Abstract
A calibrated building simulation model was developed to assess the energy performance of a large historic research building. The complexity of space functions and operational conditions with limited availability of energy meters makes it hard to understand the end-used energy consumption in detail and to identify appropriate retrofitting options for reducing energy consumption and greenhouse gas (GHG) emissions. An energy simulation model was developed to study the energy usage patterns not only at a building level, but also of the internal thermal zones, and system operations. The model was validated using site measurements of energy usage and a detailed audit of the internal load conditions, system operation, and space programs to minimize the discrepancy between the documented status and actual operational conditions. Based on the results of the calibrated model and end-used energy consumption, the study proposed potential energy conservation measures (ECMs) for the building envelope, HVAC system operational methods, and system replacement. It also evaluated each ECM from the perspective of both energy and utility cost saving potentials to help retrofitting plan decision making. The study shows that the energy consumption of the building was highly dominated by the thermal requirements of laboratory spaces. Among other ECMs the demand management option of overriding the setpoint temperature is the most cost effective measure.
1. Introduction
Research facilities, especially large-scale buildings, have various space functionalities such as laboratories, offices, auditoria and conference rooms. If it is the old or historic building, the space usage or functionality may have been continuously changed over time and as requirements changed. Due to the complexity of the building energy behavior of different space functionalities and the limited availability of energy meter systems, it is hard for facility engineers to manage the energy usage and to select cost-effective energy conservation measures (ECMs).
Building energy simulation can help facility managers understand the energy performance of existing buildings and improve the energy performance of these buildings [1]. A good energy modeling and assessment are essential to make retrofit designs and proposals while reducing risk for all involved parties such as building owners, operational professionals, and financial decision makers [2,3,4,5]. Two major approaches may be applied to simulate the energy performance of existing building with actual energy usage and to evaluate each ECM: a static model simulation for investigating annual performance and a detailed whole building energy simulation model for hourly or finer time resolution analysis.
Guiterman et al. [6] studied the measurement and verification (M&V) of energy savings for residential buildings with three different simulation models: a calibrated simulation method, a temperature-based method, and a degree day-based method. The authors tested both pre-retrofit and post-retrofit conditions with these three simulation methods and concluded that a simple static simulation, especially a temperature-based model, is sufficient to verify the overall energy savings from ECMs for residential buildings. Murray et al. [7] provided a comparative study on a small office building. The study compared the building retrofitting results of a simplified model, based on degree-days model, with a whole building simulation model for the case study. The authors pointed out that the static simulation method would be sufficient to evaluate the overall building retrofitting performance. However, they also suggested that dynamic models are still effective if it is necessary to investigate the specified space thermal conditions at a certain time.
Although the static model simulation is simple to develop and use, and is sufficient for investigating building energy performance with yearly time resolution, the calibrated approach using a whole building energy simulation model is recommended to explore any interactions among parameters and to analyze the building energy performance in finer time resolution [8].
To develop a practical building simulation model with reliable results, it is necessary and also important to have a calibration process for those simulation models. In this procedure, the simulation results of the model are compared with actual energy consumption measurements or billing data and then the input parameters or coefficients of the model are refined iteratively until the simulated results closely match the measured data [9,10,11].
A number of studies on modeling procedures, calibration and ECM evaluation with a base model for commercial buildings have been reported. Reddy et al. [12] presented a systematic procedure for calibrating a detailed energy simulation tool based on data measured on-site. The procedure was used to evaluate three buildings with general HVAC systems. Liu et al. [13] suggested a simplified calibration procedure with systematic steps: a two-level calibration procedure involving information collection and on-site measurement. They implemented the calibration procedure on an office building and stated that it is effective to reduce the calibration time for the building to improve the initial model performance. Yoon et al. [14] proposed a whole calibration model process with monthly billing and sub-metered data for a large commercial building in Korea. By analysis of base load disaggregation from the total energy usage, they tuned the key parameters including lighting and plug loads, elevators and the HVAC system for a transient season first. The derived parameters of the energy simulation model were then refined for the heating and cooling seasons. Pan et al. [15] presented a case study on application of a calibrated building simulation model and an assessment of potential ECMs for a high-rise commercial building (office and hotel) in China. They adjusted the internal loads, infiltration, and HVAC system specifications/operation of the initial simulation model using a field survey. Rahman et al. [16] evaluated different ECMs and categorized the initial investment by using a calibrated simulation model for a small office building located in a sub-tropical region. The study concluded that it is feasible to achieve over 41% energy savings in an existing building when several ECMs are implemented into a building in the specific region.
Although the literatures have pointed out that the calibrated model approach, using an energy simulation model, is an effective way to analyze the energy performance of buildings, especially without detailed level sub-meters, there are no specific studies on large scale and historic research buildings. This study introduces a procedure for energy modeling and calibration for a historic and large research facility with the limited metering system. It also presents a case study, in which the energy simulation model evaluates potential ECMs as the basis for establishing the building performance characteristics.
2. Building Description
2.1. Building Layout
The facility is three-stories building located in the suburbia of New York City in the U.S. The architect Eero Saarinen designed the middle section and construction was completed in 1961, then its west and east area were extended. The total building gross floor area is approximately 68,000 m2. This low-rise and large crescent-shape building has all curtain-wall fenestration on the front side with large singe-pane glass and punched windows on the backside wall with the same glazing, as illustrated in Figure 1.
Figure 1.
Features of the target building.
The thermal characteristics of the building envelope based on an “as-built” condition are listed in Table 1. The terrace level, the first floor, contacts earth on the backside of the building.
Table 1.
Thermal properties of building component.
There are several space types such as office, laboratories (dry, wet, clean), data centers including a high performance computing center, public areas such as an auditorium, conference rooms, cafeteria, and supplemental spaces like mechanical and electrical rooms. Internal space programming has kept changing over 50 years by research trends and facility requirements, for example, many of the original lab spaces were switched with the general office area due to the reallocation of laboratory equipment.
2.2. HVAC Systems and Plant Configuration
Table 2 illustrates the configuration and specification of the building’s actual HVAC systems and plant. Seven different types of HVAC systems and a total of 24 air-handling units (AHUs) are operated according to space usage and service area. Constant air volume (CAV) with reheat systems serves most of the office area space which is part of the originally designed office area. Variable air volumes (VAV) with terminal reheat boxes are used for the extended office sections. CAV dual duct mixing terminal systems and VAV with terminal reheat systems serve the original laboratory area and the extended parts of the building, respectively.
Table 2.
Configurations of the primary and secondary systems.
Other spaces such as an auditorium, library, and lobby have typical CAV systems. A dedicated outdoor air system serves the kitchen area to control the large amount of outdoor air needed for the ventilation requirements of this space. Hot water circulated baseboards are placed near the front and back corridor windows to prevent cold drafts. All HVAC systems have steam heating and chilled water coils.
For the primary system side, five electric centrifugal chillers and three steam boilers are in operation to produce chilled water and steam for the coils in the air handling units described above. Two main chillers, identified as #1 and #2 in Table 2, operate all year, and the others operate rotationally depending on the cooling load of the building. Three steam boilers working sequentially respond to any heating demand. Other spaces, for example clean rooms for electrical device production and data centers for high power computing, have separate HVAC systems from the main plant system because they require very precise temperature and humidity control. There are three types of energy consumption meters: overall electricity, oil usage for steam boilers, and electricity of chiller operation. Unfortunately, sub-meters for each AHU and end-use consumption were unavailable for this study.
2.3. Building Operation for Energy Conservation
Energy saving methods have already been implemented in the building operations over the last decades. For the chilled water generation system, an indirect evaporative cooling system is working in cooling operation. It allows substantial energy and cost savings for the cooling plant by using a cooling tower [17,18]. Return water bypasses the chillers and goes from the cooling towers directly to a heat exchanger when the wet-bulb temperature of the outdoor air is below 6.1 °C. The temperature of the return water is decreased to close to the wet-bulb temperature of the outdoor air by the cooling towers, and then it supplies a heat exchanger on the demand side directly without operating the main chillers. In 2011 the chilled water plant had run under this free cooling condition for 743 h, which represented approximately 9% of the total chiller operation hours (8254). The steam system uses high, medium and low pressure. The steam pressure of the boiler system is 827.37 kPs and is reduced down to low-pressure steam by the heating coils in the AHU systems. The secondary steam is used for hot water for a domestic hot water system and the baseboard heating system.
For the HVAC systems, the AHUs have an energy saving operation based on an economizer control. There is a temperature and humidity transmitter located on the roof that calculates the outdoor air enthalpy. Temperature and humidity sensors in the return duct calculate the indoor enthalpy. A control system compares the outdoor and indoor enthalpy for determining when using outdoor air to condition the indoor climate is more economical. If the outdoor enthalpy is lower than the indoor enthalpy, then the fan system uses almost 100% outdoor air. Any leftover air is discharged outside the building through spill shafts located in the roof to prevent the building from over-pressurizing. When the enthalpy of the outdoor air is below than a threshold point, i.e., 48 kJ/kg in the cooling season, the outdoor air damper is fully open to minimize the cooling coil operations. The damper should be at the minimum outdoor air set point condition when the outdoor air temperature is below 4 °C in the heating season or the outdoor enthalpy is higher than the indoor enthalpy. However, the minimum damper position is set to provide makeup air for building exhaust both chemical and general as well as building pressurization. In addition, passive infrared (PIR) motion sensors in water closets and corridors control lighting depending on occupancy status.
3. Whole Building Energy Simulation Modeling and Calibration
The building energy model was built using a whole building energy simulation program, EnergyPlus 6.0 [19]. The program is accepted worldwide to simulate annual building energy performance, HVAC systems, or thermal environment of a particular space in buildings [20]. Although it requires a massive input parameter set, it has benefits to explore interactive effect of individual ECMs on the whole building energy performance.
3.1. Geometry and Envelop Condition
Architectural and mechanical, electrical and plumbing (MEP) drawings were collected to build the model geometry using as-built conditions. Office boundaries and laboratory spaces are consolidated as a single thermal zone to be the demand side incorporating the air flow network of HVAC system model. Figure 2 illustrates the hierarchy of the building geometrical and thermal zoning model.
Figure 2.
Hierarchical diagram of the geometry in modelling.
Using the thermal zone scheme, 106 zones were modelled, 75 of which are conditioned zones, which need indoor temperature control. The total conditioned and unconditioned areas are 52,100 m2 and 15,153 m2, respectively. Other space such as the clean room space for electrical device processing and data centers which requires a precise thermal control for all year around are not included in the model. These have a separate plant system and require almost constant cooling and electrical energy demand as a base load for a whole year.
3.2. System and Plant Zoning
Once the geometrical condition of each thermal zone has been defined, it is also necessary to connect a supply side in the model. This study modelled 24 actual HVAC systems and14 virtual HVAC models according to system type and thermal zoning conditions. For the office and laboratory, the 18 AHUs were consolidated into eight models as described in Table 3.
Table 3.
Air handling unit models for the offices and laboratories.
Two main centrifugal chillers and one supplementary chiller are in operation with a heat exchanger for free cooling by using cooling towers. The hot plant has three steam boilers operated by heating demand. The primary and secondary system are interconnected by a heat transfer medium such as air, chilled water, and steam in each virtual module. This means that the model has capability to simulate the actual system operation with an “as-operated” condition. The indoor air temperature of the laboratories is set at 21 °C all year around, whereas the temperature for office space during occupied hours (06:00–18:00) is set at 22.0 °C for the heating season (1 January–31 March and 1 October–31 December) and 23.8 °C for the cooling season (1 April–30 September). The office setpoint temperature are set back at 15.5 °C and 25.5 °C for heating and cooling during unoccupied hours, as illustrated in Figure 3.
Figure 3.
Setpoint temperature profiles for office space.
3.3. Internal Load and Operational Conditions
Internal heat gain factors including occupancy density, lighting power and plug power level are based on the ASHRAE recommended values [8] and facility inventory documents in 2005 for the initial model as shown in Table 4.
Table 4.
Internal load condition between initial and calibrated model.
Minimum outdoor airflow rate for ventilation is set at 9 m3/h for each person. The indoor air set point temperature for the office area and supplemental spaces is set at 22.0 °C for heating and 23.8 °C for cooling during occupied hours (06:00–18:00) and the temperature is set back at 15.5 °C for heating and 25.5 °C for cooling in unoccupied hours. For the laboratory area, the internal laboratory management code indicates that the space temperature should be precisely 21 °C all year around to protect chemicals and materials for the experiments.
3.4. Calibration Process and Results
Based on the initial model of the building geometry, internal load condition, and HVAC system modeling described above, three guidelines or standards were adopted to evaluate how well the model represents the energy performance of the facility [21,22,23]. Table 5 shows statistical indices of the acceptable tolerance specified by the criteria for the calibrated simulation.
Table 5.
Acceptable tolerance for the calibrated simulation using monthly measured data.
According to the previous studies, internal load condition including occupant density and infiltration rate are key parameters used to calibrate the simulation model [9,10,11,12]. It updated the old facility management document by surveying and re-auditing actual space functionality for each thermal zone, occupied density, lighting and receptacle power levels to minimize the discrepancy between the documentation and the actual operation.
The nearest available hourly weather data of 2011 was used instead of Typical Meteoroidal Year (TMY) data to reduce deviations between the simulated energy consumption and actual measured data [24]. Energy consumption of clean rooms and data center is regarded as a base-load for cooling and electricity consumption.
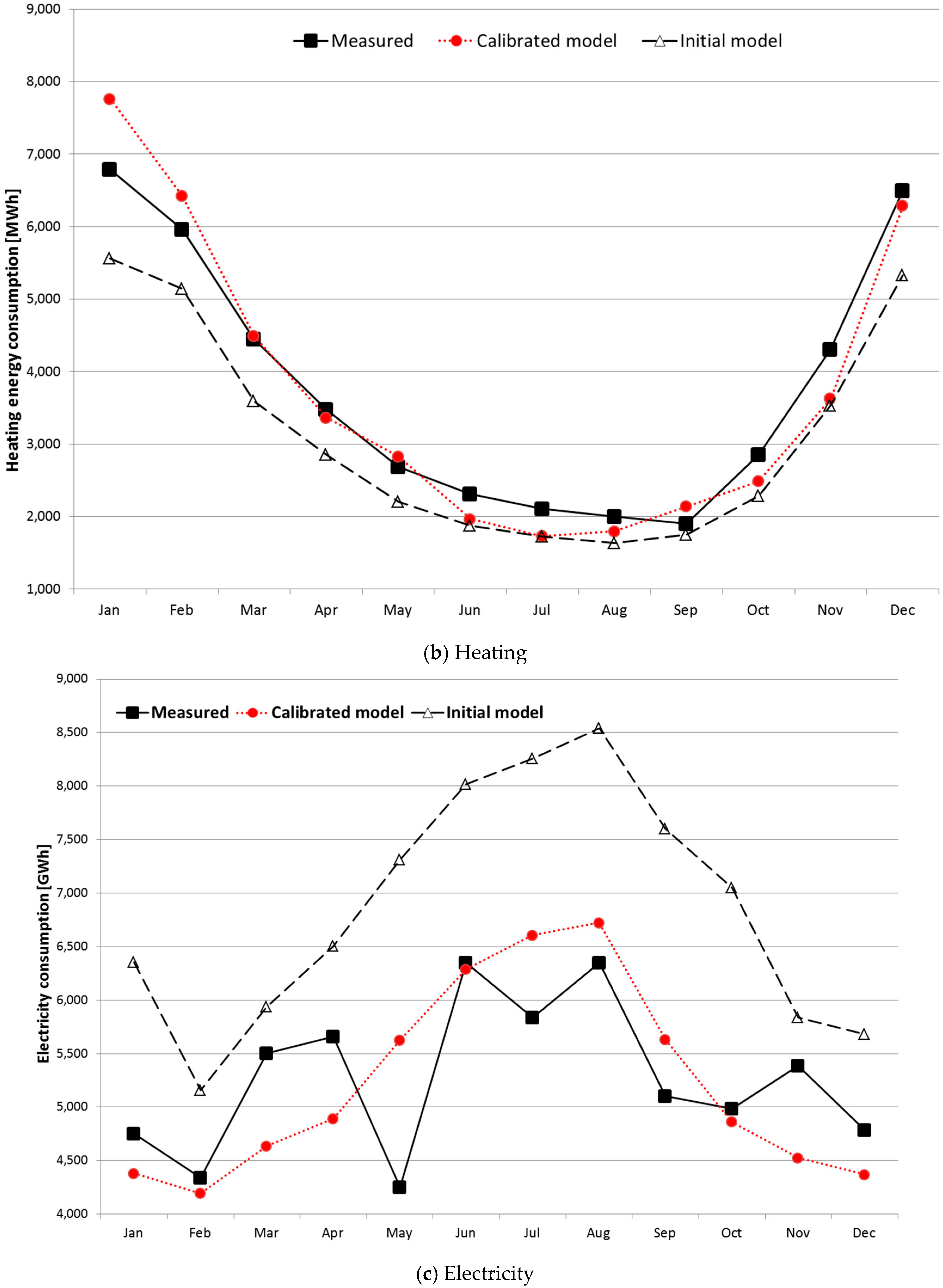
Figure 4 shows the comparison of monthly profiles of heating (a), cooling (b), and electricity (c) energy consumption measured in 2010–2011 with the initial and calibrated model results in 2011 weather data. The monthly data of initial model based on the facility management document is far away from the actual energy consumption because the document has not fully updated with recent operational conditions.

Figure 4.
Comparison of the monthly energy usage profiles of the calibrated model with actual energy measurement.
By the result, the MBEmonth values range from −17.3% to 33.5%, and Cv(RMSEmonth) ranges from 19.1% to 38.1%. The re-auditing and calibration improves the model accuracy as illustrated in Figure 4. Although there are relatively high discrepancies in the electricity consumption in May and July caused by the laboratory systems shutting down and the high-performance computing center, the result of heating and cooling energy consumptions demonstrates graphically that the calibrated simulation results agrees well with the real building energy performance in the specific year.
Table 6 summarizes the statistical indices of the calibrated model performance. Comparing the measured energy billing information, The MBEmonth values for cooling, heating, and electrical energy consumption ranged from −1.23% to −3.35%. This satisfies the tolerance level of all three guidelines of ASHRAE guideline 14 [21]. In the case of Cv(RMSEmonth), the values of each energy source are within the acceptable range of ASHRAE and FEMP, but they are out of range of IPMVP-2002. Considering the statistical indices of the latest IPMVP version in 2012 shares the ASHRAE guideline, Cv(RMSEmonth) may be acceptable to verify the model performance [25].
Table 6.
Calibration results.
3.5. End-Used Energy Consumption
One of the benefits of a whole building energy simulation model, especially for an old building without detailed sub-meters, is allowing one to explore and investigate the potential of energy conservation points of the building. The annual energy consumption of the modelled building in 2011 was broken down into the end-used energy usages as shown in Figure 5.
Figure 5.
End-use energy consumptions.
The facility used almost 38% of total energy for heating in the year while the cooling system was responsible to only 18% of the yearly energy consumption. Heating dominates the total energy consumption because of the site location and continuous all-year operating schedule. The transporting energy to the demand, including fans and pumps, is the second largest part, using 28% of the annual energy consumption. The cooling system, including chiller and cooling tower, used 20% of the total site energy requirements in the year. Internal electricity energy consumption for lighting and equipment for experiment was responsible for 14% of the annual energy consumption. The result is useful in prioritizing the potential energy conservation measures.
4. Evaluation of Energy Saving Measurements
The potential ECMs are usually classified into hardware retrofitting for building envelopes and HVAC systems, and software overriding such as adjustments of HVAC operation and internal load conditions [26]. Based on the calibrated model, three types of ECM are taken into account in this study: fenestration retrofitting, demand adjustment, and HVAC system replacement. This was discussed with building engineers to explore feasible ECMs considering current building status and facility management budget. In total eight cases for short and long-term planning are individually considered.
4.1. Fenestration
The improvement of thermal performance of fenestration was considered an important issue for this facility because the front side of building has an all glass curtain wall with single pane (6 mm) grey color glass and 5 mm thickness steel window frames, which do not have high thermal resistance. In addition, the gross area of the wall is over 8400 m2.
Four envelope retrofitting options with different thermal/optical properties were proposed, as illustrated in Table 7. Window 5.0 was used to characterize the options first to capture the thermo-optical characteristics of the systems before being implemented in the building model [27]. Among the cases, Case 1 conducted a mock-up onto the existing window system to test its feasibility (Figure 6) because it would require minimum initial cost for improving fenestration performance without window and frame retrofitting.
Table 7.
Thermal-optical characteristics of fenestration retrofitting options.
Figure 6.
Mock-up implementation for Case 1.
Figure 7 illustrates the comparison of the annual heating, cooling, and electricity energy consumption for each fenestration retrofitting. For Case 1, 2.9% of the cooling energy could be saved on an annual basis, while the annual heating energy would require 1.33% more compared with the baseline case. This would be mainly due to changing the window thermal and optical properties by the low emissivity film. Considering the thermal-optical data of the thin film, it can save both heating and cooling energy usage but it may fail to be effective to reduce heating energy, which is the dominant energy usage. Although the overall heat transfer coefficient (U-value) is reduced by about 25% by the film, solar heat gain coefficient (SHGC) also decreased from 0.59 to 0.33. Figure 8 shows the weekly thermal balance through the window part in the lowest outdoor air temperature of the year. It indicates that the window blocks solar transmittance during daytime much more than the reduced convective and conductive heat loss through the window in nighttime.
Figure 7.
Annual energy saving potentials by fenestration retrofitting.
Figure 8.
Hourly window thermal-optical characteristics between Base case and Case 1.
If a simple double-pane window construction with an additional clear glass based on the original condition (Case 2) is used, the energy saving potential of each energy source is within 1%. However, the energy saving potential is enhanced with a double-pane construction with low emissivity clear glass (Case 3). The annual heating, cooling and electrical energy savings with Case 3 are 8.67%, 13.15% and 1.8%, respectively.
The energy consumption for using a high performance glazing system (Case 4), triple glazing, reduces 8.76% of heating, 15.69% of cooling, and 2.63% of electricity usage compared with the simulation result of the baseline conditions. From the result, it would recommend that a double glazing system with low emissivity coating, at least, is necessary to achieve visible energy savings.
4.2. Demand Control
The study also investigated the energy saving potential of overriding the indoor set temperature conditions of the office and laboratory space. The set temperature during occupied hours for the office space was adjusted from 22.0 °C to 21.0 °C for heating, and 23.8 °C to 24.8 °C for cooling (denoted as Case 5). In Case 6, the zone set temperature of laboratory area was adjusted 1 °C from the current conditions to 20 °C and 22 °C for heating and cooling, respectively.
Figure 9 illustrates the simulation result of energy consumption for each energy source compared with the base case model. When the office set temperature is overridden by ±1 °C during occupied hours, it can reduce overall building cooling energy by 5.05%. However, 2.34% more heating energy is required than in the baseline model. This is mainly caused by the set temperature control logic of the HVAC systems, which use a single set temperature profile, which would lead to simultaneous heating and cooling during the day for the transient season. Additional heating in morning and late afternoon in the transient season would be required if the set point temperature were shifted. Therefore, it would be recommendable to retrofit the HVAC control logic with a dual-band set temperature control or incorporating the outdoor air temperature to avoid simultaneous heating and cooling operations in a day.
Figure 9.
Annual energy saving potentials by demand management and HVAC system retrofitting.
In the case of adjusting the set temperature in the laboratory system, Case 6, both heating and cooling energy are reduced by 3.07% and 11.45%, respectively. The energy consumption of the delivery system, fans and pumps also decreases by 4.54% due to the reduced thermal energy requirement. This measurement achieves better energy saving potential comparing with other measurements. It means that the building energy consumption is dominated by the laboratory system due to the high ventilation rate, constant space set point temperature throughout the whole year, and high internal heat gain from experimental devices. The set temperature, defined over 20 years ago, may be very low for the cooling season. The space program was changed, but it is still connected to the old HVAC loop. For example, an office space where a laboratory room used to be has a mixing terminal with a dual-duct VAV system.
4.3. HVAC System Retrofitting
The building has four CAV systems with dual duct mixing boxes for a part of the laboratory space as described in the previous section. Although the system can respond to the thermal requirements quickly and can provide precise temperature control, it is an energy inefficient system since both hot and cold air must be produced simultaneously all year around based on the operation schedule [16]. It inherently requires additional heating energy during the cooling season. In addition, the mixing box is often operating incorrectly and some spaces have been occupied as general office, which does not require the precise environmental conditions.
When the four CAV-dual duct mixing box systems are replaced with a VAV-terminal reheat system, denoted Case 7, it is expected that annual cooling and heating energy consumption would be reduced by 2.66% and 5.19 %, respectively, as shown in Figure 9. HVAC system retrofitting would improve both the energy saving potentials and occupants’ thermal comfort. Several laboratory rooms were reallocated to general office or conference rooms. It indicates that the existing HVAC system, dual-duct mixing and continuous operating, wastes energy for conditioning unoccupied area and occasionally causes occupants to complain about the low indoor air temperature (21 °C).
4.4. Utility Cost Evaluation
Although the energy consumption savings represent a practical measurement tool to evaluate each ECM, the energy cost savings aspect is also important in making a short or long term retrofitting plan because all energy sources have a different pricing matrix. Table 8 summaries the estimated energy bill for each ECM. According to the billing information for 2010–2011, the energy price was $0.1/kWh for general used and cooling system and $1.9/gallon of Fuel #6 (Bunker-C oil) for the heating system, respectively.
Table 8.
Utility cost saving by each ECM based on 2011 energy prices.
The fenestration retrofitting cases (Cases 1–4), have energy cost savings ranging from $51,100 to $338,100, depending on the type of retrofitting implemented. In the case of the demand control by set temperature resetting for the office and laboratory space, this can save about $170,000 and $319,000 of energy costs per year. This measure would achieve better energy savings with minor investments, but it should consider the occupants’ comfort level in the office space and the thermal environment requirements of each laboratory system.
When the existing CAV-dual duct mixing box is replaced with a VAV-terminal reheat system, denoted as Case 7, it is expected that the energy cost savings would be about $132,000 per year. The energy and utility cost saving potential per unit area ranges from 0.7% to 10.51%, as listed in Table 9.
Table 9.
Energy use intensity and normalized utility cost savings.
5. Conclusions
Any energy saving strategy for an existing building begins with an understanding of the energy performance based on the actual building operating conditions, but often this is not straightforward, especially for very old buildings, due to insufficient building data and a lack of sub-meters and data acquisition systems. If the building has multi-functional spaces with different operational conditions, the complexity is even higher. In this case, a calibrated building energy simulation model is helpful in investigating the energy performance of the building in detailed level and evaluating potential ECMs by considering the interactive effects of each measure on heating, cooling, and electricity energy consumption.
This study presented an application of a calibrated energy simulation method for a large historic research facility to analyze the building energy performance and evaluate potential ECMs. Using the calibrated baseline model, the study evaluated potential ECMs based on the building energy consumption characteristics. For the envelope retrofitting, it was not surprising that an improved thermal resistance of the glazing system yields more energy savings. However, at least a double-pane glass system would be required to get substantial benefits for the building. This would require window frame modifications, which increase the initial investment.
The resetting of the space set temperature of the office and laboratory space can be a viable way to reduce energy consumption with minimal or zero investment. For office spaces, the study recommended changing the control logic to avoid simultaneous heating and cooling operation in a day. It also indicates that there is high energy saving potential by overriding the set temperature condition for the laboratory if the thermal environment does not require the precise control as operated. The retrofitting of the old dual-duct system with a typical VAV system would have benefits to save heating and cooling energy by incorporating other load saving measures.
The study demonstrated that a calibrated simulation model is useful to characterize facility energy consumption and evaluating ECM options for a large research facility with substantial energy usage. The lack of sub-meters to allow understanding the energy usage pattern and incorrect documentation of the facility management are usual limitations for old existing buildings. In the case, building engineers may look for hardware retrofitting options such as wall and roof insulation, window replacement, HVAC system renewals because they might be visible and effective. However, this case study shows that internal operational conditions are much more important than other building component parameters. The set point temperature, defined over 20 years ago, might be very low in the cooling season for office space. It might be also very unusual for laboratories to be at 21 °C all-year-round, although the temperature was required for the experiment.
The simulation model is planned to be used further in evaluating the post-retrofitting effects of the proposed ECMs and monitoring HVAC systems or plant performance in a real-time analysis integrated with a building management system (BMS) in the future.
Acknowledgments
The authors gratefully acknowledge the facility management team of IBM T.J. Watson Research Center in Yorktown Heights. Mike Graziano, Steve Graziano and Dave Sweeney helped to supply the building documents, operational data set for each HVAC system and utility information.
Author Contributions
Young Tae Chae conduct all simulation works and participated energy auditing. Young Lee led this research and coordinated the manuscript. David Longinott collected energy performance data and directed the energy auditing. All of the authors read and approved the final manuscript.
Conflicts of Interest
The authors declare no conflict of interest.
Nomenclature
| U | overall heat transfer coefficient [W/m2·K] |
| VT | Visible transmittance [-] |
| SHGC | Solar heat gain coefficient [-] |
| MBE | Mean Bias Error, where, M: measured energy consumption in the period, S: simulated energy consumption in the period. |
| Cv(RMSE) | Coefficient of variation of the root-mean-squared error, , , and , where RMSE: root-mean-square-error, A: mean of measured data |
References
- Lam, J.C. Energy analysis of commercial buildings in subtropical climates. Build. Environ. 2000, 15, 19–26. [Google Scholar] [CrossRef]
- Sweetser, R. Retrofit Energy Efficiency Modeling, Assesments and Integrated Technologies: Seeking Solutions for Small and Medium Sized Buildings. In ASHRAE Transactions; American Society of Heating, Refrigerating and Air-Conditioning Engineers, Inc.: Chicago, IL, USA, 2012; pp. 341–350. [Google Scholar]
- Hendricken, L.; Otto, K.; Wen, J.; Gurian, P.; Sisson, W. Capital costs and energy saving achieved by energy conservation measures for office buildings in the greater Philadelphia region. In Proceedings of the SimBuild2012, 5th National Conference of International Building Performance Simulation Association-USA, Madison, WI, USA, 1–3 August 2012.
- Ma, Z.; Cooper, P.; Daly, D.; Ledo, L. Existing building retrofits: Methodology and state-of-the-art. Energy Build. 2012, 55, 889–902. [Google Scholar] [CrossRef]
- Saari, A.; Kalamees, T.; Jokisalo, J.; Michelsson, R.; Alanne, K.; Kurnitski, J. Financial viability of energy-efficiency measures in a new detached house design in Finland. Appl. Energy 2012, 92, 76–83. [Google Scholar] [CrossRef]
- Guiterman, T.; Krarti, M. Analysis of Measurement and Verification Methods for Energy Retrofits Applied to Residential Buildings. In ASHRAE Transactions; American Society of Heating, Refrigerating and Air Conditioning Engineers, Inc.: Montreal, QC, Canada, 2011; pp. 382–394. [Google Scholar]
- Murray, S.N.; Rocher, B.; O’Sullivan, D.T.J. Static Simulation: A sufficient modelling technique for retrofit analysis. Energy Build. 2012, 47, 113–121. [Google Scholar] [CrossRef]
- ASHRAE. ASHRAE Handbook-Fundamentals; American Society of Heating, Refrigerating and Air-Conditioning Engineers, Inc.: Atlanta, GA, USA, 2000. [Google Scholar]
- Herberl, J.S.; Bou-Saada, T.E. Procedures for calibrating hourly simulation models to measured building energy and environmental data. ASME J. Sol. Energy Eng. 1998, 120, 193–204. [Google Scholar] [CrossRef]
- Kaplan, M.; McFerrran, J.; Jansen, J.; Pratt, R. Reconciliation of a DOE2.1C model with monitored end-use data from a small office building. ASHRAE Trans. 1990, 11, 981–992. [Google Scholar]
- Manfren, M.; Aste, R.N. Calibration and uncertainty anlaysis for computer models-A meta-model based approach for integrated builidng energy simulation. Appl. Energy 2013, 103, 627–641. [Google Scholar] [CrossRef]
- Reddy, T.A.; Maor, I.; Panjapornpon, C. Calibrating Detailed Building Energy Simulation Programs with Measured Data—Part I: General Methodology (RP-1051). HVAC R Res. 2007, 13, 221–241. [Google Scholar] [CrossRef]
- Liu, G.; Liu, M. A rapid calibration procedure and case study for simplified simulation models of commonly used HVAC systems. Build. Environ. 2011, 46, 409–420. [Google Scholar] [CrossRef]
- Yoon, J.H.; Lee, E.J.; Claridge, D.E. Calibration procedure for energy performance simulation of a commercial building. J. Sol. Energy Eng. 2003, 125, 251–258. [Google Scholar] [CrossRef]
- Pan, Y.; Haung, Z.; Wu, G. Calibrated building energy simulation and its application in a high-rise commercial building in Shanghai. Energy Build. 2007, 39, 651–657. [Google Scholar] [CrossRef]
- Rahman, M.M.; Rasul, M.G.; Khan, M.M.K. Energy conservation measures in an institutional building in sub-tropical climate in Australia. Appl. Energy 2010, 87, 2994–3004. [Google Scholar] [CrossRef]
- ASHRAE. ASHRAE Handbook-HVAC Systems and Equipment; American Society of Heating, Refrigerating and Air-Conditioning Engineers, Inc.: Atlanta, GA, USA, 2008. [Google Scholar]
- McDowall, R. Fundamentals of HVAC Systems; Elsevier: Oxford, UK, 2007. [Google Scholar]
- DOE. EnergyPlus 6.0; 2010. Available online: http://apps1.eere.energy.gov/buildings/energyplus/ (accessed on 5 July 2015).
- Crawley, D.B.; Hand, J.W.; Kummert, M.; Griffith, B.T. Contrasting the capabilities of building energy performance simulation programs. Build. Environ. 2008, 43, 661–673. [Google Scholar] [CrossRef]
- ASHRAE. ASHRAE Guideline 14–2002, Measurement of Energy and Demand Savings; American Society of Heating, Refrigerating and Air-Conditioning Engineers, Inc.: Atlanta, GA, USA, 2002. [Google Scholar]
- Federal Energy Management Program. M&V Guidelines: Measurement and Verification for Federal Energy Projects, Version 3.0.; U.S. Department of Energy: Boulder, CO, USA, 2008. [Google Scholar]
- Efficiency Valuation Organization. International Performance Measurement and Verficiation Protocol-Concepts (IPMVP) and Options for Determining Energy and Water Savings Volume 1; Efficiency Valuation Organization: Oak Ridge, TN, USA, 2002. [Google Scholar]
- O’Neill, Z.; Eisenhower, B.; Yuan, S.; Bailey, T. Modeling and Calibration of Energy Models for a DOD Building. ASHRAE Trans. 2011, 117, 358–365. [Google Scholar]
- Efficiency Valuation Organization. International Performance Measurement and Verficiation Protocol (IPMVP)-Concepts and Options for Determining Energy and Water Savings Volume 1; Efficiency Valuation Organization: Oak Ridge, TN, USA, 2010. [Google Scholar]
- ASHRAE. ANSI/ASHRAE/IESNA Standard 90.1-2004, Energy Standard for Buildings Except Low-Rise Residential Buildings; American Society of Heating, Refrigerating and Air-Conditioning Engineers, Inc.: Atlanta, GA, USA, 2004. [Google Scholar]
- LBNL. Window 5.0 User Manual; Lawrence Berkeley National Laboratory: Berkeley, CA, USA, 2001. [Google Scholar]
© 2016 by the authors; licensee MDPI, Basel, Switzerland. This article is an open access article distributed under the terms and conditions of the Creative Commons Attribution (CC-BY) license (http://creativecommons.org/licenses/by/4.0/).