Influence of Thermo-Oxidative Ageing on the Thermal and Dynamical Mechanical Properties of Long Glass Fibre-Reinforced Poly(Butylene Terephthalate) Composites Filled with DOPO
Abstract
:1. Introduction
2. Experimental
2.1. Materials
2.2. Preparation of the Samples
2.3. Measurements and Characterization
2.3.1. Mechanical Property Test
2.3.2. Differential Scanning Calorimetry (DSC)
2.3.3. Morphology Observation
2.3.4. Energy Disperse X-ray Analysis (EDAX)
2.3.5. Limiting Oxygen Index (LOI)
2.3.6. Thermal Gravimetric Analysis (TGA)
2.3.7. Dynamic Mechanical Analysis (DMA)
3. Results and Discussion
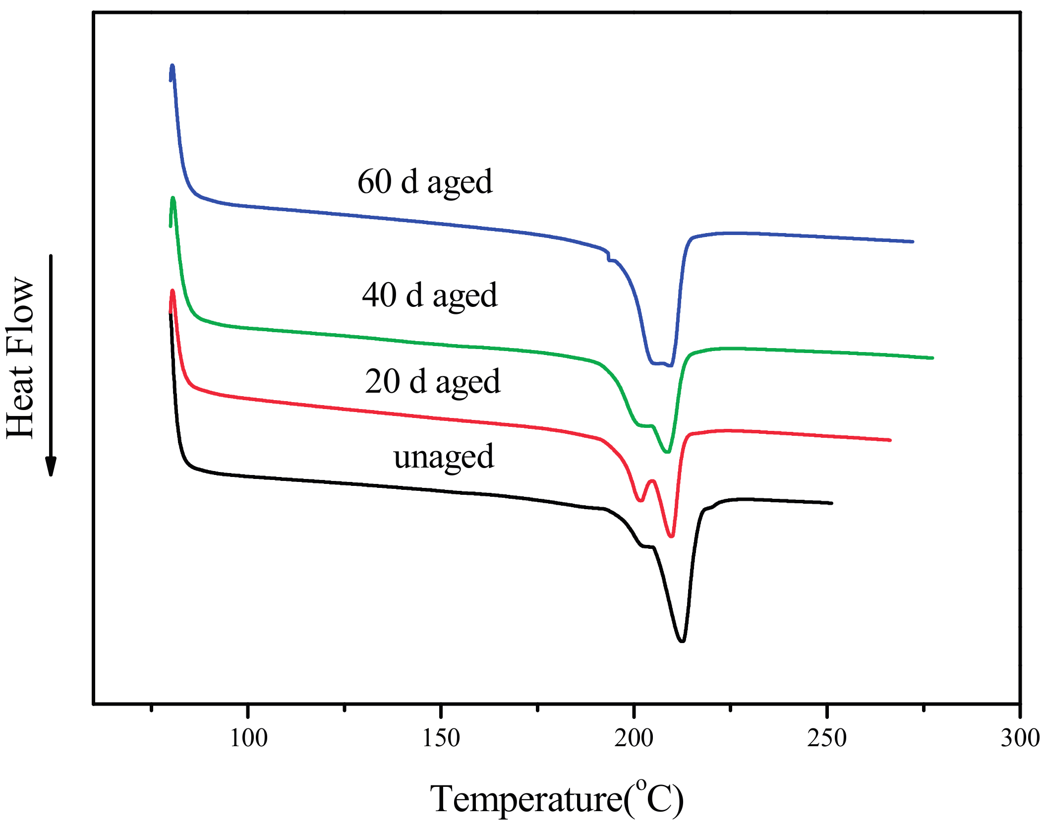
3.1. Mechanical and Crystallization Properties
3.2. Morphology Observation
3.3. EDAX Results
3.4. Flammability and Thermal Stability
3.5. Dynamic Mechanical Properties
4. Conclusions
Acknowledgments
Author Contributions
Conflicts of Interest
References
- Yang, L.; Chen, H.; Jia, S.; Lu, X.; Huang, J. Influences of Ethylene-Butylacrylate-Glycidyl Methacrylate on Morphology and Mechanical Properties of Poly (butylene terephthalate)/Polyolefin Elastomer Blends. J. Appl. Polym. Sci. 2014, 131, 1107–1117. [Google Scholar] [CrossRef]
- Palanivelu, K.; Sivaraman, P.; Reddy, M. Studies on thermoplastic polyurethane toughened poly (butylene terephthalate) blends. Polym. Test. 2002, 21, 345–351. [Google Scholar] [CrossRef]
- Paul, D.; Bucknall, C. Polymer Blends: Formulation and Performance, Two-Volume Set; Wiley: San Francisco, CA, USA, 1999. [Google Scholar]
- Arostegui, A.; Gaztelumendi, M.; Nazabal, J. Toughened poly (butylene terephthalate) by blending with a metallocenic poly (ethylene-octene) copolymer. Polymer 2001, 42, 9565–9574. [Google Scholar] [CrossRef]
- Wang, K.; Guo, M.; Zhao, D.; Zhang, Q.; Du, R. Facilitating transcrystallization of polypropylene/glass fiber composites by imposed shear during injection molding. Polymer 2006, 47, 8374–8379. [Google Scholar] [CrossRef]
- Zhang, D.; Guo, J.; Zhang, K. Effects of compatilizers on mechanical and dynamic mechanical properties of polypropylene-long glass fiber composites. J. Thermoplast. Compos. Mater. 2015, 28, 643–655. [Google Scholar] [CrossRef]
- Geng, C.; Su, J.; Zhou, C.; Bai, H.; Yang, G. Largely improved toughness of polypropylene/long glass fiber composites by β-modification and annealing. Compos. Sci. Technol. 2014, 96, 56–62. [Google Scholar] [CrossRef]
- Zhou, D.; He, W.; Wang, N.; Chen, X.; Guo, J.; Ci, S. Effect of thermo-oxidative aging on the mechanical and flame retardant properties of long glass fiber-reinforced polypropylene composites filled with red phosphorus. Polym. Compos. 2016, 11, 1–8. [Google Scholar]
- Hun, K.Q.; Liu, Z.J.; Yu, M.H. Preparation and mechanical properties of long glass fiber reinforced PA6 composites prepared by a novel process. Macromol. Mater. Eng. 2005, 290, 688–694. [Google Scholar] [CrossRef]
- Kennedy, M.; Cuellar, E.; Roberts, D. Stress-free aging of optical fibers in liquid water and humid environments: Part 1. In Proceedings of the Fiber Optic Components and Reliability, Boston, MA, USA, 1 February 1992. [Google Scholar]
- Wang, X.; Hu, Y.; Song, L.; Xing, W. Flame retardancy and thermal degradation mechanism of epoxy resin composites based on a DOPO substituted organophosphorus oligomer. Polymer 2010, 51, 2435–2445. [Google Scholar] [CrossRef]
- Artner, J.; Ciesielski, M.; Walter, O.; Doring, M.; Perez, R.; Sandler, J. A Novel DOPO-Based Diamine as Hardener and Flame Retardant for Epoxy Resin Systems. Macromol. Mater. Eng. 2008, 293, 503–514. [Google Scholar] [CrossRef]
- Lin, C.H.; Wang, C.S. Synthesis and properties of phosphorus-containing advanced epoxy resins. J. Appl. Polym. Sci. 2000, 75, 429–436. [Google Scholar]
- Liu, Y.L. Epoxy resins from novel monomers with a bis-(9,10-dihydro-9-oxa-10-oxide-10- phosphaphenanthrene-10-yl-) substituent. J. Polym. Sci. Part A Polym. Chem. 2002, 40, 359–368. [Google Scholar] [CrossRef]
- Troeger, C.; Bens, A.; Bermes, G.; Klemmer, R.; Lenz, J.; Irsen, S. Ageing of acrylate-based resins for stereolithography: Thermal and humidity ageing behaviour studies. Rapid. Prototyp. J. 2008, 14, 305–317. [Google Scholar] [CrossRef]
- Zuo, X.; Shao, H.; Huang, A.; Hao, Z.; Guo, J. Effect of thermal-oxidative aging on long glass fiber reinforced PA 6 composites. China. Synth. Resin Plast. 2013, 30, 66–70. [Google Scholar]
- Bikiaris, D.; Karayannidis, G. Effect of carboxylic end groups on thermooxidative atability of PET and PBT. Polym. Degrad. Stab. 1999, 63, 213–218. [Google Scholar] [CrossRef]
- Bikiaris, D.; Karayannidis, G. Chain extension of polyesters PET and PBT with two new diimidodiepoxides. II. J. Appl. Polym. Sci. 1996, 34, 1337–1342. [Google Scholar] [CrossRef]
- Cieśla, K. The Influence of Annealing and Heavy Ion Irradiation of Multiple Melting and Crystallization in PBT Films. J. Therm. Anal. Calorim. 1999, 56, 1141–1146. [Google Scholar] [CrossRef]
- Deng, Z.; Zeng, Y. The Influence of PSF on the crystallization and the mutiple-melting behavior of PBT. Acta Polym. Sin. 1990, 1, 339–344. [Google Scholar]
- Run, M.; Song, A.; Wang, Y.; Yao, C. Melting, crystallization behaviors, and nonisothermal crystallization kinetics of PET/PTT/PBT ternary blends. J. Appl. Polym. Sci. 2007, 104, 3459–3468. [Google Scholar] [CrossRef]
- Chen, X.; Wu, H.; Luo, Z.; Yang, B.; Guo, S.; Yu, J. Synergistic effects of expandable graphite with magnesium hydroxide on the flame retardancy and thermal properties of polypropylene. Polym. Eng. Sci. 2007, 47, 1756–1760. [Google Scholar] [CrossRef]
- Tang, M.; Chen, M.; Xu, Y.; Chen, X.; Sun, Z.; Zhang, Z. Combustion characteristics and synergistic effects of red phosphorus masterbatch with expandable graphite in the flame retardant HDPE/EVA composites. Polym. Eng. Sci. 2015, 55, 2884–2892. [Google Scholar] [CrossRef]
- Perera, M.; Ishiaku, U.; Ishak, Z. Thermal degradation of PVC/NBR and PVC/ENR50 binary blends and PVC/ENR50/NBR ternary blends studied by DMA and solid state NMR. Polym. Degrad. Stab. 2000, 68, 393–402. [Google Scholar] [CrossRef]
- Zuo, X.; Zhang, K.; Lei, Y.; Qin, S.; Hao, Z.; Guo, J. Influence of Thermooxidative Aging on the Static and Dynamic Mechanical Properties of long glass fiber reinforced Polyamide 6 Composites. J. Appl. Polym. Sci. 2014, 131, 1023–1031. [Google Scholar] [CrossRef]









| Ageing Time (Days) | Tm/°C | ΔHm/(J/g) | Xc/% |
|---|---|---|---|
| 0 | 212.48 | 24.84 | 24.13 |
| 20 | 209.63 | 22.07 | 21.44 |
| 40 | 208.78 | 24.59 | 23.89 |
| 60 | 209.54 | 23.93 | 23.24 |
| Ageing Time (Days) | Element Weight (wt %) | ||
|---|---|---|---|
| C | O | P | |
| unaged | 30.44 | 51.95 | 4.64 |
| 20 | 29.34 | 50.97 | 5.05 |
| 40 | 32.24 | 50.51 | 5.91 |
| 60 | 31.27 | 54.24 | 7.29 |
| Samples | LOI (%) |
|---|---|
| unaged | 25.2 |
| 10 d | 23.8 |
| 20 d | 23.6 |
| 30 d | 23.9 |
| 40 d | 23.8 |
| 50 d | 24.0 |
| 60d | 24.3 |
| Ageing Time (Days) | T5% (°C) | Tmax (°C) | Residue Rate (%) |
|---|---|---|---|
| 0 | 300.07 | 435.79 | 23.73 |
| 20 | 351.27 | 439.24 | 30.76 |
| 40 | 360.07 | 439.74 | 28.17 |
| 60 | 373.01 | 439.51 | 27.80 |
| Ageing Time (Days) | E’g (MPa) | E’r (MPa) | Tg (°C) | Tan δmax |
|---|---|---|---|---|
| 0 | 4592 | 1018 | 40.58 | 0.0822 |
| 30 | 3599 | 1362 | 69.43 | 0.0697 |
| 60 | 3044 | 1459 | 81.65 | 0.0645 |
© 2017 by the authors. Licensee MDPI, Basel, Switzerland. This article is an open access article distributed under the terms and conditions of the Creative Commons Attribution (CC BY) license (http://creativecommons.org/licenses/by/4.0/).
Share and Cite
Zhang, D.; He, M.; He, W.; Zhou, Y.; Qin, S.; Yu, J. Influence of Thermo-Oxidative Ageing on the Thermal and Dynamical Mechanical Properties of Long Glass Fibre-Reinforced Poly(Butylene Terephthalate) Composites Filled with DOPO. Materials 2017, 10, 500. https://doi.org/10.3390/ma10050500
Zhang D, He M, He W, Zhou Y, Qin S, Yu J. Influence of Thermo-Oxidative Ageing on the Thermal and Dynamical Mechanical Properties of Long Glass Fibre-Reinforced Poly(Butylene Terephthalate) Composites Filled with DOPO. Materials. 2017; 10(5):500. https://doi.org/10.3390/ma10050500
Chicago/Turabian StyleZhang, Daohai, Min He, Weidi He, Ying Zhou, Shuhao Qin, and Jie Yu. 2017. "Influence of Thermo-Oxidative Ageing on the Thermal and Dynamical Mechanical Properties of Long Glass Fibre-Reinforced Poly(Butylene Terephthalate) Composites Filled with DOPO" Materials 10, no. 5: 500. https://doi.org/10.3390/ma10050500
APA StyleZhang, D., He, M., He, W., Zhou, Y., Qin, S., & Yu, J. (2017). Influence of Thermo-Oxidative Ageing on the Thermal and Dynamical Mechanical Properties of Long Glass Fibre-Reinforced Poly(Butylene Terephthalate) Composites Filled with DOPO. Materials, 10(5), 500. https://doi.org/10.3390/ma10050500

