Experimental and Numerical Research Activity on a Packed Bed TES System
Abstract
:1. Introduction
2. Experimental Setup and Instrumentation
3. Numerical Analysis
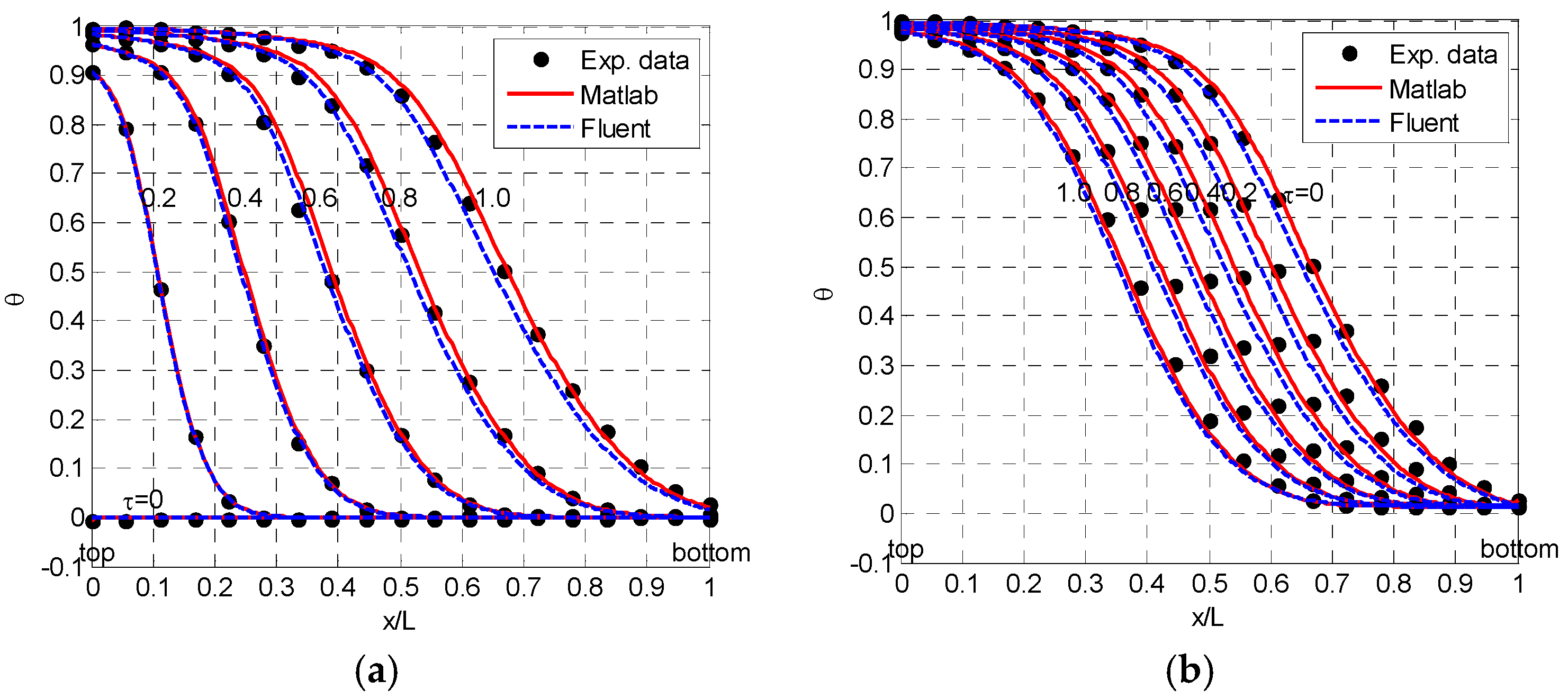
4. Experimental Analysis, Results and Discussion
5. Conclusions
Acknowledgments
Author Contributions
Conflicts of Interest
References
- Kousksou, T.; Bruel, P.; Jamil, A.; ElRhafiki, T.; Zeraouli, Y. Energy storage: Applications and challenges. Sol. Energy Mater. Sol. Cells 2014, 120, 59–80. [Google Scholar] [CrossRef]
- Tian, Y.; Zhao, C.Y. A review of solar collectors and thermal energy storage in solar thermal applications. Appl. Energy 2013, 104, 538–553. [Google Scholar] [CrossRef]
- Barbour, E.; Mignard, D.; Ding, Y.; Li, Y. Adiabatic Compressed air energy storage with packed bed thermal energy storage. Appl. Energy 2015, 155, 804–815. [Google Scholar] [CrossRef]
- Laguerre, O.; Ben, S.; Alvarez, G.; Flick, D. Transient heat transfer by free convection in a packed bed of spheres: Comparison between two modelling approaches and experimental results. Appl. Therm. Eng. 2008, 28, 14–24. [Google Scholar] [CrossRef]
- Du Toit, C.G.; Rousseau, P.G.; Greyvenstein, G.P.; Landman, W.A. A systems CFD model of a packed bed high temperature gas-cooled nuclear reactor. Int. J. Ther. Sci. 2006, 45, 70–85. [Google Scholar] [CrossRef]
- Souza, G.F.M.V.; Miranda, R.F.; Lobato, F.S.; Barrozo, M.A.S. Simultaneous heat and mass transfer in a fixed bed dryer. Appl. Therm. Eng. 2015, 90, 38–44. [Google Scholar] [CrossRef]
- Afandizadeh, S.; Foumeny, E.A. Design of packed bed reactors: Guides to catalyst shape, size, and loading selection. Appl. Therm. Eng. 2001, 21, 669–682. [Google Scholar] [CrossRef]
- Singh, S.; Dhiman, P. Exergoeconomic analysis of recyclic packed bed solar air heater-sustained air heating system for buildings. J. Energy Storage 2016, 5, 33–47. [Google Scholar] [CrossRef]
- Mehling, H.; Cabeza, L.F. Heat and Cold Storage with PCM; Springer: Heidelberg, Germany, 2008. [Google Scholar]
- Singh, H.; Saini, R.P.; Saini, J.S. A review on packed bed solar energy storage systems. Renew. Sustain. Energy Rev. 2010, 14, 1059–1069. [Google Scholar] [CrossRef]
- Sharma, A.; Tyagi, V.V.; Chen, C.R.; Buddhi, D. Review on thermal energy storage with phase change materials and applications. Renew. Sustain. Energy Rev. 2009, 13, 318–345. [Google Scholar] [CrossRef]
- Cot-Gores, J.; Castell, A.; Cabeza, L.F. Thermochemical energy storage and conversion: A state of the art review of the experimental research under practical conditions. Renew. Sustain. Energy Rev. 2012, 16, 5207–5224. [Google Scholar] [CrossRef]
- Fernandes, D.; Pitié, F.; Cáceres, G.; Baeyens, J. Thermal energy storage: How previous findings determine current research priorities. Energy 2012, 39, 246–257. [Google Scholar] [CrossRef]
- Kuravi, S.; Trahan, J.; Goswami, D.Y.; Rahman, M.M.; Stefanokos, E.K. Thermal energy storage technologies and systems for concentrating solar power plants. Prog. Energy Combust. Sci. 2013, 39, 285–319. [Google Scholar] [CrossRef]
- Zanganeh, G.; Pedretti, A.; Haselbacher, A.; Steinfeld, A. Design of packed bed thermal energy storage systems for high-temperature industrial process heat. Appl. Energy 2015, 137, 812–822. [Google Scholar] [CrossRef]
- Hänchen, M.; Brückner, S.; Steinfeld, A. High-temperature thermal storage using a packed bed of rocks—Heat transfer analysis and experimental validation. Appl. Therm. Eng. 2011, 31, 1798–1806. [Google Scholar] [CrossRef]
- Zavattoni, S.A.; Barbato, M.C.; Pedretti, A.; Zanganeh, A.; Steinfeld, A. High temperature rock-bed TES system suitable for industrial-scale CSP plant—CFD analysis under charge/discharge cyclic conditions. Energy Procedia 2014, 46, 124–133. [Google Scholar] [CrossRef]
- Zanganeh, G.; Pedretti, A.; Zavattoni, S.; Barbato, M.; Steinfeld, A. Packed-bed thermal storage for concentrated solar power—Pilot-scale demonstration and industrial-scale design. Sol. Energy 2012, 86, 3084–3098. [Google Scholar]
- Anderson, R.; Shiri, S.; Bindra, H.; Morris, J.F. Experimental results and modeling of energy storage and recovery in a packed bed of alumina particles. Appl. Energy 2014, 119, 521–529. [Google Scholar] [CrossRef]
- Andreozzi, A.; Buonomo, B.; Manca, O.; Mesolella, P. Numerical investigation on sensible thermal energy storage with porous media for high temperature solar systems. J. Phys. Conf. Ser. 2012, 395, 12–15. [Google Scholar] [CrossRef]
- Andreozzi, A.; Buonomo, B.; Manca, O.; Tamburrino, S. Thermal energy storages analysis for high temperature in air solar systems. Appl. Therm. Eng. 2014, 71, 130–141. [Google Scholar] [CrossRef]
- Bruch, A.; Fourmiguè, J.; Couturier, R. Experimental and numerical investigation of a pilot-scale thermal oil packed bed thermal storage system for CSP power plant. Sor. Energy 2014, 105, 116–125. [Google Scholar] [CrossRef]
- Bruch, A.; Fourmigue, J.F.; Couturier, R.; Molina, S. Experimental and numerical investigation of stability of packed bed thermal energy storage for CSP power plant. Energy Procedia 2014, 49, 743–751. [Google Scholar] [CrossRef]
- Xu, C.; Li, X.; Wang, Z.; He, Y.; Bai, F. Effects of solid particle properties on the thermal performance of a packed-bed molten-salt thermocline thermal storage system. Appl. Therm. Eng. 2013, 57, 69–80. [Google Scholar] [CrossRef]
- Yang, Z.; Garimella, S.V. Thermal analysis of solar thermal energy storage in a molten-salt thermocline. Sol. Energy 2010, 84, 974–985. [Google Scholar] [CrossRef]
- Nithyanandam, K.; Pitchumani, R.; Mathur, A. Analysis of a latent thermocline storage system with encapsulated phase change materials for concentrating solar power. Appl. Energy 2014, 113, 1446–1460. [Google Scholar] [CrossRef]
- Bellan, S.; Gonzalez, J.; Romero, M.; Rahman, M.M.; Goswami, D.Y.; Stefanakos, E.K.; Couling, D. Numerical analysis of charging and discharging performance of a thermal energy storage system with encapsulated phase change material. Appl. Therm. Eng. 2014, 71, 481–500. [Google Scholar] [CrossRef]
- Bindra, H.; Bueno, P.; Morris, J.F.; Shinnar, R. Thermal analysis and exergy evaluation of packed bed thermal storage systems. Appl. Therm. Eng. 2013, 52, 255–263. [Google Scholar] [CrossRef]
- Zanganeh, G.; Commerford, M.; Haselbacher, A.; Pedretti, A.; Steinfeld, A. Stabilization of the outflow temperature of a packed-bed thermal energy storage by combining rocks with phase change materials. Appl. Therm. Eng. 2014, 70, 316–320. [Google Scholar] [CrossRef]
- Cascetta, M.; Cau, G.; Puddu, P.; Serra, F. Experimental investigation of a packed bed thermal energy storage system. J. Phys. Conf. Ser. 2015, 655, 12–18. [Google Scholar] [CrossRef]
- Cascetta, M.; Cau, G.; Puddu, P.; Serra, F. A study of a packed-bed thermal energy storage device: Test rig, experimental and numerical results. Energy Procedia 2015, 81, 987–994. [Google Scholar] [CrossRef]
- Touloukian, Y.S. Thermophysical Properties of High Temperature Solid Materials; Macmillan: London, UK, 1967. [Google Scholar]
- Kunii, D.; Smith, J.M. Heat transfer characteristics of porous rocks. AIChE J. 1960, 6, 71–78. [Google Scholar] [CrossRef]
- Cascetta, M.; Cau, G.; Puddu, P.; Serra, F. A comparison between CFD simulation and experimental investigation of a packed-bed thermal energy storage system. Appl. Therm. Eng. 2016, 98, 1263–1272. [Google Scholar] [CrossRef]
- Nield, D.A.; Bejan, A. Convection in Porous Media, 3rd ed.; Springer-Verlag: New York, NY, USA, 2006. [Google Scholar]










| Components | Values |
|---|---|
| Compressor delivered flow | 255–940 m3/h, FAD |
| Electrical heater max. power | 70 kW |
| Maximum air temperature | 300 °C |
| Bed height | 1.8 m |
| Bed diameter | 0.58 m |
| Alumina bead diameter | 7–9 mm |
| Alumina bead thermal conductivity (100 °C) | 30 W/mK |
| Alumina bead density | 3550 kg/m3 |
| Alumina bead heat capacity (100 °C) | 902 J/kgK |
| Bed void fraction | 0.385–0.395 |
| Tank coating thickness (Mineral wool) | 100 mm |
© 2016 by the authors; licensee MDPI, Basel, Switzerland. This article is an open access article distributed under the terms and conditions of the Creative Commons Attribution (CC-BY) license (http://creativecommons.org/licenses/by/4.0/).
Share and Cite
Cascetta, M.; Serra, F.; Arena, S.; Casti, E.; Cau, G.; Puddu, P. Experimental and Numerical Research Activity on a Packed Bed TES System. Energies 2016, 9, 758. https://doi.org/10.3390/en9090758
Cascetta M, Serra F, Arena S, Casti E, Cau G, Puddu P. Experimental and Numerical Research Activity on a Packed Bed TES System. Energies. 2016; 9(9):758. https://doi.org/10.3390/en9090758
Chicago/Turabian StyleCascetta, Mario, Fabio Serra, Simone Arena, Efisio Casti, Giorgio Cau, and Pierpaolo Puddu. 2016. "Experimental and Numerical Research Activity on a Packed Bed TES System" Energies 9, no. 9: 758. https://doi.org/10.3390/en9090758
APA StyleCascetta, M., Serra, F., Arena, S., Casti, E., Cau, G., & Puddu, P. (2016). Experimental and Numerical Research Activity on a Packed Bed TES System. Energies, 9(9), 758. https://doi.org/10.3390/en9090758

