A Comparison of Microscale Techniques for Determining Fracture Toughness of LiMn2O4 Particles
Abstract
:1. Introduction
2. Materials and Methods
2.1. Sample Preparation
2.2. Pillar Splitting Experiments
2.3. Crack Opening Displacement Measurement
3. Results
3.1. Crack Length Measurement
3.2. Pillar Compression
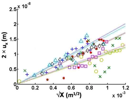
3.3. Crack Opening Displacement
3.4. Crack Orientation
4. Discussion
4.1. Reliability of the Methods
4.1.1. Pillar Splitting Method
4.1.2. Crack Opening Displacement
5. Conclusions
Acknowledgments
Author Contributions
Conflicts of Interests
References
- Lei, J.; Li, L.; Kostecki, R.; Muller, R.; McLarnon, F. Characterization of sei layers on LiMn2O4 cathodes with in situ spectroscopic ellipsometry. J. Electrochem. Soc. 2005, 152, A774–A777. [Google Scholar] [CrossRef]
- Vetter, J.; Novák, P.; Wagner, M.R.; Veit, C.; Möller, K.C.; Besenhard, J.O.; Winter, M.; Wohlfahrt-Mehrens, M.; Vogler, C.; Hammouche, A. Ageing mechanisms in lithium-ion batteries. J. Power Sources 2005, 147, 269–281. [Google Scholar] [CrossRef]
- Moon, H.-S.; Lee, W.; Reucroft, P.J.; Park, J.-W. Effect of film stress on electrochemical properties of lithium manganese oxide thin films. J. Power Sources 2003, 119–121, 710–712. [Google Scholar] [CrossRef]
- Chen, D.; Indris, S.; Schulz, M.; Gamer, B.; Mönig, R. In situ scanning electron microscopy on lithium-ion battery electrodes using an ionic liquid. J. Power Sources 2011, 196, 6382–6387. [Google Scholar] [CrossRef]
- Hao, X.; Lin, X.; Lu, W.; Bartlett, B.M. Oxygen vacancies lead to loss of domain order, particle fracture, and rapid capacity fade in lithium manganospinel (LiMn2O4) batteries. ACS Appl. Mater. Interfaces 2014, 6, 10849–10857. [Google Scholar] [CrossRef] [PubMed]
- Huang, M.-R.; Lin, C.-W.; Lu, H.-Y. Crystallographic facetting in solid-state reacted LiMn2O4 spinel powder. Appl. Surf. Sci. 2001, 177, 103–113. [Google Scholar] [CrossRef]
- Akimoto, J.; Takahashi, Y.; Gotoh, Y.; Mizuta, S. Single crystal x-ray diffraction study of the spinel-type LiMn2O4. Chem. Mater. 2000, 12, 3246–3248. [Google Scholar] [CrossRef]
- Lawn, B.R.; Evans, A.; Marshall, D. Elastic/plastic indentation damage in ceramics: The median/radial crack system. J. Am. Ceram. Soc. 1980, 63, 574–581. [Google Scholar] [CrossRef]
- Anstis, G.; Chantikul, P.; Lawn, B.R.; Marshall, D. A critical evaluation of indentation techniques for measuring fracture toughness. I.-direct crack measurements. J. Am. Ceram. Soc. 1981, 64, 533–538. [Google Scholar] [CrossRef]
- Meschke, F.; Alves-Riccardo, P.; Schneider, G.A.; Claussen, N. Failure behavior of alumina and alumina/silicon carbide nanocomposites with natural and artificial flaws. J. Mater. Res. 1997, 12, 3307–3315. [Google Scholar] [CrossRef]
- Pharr, G. Measurement of mechanical properties by ultra-low load indentation. Mater. Sci. Eng. A 1998, 253, 151–159. [Google Scholar] [CrossRef]
- Oliver, W.C.; Pharr, G.M. Improved technique for determining hardness and elastic modulus using load and displacement sensing indentation experiments. J. Mater. Res. 1992, 7, 1564–1580. [Google Scholar] [CrossRef]
- Jang, J.-I.; Pharr, G.M. Influence of indenter angle on cracking in si and ge during nanoindentation. Acta Mater. 2008, 56, 4458–4469. [Google Scholar] [CrossRef]
- Sebastiani, M.; Johanns, K.; Herbert, E.; Carassiti, F.; Pharr, G. A novel pillar indentation splitting test for measuring fracture toughness of thin ceramic coatings. Philos. Mag. 2015, 95, 1928–1944. [Google Scholar] [CrossRef]
- Rödel, J.; Kelly, J.F.; Lawn, B.R. In situ measurements of bridged crack interfaces in the scanning electron microscope. J. Am. Ceram. Soc. 1990, 73, 3313–3318. [Google Scholar] [CrossRef]
- Sebastiani, M.; Johanns, K.E.; Herbert, E.G.; Pharr, G.M. Measurement of fracture toughness by nanoindentation methods: Recent advances and future challenges. Curr. Opin. Sol. State Mater. Sci. 2015, 19, 324–333. [Google Scholar] [CrossRef]
- Mughal, M.Z.; Moscatelli, R.; Amanieu, H.-Y.; Sebastiani, M. Effect of lithiation on micro-scale fracture toughness of LixMn2O4 cathode. Scr. Mater. 2016, 116, 62–66. [Google Scholar] [CrossRef]
- Mughal, M.Z.; Moscatelli, R.; Sebastiani, M. Load displacement and high speed nanoindentation data set at different state of charge (soc) for spinel LixMn2O4 cathodes. Data Br. 2016, 8, 203–206. [Google Scholar] [CrossRef] [PubMed]
- Renzelli, M.; Mughal, M.Z.; Sebastiani, M.; Bemporad, E. Design, fabrication and characterization of multilayer cr-crn thin coatings with tailored residual stress profiles. Mater. Des. 2016, 112, 162–171. [Google Scholar] [CrossRef]
- Amanieu, H.-Y.; Rosato, D.; Sebastiani, M.; Massimi, F.; Lupascu, D.C. Mechanical property measurements of heterogeneous materials by selective nanoindentation: Application to LiMn2O4 cathode. Mater. Sci. Eng. A 2014, 593, 92–102. [Google Scholar] [CrossRef]
- Kitta, M.; Akita, T.; Kohyama, M. Preparation of a spinel LiMn2O4 single crystal film from a mno wafer. J. Power Sources 2013, 232, 7–11. [Google Scholar] [CrossRef]
- Korsunsky, A.M.; Sebastiani, M.; Bemporad, E. Residual stress evaluation at the micrometer scale: Analysis of thin coatings by fib milling and digital image correlation. Sur. Coat. Technol. 2010, 205, 2393–2403. [Google Scholar] [CrossRef]
- Sebastiani, M.; Eberl, C.; Bemporad, E.; Pharr, G.M. Depth-resolved residual stress analysis of thin coatings by a new fib–Dic method. Mater. Sci. Eng. A 2011, 528, 7901–7908. [Google Scholar] [CrossRef]
- Lawn, B.R. Fracture of Brittle Solids; Cambridge University Press: Melbournce, Australia, 1993. [Google Scholar]
- Cuadrado, N.; Casellas, D.; Anglada, M.; Jiménez-Piqué, E. Evaluation of fracture toughness of small volumes by means of cube-corner nanoindentation. Scr. Mater. 2012, 66, 670–673. [Google Scholar] [CrossRef]
- Amanieu, H.-Y.; Aramfard, M.; Rosato, D.; Batista, L.; Rabe, U.; Lupascu, D.C. Mechanical properties of commercial LixMn2O4 cathode under different states of charge. Acta Mater. 2015, 89, 153–162. [Google Scholar] [CrossRef]
- Wolfenstine, J.; Allen, J.L.; Jow, T.R.; Thompson, T.; Sakamoto, J.; Jo, H.; Choe, H. Licopo4 mechanical properties evaluated by nanoindentation. Ceram. Int. 2014, 40, 13673–13677. [Google Scholar] [CrossRef]






| Parameter | Wafer | Particles |
|---|---|---|
| E-modulus, E (GPa), [26] | 95.73 ± 3.93 | 86.67 ± 11.29 |
| FE Poisson’s ratio, ν | 0.25 | 0.25 |
| Hardness, H (GPa), [26] | 6.71 ± 0.44 | 6.95 ± 0.76 |
| Substrate corrected finite element γ (Equation (1)) | 0.25 | 0.22 |
| Experimental pillar radius, R (µm) | 2.36 ± 0.10 | 2.36 ± 0.10 |
| Experimental instability load, Pc (mN) | 3.88 ± 0.85 | 3.90 ± 0.22 |
| Fracture toughness, Kc (MPa.m1/2) | 0.27 ± 0.06 | 0.24 ± 0.01 |
| Sample | KIC (MPa.m1/2) | R2 |
|---|---|---|
| + | 1.00 | 0.84 |
| ⎝ | 0.89 | 0.95 |
| ⌈ | 0.62 | 0.69 |
| © | 0.67 | 0.66 |
| ⌠ | 0.99 | 0.77 |
| │ | 0.88 | 0.70 |
| × | 0.64 | 0.13 |
| Weighted means | 0.81% ± 18% | N/A |
© 2017 by the authors. Licensee MDPI, Basel, Switzerland. This article is an open access article distributed under the terms and conditions of the Creative Commons Attribution (CC BY) license (http://creativecommons.org/licenses/by/4.0/).
Share and Cite
Mughal, M.Z.; Amanieu, H.-Y.; Moscatelli, R.; Sebastiani, M. A Comparison of Microscale Techniques for Determining Fracture Toughness of LiMn2O4 Particles. Materials 2017, 10, 403. https://doi.org/10.3390/ma10040403
Mughal MZ, Amanieu H-Y, Moscatelli R, Sebastiani M. A Comparison of Microscale Techniques for Determining Fracture Toughness of LiMn2O4 Particles. Materials. 2017; 10(4):403. https://doi.org/10.3390/ma10040403
Chicago/Turabian StyleMughal, Muhammad Zeeshan, Hugues-Yanis Amanieu, Riccardo Moscatelli, and Marco Sebastiani. 2017. "A Comparison of Microscale Techniques for Determining Fracture Toughness of LiMn2O4 Particles" Materials 10, no. 4: 403. https://doi.org/10.3390/ma10040403
APA StyleMughal, M. Z., Amanieu, H.-Y., Moscatelli, R., & Sebastiani, M. (2017). A Comparison of Microscale Techniques for Determining Fracture Toughness of LiMn2O4 Particles. Materials, 10(4), 403. https://doi.org/10.3390/ma10040403

