Static Formation Temperature Prediction Based on Bottom Hole Temperature
Abstract
:1. Introduction
2. Methodology
2.1. Method Development
2.1.1. Function Derivation
2.1.2. Solutions to the Three Parameters in the New Function
2.2. Existing Methods
2.2.1. Selection of the Analytical Methods
2.2.2. Selection of the Regression Models
2.3. Statistical Evaluation
2.3.1. Deviation Percentages (DEV%)
2.3.2. Regression Coefficient (R2)
2.3.3. Residual Sum of Squares (RSS)
2.3.4. Theil Inequality Coefficient (TIC)
2.4. Data Sources
- (1)
- Four synthetic datasets selected from the literature; and
- (2)
- Four datasets logged in some boreholes from long logging work in geothermal and petroleum fields.
3. Validation and Discussion
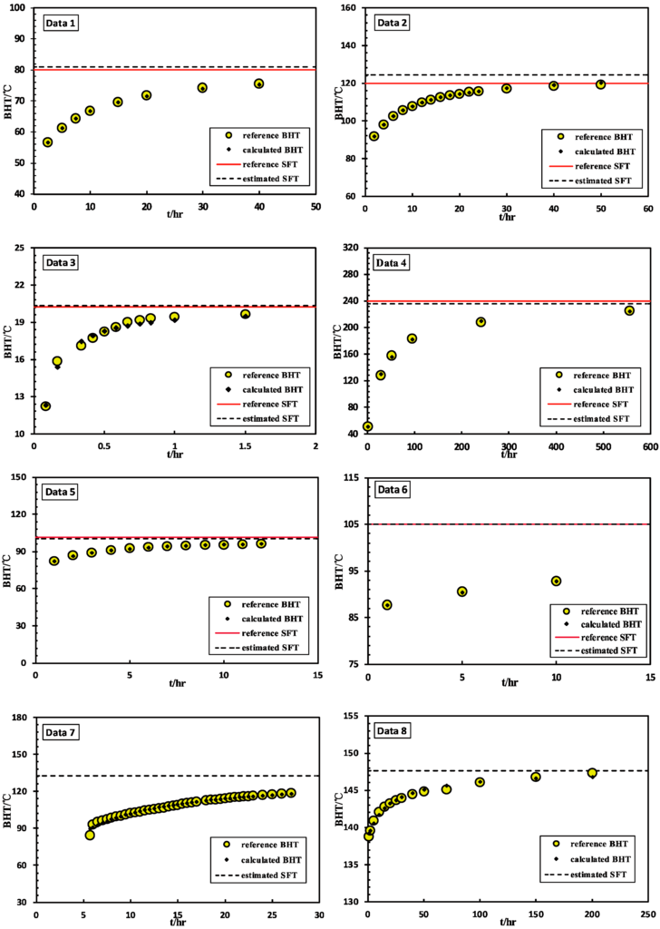
3.1. Accuracy of the Static Formation Temperature (SFT)
3.2. Fitting Results
4. Applications in the Case of a Small Number of Data Points
5. Conclusions
- (1)
- A numerical method was proposed to estimate SFT from the BHT data and shut-in time. The unknown coefficients of the model were derived from the least squares fit by the particle swarm optimization (PSO) algorithm.
- (2)
- The estimation accuracy and fitting ability of the proposed method was verified using eight BHT datasets, including synthetic, geothermal, and petroleum field data. The deviation percentages are less than ±4% and the regression coefficient R2 are greater than 0.98.
- (3)
- A comparison among different methods was conducted. The new proposed method could estimate SFT accurately and reliably, even by using a small number of BHT data points (the TIC values for all datasets are less than 3%). This might be used as a practical tool to predict SFT in both geothermal and oil wells.
Acknowledgments
Author Contributions
Conflicts of Interest
References
- Saito, S.; Sakuma, S.; Uchida, T. Drilling Procedures, Techniques and Test RM Results for a 3.7 km Deep, 500 °C Exploration Well, Kakkonda, Japan. Geothermics 1998, 27, 573–590. [Google Scholar] [CrossRef]
- Fomin, S.; Chugunov, V.; Hashida, T. Analytical Modelling of the Formation Temperature Stabilization during the Borehole Shut-in Period. Geophys. J. Int. 2003, 155, 469–478. [Google Scholar] [CrossRef]
- Santoyo, E.; Garcia, A.; Espinosa, G.; Hernandez, I.; Santoyo, S. Static_temp: A Useful Computer Code for Calculating Static Formation Temperatures in Geothermal Wells. Comput. Geosci. 2000, 26, 201–217. [Google Scholar] [CrossRef]
- Wisian, K.W.; Blackwell, D.D.; Bellani, S.; Henfling, J.A.; Normann, R.A.; Lysne, P.C.; Förster, A.; Schrötter, J. Field comparison of conventional and new technology temperature logging systems. Geothermics 1998, 27, 131–141. [Google Scholar] [CrossRef]
- Bassam, A.; Santoyo, E.; Andaverde, J.; Hernández, J.A.; Espinoza-Ojeda, O.M. Estimation of Static Formation Temperatures in Geothermal Wells by Using an Artificial Neural Network Approach. Comput. Geosci. 2010, 36, 1191–1199. [Google Scholar] [CrossRef]
- Melton, C.E.; Giardini, A.A. Petroleum Formation and the Thermal History of the Earth’s Surface. J. Pet. Geol. 1984, 7, 303–312. [Google Scholar] [CrossRef]
- Armstrong, P.A.; Chapman, D.S.; Funnell, R.H.; Allis, R.G.; Kamp, P.J.J. Thermal Modeling and Hydrocarbon Generation in an Active-margin Basin: Taranaki Basin, New Zealand. Aapg Bull. 1996, 80, 1216–1241. [Google Scholar]
- Stephan, K.M. Reservoir Simulation: Mathematical Techniques in Oil Recovery. Geofluids 2008, 8, 344–345. [Google Scholar]
- Dowdle, W.L.; Cobb, W.M. Static Formation Temperature from Well Logs—An Empirical Method. J. Pet. Technol. 1975, 27, 1326–1330. [Google Scholar] [CrossRef]
- Kutasov, I.M.; Eppelbaum, L.V. Determination of Formation Temperature from Bottom-hole Temperature Logs—A Generalized Horner Method. J. Geophys. Eng. 2005, 2, 90–96. [Google Scholar] [CrossRef]
- Manetti, G. Attainment of Temperature Equilibrium in Holes during Drilling. Geothermics 1973, 2, 94–100. [Google Scholar] [CrossRef]
- Hasan, A.R.; Kabir, C.S.; Hasan, A.R. Static Reservoir Temperature Determination from Transient Data after Mud Circulation. SPE Drill. Complet. 1994, 9, 17–24. [Google Scholar] [CrossRef]
- Brennand, A.W. A New Method for the Analysis of Static Formation Temperature Test. In Proceedings of the 6th New Zealand Geothermal Workshop, Auckland, New Zealand; 1984. Available online: https://www.geothermal-energy.org/pdf/IGAstandard/NZGW/1984/Brennand.pdf (accessed on 4 June 2016). [Google Scholar]
- Ascencio, F.; García, A.; Rivera, J.; Arellano, V. Estimation of Undisturbed Formation Temperatures under Spherical-radial Heat Flow Conditions. Geothermics 1994, 23, 317–326. [Google Scholar] [CrossRef]
- Lech, P.J.; Pappoe, R.; Nakamura, T.; Russell, S.J. The Temperature Stabilization of a Borehole. Virology 2012, 46, 1301–1303. [Google Scholar]
- Espinoza-Ojeda, O.M.; Santoyo, E.; Andaverde, J. A New Look at the Statistical Assessment of Approximate and Rigorous Methods for the Estimation of Stabilized Formation Temperatures in Geothermal and Petroleum Wells. J. Geophys. Eng. 2011, 8, 233–258. [Google Scholar] [CrossRef]
- Wongloya, J.A.; Andaverde, J.; Santoyo, E. A new practical method for the determination of static formation temperatures in geothermal and petroleum wells using a numerical method based on rational polynomial functions. J. Geophys. Eng. 2012, 9, 711–728. [Google Scholar] [CrossRef]
- Tragesser, A.F.; Crawford, P.; Crawford, H. A method for calculating circulating temperatures. J. Pet. Technol. 1967, 19, 1507–1512. [Google Scholar] [CrossRef]
- Garcia, A.; Hernandez, I.; Espinosa, G.; Santoyo, E. Temlopi: A Thermal Simulator for Estimation of Drilling Mud and Formation Temperatures during Drilling of Geothermal Wells. Comput. Geosci. 1988, 24, 465–477. [Google Scholar] [CrossRef]
- Kennedy, J.; Eberhart, R. Particle Swarm Optimization. In Proceedings of the IEEE International Conference on Neural Networks, Perth, WA, Australia, 29 November–1 December 1995.
- Chen, M.R.; Li, X.; Zhang, X.; Lu, Y.Z. A Novel Particle Swarm Optimizer Hybridized with Extremal Optimization. Appl. Soft Comput. 2010, 10, 367–373. [Google Scholar] [CrossRef]
- Ziari, I.; Jalilian, A. Optimal Placement and Sizing of Multiple APLCs Using a Modified Discrete PSO. Int. J. Electr. Power Energy Syst. 2012, 43, 630–639. [Google Scholar] [CrossRef]
- Mahor, A.; Rangnekar, S. Short Term Generation Scheduling of Cascaded Hydroelectric System Using Novel Self-adaptive Inertia Weight PSO. Int. J. Electr. Power Energy Syst. 2012, 34, 1–9. [Google Scholar] [CrossRef]
- Jordehi, A.R. A Review on Constraint Handling Strategies in Particle Swarm Optimization. Neural Comput. Appl. 2015, 26, 1–11. [Google Scholar] [CrossRef]
- Cooper, L.R.; Jones, C. The Determination of Virgin Strata Temperatures from Observations in Deep Survey Boreholes. Geophys. J. Int. 1959, 2, 116–131. [Google Scholar] [CrossRef]
- Kutasov, I.M.; Technologies, M.S.; Monica, S. Applied Geothermics for Petroleum Engineers; Elsevier: Amsterdam, The Netherlands, 1999; p. 347. [Google Scholar]
- Li, D.X. Non-linear Fitting Method of Finding Equilibrium Temperature from BHT Data. Geothermics 1986, 15, 657–664. [Google Scholar]
- Schoeppel, R.J.; Gilarranz, S. Use of Well Log Temperatures to Evaluate Regional Geothermal Gradients. J. Pet. Technol. 1966, 18, 667–73. [Google Scholar] [CrossRef]
- Shen, P.Y.; Beck, A.E. Stabilization of Bottom Hole Temperature with Finite Circulation Time and Fluid Flow. Geophys. J. R. Astron. Soc. 1986, 86, 63–90. [Google Scholar] [CrossRef]
- Cao, S.; Lerche, I.; Hermanrud, C. Formation Temperature Estimation by Inversion of Borehole Measurements. Geophysics 2012, 53, 979–988. [Google Scholar] [CrossRef]







| Method | Physical Model | Equation | Sources |
|---|---|---|---|
| Horner (HM) | Constant Linear heat source | Dowdle and Cobb (1975) | |
| Manetti (MM) | Conductive cylindrical heat source | Manetti (1973) | |
| Ascencio (SRM) | Spherical-radial heat flow | Ascencio et al. (1994) |
| Data | Type | n | tc (h) | Sources | Data Name in This Paper |
|---|---|---|---|---|---|
| SHBE | Synthetic data | 8 | 5 | Shen and Beck (1986) | Data 1 |
| CLAH | Synthetic data | 15 | 5 | Cao et al. (1988) | Data 2 |
| CJON | Synthetic data | 12 | 0.2 | Cooper and Jones (1959) | Data 3 |
| KJ-21 | Geothermal field data | 6 | 2.5 | Steingrimsson and Gudmundsson (1989) | Data 4 |
| SG | Geothermal field data | 12 | 3 | Schoeppel and Gilarranz (1966) | Data 5 |
| MOU | Synthetic data | 3 | 10 | Mou (2013) | Data 6 |
| DA-XIN | Geothermal field data | 40 | 5 | Da-Xin (1986) | Data 7 |
| UASM | Petroleum field data | 14 | 10 | Kutasov (1999) | Data 8 |
| NO. | Coefficients of the Proposed Method | STF | SFT | DEV% | R2 | RSS | ||
|---|---|---|---|---|---|---|---|---|
| a | b | c | (Reference) | (Estimated) | ||||
| Data 1 | 81.000 | 45.960 | 0.172 | 80.000 | 81.000 | 1.249 | 1.000 | 0.025 |
| Data 2 | 124.232 | 63.459 | 0.243 | 120.000 | 124.232 | 3.527 | 0.999 | 0.089 |
| Data 3 | 20.327 | 30.865 | 28.299 | 20.250 | 20.327 | 0.380 | 0.987 | 0.073 |
| Data 4 | 236.084 | 280.837 | 0.039 | 240.000 | 236.084 | −1.632 | 0.999 | 2.243 |
| Data 5 | 100.132 | 21.111 | 0.694 | 101.111 | 100.132 | −0.968 | 0.999 | 0.026 |
| Data 6 | 105.296 | 26.481 | 0.067 | 105.000 | 105.296 | 0.282 | 1.000 | 0.000 |
| Data 7 | 132.459 | 133.588 | 0.289 | N/A | 132.459 | N/A | 0.979 | 11.053 |
| Data 8 | 147.600 | 12.809 | 0.071 | N/A | 147.600 | N/A | 0.979 | 0.085 |
| NO. | HM | MM | SRM | Proposed Method | Reference SFT | |||
|---|---|---|---|---|---|---|---|---|
| OLR | QR | OLR | QR | OLR | QR | |||
| Data 1 | 75.871 | 79.372 | 74.713 | 77.936 | 77.362 | 86.914 | 80.999 | 80 |
| Data 2 | 119.66 | 123.26 | 117.45 | 121.15 | 125.63 | 131.91 | 124.231 | 120 |
| Data 3 | 20.328 | 18.981 | 20.003 | 21.302 | 22.132 | 19.499 | 20.327 | 20.25 |
| Data 4 | 187.60 | 223.5 | 220.64 | 230.65 | 207.39 | 260.87 | 236.084 | 240 |
| Data 5 | 98.449 | 100.07 | 97.048 | 98.257 | 99.858 | 106.16 | 100.133 | 101.111 |
| Data 6 | 94.261 | 98.535 | 94.971 | N/A | 94.334 | 101.23 | 105.296 | 105 |
| Method | Data 1 | Data 2 | |||||||||||||||
|---|---|---|---|---|---|---|---|---|---|---|---|---|---|---|---|---|---|
| Data Number | Data Number | ||||||||||||||||
| 3 | 4 | 5 | (n) | 3 | 4 | 5 | (n) | ||||||||||
| HM | OLS | −11.756 | −10.378 | −8.765 | −5.161 | −6.808 | −5.583 | −4.608 | −0.283 | ||||||||
| QR | −5.456 | −3.944 | −3.058 | −0.785 | 0.067 | 0.658 | 1.217 | 2.717 | |||||||||
| MM | OLS | −10.186 | −9.576 | −8.091 | −6.609 | −7.708 | −6.708 | −5.908 | −2.125 | ||||||||
| QR | −6.975 | −5.304 | −3.828 | −2.580 | −2.933 | −2.100 | −1.508 | 0.958 | |||||||||
| SRM | OLS | 0.734 | −7.094 | −5.307 | −3.298 | −3.142 | −1.517 | −0.250 | 4.692 | ||||||||
| QR | 8.970 | 5.601 | 7.781 | 8.643 | 10.367 | 11.017 | 11.592 | 9.925 | |||||||||
| Proposed method | −2.367 | 0.028 | 0.470 | 1.249 | 3.929 | 3.971 | 4.289 | 3.527 | |||||||||
| Method | Data 3 | Data 4 | Data 5 | ||||||||||||||
| Data Number | Data Number | Data Number | |||||||||||||||
| 3 | 4 | 5 | (n) | 3 | 4 | 5 | all | 3 | 4 | 5 | (n) | ||||||
| HM | OLS | 1.600 | 0.835 | 0.212 | 0.385 | −36.800 | −31.438 | −26.250 | −21.833 | −5.350 | −4.717 | −4.125 | −2.632 | ||||
| QR | 1.215 | −16.928 | −10.731 | −6.267 | −14.917 | −12.404 | −9.500 | −6.875 | −4.779 | −2.457 | −1.191 | −1.029 | |||||
| MM | OLS | −0.435 | −3.289 | −2.528 | −1.220 | −14.583 | −11.029 | −8.067 | −8.067 | −5.123 | −4.740 | −4.602 | −4.017 | ||||
| QR | 0.652 | 2.588 | 2.074 | 5.195 | −8.842 | −6.358 | −3.896 | −3.896 | −2.332 | −2.546 | −3.131 | −2.822 | |||||
| SRM | OLS | 9.852 | 9.931 | 9.151 | 9.294 | −28.617 | −22.992 | −10.754 | −13.588 | 0.613 | −2.937 | −2.070 | −1.238 | ||||
| QR | 6.963 | −22.089 | −11.501 | −3.709 | 14.696 | 12.213 | 9.367 | 8.696 | 3.907 | −0.386 | 3.106 | 4.995 | |||||
| Proposed method | −4.958 | −4.844 | −0.543 | 0.380 | 9.501 | 0.784 | −2.198 | −1.632 | −3.667 | −2.661 | −0.781 | −0.967 | |||||
© 2016 by the authors; licensee MDPI, Basel, Switzerland. This article is an open access article distributed under the terms and conditions of the Creative Commons Attribution (CC-BY) license (http://creativecommons.org/licenses/by/4.0/).
Share and Cite
Liu, C.; Li, K.; Chen, Y.; Jia, L.; Ma, D. Static Formation Temperature Prediction Based on Bottom Hole Temperature. Energies 2016, 9, 646. https://doi.org/10.3390/en9080646
Liu C, Li K, Chen Y, Jia L, Ma D. Static Formation Temperature Prediction Based on Bottom Hole Temperature. Energies. 2016; 9(8):646. https://doi.org/10.3390/en9080646
Chicago/Turabian StyleLiu, Changwei, Kewen Li, Youguang Chen, Lin Jia, and Dong Ma. 2016. "Static Formation Temperature Prediction Based on Bottom Hole Temperature" Energies 9, no. 8: 646. https://doi.org/10.3390/en9080646
APA StyleLiu, C., Li, K., Chen, Y., Jia, L., & Ma, D. (2016). Static Formation Temperature Prediction Based on Bottom Hole Temperature. Energies, 9(8), 646. https://doi.org/10.3390/en9080646
