Improvement of Sludge Dewaterability by Ultrasound-Initiated Cationic Polyacrylamide with Microblock Structure: The Role of Surface-Active Monomers
Abstract
:1. Introduction
2. Materials and Methods
2.1. Materials
2.2. Preparation of Copolymer
2.3. Determination of the Monomer Reactivity Ratio
2.4. Composition and Sequence-Length Distributions of Polymers
2.5. Characterizations
2.6. Dewatering Tests
2.6.1. Sludge Conditioning
2.6.2. Determination of Sludge Dewaterability
2.6.3. Characterization of Morphological Properties of Sludge
2.6.4. Extraction and Analysis of Soluble EPS (SEPS)
3. Results and Discussion
3.1. Monomer Reactivity Ratios of the Polymers
3.2. Composition Equations of the Polymers
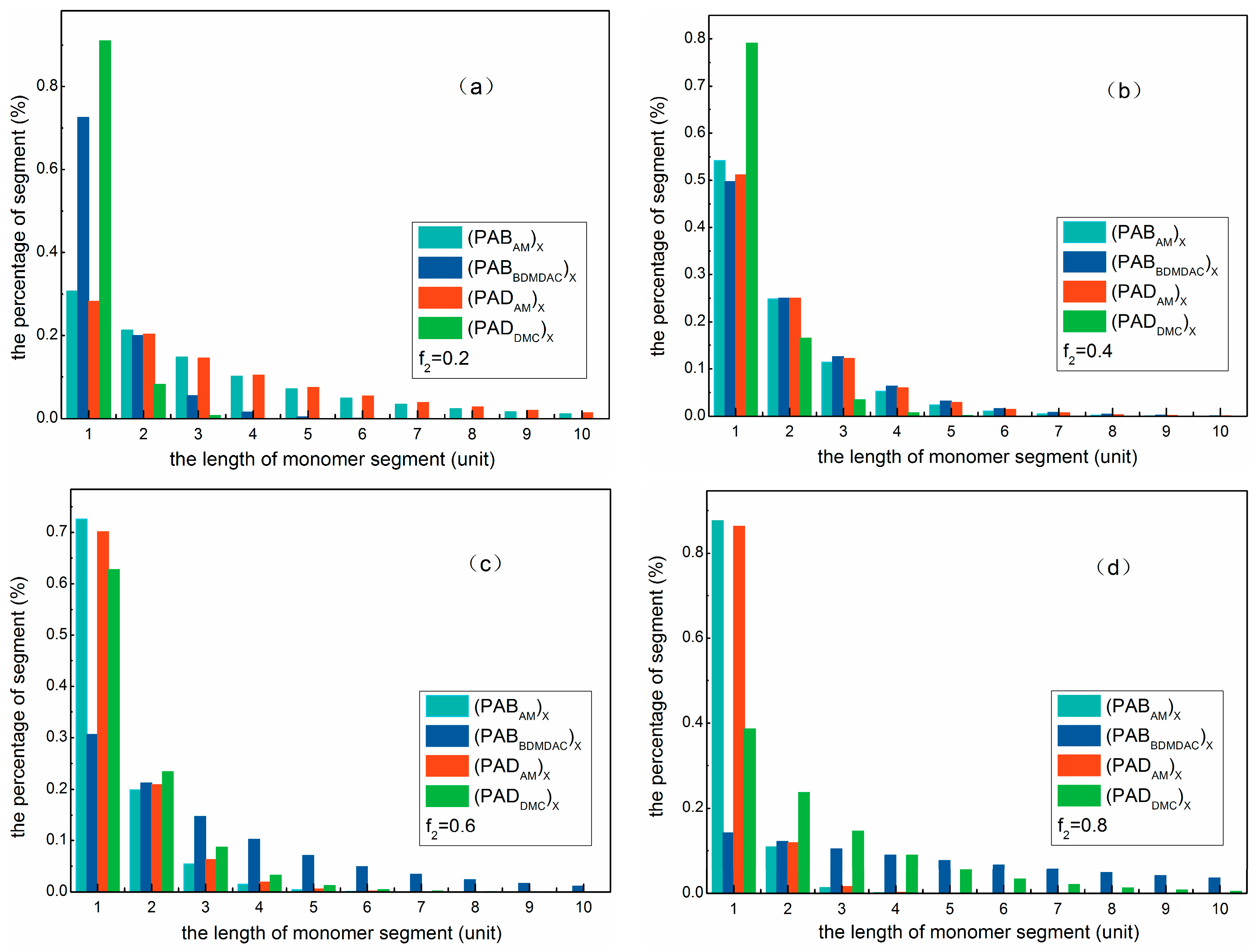
3.3. Sequence Distributions of the Polymers
3.4. Characterizations of the Polymers
3.4.1. FTIR Spectra
3.4.2. 1H NMR Spectra
3.4.3. DSC−TGA
3.5. Dewatering Test
3.5.1. Effect of Sequence Distribution and Dosage on Dewatering Performance
3.5.2. Effect of Sequence Distribution on Morphological Properties of Sludge
Sludge Floc Size
Structural Characteristics of Sludge Cake
3.5.3. Effect of Sequence Distribution on Sludge Soluble EPS Properties
4. Conclusions
- The reactivity ratio of monomers suggested that novel cationic monomer BDMDAC had higher homopolymerization ability, and thus are more prone to forming microblocks. The statistical analysis of sequence-length distribution indicated that the number and length of cationic segments were increased in the PAB molecules. In addition, the characteristic results of FTIR, 1H NMR, and TGA provided evidence for the synthesis of cationic microblock copolymer.
- Sludge dewaterability was greatly improved by adding the synthesized novel flocculant and the sludge-specific resistance to filtration, filter cake moisture content and residual turbidity all reached a minimum (68.7%, 5.4 × 1012 m·kg−1, 2.6 NTU, respectively) at 40 mg·L−1. The excellent performance was associated with the combined effect of surfmers and ultrasound.
- The bigger and more compact sludge flocs conditioned by PAB were not easy to break when exposed to high shear force. Furthermore, their re-growth capability was relatively high, benefiting from patch re-flocculation.
- PAB with cationic microblock structure was more effective in removal of PN in SEPS because of enhanced electrical neutralization and adsorption bridging ability, which was conducive to reducing the sludge viscosity and compressibility.
Supplementary Materials
Acknowledgments
Author Contributions
Conflicts of Interest
References
- Christensen, M.L.; Keiding, K.; Nielsen, P.H.; Jorgensen, M.K. Dewatering in biological wastewater treatment: A review. Water Res. 2015, 82, 14–24. [Google Scholar] [CrossRef] [PubMed]
- Chen, Z.; Zhang, W.; Wang, D.; Ma, T.; Bai, R.; Yu, D. Enhancement of waste activated sludge dewaterability using calcium peroxide pre-oxidation and chemical re-flocculation. Water Res. 2016, 103, 170–181. [Google Scholar] [CrossRef] [PubMed]
- Zheng, H.; Sun, Y.; Zhu, C.; Guo, J.; Zhao, C.; Liao, Y.; Guan, Q. UV-initiated polymerization of hydrophobically associating cationic flocculants: Synthesis, characterization, and dewatering properties. Chem. Eng. J. 2013, 234, 318–326. [Google Scholar] [CrossRef]
- Luo, H.; Ning, X.; Liang, X.; Feng, Y.; Liu, J. Effects of sawdust-CPAM on textile dyeing sludge dewaterability and filter cake properties. Bioresour. Technol. 2013, 139, 330–336. [Google Scholar] [CrossRef] [PubMed]
- Zheng, H.; Sun, Y.; Guo, J.; Lo, F.; Fan, W.; Liao, Y.; Guan, Q. Characterization and Evaluation of Dewatering Properties of PADB, a Highly Efficient Cationic Flocculant. Ind. Eng. Chem. Res. 2014, 53, 2572–2582. [Google Scholar] [CrossRef]
- Liao, Y.; Zheng, H.; Qian, L.; Sun, Y.; Dai, L.; Xue, W. UV-Initiated Polymerization of Hydrophobically Associating Cationic Polyacrylamide Modified by a Surface-Active Monomer: A Comparative Study of Synthesis, Characterization, and Sludge Dewatering Performance. Ind. Eng. Chem. Res. 2014, 53, 11193–11203. [Google Scholar] [CrossRef]
- Li, X.; Zheng, H.; Gao, B.; Sun, Y.; Liu, B.; Zhao, C. UV-initiated template copolymerization of AM and MAPTAC: Microblock structure, copolymerization mechanism, and flocculation performance. Chemosphere 2017, 167, 71–81. [Google Scholar] [CrossRef] [PubMed]
- Yuan, H.; Zhu, N.; Song, F. Dewaterability characteristics of sludge conditioned with surfactants pretreatment by electrolysis. Bioresour. Technol. 2011, 102, 2308–2315. [Google Scholar] [CrossRef] [PubMed]
- Bolto, B.; Gregory, J. Organic polyelectrolytes in water treatment. Water Res. 2007, 41, 2301–2324. [Google Scholar] [CrossRef] [PubMed]
- Guan, Q.; Zheng, H.; Zhai, J.; Zhao, C.; Zheng, X.; Tang, X.; Chen, W.; Sun, Y. Effect of Template on Structure and Properties of Cationic Polyacrylamide: Characterization and Mechanism. Ind. Eng. Chem. Res. 2014, 53, 5624–5635. [Google Scholar] [CrossRef]
- Chen, W.; Zheng, H.; Guan, Q.; Teng, H.; Zhao, C.; Zhao, C. Fabricating a Flocculant with Controllable Cationic Microblock Structure: Characterization and Sludge Conditioning Behavior Evaluation. Ind. Eng. Chem. Res. 2016, 55, 2892–2902. [Google Scholar] [CrossRef]
- Bhanvase, B.A.; Pinjari, D.V.; Sonawane, S.H.; Gogate, P.R.; Pandit, A.B. Analysis of semibatch emulsion polymerization: Role of ultrasound and initiator. Ultrason. Sonochem. 2012, 19, 97–103. [Google Scholar] [CrossRef] [PubMed]
- Sankar, K.; Rajendran, V. Ultrasound assisted free radical polymerization of glycidyl methacrylate by a new disite phase-transfer catalyst system: A kinetic study. Ultrason. Sonochem. 2012, 19, 1205–1212. [Google Scholar] [CrossRef] [PubMed]
- Erbil, C.; Ozdemir, S.; Uyanik, N. Determination of the monomer reactivity ratios for copolymerization of itaconic acid and acrylamide by conductometric titration method. Polymer 2000, 41, 1391–1394. [Google Scholar] [CrossRef]
- Polowinski, S. Template polymerisation and co-polymerisation. Prog. Polym. Sci. 2002, 27, 537–577. [Google Scholar] [CrossRef]
- Bera, P.; Saha, S.K. Water-soluble copolymers of acrylamide with diacetone—Acrylamide and N-t-butylacrylamide on aqueous montmorillonite surface: Synthesis and characterisation. Eur. Polym. J. 2000, 36, 411–419. [Google Scholar] [CrossRef]
- Hofmeyr, J.S.; Gqwaka, O.P.C.; Rohwer, J.M. A generic rate equation for catalysed, template-directed polymerisation. FEBS Lett. 2013, 587, 2868–2875. [Google Scholar] [CrossRef] [PubMed]
- Zhang, M.; Carnahan, E.M.; Karjala, T.W.; Jain, P. Theoretical Analysis of the Copolymer Composition Equation in Chain Shuttling Copolymerization. Macromolecules 2009, 42, 8013–8016. [Google Scholar] [CrossRef]
- Sang, W.; Ma, H.; Wang, Q.; Hao, X.; Zheng, Y.; Wang, Y.; Li, Y. Monomer sequence determination in the living anionic copolymerization of styrene and asymmetric bi-functionalized 1,1-diphenylethylene derivatives. Polym. Chem. 2016, 7, 219–234. [Google Scholar] [CrossRef]
- Yao, Z.; Cui, Y.; Zheng, K.; Zhu, B.; Zhu, L. Composition and properties of porous blend membranes containing tertiary amine based amphiphilic copolymers with different sequence structures. J. Colloid Interf. Sci. 2015, 437, 124–131. [Google Scholar] [CrossRef] [PubMed]
- Canetti, M.; Leone, G.; Ricci, G.; Bertini, F. Structure and thermal properties of ethylene/4-methyl-1-pentene copolymers: Effect of comonomer and monomer sequence distribution. Eur. Polym. J. 2015, 73, 423–432. [Google Scholar] [CrossRef]
- Jarvis, P.; Jefferson, B.; Parsons, S.A. Breakage, regrowth, and fractal mature of natural organic matter flocs. Environ. Sci. Technol. 2005, 39, 2307–2314. [Google Scholar] [CrossRef] [PubMed]
- Zhang, W.; Cao, B.; Wang, D.; Ma, T.; Xia, H.; Yu, D. Influence of wastewater sludge treatment using combined peroxyacetic acid oxidation and inorganic coagulants re-flocculation on characteristics of extracellular polymeric substances (EPS). Water Res. 2016, 88, 728–739. [Google Scholar] [CrossRef] [PubMed]
- Riesz, P.; Berdahl, D.; Christman, C.L. Free-radical generation by ultrasound in aqueous and nonaqueous solutions. Environ. Health Persp. 1985, 64, 233–252. [Google Scholar] [CrossRef]
- Lowry, O.H.; Rosebrough, N.J.; Farr, A.L.; Randall, R.J. protein measurement with the Folin phenol reagent. J. Biol. Chem. 1951, 193, 265–275. [Google Scholar] [PubMed]
- Erol, I.; Sahin, B. Functional styrenic copolymer based on 2-(dimethylamino)ethyl methacrylate: Reactivity ratios, biological activity thermal properties and semi-conducting properties. J. Fluor. Chem. 2015, 178, 154–164. [Google Scholar] [CrossRef]
- Plisko, T.V.; Bildyukevich, A.V. Debundling of multiwalled carbon nanotubes in N, N-dimethylacetamide by polymers. Colloid Polym. Sci. 2014, 292, 2571–2580. [Google Scholar] [CrossRef]
- Wang, L.; Wang, J.; Yuan, S.; Zhang, S.; Tang, Y.; Yu, H. Gamma radiation-induced dispersion polymerization in aqueous salts solution for manufacturing a cationic flocculant. Chem. Eng. J. 2009, 149, 118–122. [Google Scholar] [CrossRef]
- Ma, J.; Shi, J.; Ding, H.; Zhu, G.; Fu, K.; Fu, X. Synthesis of cationic polyacrylamide by low-pressure UV initiation for turbidity water flocculation. Chem. Eng. J. 2017, 312, 20–29. [Google Scholar] [CrossRef]
- Abdollahi, Z.; Frounchi, M.; Dadbin, S. Synthesis, characterization and comparison of PAM, cationic PDMC and P(AM-co-DMC) based on solution polymerization. J. Ind. Eng. Chem. 2011, 17, 580–586. [Google Scholar] [CrossRef]
- Mapkar, J.A.; Iyer, G.; Coleman, M.R. Functionalization of carbon nanofibers with elastomeric block copolymer using carbodiimide chemistry. Appl. Surf. Sci. 2009, 255, 4806–4813. [Google Scholar] [CrossRef]
- Yang, J.; Jia, L.; Yin, L.Z.; Yu, J.Y.; Shi, Z.; Fang, Q.; Cao, A.M. A novel approach to biodegradable block copolymers of epsilon-caprolactone and delta-valerolactone catalyzed by new aluminum metal complexes. Macromol. Biosci. 2004, 4, 1092–1104. [Google Scholar] [CrossRef] [PubMed]
- Wang, L.; Li, G.; Zhang, Y.; Xiao, H. Synthesis and Evaluation of P(AM-b-DADMAC) as Fixative for Dissolved and Colloidal Substances. J. Appl. Polym. Sci. 2013, 130, 4040–4046. [Google Scholar] [CrossRef]
- Yang, Z.L.; Gao, B.Y.; Li, C.X.; Yue, Q.Y.; Liu, B. Synthesis and characterization of hydrophobically associating cationic polyacrylamide. Chem. Eng. J. 2010, 161, 27–33. [Google Scholar] [CrossRef]
- Zhang, Z.; Zheng, H.; Huang, F.; Li, X.; He, S.; Zhao, C. Template Polymerization of a Novel Cationic Polyacrylamide: Sequence Distribution, Characterization, and Flocculation Performance. Ind. Eng. Chem. Res. 2016, 55, 9819–9828. [Google Scholar] [CrossRef]
- Lin, Q.; Peng, H.; Zhong, S.; Xiang, J. Synthesis, characterization, and secondary sludge dewatering performance of a novel combined silicon-aluminum-iron-starch flocculant. J. Hazard. Mater. 2015, 285, 199–206. [Google Scholar] [CrossRef] [PubMed]
- Yang, Z.; Yuan, B.; Huang, X.; Zhou, J.; Cai, J.; Yang, H.; Li, A.; Cheng, R. Evaluation of the flocculation performance of carboxymethyl chitosan-graft-polyacrylamide, a novel amphoteric chemically bonded composite flocculant. Water Res. 2012, 46, 107–114. [Google Scholar] [CrossRef] [PubMed]
- Gregory, J.; Barany, S. Adsorption and flocculation by polymers and polymer mixtures. Adv. Colloid Interface 2011, 169, 1–12. [Google Scholar] [CrossRef] [PubMed]
- Chen, Q.; Wang, Y. Influence of single- and dual-flocculant conditioning on the geometric morphology and internal structure of activated sludge. Powder Technol. 2015, 270(Part A), 1–9. [Google Scholar] [CrossRef]
- Huang, X.; Zhao, Y.; Gao, B.; Sun, S.; Wang, Y.; Li, Q.; Yue, Q. Polyacrylamide as coagulant aid with polytitanium sulfate in humic acid-kaolin water treatment: Effect of dosage and dose method. J. Taiwan Inst. Chem. E 2016, 64, 173–179. [Google Scholar] [CrossRef]
- Yoon, S.; Deng, Y. Flocculation and reflocculation of clay suspension by different polymer systems under turbulent conditions. J. Colloid Interf. Sci. 2004, 278, 139–145. [Google Scholar] [CrossRef] [PubMed]
- Thapa, K.B.; Qi, Y.; Clayton, S.A.; Hoadley, A.F.A. Lignite aided dewatering of digested sewage sludge. Water Res. 2009, 43, 623–634. [Google Scholar] [CrossRef] [PubMed]
- Zhang, W.; Peng, S.; Xiao, P.; He, J.; Yang, P.; Xu, S.; Wang, D. Understanding the evolution of stratified extracellular polymeric substances in full-scale activated sludges in relation to dewaterability. RSC Adv. 2015, 5, 1282–1294. [Google Scholar] [CrossRef]
- Zhang, W.; Xiao, P.; Liu, Y.; Xu, S.; Xiao, F.; Wang, D.; Chow, C.W.K. Understanding the impact of chemical conditioning with inorganic polymer flocculants on soluble extracellular polymeric substances in relation to the sludge dewaterability. Sep. Purif. Technol. 2014, 132, 430–437. [Google Scholar] [CrossRef]
- Zhang, W.; Yang, P.; Xiao, P.; Xu, S.; Liu, Y.; Liu, F.; Wang, D. Dynamic variation in physicochemical properties of activated sludge floc from different WWTPs and its influence on sludge dewaterability and settleability. Colloids Surf. A 2015, 467, 124–134. [Google Scholar] [CrossRef]
- Chen, Z.; Zhang, W.; Wang, D.; Ma, T.; Bai, R. Enhancement of activated sludge dewatering performance by combined composite enzymatic lysis and chemical re-flocculation with inorganic coagulants: Kinetics of enzymatic reaction and re-flocculation morphology. Water Res. 2015, 83, 367–376. [Google Scholar] [CrossRef] [PubMed]
- Zhang, W.; Cao, B.; Wang, D.; Ma, T.; Yu, D. Variations in distribution and composition of extracellular polymeric substances (EPS) of biological sludge under potassium ferrate conditioning: Effects of pH and ferrate dosage. Biochem. Eng. J. 2016, 106, 37–47. [Google Scholar] [CrossRef]
- Basuvaraj, M.; Fein, J.; Liss, S.N. Protein and polysaccharide content of tightly and loosely bound extracellular polymeric substances and the development of a granular activated sludge floc. Water Res. 2015, 82, 104–117. [Google Scholar] [CrossRef] [PubMed]











| Indicator | pH | Moisture Content (%) | Zeta Potential (mv) | VSS/TSS (mg/L) | SRF (1013 m/kg) | Turbidity of Sludge Bulk (NTU) |
|---|---|---|---|---|---|---|
| Value | 6.93 ± 0.12 | 98.2 ± 0.5 | −18.9 ± 1.4 | 0.63 ± 0.02 | 5.6 ± 0.3 | 35.3 ± 1.7 |
| Flocculants | Intrinsic Viscosity (dL·g−1) | Average Molecular Weight (106 Da) | Cationic Degree (%) |
|---|---|---|---|
| PAB | 6.94 | 2.86 | 60 |
| PAD | 7.18 | 2.98 | 60 |
| CPAA | 7.22 | 3.00 | 60 |
| CPAD | 7.22 | 3.00 | 60 |
| Methods | PAD | PAB | ||
|---|---|---|---|---|
| rAM | rDMC | rAM | rBDMDAC | |
| Fineman–Ross Method | 0.64 | 0.42 | 0.55 | 1.47 |
| Kelen–Tüdö Method | 0.63 | 0.39 | 0.57 | 1.52 |
| Y−B−R Method | 0.64 | 0.39 | 0.57 | 1.56 |
| Average | 0.64 | 0.40 | 0.56 | 1.52 |
| Flocculants | SF (%) | RF (%) |
|---|---|---|
| PAB | 64.73 | 34.15 |
| PAD | 54.41 | 12.36 |
| CPAA | 49.76 | 7.59 |
| CPAD | data | 13.84 |
© 2017 by the authors. Licensee MDPI, Basel, Switzerland. This article is an open access article distributed under the terms and conditions of the Creative Commons Attribution (CC BY) license ( http://creativecommons.org/licenses/by/4.0/).
Share and Cite
Zhao, C.; Zheng, H.; Feng, L.; Wang, Y.; Liu, Y.; Liu, B.; Djibrine, B.Z. Improvement of Sludge Dewaterability by Ultrasound-Initiated Cationic Polyacrylamide with Microblock Structure: The Role of Surface-Active Monomers. Materials 2017, 10, 282. https://doi.org/10.3390/ma10030282
Zhao C, Zheng H, Feng L, Wang Y, Liu Y, Liu B, Djibrine BZ. Improvement of Sludge Dewaterability by Ultrasound-Initiated Cationic Polyacrylamide with Microblock Structure: The Role of Surface-Active Monomers. Materials. 2017; 10(3):282. https://doi.org/10.3390/ma10030282
Chicago/Turabian StyleZhao, Chuanliang, Huaili Zheng, Li Feng, Yili Wang, Yongzhi Liu, Bingzhi Liu, and Badradine Zakaria Djibrine. 2017. "Improvement of Sludge Dewaterability by Ultrasound-Initiated Cationic Polyacrylamide with Microblock Structure: The Role of Surface-Active Monomers" Materials 10, no. 3: 282. https://doi.org/10.3390/ma10030282
APA StyleZhao, C., Zheng, H., Feng, L., Wang, Y., Liu, Y., Liu, B., & Djibrine, B. Z. (2017). Improvement of Sludge Dewaterability by Ultrasound-Initiated Cationic Polyacrylamide with Microblock Structure: The Role of Surface-Active Monomers. Materials, 10(3), 282. https://doi.org/10.3390/ma10030282

