Influence of Binders and Lightweight Aggregates on the Properties of Cementitious Mortars: From Traditional Requirements to Indoor Air Quality Improvement
Abstract
1. Introduction
2. Materials
2.1. Binders
2.2. Aggregates
2.3. Admixtures
2.4. Mix Design
3. Methods
3.1. Workability
3.2. Mechanical Properties
3.3. Microstructure: Morphology and Pore Size Distribution
3.4. Drying Shrinkage
3.5. Capillary Water Absorption
3.6. Water Vapour Permeability
3.7. Moisture Buffering Capacity
3.8. Depolluting Properties
3.8.1. Continuous Flow Test
3.8.2. In-Batch Test
4. Results and Discussion
4.1. Workability
4.2. Mechanical Properties
4.3. Microstructure: Morphology and Pore Size Distribution
4.4. Drying Shrinkage
4.5. Capillary Water Absorption
4.6. Water Vapour Permeability
4.7. Moisture Buffering Capacity
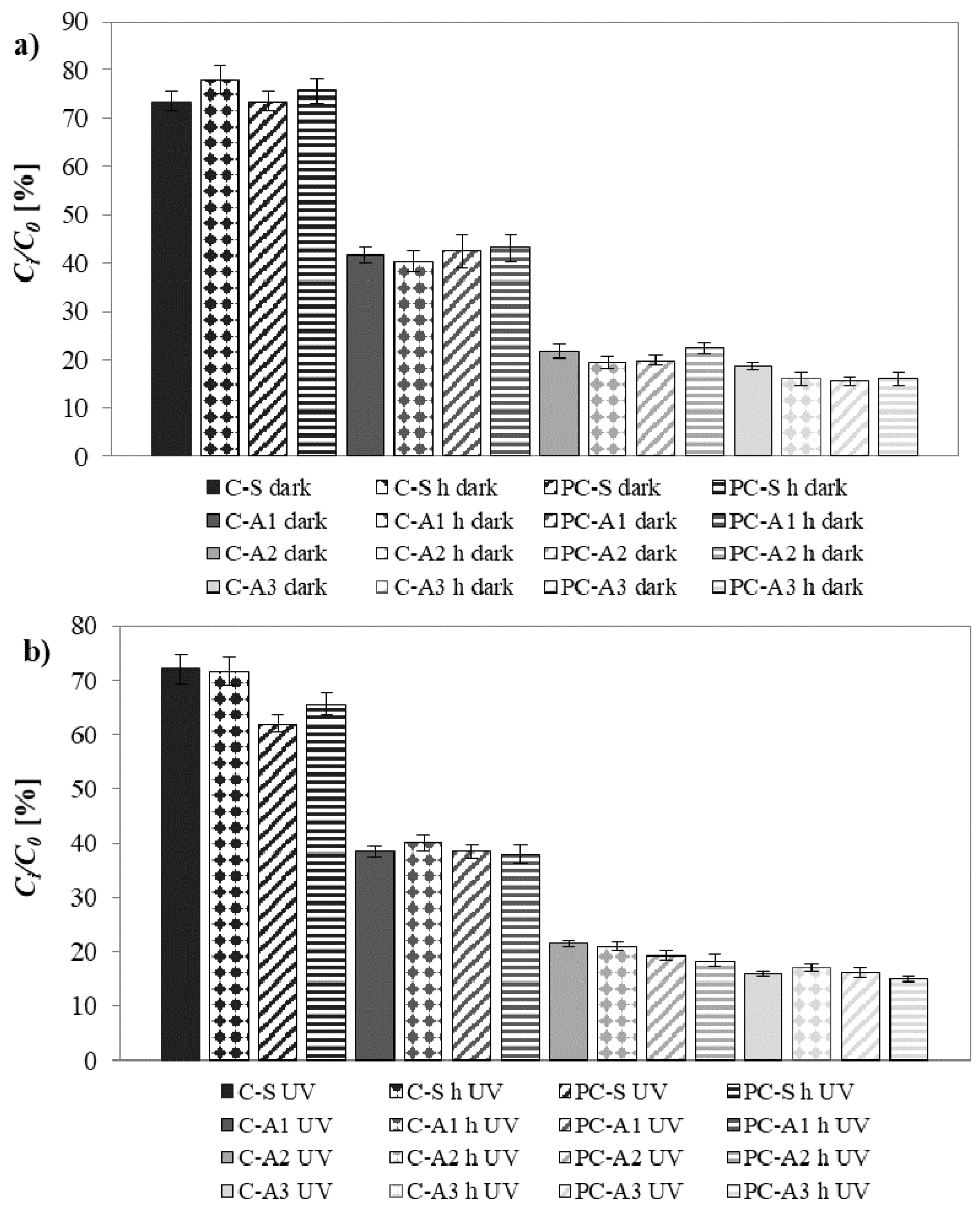
4.8. Depolluting Properties
4.8.1. Continuous Flow Test
4.8.2. In Batch Test
5. Conclusions
- compressive strength decreases, except for A1 mortars where it even increases, but remains still acceptable for non-structural applications as renders;
- lightness is increased: A2 mortar can be classified as a lightweight mortar (density ≤1300 kg/m3);
- drying shrinkage increases, but it could be easily reduced by a shrinkage reducing admixture and/or an expansive agent;
- capillary water absorption increases but the hydrophobic admixture reduces it up to five times;
- permeability to water vapour increases up to 70% compared to the reference mortar;
- moisture buffering capacity increases up to 65%;
- depolluting capacity, in terms of MEK removal, increases up to 75%.
Author Contributions
Conflicts of Interest
References
- Wang, S.; Yan, C.; Xiao, F. Quantitative energy performance assessment methods for existing buildings. Energy Build. 2012, 55, 873–888. [Google Scholar] [CrossRef]
- Wells, E.M.; Berges, M.; Metcalf, M.; Kinsella, A.; Foreman, K.; Dearborn, D.G.; Greenberg, S. Indoor air quality and occupant comfort in homes with deep versus conventional energy efficiency renovations. Build. Environ. 2015, 93, 331–338. [Google Scholar] [CrossRef]
- Aguado, S.; Polo, A.C.; Bernal, M.P.; Coronas, J.; Santamaría, J. Removal of pollutants from indoor air using zeolite membranes. J. Membr. Sci. 2004, 240, 159–166. [Google Scholar] [CrossRef]
- Ozga, I.; Ghedini, N.; Giosuè, C.; Sabbioni, C.; Tittarelli, F.; Bonazza, A. Assessment of air pollutant sources in the deposit on monuments by multivariate analysis. Sci. Total Environ. 2014, 490. [Google Scholar] [CrossRef] [PubMed]
- Fang, L.; Clausen, G.; Fanger, P.O. Impact of temperature and humidity on the perception of indoor air quality. Indoor Air 1998, 8, 80–90. [Google Scholar] [CrossRef]
- Gonçalves, H.; Gonçalves, B.; Silva, L.; Raupp-Pereira, F.; Senff, L.; Labrincha, J.A. Development of porogene-containing mortars for levelling the indoor ambient moisture. Ceram. Int. 2014, 40, 15489–15495. [Google Scholar] [CrossRef]
- Lelievre, D.; Colinart, T.; Glouannec, P. Hygrothermal behavior of bio-based building materials including hysteresis effects: Experimental and numerical analyses. Energy Build. 2014, 84, 617–627. [Google Scholar] [CrossRef]
- Mensah-Attipoe, J.; Reponen, T.; Salmela, A.; Veijalainen, A.M.; Pasanen, P. Susceptibility of green and conventional building materials to microbial growth. Indoor Air 2015, 25, 273–284. [Google Scholar] [CrossRef] [PubMed]
- WHO (World Health Organization). Development of WHO Guidelines for Indoor Air Quality. In Proceedings of the Report on a Working Group Meeting, Bonn, Germany, 23–24 October 2006; pp. 1–27. Available online: http://www.euro.who.int/__data/assets/pdf_file/0007/78613/AIQIAQ_mtgrep_Bonn_Oct06.pdf (accessed on 19 August 2017).
- Kunkel, D.; Gall, E.; Siegel, J.A.; Novoselac, A.; Morrison, G.C.; Corsi, R.L. Passive reduction of human exposure to indoor ozone. Build. Environ. 2010, 45, 445–452. [Google Scholar] [CrossRef]
- Lorencik, S.; Yu, Q.L.; Brouwers, H.J.H. Design and performance evaluation of the functional coating for air purification under indoor conditions. Appl. Catal. B Environ. 2015, 168, 77–86. [Google Scholar] [CrossRef]
- Meininghaus, R.; Gunnarsen, L.; Knudsen, H.N. Diffusion and sorption of volatile organic compounds in building materials—Impact on indoor air quality. Environ. Sci. Technol. 2000, 34, 3101–3108. [Google Scholar] [CrossRef]
- Vieira, J.; Senff, L.; Gonçalves, H.; Silva, L.; Ferreira, V.M.; Labrincha, J.A. Functionalization of mortars for controlling the indoor ambient of buildings. Energy Build. 2014, 70, 224–236. [Google Scholar] [CrossRef]
- Di Giuseppe, E.; D’Orazio, M. Moisture buffering “active” devices for indoor humidity control: Preliminary experimental evaluations. Energy Procedia 2014, 62, 42–51. [Google Scholar] [CrossRef]
- Ballari, M.M.; Hunger, M.; Hüsken, G.; Brouwers, H.J.H. NOx photocatalytic degradation employing concrete pavement containing titanium dioxide. Appl. Catal. B Environ. 2010, 95, 245–254. [Google Scholar] [CrossRef]
- Cárdenas, C.; Tobón, J.I.; García, C.; Vila, C. Functionalized building materials: Photocatalytic abatement of NOx by cement pastes blended with TiO2 nanoparticles. Constr. Build. Mater. 2012, 36, 820–825. [Google Scholar] [CrossRef]
- Chen, J.; Poon, C.S. Photocatalytic cementitious materials: Influence of the microstructure of cement paste on photocatalytic pollution degradation. Environ. Sci. Technol. 2009, 43, 8948–8952. [Google Scholar] [CrossRef] [PubMed]
- Munafò, P.; Quagliarini, E.; Goffredo, G.B.; Bondioli, F.; Licciulli, A. Durability of nano-engineered TiO2 self-cleaning treatments on limestone. Constr. Build. Mater. 2014, 65, 218–231. [Google Scholar] [CrossRef]
- Horgnies, M.; Dubois-Brugger, I.; Gartner, E.M. NOx de-pollution by hardened concrete and the influence of activated charcoal additions. Cem. Concr. Res. 2012, 42, 1348–1355. [Google Scholar] [CrossRef]
- Pierpaoli, M.; Giosuè, C.; Ruello, M.L.; Fava, G. Appraisal of a hybrid air cleaning process. Environ. Sci. Pollut. Res. 2017, 24, 12638–12645. [Google Scholar] [CrossRef] [PubMed]
- Tittarelli, F.; Giosuè, C.; Mobili, A.; Ruello, M.L. Influence of binders and aggregates on VOCs adsorption and moisture buffering activity of mortars for indoor applications. Cem. Concr. Compos. 2015, 57. [Google Scholar] [CrossRef]
- Giosuè, C.; Mobili, A.; Toscano, G.; Ruello, M.L.; Tittarelli, F. Effect of biomass waste materials as unconventional aggregates in multifunctional mortars for indoor application. Procedia Eng. 2016, 161, 655–659. [Google Scholar] [CrossRef]
- Moriconi, G.; Tittarelli, F.; Corinaldesi, V. Review of silicone-based hydrophobic treatment and admixtures for concrete. Indian Concr. J. 2002, 76, 637–642. Available online: http://cat.inist.fr/?aModele=afficheN&cpsidt=14431973 (accessed on 19 January 2017).
- Cucitore, R.; Cangiano, S.; Cassar, L. High Durability Photocatalytic Paving for Reducing Urban Polluting Agents. U.S. Patent 8,039,100 B2, 18 October 2011. [Google Scholar]
- Folli, A.; Pade, C.; Hansen, T.B.; De Marco, T.; MacPhee, D.E. TiO2 photocatalysis in cementitious systems: Insights into self-cleaning and depollution chemistry. Cem. Concr. Res. 2012, 42, 539–548. [Google Scholar] [CrossRef]
- Mobili, A.; Belli, A.; Giosuè, C.; Bellezze, T.; Tittarelli, F. Metakaolin and fly ash alkali-activated mortars compared with cementitious mortars at the same strength class. Cem. Concr. Res. 2016, 88. [Google Scholar] [CrossRef]
- Demir, F. A new way of prediction elastic modulus of normal and high strength concrete-fuzzy logic. Cem. Concr. Res. 2005, 35, 1531–1538. [Google Scholar] [CrossRef]
- Collepardi, M. The New Concrete; Grafiche Tintoretto: Treviso, Italy, 2006. [Google Scholar]
- Corinaldesi, V.; Moriconi, G.; Tittarelli, F. Thaumasite: Evidence for incorrect intervention in masonry restoration. Cem. Concr. Compos. 2003, 25, 1157–1160. [Google Scholar] [CrossRef]
- Silva, R.V.; de Brito, J.; Dhir, R.K. Performance of cementitious renderings and masonry mortars containing recycled aggregates from construction and demolition wastes. Constr. Build. Mater. 2016, 105, 400–415. [Google Scholar] [CrossRef]
- Slanina, P.; Šilarová, Š. Moisture transport through perforated vapour retarders. Build. Environ. 2009, 44, 1617–1626. [Google Scholar] [CrossRef]
- Abadie, M.O.; Mendonça, K.C. Moisture performance of building materials: From material characterization to building simulation using the Moisture Buffer Value concept. Build. Environ. 2009, 44, 388–401. [Google Scholar] [CrossRef]
- Rode, C.; Peuhkuri, R.; Mortensen, L.H.; Hansen, K.K.; Time, B.; Gustavsen, A.; Ojanen, T.; Ahonen, J.; Svennberg, K.; Arfvidsson, J. Moisture buffering of building materials. In BYG DTU Report; Technical University of Denmark: Lyngby, Denmark, 2005; Available online: http://orbit.dtu.dk/fedora/objects/orbit:75984/datastreams/file_2415500/content (accessed on 19 August 2017).
- Mazhoud, B.; Collet, F.; Pretot, S.; Chamoin, J. Hygric and thermal properties of hemp-lime plasters. Build. Environ. 2016, 96, 206–216. [Google Scholar] [CrossRef]
- Methyl-Ethyl-Ketone (2-Butanone)—Hazard Summary, EPA U.S. Environmental Protection Agency. 2016. Available online: https://www.epa.gov/sites/production/files/2016-09/documents/methyl-ethyl-ketone.pdf (accessed on 19 August 2017).
- Tittarelli, F. Effect of low dosages of waste GRP dust on fresh and hardened properties of mortars: Part 2. Constr. Build. Mater. 2013, 47, 1539–1543. [Google Scholar] [CrossRef]
- Carsana, M.; Tittarelli, F.; Bertolini, L. Use of no-fines concrete as a building material: Strength, durability properties and corrosion protection of embedded steel. Cem. Concr. Res. 2013, 48, 64–73. [Google Scholar] [CrossRef]
- Branco, F.G.; Godinho, L. On the use of lightweight mortars for the minimization of impact sound transmission. Constr. Build. Mater. 2013, 45, 184–191. [Google Scholar] [CrossRef]
- Pavlík, V.; Uzáková, M. Effect of curing conditions on the properties of lime, lime-metakaolin and lime-zeolite mortars. Constr. Build. Mater. 2016, 102, 14–25. [Google Scholar] [CrossRef]
- Lai, M.H.; Chu, R.Q.; Huang, H.C.; Shu, S.H.; Chung, T.W. Equilibrium isotherms of volatile alkanes, alkenes, and ketones on activated carbon. J. Chem. Eng. Data 2009, 54, 2208–2215. [Google Scholar] [CrossRef]
- Lucas, S.S.; Ferreira, V.M.; De Aguiar, J.L.B. Incorporation of titanium dioxide nanoparticles in mortars—Influence of microstructure in the hardened state properties and photocatalytic activity. Cem. Concr. Res. 2013, 43, 112–120. [Google Scholar] [CrossRef]
- Ruot, B.; Plassais, A.; Olive, F.; Guillot, L.; Bonafous, L. TiO2-containing cement pastes and mortars: Measurements of the photocatalytic efficiency using a rhodamine B-based colourimetric test. Sol. Energy 2009, 83, 1794–1801. [Google Scholar] [CrossRef]
- Kumar, R.; Bhattacharjee, B. Porosity, Pore Size Distribution and In-situ Strength of Concrete. Cem. Concr. Res. 2003, 33, 155–164. [Google Scholar] [CrossRef]
- Zhang, R.; Cheng, X.; Hou, P.; Ye, Z. Influences of nano-TiO2 on the properties of cement-based materials: Hydration and drying shrinkage. Constr. Build. Mater. 2015, 81, 35–41. [Google Scholar] [CrossRef]
- Banerjee, S.; Dionysiou, D.D.; Pillai, S.C. Self-cleaning applications of TiO2 by photo-induced hydrophilicity and photocatalysis. Appl. Catal. B Environ. 2015, 176, 396–428. [Google Scholar] [CrossRef]
- Yang, R. Gas Separation by Adsorption Processes; Butterworth Publisher: Oxford, UK, 1987. [Google Scholar]
- Tittarelli, F.; Shah, S.P. Effect of low dosages of waste GRP dust on fresh and hardened properties of mortars: Part 1. Constr. Build. Mater. 2013, 47, 1532–1538. [Google Scholar] [CrossRef]
- Benachour, Y.; Davy, C.A.; Skoczylas, F.; Houari, H. Effect of a high calcite filler addition upon microstructural, mechanical, shrinkage and transport properties of a mortar. Cem. Concr. Res. 2008, 38, 727–736. [Google Scholar] [CrossRef]
- Silva, J.; de Brito, J.; Veiga, R. Incorporation of fine ceramics in mortars. Constr. Build. Mater. 2009, 23, 556–564. [Google Scholar] [CrossRef]
- Katz, A.J.; Thompson, A.H. Quantitative prediction of permeability in porous rock. Phys. Rev. B 1986, 34, 8179–8181. [Google Scholar] [CrossRef]
- Rahim, M.; Douzane, O.; Tran Le, A.D.; Promis, G.; Laidoudi, B.; Crigny, A.; Dupre, B.; Langlet, T. Characterization of flax lime and hemp lime concretes: Hygric properties and moisture buffer capacity. Energy Build. 2015, 88, 91–99. [Google Scholar] [CrossRef]
- Wu, Y.; Gong, G.; Yu, C.W.; Huang, Z. Proposing ultimate moisture buffering value (UMBV) for characterization of composite porous mortars. Constr. Build. Mater. 2015, 82, 81–88. [Google Scholar] [CrossRef]
- Somasundaran, P. Encyclopedia of Surface and Colloid Science. In Adsorption at Silica, Alumina, and Related Surfaces; CRC Press: Boca Raton, FL, USA, 2006. [Google Scholar] [CrossRef]
- Cassar, L.; Pepe, C.; Tognon, G.; Guerrini, G.L.; Amadelli, R. White cement for architectural concrete, possessing photocatalytic properties. In Proceedings of the International Congress on the Chemistry of Cement, Durban, South Africa, 11–16 May 2003; pp. 2012–2021. [Google Scholar]
- Chen, J.; Poon, C.S. Photocatalytic activity of titanium dioxide modified concrete materials—Influence of utilizing recycled glass cullets as aggregates. J. Environ. Manag. 2009, 90, 3436–3442. [Google Scholar] [CrossRef] [PubMed]
- Chen, J.; Kou, S.C.; Poon, C.S. Photocatalytic cement-based materials: Comparison of nitrogen oxides and toluene removal potentials and evaluation of self-cleaning performance. Build. Environ. 2011, 46, 1827–1833. [Google Scholar] [CrossRef]
- Wang, C.M.; Sen Chang, K.; Chung, T.W.; Wu, H. Adsorption equilibria of aromatic compounds on activated carbon, silica gel, and 13X zeolite. J. Chem. Eng. Data 2004, 49, 527–531. [Google Scholar] [CrossRef]













| Aggregate | Code | Specific Surface (m2/g) | Density ssd * (kg/m3) | Water Absorption after 24 h (%) |
|---|---|---|---|---|
| Sand | S | 5 | 2650 | 5 |
| Adsorbent 1 | A1 | 600 | 1600 | 22 |
| Adsorbent 2 | A2 | 750 | 1310 | 86 |
| Adsorbent 3 | A3 | 900 | 1180 | 31 |
| Mix | Water | White Cement | Photocatalytic Cement | S | A1 | A2 | A3 | Hydrophobic Admixture | Slump (mm) |
|---|---|---|---|---|---|---|---|---|---|
| C-S | 256 | 512 | - | 1535 | - | - | - | - | 120 |
| C-S h | 253 | 512 | - | 1535 | - | - | - | 6 | 115 |
| PC-S | 256 | - | 512 | 1535 | - | - | - | - | 120 |
| PC-S h | 253 | - | 512 | 1535 | - | - | - | 6 | 115 |
| C-A1 | 256 | 512 | - | - | 927 | - | - | - | 108 |
| C-A1 h | 253 | 512 | - | - | 927 | - | - | 6 | 107 |
| PC-A1 | 256 | - | 512 | - | 927 | - | - | - | 106 |
| PC-A1 h | 253 | - | 512 | - | 927 | - | - | 6 | 106 |
| C-A2 | 256 | 512 | - | - | - | 759 | - | - | 128 |
| C-A2 h | 253 | 512 | - | - | - | 759 | - | 6 | 122 |
| PC-A2 | 256 | - | 512 | - | - | 759 | - | - | 124 |
| PC-A2 h | 253 | - | 512 | - | - | 759 | - | 6 | 128 |
| C-A3 | 256 | 512 | - | - | - | - | 683 | - | 110 |
| C-A3 h | 253 | 512 | - | - | - | - | 683 | 6 | 110 |
| PC-A3 | 256 | - | 512 | - | - | - | 683 | - | 110 |
| PC-A3 h | 253 | - | 512 | - | - | - | 683 | 6 | 111 |
| Mix | Rc (MPa) | ρ (kg/m3) | Rsc (Pa/(kg/m3)) | Ec (GPa) |
|---|---|---|---|---|
| C-S | 31.2 ± 1.0 | 2091 ± 63 | 14.92 | 22.76 |
| C-S h | 29.2 ± 1.7 | 2069 ± 84 | 14.11 | 22.02 |
| PC-S | 31.0 ± 0.5 | 2141 ± 52 | 14.48 | 22.69 |
| PC-S h | 28.9 ± 1.2 | 2092 ± 49 | 13.81 | 21.91 |
| C-A1 | 32.9 ± 2.1 | 1677 ± 32 | 19.62 | 23.37 |
| C-A1 h | 29.5 ± 1.8 | 1621 ± 21 | 18.20 | 22.13 |
| PC-A1 | 30.9 ± 0.5 | 1670 ± 27 | 18.50 | 22.65 |
| PC-A1 h | 28.5 ± 1.0 | 1609 ± 36 | 17.71 | 21.76 |
| C-A2 | 6.6 ± 0.3 | 1223 ± 13 | 5.40 | 10.47 |
| C-A2 h | 4.6 ± 0.1 | 1192 ± 22 | 3.86 | 8.74 |
| PC-A2 | 5.0 ± 0.3 | 1202 ± 23 | 4.16 | 9.11 |
| PC-A2 h | 4.4 ± 0.1 | 1258 ± 12 | 3.50 | 8.55 |
| C-A3 | 16.4 ± 1.0 | 1350 ± 51 | 12.15 | 16.50 |
| C-A3 h | 16.7 ± 0.8 | 1304 ± 25 | 12.81 | 16.65 |
| PC-A3 | 18.1 ± 0.5 | 1353 ± 31 | 13.38 | 17.34 |
| PC-A3 h | 18.7 ± 0.6 | 1370 ± 34 | 13.65 | 17.62 |
| Mix | Vp (%) | Specific Surface (m2/g) |
|---|---|---|
| C-S | 21 | 7.36 |
| C-S h | 20 | 8.27 |
| PC-S | 20 | 7.54 |
| PC-S h | 21 | 8.08 |
| C-A1 | 36 | 39.88 |
| PC-A1 | 36 | 40.47 |
| C-A2 | 47 | 49.00 |
| PC-A2 | 52 | 56.11 |
| C-A3 | 25 | 6.69 |
| PC-A3 | 27 | 7.80 |
© 2017 by the authors. Licensee MDPI, Basel, Switzerland. This article is an open access article distributed under the terms and conditions of the Creative Commons Attribution (CC BY) license (http://creativecommons.org/licenses/by/4.0/).
Share and Cite
Giosuè, C.; Pierpaoli, M.; Mobili, A.; Ruello, M.L.; Tittarelli, F. Influence of Binders and Lightweight Aggregates on the Properties of Cementitious Mortars: From Traditional Requirements to Indoor Air Quality Improvement. Materials 2017, 10, 978. https://doi.org/10.3390/ma10080978
Giosuè C, Pierpaoli M, Mobili A, Ruello ML, Tittarelli F. Influence of Binders and Lightweight Aggregates on the Properties of Cementitious Mortars: From Traditional Requirements to Indoor Air Quality Improvement. Materials. 2017; 10(8):978. https://doi.org/10.3390/ma10080978
Chicago/Turabian StyleGiosuè, Chiara, Mattia Pierpaoli, Alessandra Mobili, Maria Letizia Ruello, and Francesca Tittarelli. 2017. "Influence of Binders and Lightweight Aggregates on the Properties of Cementitious Mortars: From Traditional Requirements to Indoor Air Quality Improvement" Materials 10, no. 8: 978. https://doi.org/10.3390/ma10080978
APA StyleGiosuè, C., Pierpaoli, M., Mobili, A., Ruello, M. L., & Tittarelli, F. (2017). Influence of Binders and Lightweight Aggregates on the Properties of Cementitious Mortars: From Traditional Requirements to Indoor Air Quality Improvement. Materials, 10(8), 978. https://doi.org/10.3390/ma10080978
