Fe-Doped Sol-Gel Glasses and Glass-Ceramics for Magnetic Hyperthermia
Abstract
1. Introduction
2. Materials and methods
2.1. Preparation of Materials
2.2. Characterization
2.2.1. Microstructural Analysis
2.2.2. Thermal Analyses
2.2.3. Morphology, Composition and Porosity
2.2.4. Magnetic Properties
3. Results and Discussion
4. Conclusions
Author Contributions
Conflicts of Interest
References
- Bahadur, D.; Giri, J. Biomaterials and magnetism. Sadhana 2003, 28, 639–656. [Google Scholar] [CrossRef]
- Laurent, S.; Forge, D.; Port, M.; Roch, A.; Robic, C.; Vander Elst, L.; Muller, R.N. Magnetic iron oxide nanoparticles: Synthesis, stabilization, vectorization, physicochemical characterizations, and biological applications. Chem. Rev. 2008, 108, 2064–2110. [Google Scholar] [CrossRef] [PubMed]
- Sun, C.; Lee, J.S.H.; Zhang, M. Magnetic nanoparticles in MR imaging and drug delivery. Adv. Drug Deliv. Rev. 2008, 60, 1252–1265. [Google Scholar] [CrossRef] [PubMed]
- Kumar, C.S.S.R.; Mohammad, F. Magnetic nanomaterials for hyperthermia-based therapy and controlled drug delivery. Adv. Drug Deliv. Rev. 2011, 63, 789–808. [Google Scholar] [CrossRef] [PubMed]
- Soenen, S.J.; De Cuyper, M.; De Smedt, S.C.; Braeckmans, K. Investigating the toxic effects of iron oxide nanoparticles. Methods Enzymol. 2012, 509, 195–224. [Google Scholar] [PubMed]
- Gil, S.; Mano, J.F. Magnetic composite biomaterials for tissue engineering. Biomater. Sci. 2014, 2, 812–818. [Google Scholar] [CrossRef]
- Bretcanu, O.; Spriano, S.; Vernè, E.; Coisson, M.; Tiberto, P.; Allia, P. The influence of crystallized Fe3O4 on the magnetic properties of coprecipitation-derived ferromagnetic glass-ceramics. Acta Biomater. 2005, 1, 421–429. [Google Scholar] [CrossRef] [PubMed]
- Bretcanu, O.; Vernè, E.; Coisson, M.; Tiberto, P.; Allia, P. Magnetic properties of ferromagnetic glass-ceramics for hyperthermia. J. Magn. Magn. Mater. 2006, 305, 529–533. [Google Scholar] [CrossRef]
- Bretcanu, O.; Miola, M.; Bianchi, C.L.; Marangi, I.; Carbone, R.; Corazzari, I.; Cannas, M.; Vernè, E. In vitro biocompatibility of a ferromagnetic glass-ceramic for hyperthermia application. Mater. Sci. Eng. C Mater. Biol. Appl. 2017, 73, 778–787. [Google Scholar] [CrossRef] [PubMed]
- Périgo, E.A.; Hemery, G.; Sandre, O.; Ortega, D.; Garaio, E.; Plazaola, F.; Teran, F.J. Fundamentals and advances in magnetic hyperthermia. Appl. Phys. Rev. 2015, 2, 041302. [Google Scholar] [CrossRef]
- Idrees, M.; Jebakumar, A.Z. A review on potential benefits of hyperthermia in the treatment of cancer. Acta Biomed. Sci. 2014, 1, 98–104. [Google Scholar]
- Bruno, M.; Miola, M.; Bretcanu, O.; Vitale-Brovarone, C.; Gerbaldo, R.; Laviano, F.; Vernè, E. Composite bone cements loaded with a bioactive and ferrimagnetic glass-ceramic. Part I: Morphological, mechanical and calorimetric characterization. J. Biomater. Appl. 2014, 29, 254–267. [Google Scholar] [CrossRef] [PubMed]
- Verné, E.; Bruno, M.; Miola, M.; Maina, G.; Bianco, C.; Cochis, A.; Rimondini, L. Composite bone cements loaded with a bioactive and ferrimagnetic glass-ceramic: Leaching, bioactivity and cytocompatibility. Mater. Sci. Eng. C 2015, 53, 95–103. [Google Scholar] [CrossRef] [PubMed]
- Miola, M.; Gerbaldo, R.; Laviano, F.; Bruno, M.; Verné, E. Multifunctional ferrimagnetic glass–ceramic for the treatment of bone tumor and associated complications. J. Mater. Sci. 2017, 52, 9192–9201. [Google Scholar] [CrossRef]
- Shankhwar, N.; Srinivasan, A. Evaluation of sol-gel based magnetic 45S5 bioglass and bioglass–ceramics containing iron oxide. Mater. Sci. Eng. C Mater. Biol. Appl. 2016, 62, 190–196. [Google Scholar] [CrossRef] [PubMed]
- Ferreira da Silva, M.G.; Pereira, L.C.J.; Waerenborgh, J.C. Precipitation of zinc ferrite nanoparticles in the Fe2O3–ZnO–SiO2 glass system. J. Non-Cryst. Solids 2007, 353, 2374–2382. [Google Scholar] [CrossRef]
- Coroiu, I.; Culea, E.; Darabont, A. Magnetic and structural behaviour of the sol-gel-derived iron aluminosilicate glass-ceramics. J. Magn. Magn. Mater. 2005, 290–291, 997–1000. [Google Scholar] [CrossRef]
- Baikousi, M.; Agathopoulos, S.; Panagiotopoulos, I.; Georgoulis, A.D.; Louloudi, M.; Karakassides, M.A. Synthesis and characterization of sol–gel derived bioactive CaO–SiO2–P2O5 glasses containing magnetic nanoparticles. J. Sol-Gel Sci. Technol. 2008, 47, 95–101. [Google Scholar] [CrossRef]
- Hoppe, A.; Guldal, N.S.; Boccaccini, A.R. A review of the biological response to ionic dissolution products from bioactive glasses and glass-ceramics. Biomaterials 2011, 32, 2757–2774. [Google Scholar] [CrossRef] [PubMed]
- Rahaman, M.N.; Day, D.E.; Bal, B.S.; Fu, Q.; Jung, S.B.; Bonewald, L.F.; Tomsia, A.P. Bioactive glass in tissue engineering. Acta Biomater. 2011, 7, 2355–2373. [Google Scholar] [CrossRef] [PubMed]
- Baino, F.; Vitale-Brovarone, C. Three-dimensional glass-derived scaffolds for bone tissue engineering: Current trends and forecasts for the future. J. Biomed. Mater. Res. A 2011, 97, 514–535. [Google Scholar] [CrossRef] [PubMed]
- Wu, C.; Miron, R.; Sculeaan, A.; Kaskel, S.; Doert, T.; Schulze, R.; Zhang, Y. Proliferation, differentiation and gene expression of osteoblasts in boron-containing associated with dexamethasone deliver from mesoporous bioactive glass scaffolds. Biomaterials 2011, 32, 7068–7078. [Google Scholar] [CrossRef] [PubMed]
- Stähli, C.; James-Bhasin, M.; Hoppe, A.; Boccaccini, A.R.; Nazhat, S.N. Effect of ion release from Cu-doped 45S5 Bioglass® on 3D endothelial cell morphogenesis. Acta Biomater. 2015, 19, 15–22. [Google Scholar] [CrossRef] [PubMed]
- Miola, M.; Verné, E.; Vitale-Brovarone, C.; Baino, F. Antibacterial bioglass-derived scaffolds: Innovative synthesis approach and characterization. Int. J. Appl. Glass Sci. 2016, 7, 238–247. [Google Scholar] [CrossRef]
- Molino, G.; Bari, A.; Baino, F.; Fiorilli, S.; Vitale-Brovarone, C. Electrophoretic deposition of spray-dried Sr-containing mesoporous bioactive glass spheres on glass–ceramic scaffolds for bone tissue regeneration. J. Mater. Sci. 2017, 52, 9103–9114. [Google Scholar] [CrossRef]
- Kargozar, S.; Lotfibakhshaiesh, N.; Ai, J.; Mozafari, M.; Brouki Milan, P.; Hamzehlou, S.; Barati, M.; Baino, F.; Hill, R.G.; Taghi Joghataei, M. Strontium- and cobalt-substituted bioactive glasses seeded with human umbilical cord perivascular cells to promote bone regeneration via enhanced osteogenic and angiogenic activities. Acta Biomater. 2017, 58, 502–514. [Google Scholar] [CrossRef] [PubMed]
- Wu, C.; Fan, W.; Zhu, Y.; Gelinsky, M.; Chang, J.; Cuniberti, G.; Albrecht, V.; Friis, T.; Xiao, Y. Multifunctional magnetic mesoporous bioactive glass scaffolds with a hierarchical pore structure. Acta Biomater. 2011, 7, 3563–3572. [Google Scholar] [CrossRef] [PubMed]
- Russo, A.; Bianchi, M.; Sartori, M.; Parrilli, A.; Panseri, S.; Ortolani, A.; Sandri, M.; Boi, M.; Salter, D.M.; Maltarello, M.C.; et al. Magnetic forces and magnetized biomaterials provide dynimic flux information during bone regeneration. J. Mater. Sci. Mater. Med. 2016, 27, 51. [Google Scholar] [CrossRef] [PubMed]
- Lee, Y.-K.; Choi, S.-Y. Controlled nucleation and crystallization in Fe2O3–CaO–SiO2 glass. J. Mater. Sci. 1997, 32, 431–436. [Google Scholar] [CrossRef]
- Brunauer, S.; Emmet, P.H.; Teller, E. Adsorption of gases in multimolecular layers. J. Am. Chem. Soc. 1938, 60, 309–319. [Google Scholar] [CrossRef]
- Landers, L.; Gor, G.Y.; Neimark, A.V. Density functional theory methods for characterization of porous materials. Colloids Surf. A 2013, 437, 3–32. [Google Scholar] [CrossRef]
- Poirier, T.; Labrador, N.; Alvarez, M.A.; Lavalle, C.; Enet, N.; Lira, J. Formation of crystalline phases in (SiO2–CaO–Fe2O3)–TiO2 based glasses. Mater. Lett. 2005, 59, 308–312. [Google Scholar] [CrossRef]
- Liu, X.M.; Shaw, J.; Jiang, J.Z.; Bloemendal, J.; Hesse, P.; Tim, R.; Mao, X.G. Analysis on variety and characteristics of maghemite. Sci. China Earth Sci. 2010, 53, 1153–1162. [Google Scholar] [CrossRef]
- Singh, R.K.; Kothiyal, G.P.; Srinivasan, A. Influence of iron ions on the magnetic properties of CaO–SiO2–P2O5–Na2O–Fe2O3 glass-ceramics. Solid State Commun. 2008, 146, 25–29. [Google Scholar] [CrossRef]
- Monazam, E.R.; Breault, R.W.; Siriwardane, R. Kinetics of Magnetite (Fe3O4) Oxidation to Hematite (Fe2O3) in Air for Chemical Looping Combustion. Ind. Eng. Chem. Res. 2014, 53, 13320–13328. [Google Scholar] [CrossRef]
- Jacinto-Tinajero, J.C.; Ascencio, D.; Marquina, B.; Barrios-Payán, J.; Gutierrez, M.C.; Lim, M.G.; Pando, R.H. Induction of bone formation in abdominal implants constituted by collagen sponges embedded with plant-based human transforming growth factor family proteins in ectopic dog model. J. Exp. Orthop. 2014, 1, 11. [Google Scholar] [CrossRef] [PubMed]
- Pérez, J.M.; Teixeira, S.R.; Rincõn, J.M.; Romero, M. Understanding the crystallization mechanism of a wollastonite base glass using isoconversional, IKP methods and master plots. J. Am. Ceram. Soc. 2012, 95, 3441–3447. [Google Scholar] [CrossRef]
- Chen, L.; Dai, Y. Effects of Iron Oxide on the Crystallization of Calcium Alumino-Silicate Glass. Key Eng. Mater. 2016, 680, 293–296. [Google Scholar] [CrossRef]
- Lara, C.; Pascual, M.J.; Duran, A. Glass-forming ability, sinterability and thermal properties in the system RO-BaO-SiO2 (R = Mg, Zn). J. Non-Cryst. Solids 2004, 348, 149–155. [Google Scholar] [CrossRef]
- Gulyaeva, R.I.; Selivanov, E.N.; Selmenskikh, N.I. Crystallization of oxide high iron melts. EPJ Web Conf. 2011, 15, 01010. [Google Scholar] [CrossRef]
- Thommes, M.; Kaneko, K.; Neimark, A.V. Physisorption of gases, with special reference to the evaluation of surface area and pore size distribution (IUPAC technical report). Pure Appl. Chem. 2015, 87, 1051–1069. [Google Scholar] [CrossRef]
- Rouquerol, J.; Avnir, D.; Fairbridge, C.W.; Everett, D.H.; Haynes, J.M.; Pernicone, N.; Ramsay, J.D.F.; Sing, K.S.W.; Unger, K.K. Recommendations for the characterization of porous solids. Pure Appl. Chem. 1994, 66, 1739–1758. [Google Scholar] [CrossRef]
- Sing, K.S.W.; Everett, D.H.; Haul, R.A.V.; Moscou, I.; Pierotti, R.A.; Rouquerol, J.; Siemieniewska, T. Reporting physisorption data for gas/solid systems with special reference to the determination of surface area and porosity (Recommendations 1984). Pure Appl. Chem. 1985, 57, 603–619. [Google Scholar] [CrossRef]
- Sepulveda, P.; Jones, J.R.; Hench, L.L. Characterization of melt-derived 45S5 and sol-gel-derived 58S bioactive glasses. J. Biomed. Mater. 2001, 58, 734–740. [Google Scholar] [CrossRef] [PubMed]
- Wu, C.; Chang, J. Multifunctional mesoporous bioactive glasses for effective delivery of therapeutic ions and drug/growth factors. J. Control. Release 2014, 193, 282–295. [Google Scholar] [CrossRef] [PubMed]
- Baino, F.; Fiorilli, S.; Vitale-Brovarone, C. Bioactive glass-based materials with hierarchical porosity for medical applications: Review of recent advances. Acta Biomater. 2016, 42, 18–32. [Google Scholar] [CrossRef] [PubMed]
- Jones, J.R.; Lee, P.D.; Hench, L.L. Hierarchical porous materials for tissue engineering. Philos. Trans. A Math. Phys. Eng. Sci. 2006, 364, 263–281. [Google Scholar] [CrossRef] [PubMed]
- Zhu, M.; Zhang, J.; Zhou, Y.; Liu, Y.; He, X.; Tao, C.; Zhu, Y. Preparation and characterization of magnetic mesoporous bioactive glass/carbon composite scaffolds. J. Chem. 2013, 2013, 893479. [Google Scholar] [CrossRef]
- Lin, S.T. Magnetic properties of hematite single crystals. I. Magnetization isotherms, antiferromagnetic susceptibility, and weak ferromagnetism of a natural crystal. Phys. Rev. 1959, 116, 1447–1452. [Google Scholar] [CrossRef]
- Hurd, C.M. Varieties of magnetic order in solids. Contemp. Phys. 1982, 23, 469–493. [Google Scholar] [CrossRef]
- Komatsu, T.; Soga, N. ESR and Mössbauer studies of crystallization process of sodium iron silicate glass. J. Chem. Phys. 1980, 72, 1781–1785. [Google Scholar] [CrossRef]
- Kokubo, T.; Takadama, H. How useful is SBF in predicting in vivo bone bioactivity? Biomaterials 2006, 27, 2907–2915. [Google Scholar] [CrossRef] [PubMed]









| Sample Code | Composition (mol %) | TEOS (mL) | CaNT (g) | FeCl3 (g) |
|---|---|---|---|---|
| 60S40C | 60SiO2-40CaO | 11.66 | 8.22 | - |
| 60S38C2Fe | 60SiO2-38CaO-2Fe2O3 | 11.66 | 7.81 | 0.56 |
| 60S30C10Fe | 60SiO2-30CaO-10Fe2O3 | 11.66 | 6.17 | 2.82 |
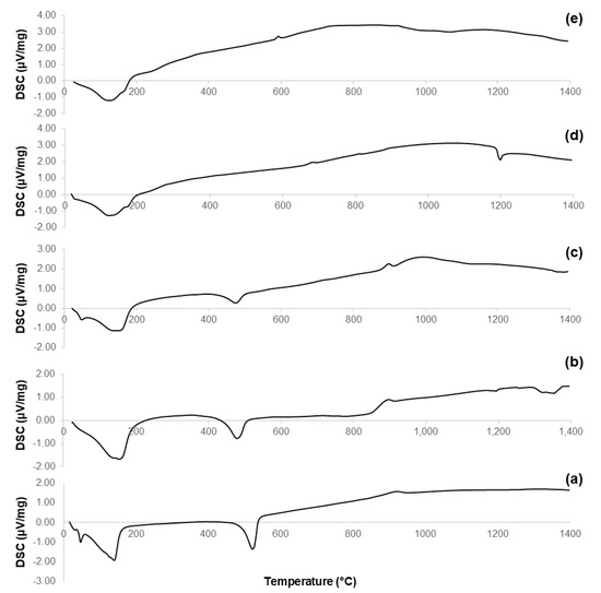
| Sample | Tg (°C) | Tx (°C) | Tc (°C) | Tm (°C) | TFS (°C) | TMS (°C) |
|---|---|---|---|---|---|---|
| 60S40C-air | 700 | 850 | 910 | 1384 | 762 | 879 |
| 60S38C2Fe-air | 735 | 800 | 855 | 1180, 1330 | 747 | 864 |
| 60S38C2Fe-Ar | 680 | 800 | 847, 1087 | 1195, 1349 | 765 | 843 |
| 60S30C10Fe-air | - | - | - | 1180 | 759 | 999 |
| 60S30C10Fe-Ar | - | - | - | - | 1062 | 1158 |
| Sample | Tg (°C) | Tx (°C) | Tc (°C) |
|---|---|---|---|
| 60S40C-140 in air | 700 | 840 | 920 |
| 60S38C2Fe-140 in air | 690 | 850 | 900 |
| 60S38C2Fe-140 in argon | 697 | 870 | 900, 990 |
| 60S30C10Fe-140 in air | - | 660 | 680, 807, 900 |
| 60S30C10Fe-140 in argon | - | 570 | 590, 740, 920 |
| Sample | SSA (m2/g) | DNLDFT (nm) |
|---|---|---|
| 60S40C-air | 119.4 | 18.4 |
| 60S38C2Fe-air | 59.7 | 29.8 |
| 60S38C2Fe-Ar | 7.4 | 6.1 |
| 60S30C10Fe-air | 41.5 | 26.4 |
| 60S30C10Fe-Ar | 11.7 | 4.9 |
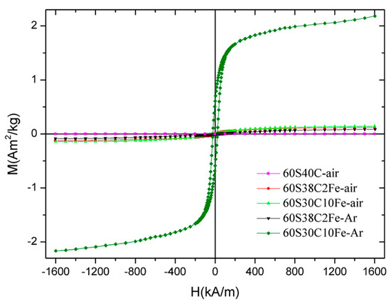
| Sample | Remanent Magnetization (Am2/kg) | Coercitive Force (kA/m) | Saturation Magnetization (Am2/kg) | Hysteresis Area at ±1600 kA/m (J/kg) |
|---|---|---|---|---|
| 60S30C10Fe-Ar | 0.6 | 22 | 2.17 | 0.16 |
| 60S30C10Fe-air | 0.03 | 2.5 | 0.14 | 0.02 |
| 60S38C2Fe-Ar | <0.02 | 2 | 0.09 | <0.01 |
| 60S38C2Fe-air | <0.02 | 2 | 0.11 | <0.01 |
© 2018 by the authors. Licensee MDPI, Basel, Switzerland. This article is an open access article distributed under the terms and conditions of the Creative Commons Attribution (CC BY) license (http://creativecommons.org/licenses/by/4.0/).
Share and Cite
Baino, F.; Fiume, E.; Miola, M.; Leone, F.; Onida, B.; Laviano, F.; Gerbaldo, R.; Verné, E. Fe-Doped Sol-Gel Glasses and Glass-Ceramics for Magnetic Hyperthermia. Materials 2018, 11, 173. https://doi.org/10.3390/ma11010173
Baino F, Fiume E, Miola M, Leone F, Onida B, Laviano F, Gerbaldo R, Verné E. Fe-Doped Sol-Gel Glasses and Glass-Ceramics for Magnetic Hyperthermia. Materials. 2018; 11(1):173. https://doi.org/10.3390/ma11010173
Chicago/Turabian StyleBaino, Francesco, Elisa Fiume, Marta Miola, Federica Leone, Barbara Onida, Francesco Laviano, Roberto Gerbaldo, and Enrica Verné. 2018. "Fe-Doped Sol-Gel Glasses and Glass-Ceramics for Magnetic Hyperthermia" Materials 11, no. 1: 173. https://doi.org/10.3390/ma11010173
APA StyleBaino, F., Fiume, E., Miola, M., Leone, F., Onida, B., Laviano, F., Gerbaldo, R., & Verné, E. (2018). Fe-Doped Sol-Gel Glasses and Glass-Ceramics for Magnetic Hyperthermia. Materials, 11(1), 173. https://doi.org/10.3390/ma11010173

