Error Assessment of Solar Irradiance Forecasts and AC Power from Energy Conversion Model in Grid-Connected Photovoltaic Systems
Abstract
:1. Introduction
- (1)
- The use of solar irradiance weather forecasts updated every a few hours from a provider. These data are interpolated with polynomial splines to obtain a higher number of estimated values during the day. The results are compared with the measurements gathered at 1-min intervals during a period of one year in order to calculate the estimation error.
- (2)
- The application of a PV conversion model from solar irradiance to AC power, determining 1-min AC power estimates. From these values, 15-min averaged data are calculated and compared with the energy meter readings at 15-min intervals in order to calculate the error on AC power estimates.The strengths of this paper are that:
- (a)
- The procedure presented can be used to select the best forecasting model or the best provider of weather forecasts in the location of interest.
- (b)
- The irradiance error estimation is particularly accurate, because the meteorological stations are equipped with pyranometers (secondary standards used as reference instruments) installed in the same sites of two operating PV plants. Moreover, the AC power error estimation is relevant because (i) the PV plants analyzed are located in the Italian region (Puglia) with the highest PV power density; and (ii) the measurements referring to the PV plants are taken from calibrated energy meters.
2. Solar Irradiance Models and PV System Description
2.1. Models for Extraterrestrial and Ground Level Irradiance
- latitude ξ, in radians or degrees, with respect to the equator (>0 toward North);
- longitude ζ, in radians or degrees, referred to the Greenwich line (>0 toward East);
- solar declination δ, the angle between the Sun-Earth line and the equator plane (>0 North);
- hour angle ψ, between the meridian plane passing through the observer and the meridian plane passing through the Sun (>0 West);
- azimuth angle ϕ between the projection of the Sun-Earth line and the plane at the horizon with South direction (>0 West);
- zenith angle z between the Sun-Earth line and the zenith direction;
- solar height α, that is, the angle between the Sun-Earth line and the horizon plane.
2.2. Description of the Two Meteorological Stations and PV Systems
- A pyranometer (Secondary Standard according to ISO 9060 [28]) for measuring the horizontal global irradiance Gpyr;
- Two reference solar cells in polycrystalline silicon (p-Si) with South orientation for measuring the 30° tilted global irradiance Gtcell;
- One thermo-hygrometer for measuring the ambient temperature Tamb, relative humidity and wind speed ws.

2.3. Definition of the PV Conversion Model
- Efficiency ηdirt, due to losses for soiling and dirt (environmental pollution). To estimate the impact of dirt/soiling accumulation, a 10-day summer period without rain is considered. At the end of this period (10th day), the horizontal solar irradiation is calculated from the pyranometer and the solar cell. At the 11th day, the rain appears and naturally cleans the sensors. Finally, at the 12th day (clear-sky day), the solar irradiation is calculated in such a way as to practically have the same astronomical conditions of the 10th day. Therefore, the corresponding value of ηdirt for the PV plant, located in a relatively clean environment (i.e., away from mines, landfills, etc.), is determined according to the following formula:where Ha_rain and Hb_rain are the values of the daily irradiation in two clear-sky days, one after rain (12th day) and the other before rain (10th day), respectively. The corresponding value of ηdirt is generally in the range 0.97–0.98.
- Efficiency ηrefl, due to reflection of the PV module glass; the value used is 0.971, taken from the PVGIS website [23].
- Efficiency ηth, due to the thermal losses lth with respect to the STC, calculated as:where is the thermal coefficient of maximum power of the PV modules, depending on the PV technology (for crystalline silicon = 0.5%/°C); TC is the cell temperature (mean temperature in outdoor operation at GNOCT = 800 W/m2 and Tamb,NOCT = 20 °C), which can be calculated as a function of the ambient temperature Tamb, the cell irradiance on the tilted plane Gtcell and the Normal Operating Cell Temperature (NOCT) of 42–50 °C [31,32]:
- Efficiency ηmism, taking into account the current-voltage (I-V) mismatch losses, assuming that the bottleneck effect globally leads to 97% of the power rating declared by the manufacturer for all the modules in the PV array. This loss is a consequence of the weakest modules in the series connection inside the strings, and of the weakest strings in the parallel connection inside the PV array [33].
- Efficiency ηcable, including the DC cable losses, with the value 0.99 considered according to good design criteria [34].Considering these efficiencies, the available power at the maximum power point is expressed as:where Glim = 17.7 W/m2 is the irradiance limit below which the output is vanishing, calculated by linear interpolation of the irradiance and power values declared by the manufacturer of the silicon modules installed in the PV array.
3. Clear, Variable and Cloudy Sky Classification
3.1. Determination of the Diffuse Contribution in the Global Irradiance
- for kt ≤ 0.21 a total cloudy sky condition occurs, and a linear expression of kd is assumed;
- in the range 0.21 < kt ≤ 0.76, a variable (i.e., partially cloudy) sky condition occurs, in which the Sun is partially obscured by clouds, and the correlation is represented by a cubic polynomial expression;
- for kt > 0.76 a clear-sky condition occurs, in which that the sunlight is not reduced by clouds, and the fraction of diffuse irradiance is assumed to be 18% of the global one.
| Site | Real Latitude | Real Longitude | WRF Latitude | WRF Longitude |
|---|---|---|---|---|
| Ma | 40.35 | 17.52 | 40.44 | 17.65 |
| Gi | 40.55 | 16.84 | 40.62 | 16.93 |
3.2. Representation of Measured, Forecast and Estimated Data


3.3. Comparison between Estimated Values and Measurements in the Two PV Sites
| (a) Site “Gi” | |||||||||||||
|---|---|---|---|---|---|---|---|---|---|---|---|---|---|
| Measured | Estimated | January | February | March | April | May | June | July | August | September | October | November | December |
| Variable | Variable | 192 | 88 | 136 | 80 | 112 | 139 | 148 | 130 | 140 | 120 | 178 | 185 |
| Clear | Clear | 8 | 30 | 51 | 98 | 108 | 129 | 54 | 109 | 86 | 77 | 5 | 5 |
| Cloudy | Cloudy | 7 | 31 | 18 | 33 | 12 | 29 | 10 | 16 | 31 | 45 | 31 | 24 |
| Total Passes | 207 | 149 | 205 | 211 | 232 | 297 | 212 | 255 | 257 | 242 | 214 | 214 | |
| Passes % | 72% | 48% | 57% | 53% | 53% | 67% | 47% | 60% | 71% | 72% | 71% | 72% | |
| (b) Site “Ma” | |||||||||||||
| Measured | Estimated | January | February | March | April | May | June | July | August | September | October | November | December |
| Variable | Variable | 165 | 96 | 145 | 70 | 124 | 113 | 135 | 141 | 149 | 124 | 139 | 155 |
| Clear | Clear | 24 | 31 | 44 | 101 | 118 | 103 | 50 | 73 | 87 | 77 | 16 | 12 |
| Cloudy | Cloudy | 0 | 24 | 18 | 34 | 2 | 29 | 0 | 16 | 32 | 45 | 17 | 26 |
| Total Passes | 189 | 151 | 207 | 205 | 244 | 245 | 185 | 230 | 268 | 246 | 172 | 193 | |
| Passes % | 65% | 49% | 57% | 51% | 56% | 55% | 41% | 54% | 74% | 73% | 57% | 65% | |
| (a) Site “Gi” | |||||||||||||
|---|---|---|---|---|---|---|---|---|---|---|---|---|---|
| Measured | Estimated | January | February | March | April | May | June | July | August | September | October | November | December |
| Variable | Clear | 3 | 7 | 6 | 7 | 5 | 25 | 90 | 49 | 25 | 14 | 8 | 17 |
| Variable | Cloudy | 18 | 77 | 30 | 77 | 65 | 16 | 57 | 48 | 34 | 30 | 51 | 32 |
| Clear | Variable | 50 | 59 | 115 | 83 | 123 | 87 | 75 | 71 | 46 | 46 | 22 | 23 |
| Clear | Cloudy | 8 | 16 | 6 | 21 | 9 | 20 | 16 | 1 | 2 | 2 | 4 | 6 |
| Cloudy | Variable | 2 | 0 | 0 | 0 | 0 | 0 | 0 | 0 | 0 | 0 | 1 | 4 |
| Cloudy | Clear | 0 | 0 | 0 | 0 | 0 | 0 | 0 | 0 | 0 | 0 | 0 | 0 |
| Total Fails | 81 | 159 | 157 | 188 | 202 | 148 | 238 | 169 | 107 | 92 | 86 | 82 | |
| Fails % | 28% | 52% | 43% | 47% | 47% | 33% | 53% | 40% | 29% | 28% | 29% | 28% | |
| (b) Site “Ma” | |||||||||||||
| Measured | Estimated | January | February | March | April | May | June | July | August | September | October | November | December |
| Variable | Clear | 12 | 6 | 11 | 12 | 12 | 70 | 120 | 67 | 27 | 32 | 38 | 31 |
| Variable | Cloudy | 30 | 75 | 18 | 77 | 75 | 30 | 66 | 48 | 27 | 25 | 85 | 49 |
| Clear | Variable | 51 | 66 | 116 | 83 | 96 | 74 | 62 | 76 | 41 | 31 | 2 | 15 |
| Clear | Cloudy | 7 | 10 | 10 | 18 | 7 | 24 | 16 | 2 | 1 | 0 | 0 | 8 |
| Cloudy | Variable | 0 | 0 | 0 | 4 | 0 | 0 | 0 | 0 | 0 | 1 | 2 | 2 |
| Cloudy | Clear | 0 | 0 | 0 | 0 | 0 | 0 | 0 | 0 | 0 | 0 | 1 | 0 |
| Total Fails | 100 | 157 | 155 | 194 | 190 | 198 | 264 | 193 | 96 | 89 | 128 | 105 | |
| Fails % | 35% | 51% | 43% | 49% | 44% | 45% | 59% | 46% | 26% | 27% | 43% | 35% | |
3.4. Identification of the Irradiance Spikes caused by Broken Clouds (ISBC) Conditions
| Month | Max Clear-Sky Irradiance (W/m2) on a 30° Plane | |
|---|---|---|
| Site “Gi” | Site “Ma” | |
| January | 852 | 856 |
| February | 971 | 977 |
| March | 1080 | 1100 |
| April | 1100 | 1110 |
| May | 1060 | 1070 |
| June | 1060 | 1060 |
| July | 1020 | 1030 |
| August | 1080 | 1080 |
| September | 1040 | 1040 |
| October | 1000 | 1020 |
| November | 906 | 905 |
| December | 856 | 853 |
- (i)
- the number of irradiance spikes for which the measured irradiance exceeds the irradiance of the reference model at the same minute;
- (ii)
- the number of irradiance spikes for which the measured irradiance is so high to exceed the maximum irradiance Gmax indicated by the reference model of the corresponding day. The rationale of this choice is that for irradiance values higher than the maximum value established at clear-sky conditions the PV system may inject in the electrical network a power that could be even higher than the rated power of the PV plant.
| Number of ISBC Events (Year 2012) | ||||||
|---|---|---|---|---|---|---|
| Month | (a) Site “Gi” | (b) Site “Ma” | ||||
| Exceeding the Minute-by-Minute Points of the Clear Sky Model | Exceeding the Daily Peak of the Clear Sky Model | Exceeding the Minute-by-Minute Points of the Clear Sky Model | Exceeding the Daily Peak of the Clear Sky Model | |||
| January | 378 | 190 | 357 | 172 | ||
| February | 228 | 117 | 231 | 117 | ||
| March | 232 | 89 | 430 | 217 | ||
| April | 552 | 283 | 469 | 221 | ||
| May | 646 | 343 | 397 | 190 | ||
| June | 252 | 108 | 202 | 73 | ||
| July | 227 | 104 | 167 | 57 | ||
| August | 154 | 60 | 34 | 10 | ||
| September | 493 | 207 | 663 | 311 | ||
| October | 345 | 161 | 416 | 166 | ||
| November | 245 | 121 | 214 | 79 | ||
| December | 174 | 86 | 289 | 140 | ||
| Total year | 3926 | 1869 | 3869 | 1753 | ||
4. Accuracy of the Estimated Values
4.1. Error Indices to Compare the Irradiance Estimates with the Measurements
- the root mean square error (RMSE):
- the mean bias error (MBE), representing the systematic part (bias) of the error [54]:
- the mean absolute error (MAE):






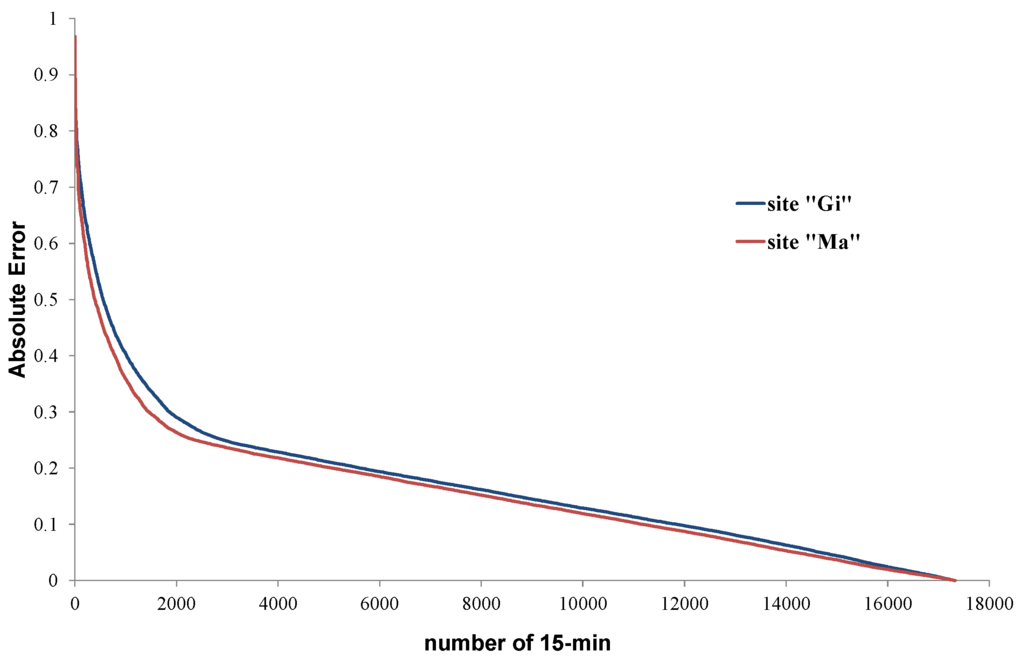
4.2. Duration Curves of Bias and Absolute Error





5. AC Power Estimations Compared with Experimental Results




6. Conclusions
Acknowledgments
Author Contributions
Conflicts of Interest
References
- Jensenius, J.S. Solar Resources. In Insolation Forecasting; Massachusetts Institute of Technology (MIT) Press: Cambridge, MA, USA, 1989; pp. 335–349. [Google Scholar]
- Glahn, H.R.; Lowry, D.A. The use of model output statistics (MOS) in objective weather forecasting. Appl. Meteorol. 1972, 11, 1203–1211. [Google Scholar] [CrossRef]
- Kaifel, A.K.; Jesemann, P. An adaptive filtering algorithm for very short-range forecast of cloudiness applied to meteosat data. In Proceedings of the 9th Meteosat Scientific Users Meeting, Locarno, Switzerland, 15–18 September 1992.
- Beyer, H.G.; Costanzo, C.; Heinemann, D.; Reise, C. Short range forecast of PV energy production using satellite image analysis. In Proceedings of the 12th European Photovoltaic Solar Energy Conference, Amsterdam, The Netherlands, 11–15 April 1994; pp. 1718–1721.
- Kang, B.O.; Tam, K. New and improved methods to estimate day-ahead quantity and quality of solar irradiance. Appl. Energy 2015, 137, 240–249. [Google Scholar] [CrossRef]
- Huld, T.; Amillo, A. Estimating PV module performance over large geographical regions: The role of irradiance, air temperature, wind speed and solar spectrum. Energies 2015, 8, 5159–5181. [Google Scholar] [CrossRef]
- Mellit, A.; Massi Pavan, A. Performance prediction of 20 kWp grid-connected photovoltaic plant at Trieste (Italy) using artificial neural network. Energy Convers. Manag. 2010, 51, 2431–2441. [Google Scholar] [CrossRef]
- Mellit, A.; Massi Pavan, A. A 24-h forecast of solar irradiance using artificial neural network: Application for performance prediction of a grid-connected PV plant at Trieste, Italy. Sol. Energy 2010, 84, 807–821. [Google Scholar] [CrossRef]
- Izgi, E.; Oztopal, A.; Yerli, B.; Kaymak, M.K.; Sahin, A.D. Short-mid-term solar power prediction by using artificial neural networks. Sol. Energy 2012, 86, 725–733. [Google Scholar] [CrossRef]
- Da Silva Fonseca, J.G., Jr.; Oozeki, T.; Takashima, T.; Koshimizu, G.; Uchida, Y.; Ogimoto, K. Use of support vector regression and numerically predicted cloudiness to forecast power output of a photovoltaic power plant in Kitakyushu, Japan. Progress Photovolt. Res. Appl. 2011, 20, 874–882. [Google Scholar] [CrossRef]
- Shi, J.; Lee, W.; Liu, Y.; Yang, Y.; Wang, P. Forecasting power output of photovoltaic systems based on weather classification and support vector machines. IEEE Trans. Ind. Appl. 2012, 48, 1064–1069. [Google Scholar] [CrossRef]
- Bouzerdoum, M.; Mellit, A.; Massi Pavan, A. A hybrid model (SARIMA–SVM) for short-term power forecasting of a small-scale grid-connected photovoltaic plant. Sol. Energy 2013, 98, 226–235. [Google Scholar] [CrossRef]
- Pelland, S.; Galanis, G.; Kallos, G. Solar and photovoltaic forecasting through post-processing of the global environmental multiscale numerical weather prediction model. Progress Photovolt. Res. Appl. 2011, 21, 284–296. [Google Scholar] [CrossRef]
- Cai, T.; Duan, S.; Chen, C. Forecasting power output for grid-connected photovoltaic power system without using solar radiation measurement. In Proceedings of the 2nd IEEE International Symposium on Power Electronics for Distributed Generation Systems (PEDG), Hefei, China, 16–18 June 2010.
- Bessa, R.J.; Trindade, A.; Miranda, V. Spatial-temporal solar power forecasting for smart grids. IEEE Trans. Ind. Inform. 2015, 11, 232–241. [Google Scholar] [CrossRef]
- Dambreville, R.; Blanc, P.; Chanussot, J.; Boldo, D. Very short term forecasting of the global horizontal irradiance using a spatio-temporal autoregressive model. Renew. Energy 2014, 72, 291–300. [Google Scholar] [CrossRef]
- Iqbal, M. An introduction to solar radiation; Academic Press: Toronto, ON, Canada, 1983. [Google Scholar]
- Duffie, J.A.; Beckman, W.A. Solar Engineering of Thermal Processes, 2nd ed.; Wiley Interscience: New York, NY, USA, 1991. [Google Scholar]
- Şen, Z. Solar Energy Fundamentals and Modeling Techniques; Springer: Berlin, Germany, 2008; pp. 70–71. [Google Scholar]
- The American Society of Heating, Refrigerating and Air-Conditioning Engineers (ASHRAE). Handbook of Fundamentals, American Society of Heating, Refrigeration and Air-Conditioning Engineers; ASHRAE: Atlanta, GA, USA, 1993. [Google Scholar]
- Moon, P.; Spencer, D.E. Illumination from a non uniform sky. Illum. Eng. 1942, 37, 707–726. [Google Scholar]
- Chicco, G.; Cocina, V.; Spertino, F. Characterization of solar irradiance profiles for photovoltaic system studies through data rescaling in time and amplitude. In Proceedings of the 49th International Universities’ Power Engineering Conference (UPEC 2014), Cluj-Napoca, Romania, 2–5 September 2014.
- Joint Research Centre of the European Commission, Photovoltaic Geographical Information System (PVGIS). Available online: http://re.jrc.ec.europa.eu/pvgis/apps4/pvest.php (accessed on 16 December 2015).
- Spertino, F.; di Leo, P.; Cocina, V. Accurate measurements of solar irradiance for evaluation of photovoltaic power profiles. In Proceedings of the IEEE Conference Powertech, Grenoble, France, 16–20 June 2013; pp. 1–5.
- Czekalski, D.; Chochowski, A.; Obstawski, P. Parameterization of daily solar irradiance variability. Renew. Sustain. Energy Rev. 2012, 16, 2461–2467. [Google Scholar] [CrossRef]
- Badosa, J.; Haeffelin, M.; Chepfer, H. Scales of spatial and temporal variation of solar irradiance on Reunion tropical island. Sol. Energy 2013, 88, 42–56. [Google Scholar] [CrossRef]
- Chicco, G.; Cocina, V.; di Leo, P.; Spertino, F. Weather forecast-based power predictions and experimental results from photovoltaic systems. In Proceedings of the IEEE Conference Speedam, Ischia, Italy, 18–20 June 2014.
- International Organization for Standardization (ISO). Solar Energy—Specification and Classification of Instruments for Measuring Hemispherical Solar and Direct Solar Radiation; ISO 9060:1990; ISO: Geneva, Switzerland, 1990. [Google Scholar]
- Carullo, A.; Ferraris, F.; Vallan, A.; Spertino, F.; Attivissimo, F. Uncertainty analysis of degradation parameters estimated in long-term monitoring of photovoltaic plants. Measurement 2014, 55, 641–649. [Google Scholar] [CrossRef]
- Reinders, A.H.M.E.; van Dijk, V.A.P.; Wiemken, E.; Turkenburg, W.C. Technical and economic analysis of grid-connected PV systems by means of simulation. Progress Photovolt. Res. Appl. 1999, 7, 71–82. [Google Scholar] [CrossRef]
- Markvart, T. Solar Electricity, 2nd ed.; John Wiley & Sons: Hoboken, NJ, USA, 2000. [Google Scholar]
- International Electrotechnical Commission (IEC). Crystalline Silicon Photovoltaic (PV) Array. On-Site Measurement of I-V Characteristics; IEC 61829; British Standards Institution: Geneva, Switzerland, 1998. [Google Scholar]
- Spertino, F.; Sumaili Akilimali, J. Are manufacturing I-V mismatch and reverse currents key factors in large photovoltaic arrays? IEEE Trans. Ind. Electron. 2009, 56, 4520–4531. [Google Scholar] [CrossRef]
- Spertino, F.; Corona, F. Monitoring and checking of performance in photovoltaic plants: A tool for design, installation and maintenance of grid-connected systems. Renew. Energy 2013, 60, 722–732. [Google Scholar] [CrossRef]
- Spertino, F.; Corona, F.; di Leo, P. Limits of advisability for master-slave configuration of DC-AC converters in photovoltaic systems. IEEE J. Photovolt. 2012, 2, 547–554. [Google Scholar] [CrossRef]
- Tapakis, R.; Charalambides, A.G. Equipment and methodologies for cloud detection and classification: A review. Sol. Energy 2013, 95, 392–430. [Google Scholar] [CrossRef]
- De Miguel, A.; Bilbao, J.; Aguiar, R.; Kambezidis, H.; Negro, E. Diffuse solar irradiation model evaluation in the North Mediterranean Belt area. Sol. Energy 2001, 70, 143–153. [Google Scholar] [CrossRef]
- Erbs, D.G.; Kein, S.A.; Duffie, J.A. Estimation of the diffuse radiation fraction for hourly, daily and monthly-average global radiation. Sol. Energy 1982, 28, 293–302. [Google Scholar] [CrossRef]
- Orgill, J.F.; Hollands, K.G.T. Correlation equation for hourly diffuse radiation on a horizontal surface. Sol. Energy 1977, 19, 357–359. [Google Scholar] [CrossRef]
- Iqbal, M. Prediction of hourly diffuse solar radiation from measured hourly global radiation on a horizontal surface. Sol. Energy 1980, 24, 491–503. [Google Scholar] [CrossRef]
- Lorenz, E.; Heinemann, D. Prediction of solar irradiance and photovoltaic power. Compr. Renew. Energy 2012, 1, 239–292. [Google Scholar]
- Meteorological Service of Catalonia, Meteo.Cat. Available online: http://www.meteo.cat (accessed on 16 December 2015).
- The Weather Research & Forecasting Model. Available online: http://www.wrf-model.org (accessed on 16 December 2015).
- Cocina, V. Economy of Grid-Connected Photovoltaic Systems and Comparison of Irradiance/Electric Power Predictions vs. Experimental Results. Ph.D. Thesis, Politecnico di Torino, Torino, Italy, 2014. [Google Scholar]
- Sluiter, R. Interpolation methods for climate data. Literature review. KNMI (Koninklijk Nederlands Meteorologisch Instituut) intern rapport IR 2009-04. De Bilt, The Netherlands, 19 November 2008.
- Estupiñán, J.G.; Raman, S.; Crescenti, G.H.; Streicher, J.J.; Barnard, W.F. Effects of clouds and haze on UV-B radiation. J. Geophys. Res. 1996, 101, 16807–16816. [Google Scholar] [CrossRef]
- Craig, F.; Bohren, C.F.; Clothiaux, E.E. Fundamentals of Atmospheric Radiation; Wiley-VCH: Weinheim, Germany, 2006. [Google Scholar]
- Morf, H. A stochastic solar irradiance model adjusted on the Ångström-Prescott regression. Sol. Energy 2013, 87, 1–21. [Google Scholar] [CrossRef]
- Luoma, J.; Kleissl, J.; Murray, K. Optimal inverter sizing considering cloud enhancement. Sol. Energy 2012, 86, 421–429. [Google Scholar] [CrossRef]
- Wirth, G.; Lorenz, E.; Spring, A.; Becker, G.; Pardatscher, R.; Witzmann, R. Modeling the maximum power output of a distributed PV fleet. Progress Photovolt. Res. Appl. 2015, 23, 1164–1181. [Google Scholar] [CrossRef]
- Yordanov, G.H.; Midtgård, O.-M.; Saetre, T.O.; Nielsen, H.K.; Norum, L.E. Overirradiance (Cloud Enhancement) events at high latitudes. IEEE J. Photovolt. 2013, 3, 271–277. [Google Scholar] [CrossRef]
- Lorenz, E.; Hurka, J.; Heinemann, D.; Beyer, H.G. Irradiance forecasting for the power prediction of grid-connected photovoltaic systems. IEEE J. Sel. Top. Appl. Earth Obs. Remote Sens. 2009, 2, 2–10. [Google Scholar] [CrossRef]
- IEA (International Energy Agency). Photovoltaic and solar forecasting: State of the art. In Report IEA Photovoltaic Power Systems Programme (PVPS) T14; IEA: St. Ursen, Switzerland, 2013; Volume 1, pp. 1–36. [Google Scholar]
- Diagne, M.; David, M.; Lauret, P.; Boland, J.; Schmutz, N. Review of solar irradiance forecasting methods and a proposition for small-scale insular grids. Renew. Sustain. Energy Rev. 2013, 27, 65–76. [Google Scholar] [CrossRef]
- Nijhuis, M.; Rawn, B.; Gibescu, M. Prediction of power fluctuation classes for photovoltaic installations and potential benefits of dynamic reserve allocation. IET Renew. Power Gener. 2014, 8, 314–323. [Google Scholar] [CrossRef]
- Yan, X.; Francois, B.; Abbes, D. Operating power reserve quantification through PV generation uncertainty analysis of a microgrid. In Proceedings of the IEEE PowerTech, Eindhoven, The Netherlands, 29 June–2 July 2015.
- Brouwer, A.S.; van den Broek, M.; Seebregts, A.; Faaij, A. Impacts of large-scale intermittent renewable energy sources on electricity systems, and how these can be modeled. Renew. Sustain. Energy Rev. 2014, 33, 443–466. [Google Scholar] [CrossRef]
- Tabone, M.D.; Callaway, D.S. Modeling variability and uncertainty of photovoltaic generation: A hidden state spatial statistical approach. IEEE Trans. Power Syst. 2015, 30, 2965–2973. [Google Scholar] [CrossRef]
- Perez, R.; Taylor, M.; Hoff, T.; Ross, J.P. Reaching consensus in the definition of photovoltaics capacity credit in the USA: A practical application of satellite-derived solar resource data. IEEE J. Sel. Top. Appl. Earth Obs. Remote Sens. 2008, 1, 28–33. [Google Scholar] [CrossRef]
- Simoglou, C.K.; Biskas, P.N.; Bakirtzis, E.A.; Matenli, A.N.; Petridis, A.I.; Bakirtzis, A.G. Evaluation of the capacity credit of RES: The Greek case. In Proceedings of the IEEE PowerTech, Grenoble, France, 16–20 June 2013.
- Munoz, F.D.; Mills, A.D. Endogenous assessment of the capacity value of solar PV in generation investment planning studies. IEEE Trans. Sustain. Energy 2015, 6, 1574–1585. [Google Scholar] [CrossRef]
© 2015 by the authors; licensee MDPI, Basel, Switzerland. This article is an open access article distributed under the terms and conditions of the Creative Commons by Attribution (CC-BY) license (http://creativecommons.org/licenses/by/4.0/).
Share and Cite
Chicco, G.; Cocina, V.; Di Leo, P.; Spertino, F.; Massi Pavan, A. Error Assessment of Solar Irradiance Forecasts and AC Power from Energy Conversion Model in Grid-Connected Photovoltaic Systems. Energies 2016, 9, 8. https://doi.org/10.3390/en9010008
Chicco G, Cocina V, Di Leo P, Spertino F, Massi Pavan A. Error Assessment of Solar Irradiance Forecasts and AC Power from Energy Conversion Model in Grid-Connected Photovoltaic Systems. Energies. 2016; 9(1):8. https://doi.org/10.3390/en9010008
Chicago/Turabian StyleChicco, Gianfranco, Valeria Cocina, Paolo Di Leo, Filippo Spertino, and Alessandro Massi Pavan. 2016. "Error Assessment of Solar Irradiance Forecasts and AC Power from Energy Conversion Model in Grid-Connected Photovoltaic Systems" Energies 9, no. 1: 8. https://doi.org/10.3390/en9010008
APA StyleChicco, G., Cocina, V., Di Leo, P., Spertino, F., & Massi Pavan, A. (2016). Error Assessment of Solar Irradiance Forecasts and AC Power from Energy Conversion Model in Grid-Connected Photovoltaic Systems. Energies, 9(1), 8. https://doi.org/10.3390/en9010008
