Development of Cracking Patterns in Modified Cement Matrix with Microsilica
Abstract
1. Introduction
- (1)
- attractive capillary forces—from 1 to 0.1 mm;
- (2)
- attractive van der Waals’ forces—from 0.1 to 10−4 mm;
- (3)
- repulsive Coulomb’s forces—from 10−2 to 10−6 mm;
- (4)
- repulsing pressure—from 10−2 to 10−6 mm.
2. Materials and Methods
2.1. Components Used and Sample Preparation
2.2. Elevated Temperature Loading
2.3. Basic Physico-Mechanical Characteristics of the Cement Pastes
2.4. Image Analysis
2.5. Local Microstructure Examination
3. Results and Discussion
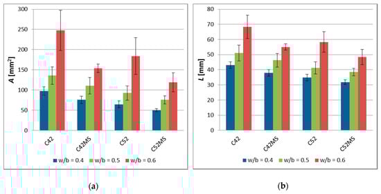
3.1. Properties of the Cracking Patterns
3.2. Cracking Patterns Development Process
3.3. The Local Microstructure of the Cement Matrix
4. Conclusions
- (1)
- Computer image analysis tools could be successfully applied to the quantitative description of cracking patterns.
- (2)
- While analyzing the structure of the cement paste as a dispersion system, factors influencing the process of self-assembly of cluster structures were identified at the initial binding stage. Geometric characteristics of the clusters depended on the technological variables in a production process of the cement pastes. The process of a structure self-assembly was shaped by intermolecular interactions in a dispersion medium of the cement paste, and on physico-chemical changes in the system occurring as a result of the cement hydration.
- (3)
- The cluster size was mainly shaped by capillary forces, which increased with the size of cement grains; the larger the size of the cement grains, the larger the size of the clusters.
- (4)
- With a decrease in the amount of binder in the material’s volume (increase in w/b), the size of clusters and cracks width increased.
- (5)
- The distance between the crack’s edges depended on the clusters’ volume deformations, which increased along with their size.
- (6)
- The three-stage schematic process of the cracking pattern development process was proposed; it described the evolution of the cluster structures into the cracking patterns, due to the thermal interaction.
- (7)
- Adding the MS to the cement matrix caused a physico-chemical sealing of material structure; this reduced the size of clusters and the width of cracks between them.
- (8)
- The microstructure analysis of the modified cement pastes, using SEM and EDS, indicated a presence of the cluster structures at lower levels of the material structure, which confirmed the fractal nature of cracking patterns. The analysis also allowed the identification of structural differences between individual samples of the cementitious material.
Funding
Conflicts of Interest
References
- Neville, A.M. Properties of Concrete, 4th ed.; Arkady: Warszawa, Poland, 2000. [Google Scholar]
- Fu, Y.F.; Wong, Y.L.; Poon, C.S.; Tang, C.A.; Lin, P. Experimental study of micro/macro crack development and stress-strain relations of cement-based composite materials at elevated temperatures. Cem. Concr. Res. 2004, 34, 789–797. [Google Scholar] [CrossRef]
- Fu, Y.F.; Wong, Y.L.; Poon, C.S.; Tang, C.A. Numerical tests of thermal cracking induced by temperature gradient in cement-based composites under thermal loads. Cem. Concr. Compos. 2007, 29, 103–116. [Google Scholar] [CrossRef]
- Fic, S.; Vyrovoy, V.N.; Dorofeev, V.S. Procesy Samoorganizacji Struktury Kompozytowych Materiałów Budowlanych; Politechnika Lubelska: Lublin, Poland, 2013. (In Polish) [Google Scholar]
- Sukhanov, V.; Vyrovoy, V.; Dorofeev, V. Crack’s role in structural development of the constructional composite materials. Mod. Ind. Civ. Constr. 2011, 7, 135–141. [Google Scholar]
- Fic, S.; Szelag, M. Analysis of the development of cluster cracks caused by elevated temperatures in cement paste. Constr. Build. Mater. 2015, 83, 223–229. [Google Scholar] [CrossRef]
- Li, Z.; Peng, J.; Ma, B. Investigation of chloride diffusion for high-performance concrete containing fly ash, microsilica and chemical admixtures. Mater. J. 1999, 96, 391–396. [Google Scholar]
- Khan, M. Permeation of high performance concrete. J. Mater. Civ. Eng. 2003, 15, 84–92. [Google Scholar] [CrossRef]
- Bentz, D.; Jensen, O.; Coats, A.; Glasser, F. Influence of silica fume on diffusivity in cement-based materials I. Experimental and computer modeling studies on cement pastes. Cem. Concr. Res. 2000, 30, 953–962. [Google Scholar] [CrossRef]
- Bentz, D.; Stutzman, P. Evolution of porosity and calcium hydroxide in laboratory concretes containing silica fume. Cem. Concr. Res. 1994, 24, 1044–1050. [Google Scholar] [CrossRef]
- Zegardlo, B.; Szelag, M.; Ogrodnik, P. Ultra-high strength concrete made with recycled aggregate from sanitary ceramic wastes—The method of production and the interfacial transition zone. Constr. Build. Mater. 2016, 122, 736–742. [Google Scholar] [CrossRef]
- Heikal, M.; El-Didamony, H.; Sokkary, T.M.; Ahmed, I.A. Behavior of composite cement pastes containing microsilica and fly ash at elevated temperature. Constr. Build. Mater. 2013, 38, 1180–1190. [Google Scholar] [CrossRef]
- Saad, M.; Abo-El-Enein, S.A.; Hanna, G.B.; Kotkata, M.F. Effect of temperature on physical and mechanical properties of concrete containing silica fume. Cem. Concr. Res. 1996, 26, 669–675. [Google Scholar] [CrossRef]
- Naus, D.J. The Effect of Elevated Temperature on Concrete Materials and Structures—A Literature Review. Available online: https://info.ornl.gov/sites/publications/files/Pub1043.pdf (accessed on 9 October 2018).
- Schneider, U. Concrete at high temperatures—A general review. Fire Saf. J. 1988, 13, 55–58. [Google Scholar] [CrossRef]
- Harmathy, T.Z. Thermal properties of concrete at elevated temperatures. J. Mater. 1970, 5, 47–74. [Google Scholar]
- Kurdowski, W. Chemia Cementu I Betonu; Wydawnictwo Polski Cement, Wydawnictwo Naukowe PWN: Kraków, Poland, 2010. (In Polish) [Google Scholar]
- Kristensen, L.; Hansen, T.C. Cracks in concrete core due to fire or thermal heating shock. Mater. J. 1994, 91, 453–459. [Google Scholar]
- Available online: http://www.kvond.wordpress.com (accessed on 4 March 2009).
- Available online: http://www.streetsmash.com (accessed on 17 April 2013).
- Available online: http://www.texturelib.com (accessed on 1 January 2013).
- Dias, W.P.S.; Khoury, G.A.; Sullivan, P.J.E. Mechanical properties of hardened cement paste exposed to temperature up to 700C (1292F). Mater. J. 1990, 87, 160–166. [Google Scholar]
- Mendes, A.; Sanjayan, J.G.; Gates, W.P.; Collins, F. The influence of water absorption and porosity on the deterioration of cement paste and concrete exposed to elevated temperatures, as in a fire event. Cem. Concr. Compos. 2012, 34, 1067–1074. [Google Scholar] [CrossRef]
- Fu, Y.; Wong, Y.; Tang, C.; Poon, C. Thermal induced stress and associated crackin in cement-based composite at elevated temperatures—Part II: Thermal cracking around multiple inclusions. Cem. Concr. Compos. 2004, 26, 113–126. [Google Scholar] [CrossRef]
- Luccioni, B.; Figueroa, M.; Danesi, R. Thermo-mechanic model for concrete exposed to elevated temperatures. Eng. Struct. 2003, 25, 729–742. [Google Scholar] [CrossRef]
- Xu, Y.; Wong, Y.; Poon, C.; Anson, M. Influence of PFA on cracking of concrete and cement paste after exposure to high temperatures. Cem. Concr. Res. 2003, 33, 2009–2016. [Google Scholar] [CrossRef]
- Mobhaser, B.; Stang, H.; Shah, S. Microcracking in fiber reinforced-concrete. Cem. Concr. Res. 1990, 20, 665–676. [Google Scholar] [CrossRef]
- Kim, K.; Yun, T.; Park, K. Evaluation of pore structures and cracking in cement paste exposed to elevated temperatures by X-ray computed tomography. Cem. Concr. Res. 2013, 50, 34–40. [Google Scholar] [CrossRef]
- Wang, K.; Shah, S.; Phuaksuk, P. Plastic shrinkage cracking in concrete materials - Influence of fly ash and fibers. Mater. J. 2001, 98, 458–464. [Google Scholar]
- Bakhshi, M.; Mobasher, B. Experimental observations of early-age drying of Portland cement paste under low-pressure conditions. Cem. Concr. Compos. 2011, 33, 474–484. [Google Scholar] [CrossRef]
- Bisschop, J.; Wittel, F. Contraction gradient induced microcracking in hardened cement paste. Cem. Concr. Compos. 2011, 33, 466–473. [Google Scholar] [CrossRef]
- Bentz, D.; Aitcin, P.C. The hidden meaning of the water-to-cement ratio. Concr. Int. 2008, 30, 51–54. [Google Scholar]
- Banfill, P.F.G.E. Rheology of Fresh Cement and Concrete: Proceedings of an International Conference; CRC Press: Boca Raton, FL, USA, 1990. [Google Scholar]
- Roussel, N. Understanding the Rheology of Concrete; Elsevier: Amsterdam, The Netherlands, 2012; pp. 1–364. [Google Scholar]
- Gierczycki, A.T. Procesy Agregacji i Rozpadu w Układach Dyspersyjnych Ciało Stałe—Ciecz; Wydawnictwo Politechniki Śląskiej: Gliwice, Poland, 2014. (In Polish) [Google Scholar]
- Pellenq, R.; Crespin, M.; Lequeux, N.; Menager, C.; Costalin, L.; Delville, A.; Caillol, J.; van Damme, H.; Nonat, A. A (NVT) Monte-Carlo Study of the Stability of Charged Interfaces, Application to Cement and Clay Minerals; RILEM Publications SARL: Dijon, France, 1997; pp. 63–86. [Google Scholar]
- Helmuth, R.A. Structure and rheology of fresh cement paste. In Proceedings of the 7th International Congress on the Chemistry of Cement, Paris, France, 1980. [Google Scholar]
- Costa, U.; Massazza, F. Structure and Properties of cement suspensions. In Proceedings of the 8th International Congress on the Chemistry of Cement, Rio de Janeiro, Brazil, 22–27 September 1986; pp. 248–256. [Google Scholar]
- Chatterji, S.; Kawamura, M. Electrical double layer, ion transport and reactions in hardened cement paste. Cem. Concr. Res. 1992, 22, 774–782. [Google Scholar] [CrossRef]
- Friedmann, H.A.; Ait-Mokhtar, A. Physical modeling of the electrical double layer effects on multispecies ions transport in cement-based materials. Cem. Concr. Res. 2008, 38, 1394–1400. [Google Scholar] [CrossRef]
- Nagele, E. The zeta-potential of cement: Part III: The non-equilibrium double layer on cement. Cem. Concr. Res. 1987, 17, 573–580. [Google Scholar] [CrossRef]
- Solomatov, V.I. Polystructural theory development of composite building materials. In The Success of Modern Materials Science: Proceedings of the Anniversary Conference; RAASN, MGUPS: Moscow, Russia, 2001; pp. 56–66. [Google Scholar]
- Vyrovoy, V.N.; Dorofeev, V.S.; Sukhanov, V.G. Composite Building Materials and Constructions. Structure, Self-Organization, Properties; TES: Odessa, Ukraine, 2010. [Google Scholar]
- Hunter, R.J. Introduction to Modern Colloid Science; Oxford University Press: Oxford, UK, 1993. [Google Scholar]
- Bagster, D.F. Aggregate Behaviour in Stirred Vessels. In Processing of Solid—Liquid Suspensions; Butterworth-Heinemann Ltd.: Oxford, UK, 1996; pp. 26–58. [Google Scholar]
- Derjaguin, B.; Landau, L. Theory of the stability of strongly charged lyophobic sols and of the adhesion of strongly charged-particles in solutions of electrolytes. Prog. Surf. Sci. 1993, 43, 30–59. [Google Scholar] [CrossRef]
- Verwey, E.J.W.; Overbeek, J.T.G.; Overbeek, J.T.G. Theory of the Stability of Lyophobic Colloids; Courier Corporation: Chelmsford, MA, USA, 1999. [Google Scholar]
- Szeląg, M.; Fic, S. Analiza rozwoju spękań klastrowych w zaczynie cementowym modyfikowanym mikrokrzemionką. Budownictwo i Architektura 2015, 14, 117–127. (In Polish) [Google Scholar]
- Herega, A.N. Physical aspects of self-organization processes in composites. 1. Simulation of percolation clusters of phases and of inner boundaries. Nanomech. Sci. Technol. Int. J. 2013, 4, 119–132. [Google Scholar] [CrossRef]
- Rebinder, P.A. Surface phenomena in disperse systems. In Physicochemical Mechanics. Selected Works; Wiley-Interscience: Moscow, Russia, 1979. [Google Scholar]
- Solomatov, V.I.; Vyrovoy, V.N.; Bobryshev, A.N. Polystructural Theory of Composite Building Materials; Publishers FAN: Tashkent, Uzbekistan, 1991. [Google Scholar]
- Korenkova, S.; Sidorenko, Y.; Jemiolo, S.; Gajewski, M.; Krzeminski, M. Improving durability of cement composite materials. Procedia Eng. 2015, 111, 420–424. [Google Scholar] [CrossRef]
- Lazzari, S.; Nicoud, L.; Jaquet, B.; Lattuada, M.; Morbidelli, M. Fractal-like structures in colloid science. Adv. Colloid Interface Sci. 2016, 235, 1–13. [Google Scholar] [CrossRef] [PubMed]
- Bogue, R.H. The Chemistry of Portland Cement; Reinhold publishing corporation: New York, NY, USA, 1947. [Google Scholar]
- European Committee for Standardization. Methods of Testing Cement—Part 1: Determination of Strength; EN 196-1; European Committee for Standardization: Brussels, Belgium, 2005. [Google Scholar]
- Szeląg, M.; Fic, S. The use of image analysis techniques to describe a cluster cracks in the cement paste with the addition of metakaolinite. In Proceedings of the 18th International Conference on Civil, Environmental and Structural Engineering, Kuala Lumpur, Malaysia, 11–12 February 2016. [Google Scholar]
- Szeląg, M. The influence of microsilica on the cluster cracks’ geometry of cement paste. In Proceedings of the 18th International Conference on Civil Engineering and Building Materials, Rome, Italy, 8–9 December 2016. [Google Scholar]
- Szelag, M. Mechano-physical properties and microstructure of carbon nanotube reinforced cement paste after thermal load. Nanomaterials 2017, 7, 22. [Google Scholar] [CrossRef] [PubMed]
- Szelag, M. The influence of metakaolinite on the development of thermal cracks in a cement matrix. Materials 2018, 11, 17. [Google Scholar] [CrossRef] [PubMed]
- European Committee for Standarization. Testing Hardened Concrete—Part 3: Compressive Strength of Test Specimens; EN 12390-3; European Committee for Standarization: Brussels, Belgium, 2009. [Google Scholar]
- European Committee for Standarization. Testing Hardened Concrete—Part 5: Flexural Strength of Test Specimens; EN 12390–5; European Committee fo Standarization: Brussels, Belgium, 2009. [Google Scholar]
- European Committee for Standarization. Testing Hardened Concrete—Part 7: Density of Hardened Concrete; EN 12390-7; European Committee fo Standarization: Brussels, Belgium, 2009. [Google Scholar]
- Szeląg, M. Wpływ Składu Kompozytów Cementowych na Geometrię Ich Spękań Termicznych; Lublin University of Technology: Lublin, Poland, 2017. (In Polish) [Google Scholar]
- Jonsson, B.; Wennerstrom, H.; Nonat, A.; Cabane, B. Onset of cohesion in cement paste. Langmuir 2004, 20, 6702–6709. [Google Scholar] [CrossRef] [PubMed]
- Labbez, C.; Nonat, A.; Pochard, I.; Jonsson, B. Experimental and theoretical evidence of overcharging of calcium silicate hydrate. J. Colloid Interface Sci. 2007, 309, 303–307. [Google Scholar] [CrossRef] [PubMed]
- Richardson, I. Tobermorite/jennite- and tobermorite/calcium hydroxide-based models for the structure of C-S-H: Applicability to hardened pastes of tricalcium silicate, beta-dicalcium silicate, Portland cement, and blends of Portland cement with blast-fumace slag, metakaolin, or silica fume. Cem. Concr. Res. 2004, 34, 1733–1777. [Google Scholar]
- Granju, J.; Grandet, J. Relation between the hydration state and the compressive strength of hardened portland-cement pastes. Cem. Concr. Res. 1989, 19, 579–585. [Google Scholar] [CrossRef]
- Jiang, S.; Mutin, J.; Nonat, A. Studies on mechanism and physico-chemical parameters at the origin of the cement setting. 2. Physico-chemical parameters determining the coagulation process. Cem. Concr. Res. 1996, 26, 491–500. [Google Scholar] [CrossRef]
- Diamond, S. The microstructures of cement paste in concrete. Vol. II/2, s. 2-9. In Proceedings of the 8th International Congress on the Chemistry of Cement, Rio de Janeiro, Brazil, 22–27 September 1986. [Google Scholar]














| Cement’s Class | Chemical Analysis [%] | ||||||||
| SiO2 | Fe2O3 | Al2O3 | CaO | MgO | SO3 | Cl | Na2O | K2O | |
| CEM I 42.5R | 20.18 | 3.39 | 4.38 | 64.79 | 1.17 | 2.91 | 0.083 | 0.26 | 0.49 |
| CEM I 52.5R | 20.19 | 3.30 | 4.33 | 64.76 | 1.17 | 3.16 | 0.078 | 0.26 | 0.48 |
| Mineral Composition [%] | Blaine Specific Surface Area [cm2/g] | ||||||||
| C3S | C2S | C3A | C4AF | ||||||
| CEM I 42.5R | 63.41 | 8.92 | 5.88 | 10.31 | 4010 | ||||
| CEM I 52.5R | 62.97 | 9.28 | 5.90 | 10.03 | 4596 | ||||
| Series | C42 | C42MS | C52 | C52MS | ||||||||
|---|---|---|---|---|---|---|---|---|---|---|---|---|
| w/b | 0.4 | 0.5 | 0.6 | 0.4 | 0.5 | 0.6 | 0.4 | 0.5 | 0.6 | 0.4 | 0.5 | 0.6 |
| fc(R) [MPa] | 61.40 | 43.43 | 34.17 | 61.97 | 46.88 | 35.47 | 69.52 | 49.67 | 39.10 | 68.13 | 50.99 | 41.01 |
| fc(T) [MPa] | 39.26 | 23.08 | 15.90 | 41.45 | 25.80 | 14.70 | 49.29 | 30.42 | 21.13 | 52.54 | 41.07 | 24.40 |
| fcf(R) [MPa] | 5.80 | 4.35 | 3.16 | 5.10 | 4.63 | 3.03 | 5.74 | 4.39 | 3.86 | 6.26 | 3.94 | 3.19 |
| fcf(T) [MPa] | 2.97 | 2.59 | 1.32 | 3.26 | 2.55 | 1.36 | 1.53 | 1.35 | 1.16 | 1.94 | 1.79 | 1.27 |
| D(R) [g/cm3] | 1.692 | 1.528 | 1.416 | 1.669 | 1.488 | 1.337 | 1.750 | 1.574 | 1.432 | 1.710 | 1.571 | 1.388 |
| D(T) [g/cm3] | 1.513 | 1.376 | 1.277 | 1.489 | 1.329 | 1.196 | 1.549 | 1.388 | 1.266 | 1.511 | 1.367 | 1.219 |
| Series | C42 | C42MS | C52 | C52MS | ||||||||
|---|---|---|---|---|---|---|---|---|---|---|---|---|
| w/b | 0.4 | 0.5 | 0.6 | 0.4 | 0.5 | 0.6 | 0.4 | 0.5 | 0.6 | 0.4 | 0.5 | 0.6 |
| fc(R) [%] | 7.24 | 4.42 | 4.19 | 5.08 | 4.61 | 2.97 | 7.58 | 5.31 | 4.79 | 2.96 | 4.92 | 5.06 |
| fc(T) [%] | 4.85 | 4.15 | 3.39 | 3.42 | 3.40 | 2.77 | 5.71 | 3.67 | 4.11 | 7.38 | 5.59 | 6.82 |
| fcf(R) [%] | 3.52 | 8.06 | 7.44 | 2.63 | 6.87 | 2.41 | 8.46 | 4.64 | 7.19 | 1.99 | 5.51 | 3.94 |
| fcf(T) [%] | 7.98 | 7.99 | 2.16 | 4.62 | 4.49 | 7.40 | 8.57 | 8.15 | 5.90 | 2.76 | 5.38 | 5.37 |
| D(R) [%] | 0.25 | 0.20 | 0.15 | 0.29 | 0.35 | 0.24 | 0.33 | 0.41 | 0.56 | 0.10 | 0.41 | 0.40 |
| D(T) [%] | 0.22 | 0.08 | 0.24 | 0.33 | 0.32 | 0.25 | 0.34 | 0.31 | 0.45 | 0.28 | 0.37 | 0.56 |
| Series | Equation | R2 | Se [mm2] | W [%] | ||
|---|---|---|---|---|---|---|
| C42 | y = 53570x2 + 808.28x | 0.82 | 33.39 | 20.82 | 0.75 | C42 |
| C42MS | y = 40368x2 + 1762.60x | 0.91 | 11.38 | 10.03 | C42MS | |
| C52 | y = 20643x2 + 762.54x | 0.94 | 15.28 | 13.42 | C52 | |
| C52MS | y = 75147x2 − 205.88x | 0.91 | 10.30 | 12.60 | C52MS | |
| Oxide | Percentage of Oxides (Percentage Difference with Respect to C52) [%] | |
|---|---|---|
| C52 | C52MS | |
| Na2O | 0.79 (−) | 0.59 (−25.6) |
| MgO | 1.06 (−) | 1.18 (12.0) |
| Al2O5 | 6.58 (−) | 4.85 (−26.3) |
| SiO2 | 22.87 (−) | 26.80 (17.2) |
| SO3 | 3.78 (−) | 4.20 (10.9) |
| K2O | 0.52 (−) | 0.70 (34.4) |
| CaO | 61.30 (−) | 59.12 (−3.6) |
| Fe2O3 | 3.12 (−) | 2.55 (−18.3) |
| Na2O | 0.79 (−) | 0.59 (−25.6) |
© 2018 by the author. Licensee MDPI, Basel, Switzerland. This article is an open access article distributed under the terms and conditions of the Creative Commons Attribution (CC BY) license (http://creativecommons.org/licenses/by/4.0/).
Share and Cite
Szeląg, M. Development of Cracking Patterns in Modified Cement Matrix with Microsilica. Materials 2018, 11, 1928. https://doi.org/10.3390/ma11101928
Szeląg M. Development of Cracking Patterns in Modified Cement Matrix with Microsilica. Materials. 2018; 11(10):1928. https://doi.org/10.3390/ma11101928
Chicago/Turabian StyleSzeląg, Maciej. 2018. "Development of Cracking Patterns in Modified Cement Matrix with Microsilica" Materials 11, no. 10: 1928. https://doi.org/10.3390/ma11101928
APA StyleSzeląg, M. (2018). Development of Cracking Patterns in Modified Cement Matrix with Microsilica. Materials, 11(10), 1928. https://doi.org/10.3390/ma11101928
