Combination of Phase Matching and Phase-Reversal Approaches for Thermal Damage Assessment by Second Harmonic Lamb Waves
Abstract
1. Introduction
2. General Considerations
2.1. Principle of Phase-Reversal Approach
2.2. Acoustic Nonlinear Parameter
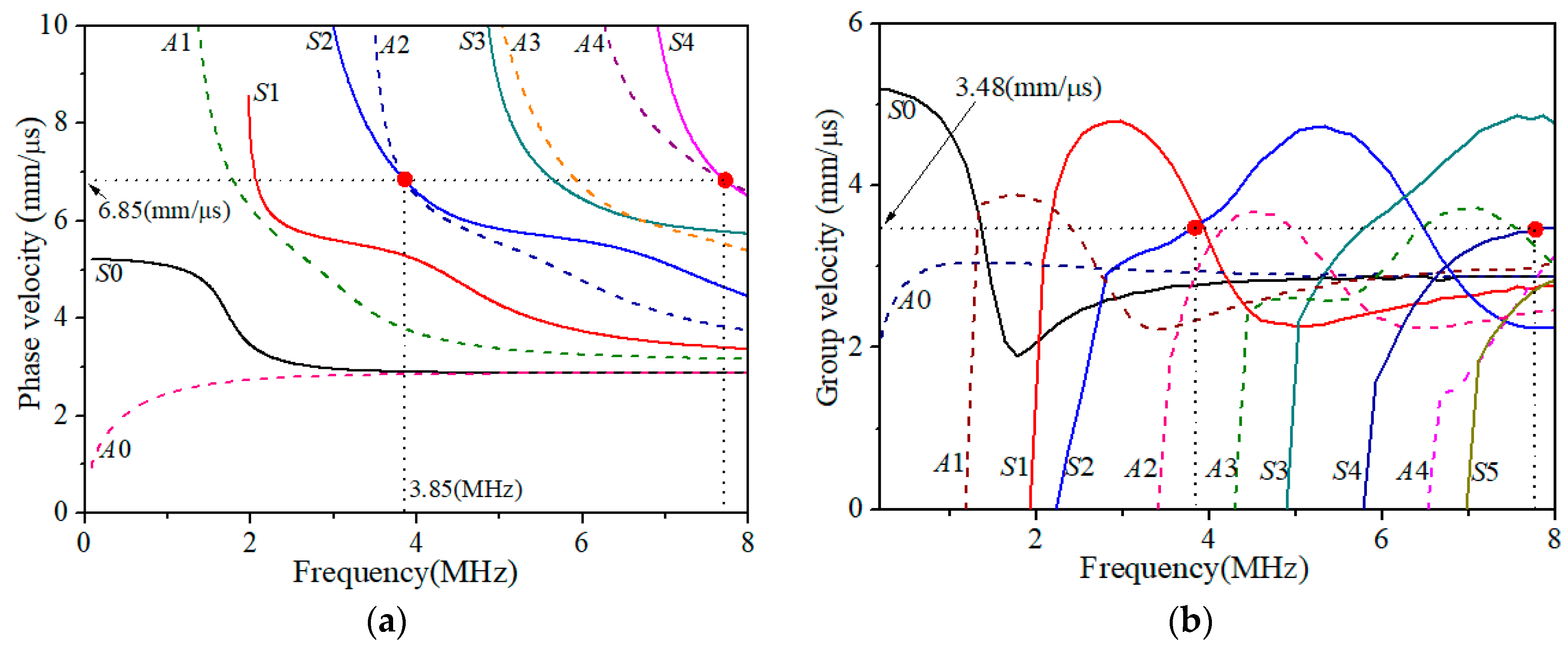
2.3. Selection of Lamb Wave Mode Pair
3. Specimens and Experimental Setup
3.1. Specimens
3.2. Experimental Setup
4. Measurement, Results and Discussion
5. Conclusions
Author Contributions
Funding
Conflicts of Interest
References
- Bhattacharyya, S.; Sarkar, M.B.D. Failure analysis of stainless steel tubes in a recuperator due to elevated temperature sulphur corrosion. Eng. Fail. Anal. 2008, 15, 711–722. [Google Scholar] [CrossRef]
- Silva, E.W.; de Albuquerque, V.H.C.; Leite, J.P.; Varela, A.C.; de Moura, E.P.; Tavares, J.R.S. Phase transformations evaluation on a UNS S31803 duplex stainless steel based on nondestructive testing. Mater. Sci. Eng. A 2009, 516, 126–130. [Google Scholar] [CrossRef]
- Phlanichamy, P.; Joseph, A.; Jayakumar, T.; Raj, B. Ultrasonic velocity measurements for estimation of grain size in austenitic stainless steel. NDT E Int. 1995, 28, 179–185. [Google Scholar] [CrossRef]
- Blitz, J.; Simpson, G. Ultrasonic Methods of Non-Destructive Testing; Springer: London, UK, 1996. [Google Scholar]
- Rose, J.L. Ultrasonic Waves in Solid Media; Cambridge University Press: Cambridge, UK, 1999. [Google Scholar]
- Achenbach, J.D. Wave Propagation in Elastic Solids; Elsevier: New York, NY, 1987. [Google Scholar]
- Graff, K.L. Wave Motion in Elastic Solids; Ohio State University: Columbus, OH, USA, 1975. [Google Scholar]
- Su, Z.; Ye, L.; Lu, Y. Guided Lamb waves for identification of damage in composite structures: A review. J. Sound Vib. 2006, 295, 753–780. [Google Scholar] [CrossRef]
- Wilcox, P.; Lowe, M.; Cawley, P. The effect of dispersion on long-range inspection using ultrasonic guided waves. NDT E Int. 2001, 34, 1–9. [Google Scholar] [CrossRef]
- Alleyne, D.N.; Cawley, P. The interaction of Lamb waves with defects. IEEE Trans. Ultrason. Ferroelectr. Freq. Control 1992, 39, 381–397. [Google Scholar] [CrossRef] [PubMed]
- Deng, M. Analysis of second-harmonic generation of Lamb modes using a modal analysis approach. J. Appl. Phys. 2003, 94, 4152–4159. [Google Scholar] [CrossRef]
- De Lima, W.J.N.; Hamilton, M.F. Finite-amplitude waves in isotropic elastic plates. J. Sound Vib. 2003, 265, 819–839. [Google Scholar] [CrossRef]
- Nagy, P.B. Fatigue damage assessment by nonlinear ultrasonic material characterization. Ultrasonics 1998, 36, 275–381. [Google Scholar] [CrossRef]
- Yang, Z.; Tian, Y.; Li, W.; Zhou, H.; Zhang, W.; Li, J. Experimental investigation of the acoustic nonlinear behavior in granular polymer bonded explosives with progressive fatigue damage. Materials 2017, 10, 660. [Google Scholar] [CrossRef] [PubMed]
- Jhang, K.Y. Nonlinear ultrasonic techniques for nondestructive assessment of micro-damage in material: A review. Int. J. Precis. Eng. Manuf. 2009, 10, 123–135. [Google Scholar] [CrossRef]
- Kim, J.; Jacobs, L.J.; Qu, J. Experimental characterization of fatigue damage in a nickel-base superalloy using nonlinear ultrasonic waves. J. Acoust. Soc. Am. 2006, 120, 1266–1273. [Google Scholar] [CrossRef]
- Deng, M.; Pei, J. Assessment of accumulated fatigue damage in solid plates using nonlinear Lamb wave approach. Appl. Phys. Lett. 2007, 90, 121902. [Google Scholar] [CrossRef]
- Li, W.; Deng, M.; Xiang, Y. Review on second-harmonic generation of ultrasonic guided waves in solid media (Ⅰ): Theoretical analyses. Chin. Phys. B 2017, 26, 114302. [Google Scholar] [CrossRef]
- Deng, M.; Wang, P.; Lv, X. Experimental verification of cumulative growth effect of second harmonics of Lamb wave propagation in an elastic plate. Appl. Phys. Lett. 2005, 86, 124104. [Google Scholar] [CrossRef]
- Xiang, Y.; Deng, M.; Xuan, F.; Liu, C. Experimental study of thermal degradation in ferritic Cr-Ni alloy steel plates using nonlinear Lamb waves. NDT E Int. 2011, 44, 768–774. [Google Scholar] [CrossRef]
- Li, W.; Cho, Y.; Achenbach, J.D. Detection of thermal fatigue in composites by second harmonic Lamb waves. Smart. Mater. Struct. 2012, 21, 085019. [Google Scholar] [CrossRef]
- Bermes, C.; Kim, J.; Qu, J.; Jacobs, L.J. Nonlinear Lamb waves for the detection of material nonlinearity. Mech. Syst. Signal Process. 2008, 22, 638–646. [Google Scholar] [CrossRef]
- Hong, M.; Su, Z.; Lu, Y.; Sohn, H.; Qing, X. Locating fatigue damage using temporal signal features of nonlinear Lamb waves. Mech. Syst. Signal Process. 2015, 60, 182–197. [Google Scholar] [CrossRef]
- Pruell, C.; Kim, J.; Qu, J.; Jacobs, L.J. Nonlinear-guided wave technique for evaluating plasticity-driven material damage in metal plate. NDT E Int. 2008, 42, 199–203. [Google Scholar] [CrossRef]
- Matsuda, N.; Biwa, S. Phase and group velocity matching for cumulative harmonic generation in Lamb waves. J. Appl. Phys. 2011, 109, 094903. [Google Scholar] [CrossRef]
- Deng, M.; Xiang, Y.; Liu, L. Time-domain analysis and experimental examination of cumulative second harmonic generation by primary Lamb wave propagation. J. Appl. Phys. 2011, 109, 113525. [Google Scholar] [CrossRef]
- Shen, C.; Chou, Y.; Li, P. Pulse inversion technique in ultrasonic nonlinear imaging. J. Med. Ultrasound 2005, 13, 3–17. [Google Scholar] [CrossRef]
- Xander, A.M.V.; Leon, A.F.L.; Jean, M.W.; Peter, J.B.; Arnold, P.G.H. Experimental investigation of the pulse inversion technique for imaging ultrasound contrast agents. J. Acoust. Soc. Am. 2000, 107, 2281–2290. [Google Scholar]
- Viswanath, A.; Rao, B.P.C.; Mahadevan, S.; Jayakumar, T.; Raj, B. Microstructural characterization of M250 grade maraging steel using nonlinear ultrasonic technique. J. Mater. Sci. 2010, 45, 6719–6726. [Google Scholar] [CrossRef]
- Makoto, F.; Kazuhiko, I. Detection of second-harmonic components of Lamb waves generated from fatigue plate using a double-layered piezoelectric transducer. Jpn. J. Appl. Phys. 2012, 51, 07GB06. [Google Scholar]
- Lanza di Scalea, F.; Nucera, C.; Sternini, S. Nonlinear ultrasonic waves for structural monitoring: Thermal stress measurement and guided wave management. J. Acoust. Soc. Am. 2015, 138, 1835. [Google Scholar] [CrossRef]
- Srivastava, A.; di Scalea, F.L. Higher harmonic generation in nonlinear waveguides of arbitrary cross-section. J. Acoust. Soc. Am. 2010, 127, 2790–2796. [Google Scholar] [CrossRef] [PubMed]
- Srivastava, A.; di Scalea, F.L. On the existence of antisymmetric or symmetric Lamb waves at nonlinear higher harmonics. J. Sound Vib. 2009, 323, 932–943. [Google Scholar] [CrossRef]
- Li, W.; Cho, Y.; Lee, J.; Achenbach, J.D. Assessment of heat treated Inconel X-750 alloy by nonlinear ultrasonics. Exp. Mech. 2013, 53, 775–781. [Google Scholar] [CrossRef]
- Li, W.; Cho, Y. Thermal fatigue damage assessment in an isotropic pipe using nonlinear ultrasonic guided waves. Exp. Mech. 2014, 54, 1309–1318. [Google Scholar] [CrossRef]
- Pruell, C.; Kim, J.; Qu, J.; Jacobs, L.J. Evaluation of fatigue damage using nonlinear guided waves. Smart Mater. Struct. 2009, 18, 035003. [Google Scholar] [CrossRef]











| C | Si | Mn | Cr | N | P | Ni | Cu | Fe |
|---|---|---|---|---|---|---|---|---|
| ≤0.15 | ≤0.75 | 5.5–7.5 | 16–18 | ≤0.25 | ≤0.06 | 3.5–5.5 | 2.3 | Remain |
© 2018 by the authors. Licensee MDPI, Basel, Switzerland. This article is an open access article distributed under the terms and conditions of the Creative Commons Attribution (CC BY) license (http://creativecommons.org/licenses/by/4.0/).
Share and Cite
Li, W.; Hu, S.; Deng, M. Combination of Phase Matching and Phase-Reversal Approaches for Thermal Damage Assessment by Second Harmonic Lamb Waves. Materials 2018, 11, 1961. https://doi.org/10.3390/ma11101961
Li W, Hu S, Deng M. Combination of Phase Matching and Phase-Reversal Approaches for Thermal Damage Assessment by Second Harmonic Lamb Waves. Materials. 2018; 11(10):1961. https://doi.org/10.3390/ma11101961
Chicago/Turabian StyleLi, Weibin, Shicheng Hu, and Mingxi Deng. 2018. "Combination of Phase Matching and Phase-Reversal Approaches for Thermal Damage Assessment by Second Harmonic Lamb Waves" Materials 11, no. 10: 1961. https://doi.org/10.3390/ma11101961
APA StyleLi, W., Hu, S., & Deng, M. (2018). Combination of Phase Matching and Phase-Reversal Approaches for Thermal Damage Assessment by Second Harmonic Lamb Waves. Materials, 11(10), 1961. https://doi.org/10.3390/ma11101961

