Optimum Electric Boiler Capacity Configuration in a Regional Power Grid for a Wind Power Accommodation Scenario
Abstract
:1. Introduction
2. Principle and Method
2.1. Principle of Wind Power Accommodation with the Installation of Electric Boilers for CHP
2.2. Model for Optimum Electric Boiler Capacity
2.2.1. Objective Function
2.2.2. Constraint Conditions
3. Case Study
3.1. Data Sources and Hypothesis
3.2. Wind Power Curtailment Analysis
3.3. Optimum Electric Boiler Capacity Calculation
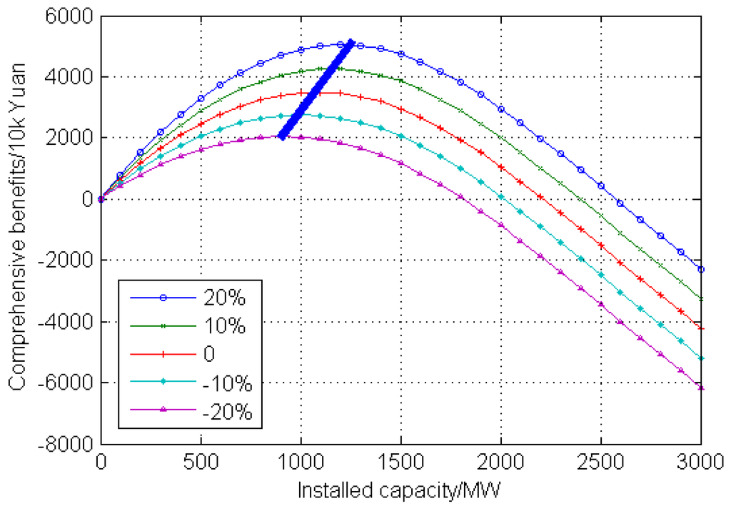
3.4. Sensitivity Analysis
4. Conclusions and Future Work
Acknowledgments
Author Contributions
Conflicts of Interest
References
- Zakeri, B.; Rinne, S.; Syri, S. Wind Integration into Energy Systems with a High Share of Nuclear Power—What Are the Compromises? Energies 2015, 8, 2493–2527. [Google Scholar] [CrossRef]
- Kang, C.; Chen, X.; Xu, Q.; Ren, D.; Huang, Y.; Xia, Q. Balance of power: Toward a more environmentally friendly, efficient, and effective integration of energy systems in China. IEEE Power Energy Mag. 2013, 11, 56–64. [Google Scholar] [CrossRef]
- Göransson, L.; Johnsson, F. Dispatch modeling of a regional power generation system—Integrating wind power. Renew. Energy 2009, 34, 1040–1049. [Google Scholar] [CrossRef]
- Albadi, M.H.; El-Saadany, E.F. Overview of wind power intermittency impacts on power systems. Electr. Power Syst. Res. 2010, 80, 627–632. [Google Scholar] [CrossRef]
- Yuan, J.; Sun, S.; Shen, J.; Xu, Y.; Zhao, C. Wind power supply chain in China. Renew. Sustain. Energy Rev. 2014, 39, 356–369. [Google Scholar] [CrossRef]
- He, Y.X.; Xia, T.; Liu, Z.Y.; Zhang, T.; Dong, Z. Evaluation of the capability of accepting large-scale wind power in China. Renew. Sustain. Energy Rev. 2013, 19, 509–516. [Google Scholar] [CrossRef]
- Li, C.B.; Shi, H.Q.; Cao, Y.J.; Wang, J.H.; Kuang, Y.H.; Tan, Y. Comprehensive review of renewable energy curtailment and avoidance: A specific example in China. Renew. Sustain. Energy Rev. 2015, 41, 1067–1079. [Google Scholar] [CrossRef]
- Li, Y.; Fu, L.; Zhang, S. Technology application of district heating system with Co-generation based on absorption heat exchange. Energy 2015, 90, 663–670. [Google Scholar] [CrossRef]
- Long, H.; Xu, K.; Xu, R.; He, J. More wind power integration with adjusted energy carriers for space heating in Northern China. Energies 2012, 5, 3279–3294. [Google Scholar] [CrossRef]
- Burke, D.J.; O’Malley, M.J. Factors Influencing Wind Energy Curtailment. IEEE Trans. Sustain. Energy 2011, 2, 185–193. [Google Scholar] [CrossRef]
- Zhang, N.; Lu, X.; McElroy, M.B.; Nielsen, C.P.; Chen, X.; Deng, Y. Reducing curtailment of wind electricity in China by employing electric boilers for heat and pumped hydro for energy storage. Appl. Energy 2015. [Google Scholar] [CrossRef]
- Lund, P.D.; Lindgren, J.; Mikkola, J.; Salpakari, J. Review of energy system flexibility measures to enable high levels of variable renewable electricity. Renew. Sustain. Energy Rev. 2015, 45, 785–807. [Google Scholar] [CrossRef]
- Hirth, L.; Ziegenhagen, I. Balancing power and variable renewables: Three links. Renew. Sustain. Energy Rev. 2015, 50, 1035–1051. [Google Scholar] [CrossRef]
- Atwa, Y.M.; El-Saadany, E.F. Optimal Allocation of ESS in Distribution Systems with a High Penetration of Wind Energy. IEEE Trans. Power Syst. 2010, 25, 1815–1822. [Google Scholar] [CrossRef]
- Waite, M.; Modi, V. Potential for increased wind-generated electricity utilization using heat pumps in urban areas. Appl. Energy 2014, 135, 634–642. [Google Scholar] [CrossRef]
- Hedegaard, K.; Münster, M. Influence of individual heat pumps on wind power integration—Energy system investments and operation. Energy Convers. Manag. 2013, 75, 673–684. [Google Scholar] [CrossRef]
- Chen, L.; Xu, F.; Wang, X.; Min, Y.; Ding, M.; Huang, P. Implementation and effect of thermal storage in improving wind power accommodation. Proc. Chin. Soc. Electr. Eng. 2015, 35, 4283–4290. [Google Scholar]
- Papaefthymiou, G.; Hasche, B.; Nabe, C. Potential of heat pumps for demand side management and wind power integration in the German electricity market. IEEE Trans. Sustain. Energy 2012, 3, 636–642. [Google Scholar] [CrossRef]
- Xydis, G. Wind energy to thermal and cold storage—A systems approach. Energy Build. 2013, 56, 41–47. [Google Scholar] [CrossRef]
- Kiviluoma, J.; Meibom, P. Influence of wind power, plug-in electric vehicles, and heat storages on power system investments. Energy 2010, 35, 1244–1255. [Google Scholar] [CrossRef]
- Nielsen, M.G.; Morales, J.M.; Zugno, M.; Pedersen, T.E.; Madsen, H. Economic valuation of heat pumps and electric boilers in the Danish energy system. Appl. Energy 2015. [Google Scholar] [CrossRef]
- Meibom, P.; Kiviluoma, J.; Barth, R.; Brand, H.; Weber, C.; Larsen, H.V. Value of electric heat boilers and heat pumps for wind power integration. Wind Energy 2007, 10, 321–337. [Google Scholar] [CrossRef]
- Gill, S.; Dolan, M.J.; Frame, D.; Ault, G.W. The Role of Electric Heating and District Heating Networks in the Integration of Wind Energy to Island Networks. Int. J. Distrib. Energy Resour. 2011, 7, 245–263. [Google Scholar]
- Wu, C.B.; Huang, G.H.; Li, W.; Zhen, J.L.; Ji, L. An inexact fixed-mix fuzzy-stochastic programming model for heat supply management in wind power heating system under uncertainty. J. Clean. Prod. 2016, 112, 1717–1728. [Google Scholar] [CrossRef]
- Sun, R.; Zhang, T.; Liang, J. Evaluation and application of wind power integration capacity in power grid. Autom. Electr. Power Syst. 2011, 35, 70–76. [Google Scholar]
- Chen, X.; Kang, C.; O’Malley, M.; Xia, Q. Increasing the Flexibility of Combined Heat and Power for Wind Power Integration in China: Modeling and Implications. IEEE Trans. Power Syst. 2015, 30, 1848–1857. [Google Scholar] [CrossRef]
- Qinhuangdao seaborne coal market. Available online: http://www.cqcoal.com/Trade/Price/ (accessed on 20 January 2016).
- Liu, D.; Niu, D.; Li, Y. Mid-term load forecasting optimization model based on multi-factor influence of season and holiday. In Proceedings of the 2006 China International Conference on Electricity Distribution (CICED 2006), Beijing, China, 17–20 September 2006; p. 239.










| Parameters | Implication | Value | Unit |
|---|---|---|---|
| d | Number of days in the annual heat supply season | 120 | day |
| Duration of each time segment | 15 | min | |
| Average coal consumption of CHP generating electricity | 0.330 | Tce/MWh | |
| Tonne of coal equivalent price | 600 | Yuan/t | |
| Average coal consumption of CHP generating heat | 0.154 | Tce/MWh | |
| Pollutant emission cost of coal | 80 | Yuan/t | |
| CO2 emission per tonne coal | 2.6 | t | |
| Carbon emission cost | 25 | Yuan/t | |
| Electric boiler cost per capacity | 60 | 10 k Yuan/MW | |
| z | Electric boiler maintenance cost ration | 1 | % |
| v | Average bank lending rates | 5 | % |
| y | Electric boiler lifespan | 20 | year |
| r1 | Conventional power generation unit ramp rate | 200 | MW/h |
| r2 | CHP unit ramp rate | 150 | MW/h |
| Simulation | 1 | 2 | 3 | 4 | 5 |
|---|---|---|---|---|---|
| Wind power curtailment (GWh) | 751.05 | 746.59 | 730.16 | 761.58 | 713.83 |
| Wind power curtailment rate (%) | 7.74 | 7.78 | 7.58 | 7.74 | 7.42 |
| Simulation | 1 | 2 | 3 | 4 | 5 |
|---|---|---|---|---|---|
| Wind power curtailment (GWh) | 153.05 | 166.78 | 170.54 | 168.61 | 165.33 |
| Wind power curtailment rate (%) | 1.58 | 1.74 | 1.77 | 1.71 | 1.72 |
© 2016 by the authors; licensee MDPI, Basel, Switzerland. This article is an open access article distributed under the terms and conditions of the Creative Commons by Attribution (CC-BY) license (http://creativecommons.org/licenses/by/4.0/).
Share and Cite
Liu, D.; Zhang, G.; Huang, B.; Liu, W. Optimum Electric Boiler Capacity Configuration in a Regional Power Grid for a Wind Power Accommodation Scenario. Energies 2016, 9, 144. https://doi.org/10.3390/en9030144
Liu D, Zhang G, Huang B, Liu W. Optimum Electric Boiler Capacity Configuration in a Regional Power Grid for a Wind Power Accommodation Scenario. Energies. 2016; 9(3):144. https://doi.org/10.3390/en9030144
Chicago/Turabian StyleLiu, Da, Guowei Zhang, Baohua Huang, and Weiwei Liu. 2016. "Optimum Electric Boiler Capacity Configuration in a Regional Power Grid for a Wind Power Accommodation Scenario" Energies 9, no. 3: 144. https://doi.org/10.3390/en9030144
APA StyleLiu, D., Zhang, G., Huang, B., & Liu, W. (2016). Optimum Electric Boiler Capacity Configuration in a Regional Power Grid for a Wind Power Accommodation Scenario. Energies, 9(3), 144. https://doi.org/10.3390/en9030144

