A Combined Approach of Double Network Hydrogel and Nanocomposites Based on Hyaluronic Acid and Poly(ethylene glycol) Diacrylate Blend
Abstract
1. Introduction
2. Materials and Methods
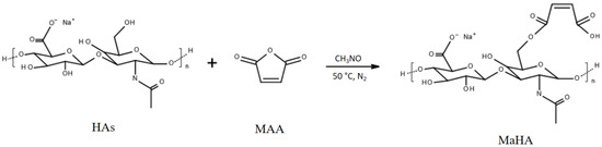
2.1. Synthesis of MaHA and Characterization
2.2. Preparation of Neat and Composite Single Network (SN) Hydrogels
2.3. Preparation of Neat and Composite Double Network (DN) Hydrogels
2.4. Characterization of Crosslinked Hydrogels
2.4.1. Thermogravimetric Analysis (TGA)
2.4.2. Dynamic Mechanical Analysis (DMA)
2.4.3. Scanning Electron Microscopy (SEM)
3. Results and Discussion
3.1. Synthesis of MaHA
3.2. Characterization of Crosslinked Hydrogels
3.2.1. Thermogravimetric Analysis (TGA)
3.2.2. Dynamic Mechanical Analysis (DMA)
3.2.3. Scanning Electron Microscopy (SEM)
4. Conclusions
Author Contributions
Funding
Conflicts of Interest
References
- Sarasam, A.; Sundararajan, V.M. Characterization of chitosan–polycaprolactone blends for tissue engineering applications. Biomaterials 2005, 26, 5500–5508. [Google Scholar] [CrossRef] [PubMed]
- Freyman, T.; Yannas, I.; Gibson, L. Cellular materials as porous scaffolds for tissue engineering. Prog. Mater. Sci. 2001, 46, 273–282. [Google Scholar] [CrossRef]
- Santin, M.; Huang, S.J.; Iannace, S.; Ambrosio, L.; Nicolais, L.; Peluso, G. Synthesis and characterization of a new interpenetrated poly (2-hydroxyethylmethacrylate)—Gelatin composite polymer. Biomaterials 1996, 17, 1459–1467. [Google Scholar] [CrossRef]
- Guarino, V.; Raucci, M.G.; Ronca, A.; Cirillo, V.; Ambrosio, L. Multifunctional scaffolds for bone regeneration. In Bone Substitute Biomaterials, 1st ed.; Mallick, K., Ed.; Woodhead Publishing Series in Biomaterials; Woodhead Publishing: Cambridge, UK, 2014; pp. 95–117. ISBN 9780857094971. [Google Scholar]
- Mandal, B.; Samit, K.R. Synthesis of interpenetrating network hydrogel from poly (acrylic acid-co-hydroxyethyl methacrylate) and sodium alginate: Modeling and kinetics study for removal of synthetic dyes from water. Carbohydr. Polym. 2013, 98, 257–269. [Google Scholar] [CrossRef] [PubMed]
- Hoffman, A.S. Hydrogels for biomedical applications. Adv. Drug Deliv. Rev. 2012, 64, 18–23. [Google Scholar] [CrossRef]
- Hoare, T.R.; Daniel, S.K. Hydrogels in drug delivery: Progress and challenges. Polymer 2008, 49, 1993–2007. [Google Scholar] [CrossRef]
- D’Amora, U.; Ronca, A.; Raucci, M.G.; Lin, H.; Soriente, A.; Fan, Y.; Zhang, X.; Ambrosio, L. Bioactive composites based on double network approach with tailored mechanical, physico-chemical, and biological features. J. Biomed. Mater. Res. A 2018, 106, 3079–3089. [Google Scholar]
- Peppas, N.A. Hydrogels in Medicine and Pharmacy; CRC Press: Boca Raton, FL, USA, 1987; Volumes I–III. [Google Scholar]
- Park, K.; Shalaby, W.S.W.; Park, H. Biodegradable Hydrogels for Drug Delivery; Technomic: Lancaster, PA, USA, 1993. [Google Scholar]
- Ronca, A.; Maiullari, F.; Milan, M.; Pace, V.; Gloria, A.; Rizzi, R.; De Santis, R.; Ambrosio, L. Surface functionalization of acrylic based photocrosslinkable resin for 3D printing applications. Bioact. Mater. 20017, 2, 131–137. [Google Scholar] [CrossRef]
- Ratner, B.D.; Hoffman, A.S. Synthetic hydrogels for biomedical applications. In Hydrogels for Medical and Related Applications; ACS Symposium Series; American Chemical Society: Washington, DC, USA, 1976; Volume 31, pp. 1–36. ISBN 9780841203112. [Google Scholar]
- Albani, D.; Gloria, A.; Giordano, C.; Rodilossi, S.; Russo, T.; D’Amora, U.; Tunesi, M.; Cigada, A.; Ambrosio, L.; Forloni, G. Hydrogel-based nanocomposites and mesenchymal stem cells: A promising synergistic strategy for neurodegenerative disorders therapy. Sci. World J. 2013. [Google Scholar] [CrossRef]
- Sionkowska, A. Current research on the blends of natural and synthetic polymers as new biomaterials. Prog. Polym. Sci. 2011, 36, 1254–1276. [Google Scholar] [CrossRef]
- Giusti, P.; Lazzeri, L.; Lelli, L. Bioartificial polymeric materials: A new method to design biomaterials by using both biological and synthetic polymers. Trends Polyme. Sci. 1993, 1, 261–267. [Google Scholar]
- Cascone, M.G. Dynamic–mechanical properties of bioartificial polymeric materials. Polym. Int. 1997, 43, 55–69. [Google Scholar] [CrossRef]
- Suh, J.K.F.; Howard, W.T.M. Application of chitosan-based polysaccharide biomaterials in cartilage tissue engineering: A review. Biomaterials 2000, 21, 2589–2598. [Google Scholar] [PubMed]
- Leclerc, E.; Furukawa, K.S.; Miyata, F.; Sakai, Y.; Ushida, T.; Fujii, T. Fabrication of microstructures in photosensitive biodegradable polymers for tissue engineering applications. Biomaterials 2004, 25, 4683–4690. [Google Scholar] [CrossRef] [PubMed]
- Gong, J.P. Why are double network hydrogels so tough? Soft Matter 2010, 6, 2583–2590. [Google Scholar] [CrossRef]
- Myung, D.; Waters, D.; Wiseman, M.; Duhamel, P.E.; Noolandi, J.; Ta, C.N.; Frank, C.W. Progress in the development of interpenetrating polymer network hydrogels. Polym. Adv. Technol. 2008, 19, 647–657. [Google Scholar] [CrossRef] [PubMed]
- Dragan, E.S. Design and applications of interpenetrating polymer network hydrogels. A review. Chem. Eng. J. 2014, 243, 572–590. [Google Scholar] [CrossRef]
- Loo-Teck, N.; Swami, S. IPNs based on chitosan with NVP and NVP/HEMA synthesised through photoinitiator-free photopolymerisation technique for biomedical applications. Carbohyd. Polym. 2005, 60, 523–528. [Google Scholar]
- Traian, C.; Karina, G.; Wael, G.; Abdul, A.; Steven, P.; Hill, A. Sequential homo-interpenetrating polymer networks of poly (2-hydroxyethyl methacrylate): Synthesis, characterization, and calcium uptake. J. Appl. Polym. Sci. 2012, 12, E455–E466. [Google Scholar]
- Nurettin, S.; Godbey, W.T.; McPherson, G.L.; John, V.T. Microgel, nanogel and hydrogel–hydrogel semi-IPN composites for biomedical applications: Synthesis and characterization. Colloid Polym. Sci. 2006, 284, 1121–1129. [Google Scholar]
- Gong, J.P.; Katsuyama, Y.; Kurokawa, T.; Osada, Y. Double network hydrogels with extremely high mechanical strength. Adv. Mater. 2003, 15, 1155–1158. [Google Scholar] [CrossRef]
- Haque, M.A.; Kurokawa, T.; Gong, J.P. Super tough double network hydrogels and their application as biomaterials. Polymer 2012, 53, 1805–1822. [Google Scholar] [CrossRef]
- Nakayama, A.; Kakugo, A.; Gong, J.P.; Osada, Y.; Takai, M.; Erata, T.; Kawano, S. High mechanical strength double-network hydrogel with bacterial cellulose. Adv. Funct. Mater. 2004, 14, 1124–1128. [Google Scholar] [CrossRef]
- Yang, H.N. Double network hydrogels with extremely high toughness and their applications. Korea-Aust. Rheol. J. 2013, 25, 185–196. [Google Scholar]
- Nie, J.; Du, B.; Oppermann, W. Swelling, Elasticity, and Spatial Inhomogeneity of Poly(N-isopropylacrylamide)/Clay Nanocomposite Hydrogels. Macromolecules 2005, 38, 5729–5736. [Google Scholar] [CrossRef]
- Haraguchi, K.; Li, H.J. Mechanical properties and structure of polymer−clay nanocomposite gels with high clay content. Macromolecules 2006, 39, 1898–1905. [Google Scholar] [CrossRef]
- Wang, Q.; Hou, R.; Cheng, Y.; Fu, J. Super-tough double-network hydrogels reinforced by covalently compositing with silica-nanoparticles. Soft Matter 2012, 8, 6048–6056. [Google Scholar] [CrossRef]
- Raucci, M.G.; Giugliano, D.; Alvarez-Perez, M.A.; Ambrosio, L. Effects on growth and osteogenic differentiation of mesenchymal stem cells by the strontium-added sol–gel hydroxyapatite gel materials. J. Mater. Sci. Mater. Med. 2015, 26, 90. [Google Scholar] [CrossRef] [PubMed]
- Iannace, S.; Ambrosio, L.; Nicolais, L.; Rastrelli, A.; Pastorello, L. Thermomechanical properties of hyaluronic acid-derived products. J. Mater. Sci. Mater. Med. 1992, 3, 59–64. [Google Scholar] [CrossRef]
- Naficy, S.; Razal, J.M.; Whitten, P.G.; Wallace, G.G.; Spinks, G.M. A pH-sensitive, strong double-network hydrogel: Poly (ethylene glycol) methyl ether methacrylates–poly (acrylic acid). J. Polym. Sci. B Polym. Phys. 2012, 50, 423–430. [Google Scholar] [CrossRef]
- Liu, Y.; Chan-Park, M.B. Hydrogel based on interpenetrating polymer networks of dextran and gelatin for vascular tissue engineering. Biomaterials 2009, 30, 196–207. [Google Scholar] [CrossRef] [PubMed]





| Polymers | MAA/HAs (mol/mol) | DS (%) |
|---|---|---|
| MaHA 10 | 10/1 | 50.2 |
| MaHA 15 | 15/1 | 72.9 |
| MaHA 20 | 20/1 | 88.2 |
© 2018 by the authors. Licensee MDPI, Basel, Switzerland. This article is an open access article distributed under the terms and conditions of the Creative Commons Attribution (CC BY) license (http://creativecommons.org/licenses/by/4.0/).
Share and Cite
Ronca, A.; D’Amora, U.; Raucci, M.G.; Lin, H.; Fan, Y.; Zhang, X.; Ambrosio, L. A Combined Approach of Double Network Hydrogel and Nanocomposites Based on Hyaluronic Acid and Poly(ethylene glycol) Diacrylate Blend. Materials 2018, 11, 2454. https://doi.org/10.3390/ma11122454
Ronca A, D’Amora U, Raucci MG, Lin H, Fan Y, Zhang X, Ambrosio L. A Combined Approach of Double Network Hydrogel and Nanocomposites Based on Hyaluronic Acid and Poly(ethylene glycol) Diacrylate Blend. Materials. 2018; 11(12):2454. https://doi.org/10.3390/ma11122454
Chicago/Turabian StyleRonca, Alfredo, Ugo D’Amora, Maria Grazia Raucci, Hai Lin, Yujiang Fan, Xingdong Zhang, and Luigi Ambrosio. 2018. "A Combined Approach of Double Network Hydrogel and Nanocomposites Based on Hyaluronic Acid and Poly(ethylene glycol) Diacrylate Blend" Materials 11, no. 12: 2454. https://doi.org/10.3390/ma11122454
APA StyleRonca, A., D’Amora, U., Raucci, M. G., Lin, H., Fan, Y., Zhang, X., & Ambrosio, L. (2018). A Combined Approach of Double Network Hydrogel and Nanocomposites Based on Hyaluronic Acid and Poly(ethylene glycol) Diacrylate Blend. Materials, 11(12), 2454. https://doi.org/10.3390/ma11122454

