The Effects of UV Light on the Chemical and Mechanical Properties of a Transparent Epoxy-Diamine System in the Presence of an Organic UV Absorber
Abstract
:1. Introduction
2. Experimental
2.1. Materials
2.2. Methods
2.3. Analysis Techniques
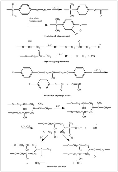
3. Results and Discussion
3.1. FT-IR Analysis
3.2. UV-Vis Analysis
3.3. Tg Evaluation
3.4. Tensile Strength
3.5. Izod Impact Strength
3.6. Pull-Off Strength
3.7. SEM Morphology
4. Conclusions
Acknowledgments
Author Contributions
Conflicts of Interest
References
- Zarras, P.; Goodman, P.A.; Stenger-Smith, J.D. Functional polymeric coatings: Synthesis, properties, and applications. Res. Perspect. Funct. Micro Nanoscale Coat. 2016. [Google Scholar] [CrossRef]
- Hensher, D.A. Fiber-Reinforced-Plastic (FRP) Reinforcement for Concrete Structures: Properties and Applications; Elsevier: Amsterdam, The Netherlands, 2016. [Google Scholar]
- Mirmohseni-Namin, A.; Nikafshar, S.; Mirmohseni, F. Increasing toughness and tensile strength of an epoxy-diamine system using an inorganic ultra-accelerator. RSC Adv. 2015, 5, 53025–53035. [Google Scholar] [CrossRef]
- Singh, P.; Kharwar, P.K.; Gautam, V.K.; Yadav, M.S.K. Physical and mechanical characterization of epoxy based polymer composites for marine industry. Imp. J. Interdiscip. Res. 2016, 2, 608–613. [Google Scholar]
- McKeen, L.W. The Effect of UV Light and Weather on Plastics and Elastomers; William Andrew: Norwich, NY, USA, 2013. [Google Scholar]
- Solar and Ultraviolet Radiation. Available online: https://www.ncbi.nlm.nih.gov/books/NBK304366/ (accessed on 16 December 2016).
- Ghasemi-Kahrizsangi, A.; Neshati, J.; Shariatpanahi, H.; Akbarinezhad, E. Improving the UV degradation resistance of epoxy coatings using modified carbon black nanoparticles. Prog. Org. Coat. 2015, 85, 199–207. [Google Scholar] [CrossRef]
- Suits, L.D.; Hsuan, Y.G. Assessing the photo-degradation of geosynthetics by outdoor exposure and laboratory weatherometer. Geotext. Geomembr. 2003, 21, 111–122. [Google Scholar] [CrossRef]
- Grassie, N.; Guy, M.I.; Tennent, N.H. Degradation of epoxy polymers. Part 5—Photo-degradation of bisphenol-A diglycidyl ether cured with ethylene diamine. Polym. Degrad. Stab. 1986, 14, 209–216. [Google Scholar] [CrossRef]
- Zhang, Z.; Wang, S.; Zhang, J. Large stabilizing effect of titanium dioxide on photodegradation of PVC/α-methylstyrene-acrylonitrile copolymer/impact modifier-matrix composites. Polym. Compos. 2014, 35, 2365–2375. [Google Scholar] [CrossRef]
- Yousif, E.; Haddad, R. Photodegradation and photostabilization of polymers, especially polystyrene: Review. SpringerPlus 2013. [Google Scholar] [CrossRef] [PubMed]
- Asmatulu, R.; Claus, R.O.; Mecham, J.B.; Corcoran, S.G. Nanotechnology-associated coatings for aircrafts. Mater. Sci. 2007, 43, 415–422. [Google Scholar] [CrossRef]
- Asmatulu, R.; Mahmud, G.A.; Zhang, B.; Ahmed, I. Effects of UV light on water contact angles of nanocomposite coatings. In Proceedings of the SAMPE Fall Technical Conference, Salt Lake City, UT, USA, 11–14 October 2010.
- Copinet, A.; Bertrand, C.; Govindin, S.; Coma, V.; Couturier, Y. Effects of ultraviolet light (315 nm), temperature and relative humidity on the degradation of polylactic acid plastic films. Chemosphere 2004, 55, 763–773. [Google Scholar] [CrossRef] [PubMed]
- Rabek, J.F. Polymer Photodegradation Mechanisms and Experimental Methods; Chapman & Hall: London, UK, 1995. [Google Scholar]
- Massey, L.K. The Effects of UV Light and Weather on Plastics and Elastomers, 2nd ed.; William Andrew: Norwich, NY, USA, 2007. [Google Scholar]
- Forsthuber, B.; Schaller, C.; Grüll, G. Evaluation of the photo stabilising efficiency of clear coatings comprising organic UV absorbers and mineral UV screeners on wood surfaces. Wood Sci. Technol. 2013, 47, 281–297. [Google Scholar] [CrossRef]
- Devi, R.R.; Maji, T.K. Effect of nano-zno on thermal, mechanical, UV stability, and other physical properties of wood polymer composites. Ind. Eng. Chem. Res. 2012, 51, 3870–3880. [Google Scholar] [CrossRef]
- Aloui, F.; Ahajji, A.; Irmouli, Y.; George, B.; Charrier, B.; Merlin, A. Inorganic UV absorbers for the photostabilisation of wood-clearcoating systems: Comparison with organic UV absorbers. Appl. Surf. Sci. 2007, 253, 3737–3745. [Google Scholar] [CrossRef]
- Crawford, J.C. 2(2-hydroxyphenyl)2H-benzotriazole ultraviolet stabilizers. Prog. Polym. Sci. 1999, 24, 7–43. [Google Scholar] [CrossRef]
- Allen, N.S.; Edge, M.; Ortega, A.; Sandoval, G.; Liauw, C.M.; Verran, J.; Stratton, J.; McIntyre, R.B. Degradation and stabilisation of polymers and coatings: Nano versus pigmentary titania particles. Polym. Degrad. Stab. 2004, 85, 927–946. [Google Scholar] [CrossRef]
- Bail, R.; Hong, J.Y.; Chin, B.D. Effect of a red-shifted benzotriazole UV absorber on curing depth and kinetics in visible light initiated photopolymer resins for 3D printing. J. Ind. Eng. Chem. 2016, 38, 141–145. [Google Scholar] [CrossRef]
- Parejo, P.G.; Zayat, M.; Levy, D. Highly efficient UV-absorbing thin-film coatings for protection of organic materials against photodegradation. J. Mater. Chem. 2006, 16, 2165–2169. [Google Scholar] [CrossRef]
- Manaia, E.B.; Kaminski, R.C.K.; Corrêa, M.A.; Chiavacci, L.A. Inorganic UV filters. Braz. J. Pharm. Sci. 2013, 49, 201–209. [Google Scholar] [CrossRef]
- Asmatulu, R.; Mahmud, G.A.; Hille, C.; Misak, H.E. Effects of UV degradation on surface hydrophobicity, crack, and thickness of MWCNT-based nanocomposite coatings. Prog. Org. Coat. 2011, 72, 553–561. [Google Scholar] [CrossRef]
- Gesner, B.D.; Kelleher, P.G. Oxidation of bisphenol a polymers. J. Appl. Polym. Sci. 1969, 13, 2183–2191. [Google Scholar] [CrossRef]
- Hayyan, M.; Hashim, M.A.; AlNashef, I.M. Superoxide ion: Generation and chemical implications. Chem. Rev. 2016, 116, 3029–3085. [Google Scholar] [CrossRef] [PubMed]
- Step, E.; Turro, N.; Gande, M.; Klemchuk, P. Mechanism of polymer stabilization by hindered-amine light stabilizers (HALS). Model investigations of the interaction of peroxy radicals with hals amines and amino ethers. Macromolecules 1994, 27, 2529–2539. [Google Scholar] [CrossRef]
- Kockler, J.; Oelgemöller, M.; Robertson, S.; Glass, B.D. Photostability of sunscreens. J. Photochem. Photobiol. C Photochem. Rev. 2012, 13, 91–110. [Google Scholar] [CrossRef]
- Fechine, G.J.M.; Rabello, M.S.; Souto Maior, R.M.; Catalani, L.H. Surface characterization of photodegraded poly(ethylene terephthalate). The effect of ultraviolet absorbers. Polymer 2004, 45, 2303–2308. [Google Scholar] [CrossRef]
- Jia, H.; Wang, H.; Chen, W. The combination effect of hindered amine light stabilizers with UV absorbers on the radiation resistance of polypropylene. Radiat. Phys. Chem. 2007, 76, 1179–1188. [Google Scholar] [CrossRef]
- Lee, B.-H.; Kim, H.-J. Influence of isocyanate type of acrylated urethane oligomer and of additives on weathering of UV-cured films. Polym. Degrad. Stab. 2006, 91, 1025–1035. [Google Scholar] [CrossRef]
- Liu, Z.; Chen, S.; Zhang, J. Effect of UV absorbers and hindered amine light stabilizers on the photodegradation of ethylene-octene copolymer. J. Appl. Polym. Sci. 2013, 127, 1135–1147. [Google Scholar] [CrossRef]
- Diepens, M. Photodegradation and Stability of Bisphenol a Polycarbonate in Weathering Conditions; Eindhoven University of Technology: Eindhoven, The Netherlands, 2009. [Google Scholar]
- Irmouli, Y.; George, B.; Merlin, A. Artificial ageing of wood finishes monitored by IR analysis and color measurements. J. Appl. Polym. Sci. 2012, 124, 1938–1946. [Google Scholar] [CrossRef]
- Petersen, E.J.; Lam, T.; Gorham, J.M.; Scott, K.C.; Long, C.J.; Stanley, D.; Sharma, R.; Alexander Liddle, J.; Pellegrin, B.; Nguyen, T. Methods to assess the impact of UV irradiation on the surface chemistry and structure of multiwall carbon nanotube epoxy nanocomposites. Carbon 2014, 69, 194–205. [Google Scholar] [CrossRef]
- Kowalonek, J. Surface studies of UV-irradiated poly(vinyl chloride)/poly(methyl methacrylate) blends. Polym. Degrad. Stab. 2016, 133, 367–377. [Google Scholar] [CrossRef]
- Zhang, X.; Pi, H.; Guo, S.; Fu, J. Influence of ultraviolet absorbers on the ultraviolet-irradiation behaviour of rigid poly vinyl chloride. Plast. Rubber Compos. 2016, 45, 352–361. [Google Scholar] [CrossRef]
- Mailhot, B.; Morlat-Thérias, S.; Ouahioune, M.; Gardette, J.-L. Study of the degradation of an epoxy/amine resin, 1. Macromol. Chem. Phys. 2005, 206, 575–584. [Google Scholar] [CrossRef]
- Pavia, D.; Lampman, G.; Kriz, G.; Vyvyan, J. Introduction to Spectroscopy; Cengage Learning: Boston, MA, USA, 2008. [Google Scholar]
- Torikai, A.; Hasegawa, H. Accelerated photodegradation of poly(vinyl chloride). Polym. Degrad. Stab. 1999, 63, 441–445. [Google Scholar] [CrossRef]
- Muasher, M.; Sain, M. The efficacy of photostabilizers on the color change of wood filled plastic composites. Polym. Degrad. Stab. 2006, 91, 1156–1165. [Google Scholar] [CrossRef]
- Salla, J.; Pandey, K.K.; Srinivas, K. Improvement of UV resistance of wood surfaces by using zno nanoparticles. Polym. Degrad. Stab. 2012, 97, 592–596. [Google Scholar] [CrossRef]
- Zabihi, O. Preparation and characterization of toughened composites of epoxy/poly(3,4-ethylenedioxythiophene) nanotube: Thermal, mechanical and electrical properties. Compos. Part B Eng. 2013, 45, 1480–1485. [Google Scholar] [CrossRef]
- Carbas, R.; Marques, E.; Da Silva, L.; Lopes, A. Effect of cure temperature on the glass transition temperature and mechanical properties of epoxy adhesives. J. Adhes. 2014, 90, 104–119. [Google Scholar] [CrossRef]
- Zabihi, O. Modeling of phenomenological mechanisms during thermal formation and degradation of an epoxy-based nanocomposite. Thermochim. Acta 2012, 543, 239–245. [Google Scholar] [CrossRef]
- Zabihi, O.; Ahmadi, M.; Akhlaghi bagherjeri, M.; Naebe, M. One-pot synthesis of aminated multi-walled carbon nanotube using thiol-ene click chemistry for improvement of epoxy nanocomposites properties. RSC Adv. 2015, 5, 98692–98699. [Google Scholar] [CrossRef]
- Hill, L.W.; Korzeniowski, H.M.; Ojunga-Andrew, M.; Wilson, R.C. Accelerated clearcoat weathering studied by dynamic mechanical analysis. Prog. Org. Coat. 1994, 24, 147–173. [Google Scholar] [CrossRef]
- Tcherbi-Narteh, A.; Hosur, M.; Triggs, E.; Jeelani, S. Thermal stability and degradation of diglycidyl ether of bisphenol a epoxy modified with different nanoclays exposed to UV radiation. Polym. Degrad. Stab. 2013, 98, 759–770. [Google Scholar] [CrossRef]
- Chaochanchaikul, K.; Sombatsompop, N. Stabilizations of molecular structures and mechanical properties of PVC and wood/PVC composites by tinuvin and TiO2 stabilizers. Polym. Eng. Sci. 2011, 51, 1354–1365. [Google Scholar] [CrossRef]
- Basfar, A.A.; Abdel-Aziz, M.M.; Mofti, S. Accelerated aging and stabilization of radiation-vulcanized EPDM rubber. Radiat. Phys. Chem. 2000, 57, 405–409. [Google Scholar] [CrossRef]
- Attwood, J.; Philip, M.; Hulme, A.; Williams, G.; Shipton, P. The effects of ageing by ultraviolet degradation of recycled polyolefin blends. Polym. Degrad. Stab. 2006, 91, 3407–3415. [Google Scholar] [CrossRef]
- Petchwattana, N.; Covavisaruch, S.; Chanakul, S. Mechanical properties, thermal degradation and natural weathering of high density polyethylene/rice hull composites compatibilized with maleic anhydride grafted polyethylene. J. Polym. Res. 2012, 19, 9921. [Google Scholar] [CrossRef]
- Petrie, E. Epoxy Adhesive Formulations; McGraw-Hill Education: New York, NY, USA, 2005. [Google Scholar]
- Kielmann, B.C.; Mai, C. Application and artificial weathering performance of translucent coatings on resin-treated and dye-stained beech-wood. Prog. Org. Coat. 2016, 95, 54–63. [Google Scholar] [CrossRef]














| Sample | Area | Sample | Area |
|---|---|---|---|
| A1, 0 h | 32.9 | B1, 0 h | 33.53 |
| A2, 250 h | 35.29 | B2, 250 h | 33.98 |
| A3, 500 h | 38.12 | B3, 500 h | 34.25 |
| A4, 800 h | 64.94 | B4, 800 h | 36.55 |
| Sample | Time Exposure to UV Light | Tensile Strength (MPa) | Tensile Modulus (MPa) | Elongation at Break (%) |
|---|---|---|---|---|
| A1 | 0 h | 29.12 ± 2.4 | 1756 ± 11.5 | 1.75 ± 0.33 |
| A2 | 250 h | 27.87 ± 3.5 | 1750 ± 61.8 | 1.69 ± 0.15 |
| A3 | 500 h | 25.39 ± 1.4 | 1749 ± 45.4 | 1.42 ± 0.93 |
| A4 | 800 h | 20.25 ± 2.9 | 1747 ± 51.1 | 1.13 ± 0.67 |
| B1 | 0 h | 29.06 ± 6.9 | 1757 ± 74.7 | 1.74 ± 0.91 |
| B2 | 250 h | 28.38 ± 3.7 | 1755 ± 32.4 | 1.74 ± 0.42 |
| B3 | 500 h | 27.22 ± 2.5 | 1756 ± 63.9 | 1.63 ± 0.51 |
| B4 | 800 h | 25.59 ± 1.7 | 1751 ± 46.4 | 1.59 ± 0.37 |
| Sample | Pull-Off Strength (MPa) |
|---|---|
| A1, 0 h | 4.42 ± 0.4 |
| A2, 250 h | 4.33 ± 0.4 |
| A3, 500 h | 4.04 ± 0.1 |
| A4, 800 h | 3.52 ± 0.3 |
| B1, 0 h | 4.4 ± 0.3 |
| B2, 250 h | 4.35 ± 0.1 |
| B3, 500 h | 4.21 ± 0.3 |
| B4, 800 h | 4.12 ± 0.4 |
© 2017 by the authors. Licensee MDPI, Basel, Switzerland. This article is an open access article distributed under the terms and conditions of the Creative Commons Attribution (CC BY) license ( http://creativecommons.org/licenses/by/4.0/).
Share and Cite
Nikafshar, S.; Zabihi, O.; Ahmadi, M.; Mirmohseni, A.; Taseidifar, M.; Naebe, M. The Effects of UV Light on the Chemical and Mechanical Properties of a Transparent Epoxy-Diamine System in the Presence of an Organic UV Absorber. Materials 2017, 10, 180. https://doi.org/10.3390/ma10020180
Nikafshar S, Zabihi O, Ahmadi M, Mirmohseni A, Taseidifar M, Naebe M. The Effects of UV Light on the Chemical and Mechanical Properties of a Transparent Epoxy-Diamine System in the Presence of an Organic UV Absorber. Materials. 2017; 10(2):180. https://doi.org/10.3390/ma10020180
Chicago/Turabian StyleNikafshar, Saeid, Omid Zabihi, Mojtaba Ahmadi, Abdolreza Mirmohseni, Mojtaba Taseidifar, and Minoo Naebe. 2017. "The Effects of UV Light on the Chemical and Mechanical Properties of a Transparent Epoxy-Diamine System in the Presence of an Organic UV Absorber" Materials 10, no. 2: 180. https://doi.org/10.3390/ma10020180
APA StyleNikafshar, S., Zabihi, O., Ahmadi, M., Mirmohseni, A., Taseidifar, M., & Naebe, M. (2017). The Effects of UV Light on the Chemical and Mechanical Properties of a Transparent Epoxy-Diamine System in the Presence of an Organic UV Absorber. Materials, 10(2), 180. https://doi.org/10.3390/ma10020180

