo and Ru exist exclusively in +VI and +IV valence states, respectively (Table S2). Simultaneously, two μ3-OH bridges (O5 and O5A; BVS: 1.19) in the cluster were also determined by the BVS calculations (Table S3). From these results, the chemical composition of polyanion 1 was defined as [MoVI14RuIV2O50(OH)2]10− (1a), which was confirmed by the combined analyses of XPS and EDX (Figure S2) [41,43].
As illustrated in Figure 1, the di-ruthenium core was fully incorporated into the center of the {Mo14} cluster, which can be described as an assembly of two symmetric {Mo7Ru} units bridged by six oxygen atoms in a head-to-tail motif, forming a novel three-tiered ladder-like structure. The middle layer of the “stairs” ({Mo6Ru2}, denoted as L2) was defined by six coplanar Mo centers (Mo1, Mo6, Mo7, Mo1A, Mo6A, Mo7A) and two Ru centers (Ru1, Ru1A) (A = 1–X, –Y, 1‒Z). Moreover, Mo2, Mo3, Mo4 and Mo5 atoms, or their corresponding symmetrical atoms, separately gave two identical {Mo4} “steps”. The four MoO6 units in each {Mo4} subunit were linked together by edge sharing, resulting in a quasi-flat plane (denoted as L1 and L3). The average deviations of L1, L2 and L3 were all 0.00 Å, indicating that each of them showed excellent planarity. The dihedral angles between L1 and L3 are 0°, while the dihedral angles between L1 (or L3) and L2 were 2.36° with average spacing distance of 2.75 Å. Within each layer (Figure 1c,d), the two {Mo4} “steps” were added to the middle {Mo6Ru2} “step” up and down, with a certain degree of dislocation, as a result of face and vertex sharing modes, alternately, resulting in the novel ladder-shape structure. Furthermore, polyanion 1a was linked by the Na cation cluster, leading to a 1D layer-like structure (Figure S3).
Figure 1.
Top view of (a) polyhedral and (b) ball-and-stick representations of polyanion [MoVI14RuIV2O50(OH)2]10− (1a); Side view of (c) polyhedral and (d) ball-and-stick representations of polyanion 1a. Color code: MoO6 octahedral, blue; RuO6 octahedral, yellow. The pink balls represent monoprotonated oxygen atoms.
The so-called “Mo14Ru2” was first presented by Oonaka and co-workers, but was not structurally authenticated by X-ray single-crystal diffraction. Furthermore, no exact molecular formula was provided. Originally, the so-called “Mo14Ru2” was determined as Na4(NH4)[RuMo7O25]·8H2O; although it was subsequently identified as [Ru2Mo14O50]10− or [Ru2Mo14O52]14−, owing to its lack of a crystal structure [44,45]. This unknown or unconfirmed structure was also commented on by Izarova, Pope and Kortz in their review of “Noble Metals in Polyoxometalates” [1]. To the best of our knowledge, compound 1 represents the first X-ray crystallographically characterized example of inorganic Ru-containing polyoxomolybdate. Moreover, the new type of {Mo14} unit is obviously different from that in the organic-inorganic hybrid polyoxomolybdate [Mo14O38(OAc)6]2– recently reported by Hayashi et al. [46]. The {Mo14} cluster that we observed exhibits a ladder-like structure, while the hybrid polyanion [Mo14O38(OAc)6]2– (Figure S4) can be regarded as a hexa-lacunary Dawson-type structure in which the six lacunary sites at the polar positions are supported by six acetate groups.
2.2. Catalytic Performance
As already noted, POMs can be used extensively as active oxidation catalysts for organic or inorganic substrates [47,48]. We are also interested in the application of Ru-decorated POMs for alcohol oxidation, which is one a reaction of key practical importance in the chemical industry. Indeed, compound 1 exhibited highly efficient catalytic activity toward the heterogeneous oxidization of 1-phenylethanol into acetophenone (Figure S5).
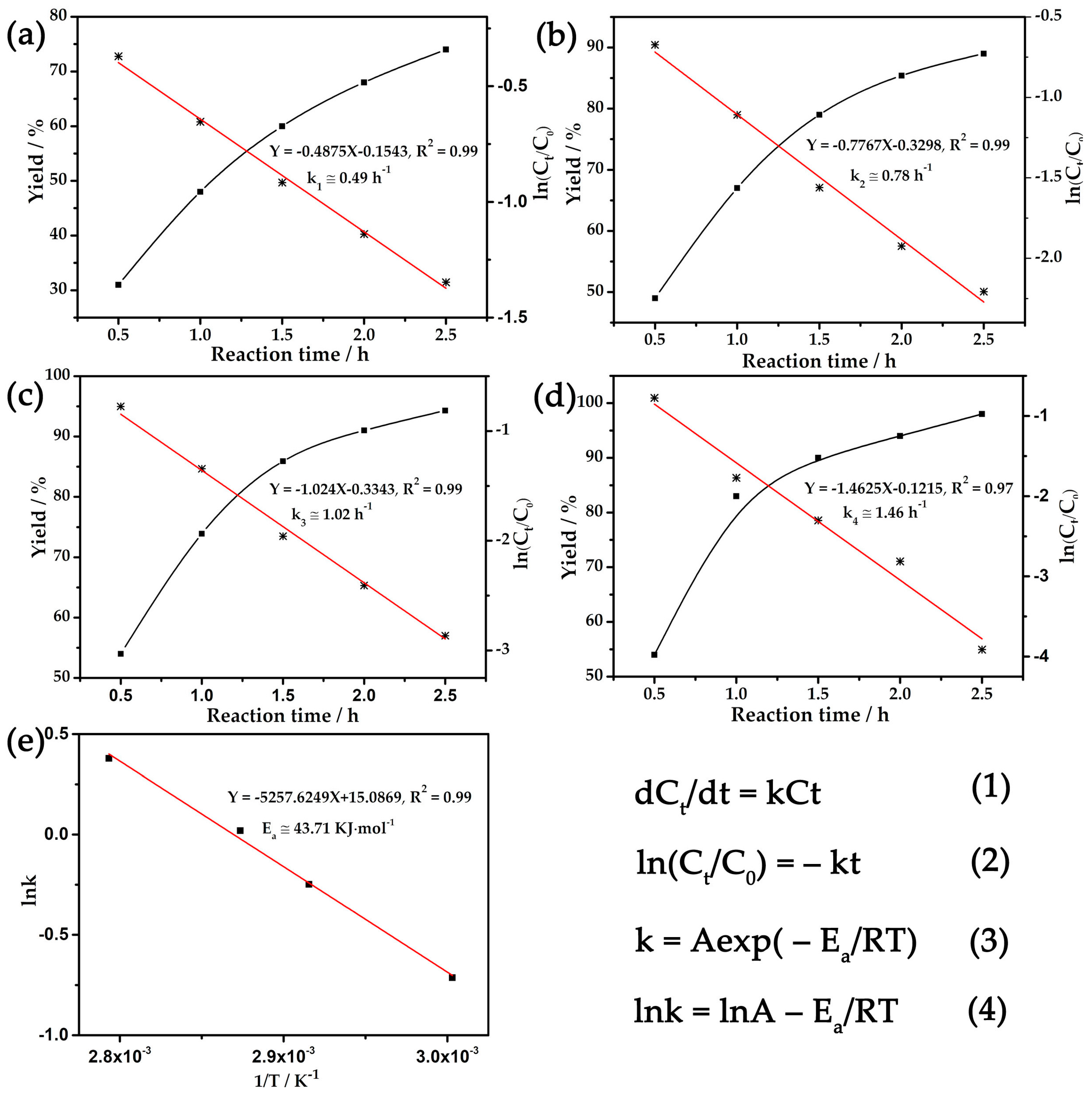
According to Table S4, the main factors affecting the oxidation process, including the amount of catalyst and oxidizing agent TBHP, and the reaction temperature and time, were investigated in detail to explore suitable reaction conditions. Parallel experiments showed that the reaction yield improved with the increase in catalytic dosage, while declining remarkably with the decrease of the amount of oxidant, reaction temperature and time. Specifically, optimized reaction conditions have been identified, for which 0.15 mol % catalyst loading with 8 mol of TBHP in acetonitrile for 3 h at 85 °C provide an almost 100% yield from the starting substrate to the single product. Meanwhile, the chemical kinetics for the 1-phenylethanol oxidation reaction has been demonstrated as a function of time for catalyst 1 (Figure 2) [6,49,50,51,52]. Yield and ln(Ct/C0) are plotted against the reaction time at 60, 70, 75, and 85 °C (Figure 2a–d), where C0 and Ct represent the concentrations of the reactant initially and at time t, respectively. The linear fit of the data reveals that the catalytic reaction follows pseudo-first-order kinetics at 60, 70, 75, and 85 °C. The absolute value of the slope of the straight line represents the reaction rate constant; namely, 0.49 h−1 for 60 °C, 0.78 h−1 for 70 °C, 1.02 h−1 for 75 °C and 1.46 h−1 for 85 °C. Furthermore, the apparent activation energy, Ea, was determined based on the Arrhenius plot in the temperature range of 60–85 °C, and the Ea value was found to be 43.71 kJ mol−1 (Figure 2e).
Figure 2.
Kinetics for 1-phenylethanol oxidation reaction using catalyst 1 at (a) 60, (b) 70, (c) 75 and (d) 85 °C for 3 h, respectively. The data from each reaction temperature are fitted to a single straight line, indicating the reaction was pseudo-first-order in 1-phenylethanol. (e) Arrhenius plot for the oxidation of 1-phenylethanol using catalyst 1 at 60, 70, 75 and 85 °C for 3 h. C0 and Ct represent the concentrations of reactant initially and at time t, respectively.
Afterwards, the blank experiment was carried out in the absence of compound 1 under the controlled conditions, with only a little catalytic reactivity observed in the temperature range of 60–85 °C following a reaction time of 3 h (Figure S6). We also independently investigated the catalytic properties of RuCl3·nH2O and Na2MoO4·2H2O for comparison (Figure S6). The control test also implied that little reaction occurred when using Na2MoO4·2H2O as a catalyst. Although the catalyst RuCl3·nH2O showed good catalysis for the reaction, the catalysis couldn’t be improved with the prolongation of reaction time or increase in temperature. Moreover, it is difficult to isolate and reuse, since RuCl3·nH2O is a homogeneous catalyst in the reaction medium. Therefore, catalyst 1, on the whole, outperformed both of the synthetic materials RuCl3·nH2O and Na2MoO4·2H2O. The hot filtration experiment was carried out to remove the catalyst following a reaction time of 0.5 h, with the reaction then being allowed to proceed further with the filtrate under the optimal conditions. It appears that scarcely any further yield was observed in the filtrate, suggesting that this oxidation process is heterogeneous (Figure S7). More notably, a further study on the recyclability of compound 1 was carried out, which suggested that this catalyst could be recycled and reused for at least ten cycles with less than a 3% loss of activity (Figure 3). Once every round of the catalytic process was completed, the catalyst was isolated and dried, and with a characterization of the IR spectrum was performed (Figure 4), demonstrating that compound 1 possesses excellent structural stability, as no structural changes were observed after the oxidation reaction.
Figure 3.
Recovery and reuse of the catalyst 1. The GC yield (%) based on 1-phenylethanol to acetophenone under optimized reaction conditions.
Figure 4.
IR spectra of catalyst 1 before and after the fifth, the eighth, and the tenth run.
Finally, in the context of the optimal conditions, we sought to evaluate the versatility of our catalyst by studying the oxidation of several substituted 1-phenylethanol with different substituents (Table 1). The results indicated that all the 1-phenylethanol with para- or meta-substituents produced their corresponding ketones derivatives in high yields (97–100%) on reaction, as well as demonstrating 100% selectivity regardless of their electronic properties (Table 1, entries 1–5). As for the ortho-substituted 1-phenylethanol with different steric and electronic properties (Table 1, entries 6–8), the reaction showed a similar moderate yield, i.e., the more sterically hindered –OH group showed less catalytic activity. This fact suggests that neither the different electronic properties nor the positions of substituents on the phenyl ring of 1-phenylethanol were key parameters for this reaction, but that the steric effect considerably hindered the catalytic activity [53]. Furthermore, compound 1 also exhibited good catalytic activity for secondary chain and cyclic aliphatic alcohols (Table 1, entries 9–12).
Table 1.
Substrate scope for aromatic secondary alcohols in the context of the optimal conditions a.
2.3. X-ray Photoelectron Spectroscopy (XPS)
The XPS spectra for Mo 3d and Ru 3d of the catalyst before and after the catalytic reaction were measured in order to check the surface oxidation state of the solid and to further verify the stability of the well-defined cluster (Figure 5). Before reaction, the XPS spectra of the Mo centers had the following characteristics: the peaks around 235.4 eV and 232.3 eV in the energy regions of Mo 3d3/2 and Mo 3d5/2 are assigned to MoVI centers represented in Figure 5a [54,55], which is consistent with the BVS results. Although the oxidation of RuIII to RuIV in aqueous solution is known in POMs chemistry [24,27,38], a high-resolution Ru 3d XPS spectrum was nevertheless obtained to further characterize their oxidation states, as Ru is a highly specific element, and is known to have a wide range of oxidation states varying from –II to VIII. As shown in Figure 4b, the Ru 3d peaks in the high-resolution XPS spectra of the title compound centered on 286.8 eV and 282.6 eV, corresponding to energy regions of Ru 3d3/2 and Ru 3d5/2, which are attributed to RuIV centers [43,56,57]. This oxidation state of Ru assignment was also supported by the BVS results, which indicated a IV valence [38,58].
Figure 5.
The XPS spectra for the catalyst: (a) Mo 3d and (b) Ru 3d before reaction; (c) Mo 3d and (d) Ru 3d after the tenth run of the reaction. Spectral analysis was performed using peak-fitting with Gaussian–Lorentzian peak shape and Shirley-type background subtraction, taking as reference the C 1s peak typically at 284.6 eV and the Ru 3d5/2, 3d3/2 double peak with a constant area rule: A(3d5/2) = A(3d3/2)/1.5 and center position relation χc(3d5/2) = χc (3d3/2) + 4.2 eV.
To investigate the stabilization of 1 for catalysis, catalyst 1 was dried in a vacuum oven following the tenth run of the reaction, and was then characterized based on its high-resolution XPS spectra. The Mo 3d and Ru 3d XPS spectra (Figure 5c,d) for the recovered catalyst after reaction were clearly almost identical to those of the fresh catalyst (Figure 5a,b), indicating that the states of the surface of the catalyst had undergone no change; in other words, catalyst 1 was stable in the selected reaction system.
2.4. Thermogravimetric Analysis (TGA)
The thermal stability of the title compound was investigated on crystalline samples under a nitrogen atmosphere from 30 to 800 °C with a heating rate of 10 °C min−1. The TG curve indicates that compound 1 undergoes a successive one-step weight-loss process (Figure 6), and that the weight loss of 11.08% is attributable to the release of 21 water molecules. The measured weight loss (11.08%) is a bit lower than the theoretical weight loss (24 lattice water molecules, calcd 12.91%), which is probably due to the slight weathering of the title compound.
Figure 6.
TG curve of compound 1.
3. Materials and Methods
3.1. Synthesis of Compound 1
Na2MoVIO4·2H2O (0.968 g, 3.00 mmol), RuIIICl3·nH2O (0.120 g, 0.58 mmol) was successively dissolved in 20 mL distilled water while vigorously stirring at room temperature, resulting in a dark solution. The pH value of this solution was adjusted to around 5.0 with 3 mol·L−1 NaOH solution. After heating in the water-bath of 80 °C for 2 h, ten drops of 1 mol·L−1 CsCl solution was added and stirred with about fifteen minutes at room temperature. Then, the solution was filtered and left to crystallize slowly. Black block crystals were collected after about one week. Yield: 0.34 g (47.42% based on Mo). Elemental analysis calcd (%) for 1: Na 4.12, Mo 40.08, Ru 6.03, Cs 11.90. Found: Na 3.86, Mo 40.02, Ru 5.93, Cs 11.75. IR (cm−1): 3468 (vs), 1622 (m), 926 (vs), 889 (s), 822 (m), 744 (s), 594 (m). The IR spectrum exhibited two kinds of characteristic bands attributed to ν (Mo = O) and ν (Mo–O–Mo) at 926 and 889‒594 cm−1, respectively.
3.2. Characterization
All reagents used were of commercial reagent grade, and were used without further purification for the preparation of the title compound. Elemental analysis of Mo, Ru, Na and Cs atoms was conducted on a Perkin Eimer Optima 2100 DV inductively coupled plasma optical emission spectrometer (Perkin-Elmer, 940 Winter Street Waltham, MA, USA). IR spectra were recorded on a Bruker VERTEX 70 IR spectrometer (Nicolet, Madison, WI, USA) in the range of 4000‒450 cm−1 with pressed KBr pellets. XRPD data were performed on a Bruker AXS D8 Advance diffractometer (Bruker, Karlsruhe, Germany) with Cu Kα radiation in the angular range 2θ = 5°–45° at room temperature. TG analysis was measured on a NETZSCH STA449F5/QMS403D instrument (Mettler-Toledo, Sonnenbergstrasse 74, Schwerzenbach, Switzerland) with a heating rate of 10 °C·min−1 in flowing nitrogen. Energy-dispersive X-ray spectroscopy (EDX) measurements were performed with a JSM-7610F scanning electron microscope (JEOL, Tokyo, Japan) using an OXFORD X-act EDX. X-ray photoelectron spectroscopy (XPS) was performed on an Axis Ultra (Kratos, Manchester, UK) X-ray photoelectron spectroscope using monochromatic Al Kα (1486.7 eV) radiation.
3.3. Crystallography
A single crystal of 1 was sealed in a tube capillary when prepared for data collection at 296(2) K. Intensity data collection was performed on a Bruker APEX-II CCD diffractometer (Bruker-AXS, Karlsruhe, Germany) with graphite-monochromated Mo Kα radiation (λ = 0.71073 Å). Structure solution and refinement were carried out using the SHELXL-2014/7 program package (University of Göttingen, Göttingen, Germany) [59,60]. In the final refinement cycles, the Mo, Ru, Na and Cs atoms were refined anisotropically. All H atoms on water molecules were incorporated directly into the molecular formula. Crystallographic data for the structure reported in this paper have been deposited in the Cambridge Crystallographic Data Center, with a CCDC number of 1584135 for 1. Crystal data and structure refinement parameters are listed in Table S5.
3.4. General Procedure for Catalysis
The typical experimental procedure for the catalytic oxidation of various secondary aromatic alcohols was carried out in a 50 mL round-bottomed tube equipped with a reflux condenser. Generally, 0.015 mmol of catalyst, 1 mmol of alcohols, 8 mmol of TBHP and 3 mL acetonitrile were charged in the reaction tube at the designated temperature with constant stirring throughout the whole reaction. At regular intervals, an aliquot of the sample solution was taken directly from the reaction mixture with a microsyringe and the liquid was analyzed by gas chromatography (GC) using dodecane as the internal standard. As for the recycling experiment, the POM catalyst was recovered by filtration when the reaction mixture was cooled to room temperature at the end of each cycle, and then washed thoroughly (at least three times) by acetonitrile, which was further dried at 70 °C in oven and reused for successive runs under identical reaction conditions.
4. Conclusions
In summary, a new type of pure inorganic Ru-containing POM [MoVI14RuIV2O50(OH)2]10− was described in this work, which is the first X-ray crystallographically characterized example of an inorganic Ru-containing polyoxomolybdate. This compound is a highly efficient and recyclable catalyst for oxidizing 1-phenylethanol to acetophenone. Further research will concentrate on exploring the synthesis of novel Ru-containing POMs and expanding the application range of catalytic reaction types, which is an opportunity for us, even if it is still a challenging task now and in the near future.
Supplementary Materials
The following are available online at http://www.mdpi.com/1996-1944/11/2/178/s1, Figure S1: The experimental and simulated XRD patterns of compound 1; Figure S2: The EDX spectrum of compound 1; Figure S3: The 1D chain-like structure of polyanion 1a; Figure S4: The structural comparison of polyanion 1a and polyanion [Mo14O38(OAc)6]2–; Figure S5: GC spectra of (a) standard 1-phenylethanol; (b) standard acetophenone; (c) the oxidation of 1-phenylethanol to acetophenone product; Figure S6: (a) Contrast experiments with different catalysts at different reaction times, (b) Contrast experiments with different catalysts at different reaction temperatures; Figure S7: The reaction results of the hot filtration test; Table S1: Summary of pure inorganic ruthenium-containing POMs with well-defined structures; Table S2: The bond valence sum calculations of all crystallographically unique Mo and Ru atoms on 1a; Table S3: The bond valence sum calculations of all crystallographically unique O atoms on 1a; Table S4: Optimization of catalytic oxidation of 1-phenylethanol using catalyst 1. Table S5: Crystallographic data of compound 1.
Acknowledgments
This work was supported by the National Natural Science Foundation of China (21571050).
Author Contributions
All the authors contributed to this work. Rong Wan, Qiaofei Xu, Chao Zhang, Jingyang Niu and Jingping Wang searched the literature and designed the experiments;Wan Rong, Qiaofei Xu and Mengdan Han contributed to the work of data collection and analysis. Pengtao Ma solved the structure information. Rong Wan wrote the paper. All authors have checked and approved the manuscript.
Conflicts of Interest
The authors declare no conflicts of interest.
References
- Izarova, N.V.; Pope, M.T.; Kortz, U. Noble Metals in Polyoxometalates. Angew. Chem. Int. Ed. 2012, 51, 9492–9510. [Google Scholar] [CrossRef] [PubMed]
- Neumann, R.; Abu-Gnim, C. A Ruthenium Heteropolyanion as Catalyst for Alkane and Alkene Oxidation. J. Chem. Soc. Chem. Commun. 1989, 18, 1324–1325. [Google Scholar] [CrossRef]
- Matsumoto, Y.; Asami, M.; Hashimoto, M.; Misono, M. Alkane oxidation with mixed addenda heteropoly catalysts containing Ru(III) and Rh(III). J. Mol. Catal. A-Chem. 1996, 114, 161–168. [Google Scholar] [CrossRef]
- Lin, X.; Xu, J.; Liu, H.; Yue, B.; Jin, S.; Xie, G. Studies on styrene oxidation reaction catalyzed by ruthenium substituted polyoxotungstates: Kinetics and phase transfer effect. J. Mol. Catal. A-Chem. 2000, 161, 163–169. [Google Scholar]
- Yamaguchi, K.; Mizuno, N. Heterogeneously catalyzed liquid-phase oxidation of alkanes and alcohols with molecular oxygen. New J. Chem. 2002, 26, 972–974. [Google Scholar] [CrossRef]
- Khenkin, A.M.; Shimon, L.J.W.; Neumann, R. Preparation and Characterization of New Ruthenium and Osmium Containing Polyoxometalates, [M(DMSO)3Mo7O24]4− (M = Ru(II), Os(II)), and Their Use as Catalysts for the Aerobic Oxidation of Alcohols. Inorg. Chem. 2003, 42, 3331–3339. [Google Scholar] [CrossRef] [PubMed]
- Shringarpure, P.; Patel, A. Undecatungstophospho(aqua)ruthenate(II): One pot synthesis, characterization and non-solvent liquid phase aerobic oxidation of alkenes. Inorg. Chim. Acta 2009, 362, 3796–3800. [Google Scholar] [CrossRef]
- Yokoyama, A.; Ohkubo, K.; Ishizuka, T.; Kojima, T.; Fukuzumi, S. Remarkable enhancement of catalytic activity of a 2:1 complex between a non-planar Mo(V)-porphyrin and a ruthenium-substituted Keggin-type heteropolyoxometalate in catalytic oxidation of benzyl alcohols. Dalton Trans. 2012, 41, 10006–10013. [Google Scholar] [CrossRef] [PubMed]
- Meng, R.-Q.; Suo, L.; Hou, G.-F.; Liang, J.; Bi, L.-H.; Li, H.-L.; Wu, L.-X. Organo-Ru supported sandwich-type tungstoarsenates: Synthesis, structure and catalytic properties. CrystEngComm 2013, 15, 5867–5876. [Google Scholar] [CrossRef]
- Meng, R.-Q.; Wang, B.; Sui, H.-M.; Li, B.; Song, W.; Wu, L.-X.; Zhao, B.; Bi, L.-H. Organoruthenium-Supported Polyoxotungstate—Synthesis, Structure and Oxidation of n-Hexadecane with Air. Eur. J. Inorg. Chem. 2013, 2013, 1935–1942. [Google Scholar] [CrossRef]
- Sartorel, A.; Miró, P.; Carraro, M.; Berardi, S.; Bortolini, O.; Bagno, A.; Bo, C.; Bonchio, M. Oxygenation by Ruthenium Monosubstituted Polyoxotungstates in Aqueous Solution: Experimental and Computational Dissection of a Ru(III)-Ru(V) Catalytic Cycle. Chem. Eur. J. 2014, 20, 10932–10943. [Google Scholar] [CrossRef] [PubMed]
- Shi, D.; He, C.; Qi, B.; Chen, C.; Niu, J.; Duan, C. Merging of the photocatalysis and copper catalysis in metal–organic frameworks for oxidative C–C bond formation. Chem. Sci. 2015, 6, 1035–1042. [Google Scholar] [CrossRef]
- Zheng, D.-M.; Wang, R.-Q.; Du, Y.; Hou, G.-F.; Wu, L.-X.; Bi, L.-H. A new organo-ruthenium substituted tungstotellurate: Synthesis, structural characterization and catalytic properties. New J. Chem. 2016, 40, 8829–8836. [Google Scholar] [CrossRef]
- Murakami, M.; Hong, D.; Suenobu, T.; Yamaguchi, S.; Ogura, T.; Fukuzumi, S. Catalytic Mechanism of Water Oxidation with Single-Site Ruthenium–Heteropolytungstate Complexes. J. Am. Chem. Soc. 2011, 133, 11605–11613. [Google Scholar] [CrossRef] [PubMed]
- Sadakane, M.; Rinn, N.; Moroi, S.; Kitatomi, H.; Ozeki, T.; Kurasawa, M.; Itakura, M.; Hayakawa, S.; Kato, K.; Miyamoto, M.; et al. Preparation and StructuralCharacterization of RuII-DMSO and RuIII-DMSO-substituted α-Keggin-type Phosphotungstates, [PW11O39RuIIDMSO]5− and [PW11O39RuIIIDMSO]4−, and Catalytic Activity for Water Oxidation. Z. Anorg. Allg. Chem. 2011, 637, 1467–1474. [Google Scholar] [CrossRef]
- Miras, H.N.; Yan, J.; Long, D.-L.; Cronin, L. Engineering polyoxometalates with emergent properties. Chem. Soc. Rev. 2012, 41, 7403–7430. [Google Scholar] [CrossRef] [PubMed]
- Nishiki, K.; Umehara, N.; Kadota, Y.; López, X.; Poblet, J.M.; Mezui, C.A.; Teillout, A.-L.; Mbomekalle, I.M.; de Oliveira, P.; Miyamoto, M.; et al. Preparation of α1- and α2-isomers of mono-Ru-substituted Dawson-type phosphotungstates with an aqua ligand and comparison of their redox potentials, catalytic activities, and thermal stabilities with Keggin-type derivatives. Dalton Trans. 2016, 45, 3715–3726. [Google Scholar] [CrossRef] [PubMed]
- Kong, X.-J.; Lin, Z.; Zhang, Z.-M.; Zhang, T.; Lin, W. Hierarchical Integration of Photosensitizing Metal-Organic Frameworks and Nickel-Containing Polyoxometalates for Efficient Visible-Light-Driven Hydrogen Evolution. Angew. Chem. Int. Ed. 2016, 55, 6411–6416. [Google Scholar] [CrossRef] [PubMed]
- Putaj, P.; Lefebvre, F. Polyoxometalates containing late transition and noble metal atoms. Coord. Chem. Rev. 2011, 255, 1642–1685. [Google Scholar] [CrossRef]
- Neumann, R.; Abu-Gnim, C. Alkene oxidation catalyzed by a ruthenium-substituted heteropolyanion, SiRu(L)W11O39: The mechanism of the periodate mediated oxidative cleavage. J. Am. Chem. Soc. 1990, 112, 6025–6031. [Google Scholar] [CrossRef]
- Liu, H.; Yue, B.; Sun, W.; Chen, Z.; Jin, S.; Deng, J.; Xie, G. Synthesis and characterization of noble-metal-substituted Dawson-type polyoxometalates. Transit. Met. Chem. 1997, 22, 321–325. [Google Scholar] [CrossRef]
- Sadakane, M.; Higashijima, M. Synthesis and electrochemical behavior of [SiW11O39RuIII(H2O)]5− and its oxo-bridged dimeric complex [SiW11O39RuIVORuIIISiW11O39]11−. Dalton Trans. 2003, 4, 659–664. [Google Scholar] [CrossRef]
- Sadakane, M.; Tsukuma, D.; Dickman, M.H.; Bassil, B.; Kortz, U.; Higashijima, M.; Ueda, W. Structural characterization of mono-ruthenium substituted Keggin-type silicotungstates. Dalton Trans. 2006, 35, 4271–4276. [Google Scholar] [CrossRef] [PubMed]
- Sadakane, M.; Tsukuma, D.; Dickman, M.H.; Bassil, B.S.; Kortz, U.; Capron, M.; Ueda, W. Dimerization of mono-ruthenium substituted a-Keggin-type tungstosilicate [a-SiW11O39RuIII(H2O)]5− to μ-oxo-bridged dimer in aqueous solution: Synthesis, structure, and redox studies. Dalton Trans. 2007, 26, 2833–2838. [Google Scholar] [CrossRef] [PubMed]
- Besson, C.; Chen, S.-W.; Villanneau, R.; Izzet, G.; Proust, A. A new synthetic route towards a Ru(III) substituted heteropolytungstate anion. Inorg. Chem. Commun. 2009, 12, 1042–1044. [Google Scholar] [CrossRef]
- Rong, C.; Pope, M.T. Lacunary polyoxometalate anions are π-acceptor ligands. Characterization of some tungstoruthenate(II,III,IV,V) heteropolyanions and their atom-transfer reactivity. J. Am. Chem. Soc. 1992, 114, 2932–2938. [Google Scholar] [CrossRef]
- Randall, W.J.; Weakley, T.J.R.; Finke, R.G. Oxidation Resistant Inorganic-Porphyrin Analog Polyoxometalates. 3. The Synthesis and X-ray Crystallographic Characterization of a New Heteropolyoxoanion Structural Type, the Diruthenium-Oxo-Bridged “Rimetallic Inorganic-Porphyrin Analog” KLi5[O{RuCI(α2-P2W17O61)}2]·2KC1·60H2O. Inorg. Chem. 1993, 32, 1068–1071. [Google Scholar]
- Nomiya, K.; Torii, H.; Nomura, K.; Sato, Y. Synthesis and characterization of a monoruthenium(III)-substituted Dawson polyoxotungstate derived by Br2 oxidation of the 1:2 complex of ruthenium(II) and [α2-P2W17O61]10−. The reactivity of cis-[RuCl2(DMSO)4] as a ruthenium source. J. Chem. Soc. Dalton Trans. 2001, 9, 1506–1512. [Google Scholar] [CrossRef]
- Neumann, R.; Khenkin, A.M. Noble Metal (RuIII, PdII, PtII) Substituted “Sandwich” Type Polyoxometalates: Preparation, Characterization, and Catalytic Activity in Oxidations of Alkanes and Alkenes by Peroxides. Inorg. Chem. 1995, 34, 5753–5760. [Google Scholar] [CrossRef]
- Neumann, R.; Khenkin, A.M.; Juwiler, D.; Miller, H.; Gara, M. Catalytic oxidation with hydrogen peroxide catalyzed by ‘sandwich’ type transition metal substituted polyoxometalates. J. Mol. Catal. A-Chem. 1997, 117, 169–183. [Google Scholar] [CrossRef]
- Neumann, R.; Dahan, M. A ruthenium-substituted polyoxometalate as an inorganic dioxygenase for activation of molecular oxygen. Nature 1997, 388, 353–355. [Google Scholar] [CrossRef]
- Neumann, R.; Dahan, M. Molecular Oxygen Activation by a Ruthenium-Substituted “Sandwich” Type Polyoxometalate. J. Am. Chem. Soc. 1998, 120, 11969–11976. [Google Scholar] [CrossRef]
- Howells, A.R.; Sankarraj, A.; Shannon, C. A Diruthenium-Substituted Polyoxometalate as an Electrocatalyst for Oxygen Generation. J. Am. Chem. Soc. 2004, 126, 12258–12259. [Google Scholar] [CrossRef] [PubMed]
- Morris, A.M.; Anderson, O.P.; Finke, R.G. Reinvestigation of a Ru2-Incorporated Polyoxometalate Dioxygenase Precatalyst, “[WZnRu2III(H2O)(OH)(ZnW9O34)2]11−”: Evidence For Marginal, ≤0.2 Equivalents of Ru Incorporation plus Faster Catalysis by Physical Mixtures of [RuII(DMSO)4Cl2] and the Parent Polyoxometalate [WZn3(H2O)2(ZnW9O34)2]12−. Inorg. Chem. 2009, 48, 4411–4420. [Google Scholar] [PubMed]
- Chen, S.-W.; Villanneau, R.; Li, Y.; Chamoreau, L.-M.; Boubekeur, K.; Thouvenot, R.; Gouzerh, P.; Proust, A. Hydrothermal Synthesis and Structural Characterization of the High-Valent Ruthenium-Containing Polyoxoanion [{PW11O39}2{(HO)RuIV–O–RuIV(OH)}]10−. Eur. J. Inorg. Chem. 2008, 2008, 2137–2142. [Google Scholar] [CrossRef]
- Besson, C.; Musaev, D.G.; Lahootun, V.; Cao, R.; Chamoreau, L.-M.; Villanneau, R.; Villain, F.; Thouvenot, R.; Geletii, Y.V.; Hill, C.L.; et al. Vicinal Dinitridoruthenium-Substituted Polyoxometalates γ-[XW10O38{RuN}2]6− (X = Si or Ge). Chem. Eur. J. 2009, 15, 10233–10243. [Google Scholar] [CrossRef] [PubMed]
- Sartorel, A.; Carraro, M.; Scorrano, G.; Zorzi, R.D.; Geremia, S.; McDaniel, N.D.; Bernhard, S.; Bonchio, M. Polyoxometalate Embedding of a Tetraruthenium(IV)-oxo-core by Template-Directed Metalation of [γ-SiW10O36]8− : A Totally Inorganic Oxygen-Evolving Catalyst. J. Am. Chem. Soc. 2008, 130, 5006–5007. [Google Scholar] [CrossRef] [PubMed]
- Geletii, Y.V.; Botar, B.; Kögerler, P.; Hillesheim, D.A.; Musaev, D.G.; Hill, C.L. An all-inorganic, stable, and highly active tetraruthenium homogeneous catalyst for water oxidation. Angew. Chem. Int. Ed. 2008, 47, 3896–3899. [Google Scholar] [CrossRef] [PubMed]
- Yamaguchi, S.; Uehara, K.; Kamata, K.; Yamaguchi, K.; Mizuno, N. A γ-Keggin-type dimeric silicotungstate sandwiching an adamantanoid tetra-nuclear ruthenium-oxygen cluster core. Chem. Lett. 2008, 37, 328–329. [Google Scholar] [CrossRef]
- Besson, C.; Huang, Z.; Geletii, Y.V.; Lense, S.; Hardcastle, K.I.; Musaev, D.G.; Lian, T.; Proust, A.; Hill, C.L. Cs9[(γ-PW10O36)2Ru4O5(OH)(H2O)4], a new all-inorganic, soluble catalyst for the efficient visible-light-driven oxidation of water. Chem. Commun. 2010, 46, 2784–2786. [Google Scholar] [CrossRef] [PubMed]
- Gamelas, J.A.F.; Carapuça, H.M.; Balula, M.S.; Evtuguin, D.V.; Schlindwein, W.; Figueiras, F.G.; Amaral, V.S.; Cavaleiro, A.M.V. Synthesis and characterisation of novel ruthenium multi-substituted polyoxometalates: α,β-[SiW9O37Ru4(H2O)3Cl3]7−. Polyhedron 2010, 29, 3066–3073. [Google Scholar] [CrossRef]
- Car, P.-E.; Guttentag, M.; Baldridge, K.K.; Alberto, R.; Patzke, G.R. Synthesis and characterization of open and sandwich-type polyoxometalates reveals visible-light-driven water oxidation via POM-photosensitizer complexes. Green Chem. 2012, 14, 1680–1688. [Google Scholar] [CrossRef]
- Liu, B.; Yan, J.; Wang, Y.-F.; Yi, X.-Y. Redox chemistry of ruthenium ions in mono-substituted Keggin tungstophosphate: A new synthetic extension for ruthenium derivatives based on [PW11O39RuVIN]4−. Dalton Trans. 2015, 44, 16882–16887. [Google Scholar] [CrossRef] [PubMed]
- Oonaka, T.; Hashimoto, K.; Kominami, H.; Matsubara, Y.; Kera, Y. Synthesis of Ruthennium-containing Polyoxomolybdate and Its Catalytic Featurres for Liquid-phase Oxidation Using Peroxo Compounds. J. Jpn. Pet. Inst. 2005, 48, 178–179. [Google Scholar] [CrossRef]
- Oonaka, T.; Hashimoto, K.; Kominami, H.; Kera, Y.; Matsubara, Y. Oxidative dehydrogenation of methanol over a ruthenium-containing polyoxomolybdate supported on metal oxides chemically modified with silane coupling agent. Catal. Today 2006, 111, 354–360. [Google Scholar] [CrossRef]
- Hashikawa, A.; Fujimoto, M.; Hayashi, Y.; Miyasaka, H. Isolation of a stable lacunary Dawson-type polyoxomolybdate cluster. Chem. Commun. 2011, 47, 12361–12363. [Google Scholar] [CrossRef] [PubMed]
- Wang, S.-S.; Yang, G.-Y. Recent Advances in Polyoxometalate-Catalyzed Reactions. Chem. Rev. 2015, 115, 4893–4962. [Google Scholar] [CrossRef] [PubMed]
- Xu, Q.; Sun, X.; Hu, F.; Wan, R.; Singh, V.; Ma, P.; Niu, J.; Wang, J. Two New Sandwich-Type Polyoxomolybdates Functionalized with Diphosphonates: Efficient and Selective Oxidation of Sulfides to Sulfones. Materials 2017, 10, 1173. [Google Scholar] [CrossRef] [PubMed]
- Phillips, J.; Gallezot, P.; Bergeret, G. Cinnamaldehyde hydrogenation: Dual catalytic chemistry of iron-rhodium/Grafoil catalysts. J. Mol. Catal. 1993, 78, 295–307. [Google Scholar] [CrossRef]
- Saini, M.K.; Gupta, R.; Parbhakar, S.; Singh, S.; Hussain, F. Lanthano-phosphotungstate: A water soluble and reusable catalyst for oxidation of alcohols using H2O2 as an oxidant. RSC Adv. 2014, 4, 38446–38449. [Google Scholar] [CrossRef]
- Shang, S.; Wang, L.; Dai, W.; Chen, B.; Lv, Y.; Gao, S. High catalytic activity of mesoporous Co–N/C catalysts for aerobic oxidative synthesis of nitriles. Catal. Sci. Technol. 2016, 6, 5746–5753. [Google Scholar] [CrossRef]
- Jia, Y.; Fang, Y.; Zhang, Y.; Miras, H.N.; Song, Y.-F. Classical Keggin Intercalated into Layered Double Hydroxides: Facile Preparation and Catalytic Efficiency in Knoevenagel Condensation Reactions. Chem. Eur. J. 2015, 21, 14862–14870. [Google Scholar] [CrossRef] [PubMed]
- Campbell, M.L.; Sulejmanovic, D.; Schiller, J.B.; Turner, E.M.; Hwu, S.-J.; Whitehead, D.C. Room-Temperature Catalytic Oxidation of Alcohols with the Polyoxovanadate Salt Cs5(V14As8O42Cl). Catal. Sci. Technol. 2016, 6, 3208–3213. [Google Scholar] [CrossRef]
- Zhang, Z.; Sadakane, M.; Murayama, T.; Izumi, S.; Yasuda, N.; Sakaguchi, N.; Ueda, W. Tetrahedral Connection of ε-Keggin-type Polyoxometalates to Form an All-Inorganic Octahedral Molecular Sieve with an Intrinsic 3D Pore System. Inorg. Chem. 2014, 53, 903–911. [Google Scholar] [CrossRef] [PubMed]
- Han, Z.-G.; Chang, X.-Q.; Yan, J.-S.; Gong, K.-N.; Zhao, C.; Zhai, X.-L. An Unusual Metallic Oxygen Cluster Consisting of a {AlMo12O40(MoO2)}. Inorg. Chem. 2014, 53, 670–672. [Google Scholar] [CrossRef] [PubMed]
- Folkesson, B. ESCA Studies on the Charge Distribution in Some Dinitrogen Complexes of Rhenium, Iridium, Ruthenium, and Osmium. Acta Chem. Scand. 1973, 27, 287–302. [Google Scholar] [CrossRef]
- Moulder, J.F.; Stikle, W.F.; Sobol, P.E.; Bomben, K.D. Handbook of X-ray Photoelectron Spectroscopy; Physical Electronics Inc.: Chanhassen, MN, USA, 1995. [Google Scholar]
- Kalinina, I.V.; Izarova, N.V.; Kortz, U. Bis[tetraruthenium(IV)]-Containing Polyoxometalates: [{RuIV4O6(H2O)9}2Sb2W20O68(OH)2]4− and [{RuIV4O6(H2O)9}2{Fe(H2O)2}2{β-TeW9O33}2H]−. Inorg. Chem. 2012, 51, 7442–7444. [Google Scholar] [CrossRef] [PubMed]
- Sheldrick, G. A short history of SHELX. Acta Crystallogr. Sect. A Found. Crystallogr. 2008, 64, 112–122. [Google Scholar] [CrossRef] [PubMed]
- Sheldrick, G. SADABS‒Bruker AXS Area Detector Scaling and Absorption, Version 2008/2001; University of Göttingen: Göttingen, Germany, 2008. [Google Scholar]
© 2018 by the authors. Licensee MDPI, Basel, Switzerland. This article is an open access article distributed under the terms and conditions of the Creative Commons Attribution (CC BY) license (http://creativecommons.org/licenses/by/4.0/).





























