Experimental Study on Influence of Trap Parameters on Dielectric Characteristics of Nano-Modified Insulation Pressboard
Abstract
:1. Introduction
2. Experiment
2.1. Sample Preperation
2.2. Measurement System
3. Results and Discussion
3.1. Conductivity Characteristics of Modified Pressboard
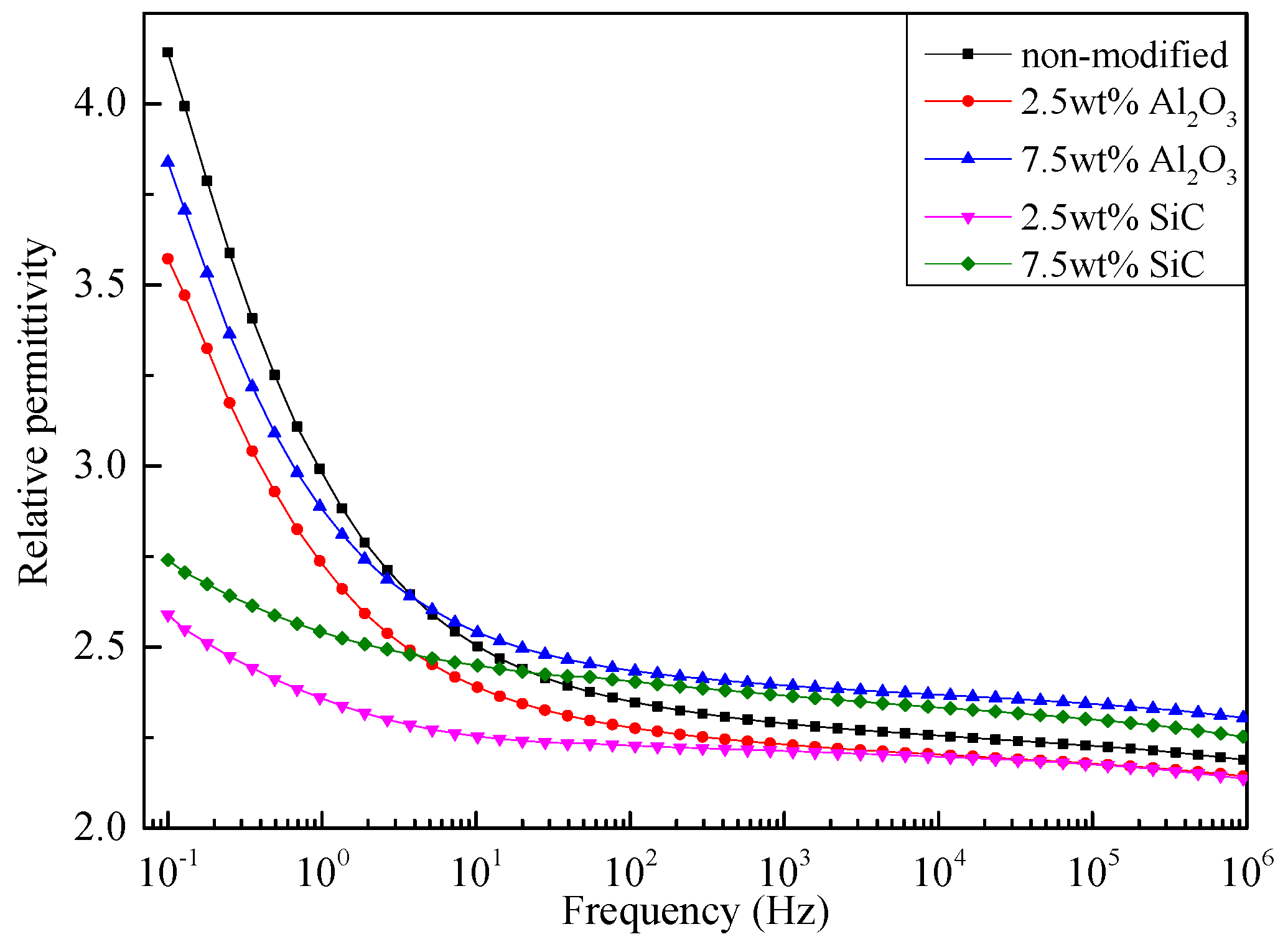
3.2. Relative Permittivity Characteristics of Modified Pressboard
3.3. Breakdown Strength Characteristics of Modified Pressboard
3.4. TSC Test Results of Modified Pressboard
3.5. Discussion
4. Conclusions
- (1)
- The depth and density of traps of pressboard can be altered by nano-modification. Both of them rise initially and then decline with the increase of nanoparticle content.
- (2)
- The forbidden bandwidth of the nanoparticle can significantly influence the trap depth. It decreases with the narrowing of the forbidden bandwidth, and the conductivity exhibits more obviously nonlinear characteristics due to variation of energy band structure.
- (3)
- The conductivity decreases with the increase of trap charge quantity, and the breakdown strength increases with the increase of trap level, which indicates that the trap parameters have significant influence on dielectric characteristics.
Acknowledgments
Author Contributions
Conflicts of Interest
References
- Hammer, F.; Kuchler, A. Insulating systems for HVDC power apparatus. IEEE. Trans. Dielectr. Electr. Insul. 1992, 27, 601–609. [Google Scholar] [CrossRef]
- Hasegawa, T.; Yamaji, K. Dielectric strength of transformer insulation at DC polarity reversal. IEEE Trans. Power Del. 1997, 12, 1526–1531. [Google Scholar] [CrossRef]
- Chi, M.H.; Chen, Q.G.; Wang, X.Y.; Wang, Y.H.; Wei, X.L. Influence of temperature on electric field distribution of oil-paper insulation under compound voltage. Proc. CSEE 2015, 35, 1524–1532. [Google Scholar]
- Tang, C.; Chen, G.; Fu, M.; Liao, R.J. Space charge behavior in multi-layer oil-paper insulation under different DC voltages and temperatures. IEEE. Trans. Dielectr. Electr. Insul. 2010, 17, 775–784. [Google Scholar] [CrossRef]
- Lundgaard, L.E.; Hansen, W.; Linhjell, D.; Painter, T.J. Aging of oil-impregnated paper in power transformers. IEEE Trans. Power Del. 2004, 19, 230–238. [Google Scholar] [CrossRef]
- Thomas, H.; Dorothee, V.S. Polymer-Nanoparticle Composites: From Synthesis to Modern Applications. Materials 2010, 3, 3468–3517. [Google Scholar]
- Kamata, Y.; Ohe, E.; Endoh, K.; Furukawa, S.; Tsukioka, H.; Masejima, M.; Fujita, H.; Nozaki, M.; Ishizuka, F.; Hyohdoh, K. Development of low-permittivity pressboard and its evaluation for insulation of oil-immersed EHV power transformers. IEEE. Trans. Dielectr. Electr. Insul. 1991, 26, 819–825. [Google Scholar] [CrossRef]
- Zhang, F.Z.; Liao, R.J.; Yuan, Y.; Li, Y.S.; Peng, Q.J.; Liu, T. Preparation for low-permittivity insulation paper and its breakdown performance. High Volt. Eng. 2012, 38, 691–696. [Google Scholar]
- Liao, R.J.; Yuan, L.; Zhang, F.Z.; Yang, L.J.; Wang, K.; Duan, L. Preparation of montmorillonite modified insulation paper and study on its electrical characteristics. High Volt. Eng. 2014, 40, 33–39. [Google Scholar]
- Liao, R.J.; LV, C.; Wu, W.Q.; Liu, T. Insulating property of insulation paper modified by nano-TiO2. High Volt. Eng. 2014, 40, 1932–1939. [Google Scholar]
- Bai, G.; Liao, R.J.; Liu, N.; Liu, H.B.; Yang, L.J.; Shakeel, A. Influence of nano-AlN modification on the dielectric properties of meta-aramid paper. High Volt. Eng. 2015, 41, 461–467. [Google Scholar]
- Lv, C.; Liao, R.J.; Wu, W.Q.; Liu, T. Influence of nano-TiO2 on DC space charge characteristics of oil-paper insulation material. High Volt. Eng. 2015, 41, 417–423. [Google Scholar]
- Liao, R.J.; Liu, T.; Yang, L.J.; Lv, C.; Wu, W.Q. Space charge characteristics of cellulose insulation paper with nano-modified under DC field. High Volt. Eng. 2015, 41, 461–467. [Google Scholar]
- Chen, Q.G.; Liu, H.Q.; Zhuge, X.L.; Wei, X.L. Analysis of dielectric properties and electric field homogenization of modified insulation pressboard based on nano SiC. Electr. Mach. Control 2014, 18, 79–84. [Google Scholar]
- Frei, H.; Groetzinger, G. The electrical energy released in melting waxes. Physik. Z. 1936, 37, 720–724. [Google Scholar]
- Chen, R. Methods for kinetic analysis of thermally stimulated processes. J. Mater. Sci. 1976, 11, 1521–1541. [Google Scholar] [CrossRef]
- Blake, A.E.; Charlesby, A.; Randle, K.J. Simultaneous thermoluminescence and thermally stimulated current in polyethylene. J. Phys. D Appl. Phys. 2002, 7, 759–770. [Google Scholar] [CrossRef]
- Green, M.L.; Rhine, W.E.; Xu, C.; Calvert, P.; Bowen, H.K. Preparation of poly(ethylene glycol)-grafted alumina. J. Mater. Sci. Lett. 1993, 12, 1425–1427. [Google Scholar] [CrossRef]
- Tanaka, T.; Kozako, M.; Fuse, N.; Ohki, Y. Proposal of a multi-core model for polymer nanocomposite dielectrics. IEEE. Trans. Dielectr. Electr. Insul. 2005, 12, 669–681. [Google Scholar] [CrossRef]
- Li, S.T.; Yin, G.L.; Chen, G.; Li, J.Y.; Bai, S.N.; Zhong, L.S.; Zhang, Y.X.; Lei, Q.Q. Short-term breakdown and long-term failure in nanodielectrics: A review. IEEE. Trans. Dielectr. Electr. Insul. 2010, 17, 1523–1535. [Google Scholar] [CrossRef]
- Wang, X.; Nelson, J.K.; Schadler, L.S.; Hillborg, H. Mechanism leading to nonlinear electrical response of a nano p-SiC/Silicone rubber composite. IEEE. Trans. Dielectr. Electr. Insul. 2010, 17, 1687–1696. [Google Scholar] [CrossRef]
- Jing, Z.; Li, C.M.; Zhao, H.; Zhang, G.L.; Han, B.Z. Doping Effect of Graphene Nanoplatelets on Electrical Insulation Properties of Polyethylene: From Macroscopic to Molecular Scale. Materials 2016, 9, 680. [Google Scholar] [CrossRef]
- Ieda, M. Electrical conduction and carrier traps in polymeric materials. IEEE. Trans. Dielectr. Electr. Insul. 1984, 19, 162–178. [Google Scholar] [CrossRef]
- Tu, Y.P.; He, J.; Wang, Q.; Liu, M.; Xu, G.L.; Ding, L.J. Measurement of thermally stimulated current in ZnO varistor. Proc. CSEE 2010, 30, 116–121. [Google Scholar]
- Liao, R.J.; Lu, Y.C.; Yang, L.J.; Li, J.; Sun, C.X. Numerical calculation of the trap depth for space charge in polymer insulators. Insul. Mater. 2006, 39, 51–54. [Google Scholar]
- Chen, J.D.; Liu, Z.Y. Dielectric Physics; Machinery Industry Press: Beijing, China, 1982; pp. 53–59. [Google Scholar]
- Yang, J.M.; Wang, X.; Han, B.Z.; Zhao, H.; Xu, M.Z. DC conductivity characteristic of LDPE nanocomposite and its effect on electric field distribution in HVDC cables. Proc. CSEE 2014, 9, 1454–1461. [Google Scholar]
- Yang, J.M.; Liu, C.J.; Zheng, C.J.; Zhao, H.; Wang, X.; Gao, M.Z. Effects of interfacial charge on the DC dielectric properties of nanocomposites. J. Nanomater. 2016, 5, 1–11. [Google Scholar] [CrossRef]

















| Nanoparticle Components | Non-Modified | 2.5 wt % Al2O3 | 7.5 wt % Al2O3 | 2.5 wt % SiC | 7.5 wt % SiC |
|---|---|---|---|---|---|
| Tensile strength (kN/m) | 6.79 | 6.43 | 5.91 | 6.25 | 5.76 |
| Nanoparticle Components | Peak Current Value (pA) | Peak Value Temperature (K) | Trap Charge Quantity (nC) | Trap Level (eV) |
|---|---|---|---|---|
| non-modified | 60 | 318 | 578.8 | 0.4761 |
| 2.5 wt % Al2O3 | 61 | 339 | 640.3 | 0.5626 |
| 7.5 wt % Al2O3 | 48 | 326 | 473.5 | 0.4817 |
| 2.5 wt % SiC | 46 | 331 | 563.6 | 0.4094 |
| 7.5 wt % SiC | 27 | 310 | 300.2 | 0.3834 |
| Nanoparticle Components | Ecr (kV/mm) | β1 | β2 |
|---|---|---|---|
| Non-modified | 11 | 0.0435 | 0.4507 |
| 2.5 wt % Al2O3 | 9 | 0.0194 | 0.9904 |
| 7.5 wt % Al2O3 | 6 | 0.2001 | 1.2561 |
| 2.5 wt % SiC | 8 | 0.0487 | 0.5280 |
| 7.5 wt % SiC | 5 | 0.2696 | 5.9972 |
© 2017 by the authors. Licensee MDPI, Basel, Switzerland. This article is an open access article distributed under the terms and conditions of the Creative Commons Attribution (CC BY) license ( http://creativecommons.org/licenses/by/4.0/).
Share and Cite
Chen, Q.; Liu, H.; Chi, M.; Wang, Y.; Wei, X. Experimental Study on Influence of Trap Parameters on Dielectric Characteristics of Nano-Modified Insulation Pressboard. Materials 2017, 10, 90. https://doi.org/10.3390/ma10010090
Chen Q, Liu H, Chi M, Wang Y, Wei X. Experimental Study on Influence of Trap Parameters on Dielectric Characteristics of Nano-Modified Insulation Pressboard. Materials. 2017; 10(1):90. https://doi.org/10.3390/ma10010090
Chicago/Turabian StyleChen, Qingguo, Heqian Liu, Minghe Chi, Yonghong Wang, and Xinlao Wei. 2017. "Experimental Study on Influence of Trap Parameters on Dielectric Characteristics of Nano-Modified Insulation Pressboard" Materials 10, no. 1: 90. https://doi.org/10.3390/ma10010090
APA StyleChen, Q., Liu, H., Chi, M., Wang, Y., & Wei, X. (2017). Experimental Study on Influence of Trap Parameters on Dielectric Characteristics of Nano-Modified Insulation Pressboard. Materials, 10(1), 90. https://doi.org/10.3390/ma10010090
