Formulation and Analysis of an Approximate Expression for Voltage Sensitivity in Radial DC Distribution Systems
Abstract
:1. Introduction
2. Power Flow and Voltage Sensitivity Analysis for a DC Distribution System
2.1. Definition of the G-Bus Matrix
2.2. Power Flow Analysis in a DC Distribution System

2.3. Voltage Sensitivity Calculation in a DC Distribution System
3. Approximate Expression for the Voltage Sensitivity in a Radial DC Distribution System
3.1. Derivative of the General Voltage Equation
3.2. Formulation of an Approximate Expression for Voltage Sensitivity with Respect to Real Bus Power
3.3. Approximate Expression for Voltage Sensitivity with Respect to the Slack Bus Voltage
4. Verification of the Approximate Voltage Sensitivity Equation

| Bus No. | Bus Type | Load Capacity (kW) |
|---|---|---|
| 1 | Slack | 0 |
| 2 | Load | 0 |
| 3 | Load | 200 |
| 4 | Load | 150 |
| 5 | Load | 80 |
| 6 | Load | 120 |
| 7 | Load | 200 |
| 8 | Load | 90 |
| 9 | Load | 300 |
| 10 | Load | 0 |
| 11 | Load | 80 |
| 12 | Load | 60 |
| 13 | Load | 100 |
| From Bus | To Bus | Resistance (Ω) | Maximum Current (A) |
|---|---|---|---|
| 1 | 2 | 0.02940 | 1318 |
| 2 | 3 | 0.03460 | 760 |
| 2 | 5 | 0.03951 | 655 |
| 2 | 7 | 0.01358 | 1091 |
| 3 | 4 | 0.02195 | 655 |
| 5 | 6 | 0.06120 | 726 |
| 7 | 8 | 0.01730 | 760 |
| 7 | 10 | 0.03512 | 655 |
| 7 | 13 | 0.04390 | 655 |
| 8 | 9 | 0.01730 | 760 |
| 10 | 11 | 0.03073 | 655 |
| 10 | 12 | 0.03951 | 655 |
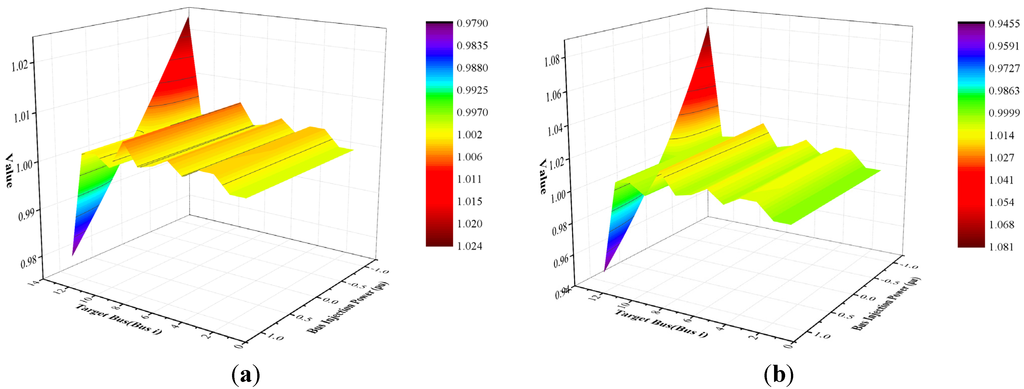
4.1. Verification of the Approximate Expression of Voltage Sensitivity with Regard to Bus Injected Power

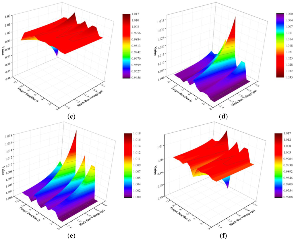
4.2. Verification of the Approximate Expression of Voltage Sensitivity with Regard to the Slack Bus Voltage

5. Analysis of Voltage Sensitivity
5.1. Analysis of the Approximate Expression of Voltage Sensitivity with Regard to Bus Injected Power





5.2. Analysis of the Approximate Expression for Voltage Sensitivity to Slack Bus Voltage






6. Conclusions
Acknowledgments
Author Contributions
Conflicts of Interest
Abbreviation
| Conductance of the line between bus i and bus j | |
| Conductance of a constant resistive load at bus i | |
| Number of buses in the DC distribution system | |
| The load power of constant power load at bus i | |
| Jacobian matrix for the DC power system | |
| Net bus real power (i.e., generation minus the load consumption) | |
| Element of an R-Bus matrix at i-th row and k-th column | |
| Set of line resistances located on the shortest path between the slack bus and bus i | |
| The sum of elements at the intersection of and |
References
- Li, F. AC vs. DC Distribution: Maximum Transfer Capability. In Proceedings of the 2008 IEEE Power and Energy Society General Meeting-Conversion and Delivery of Electrical Energy in the 21st Century, Pittsburgh, PA, USA, 20–24 July 2008; pp. 1–6.
- Hammerstrom, D.J. AC versus DC Distribution Systemsdid We Get It Right? In Proceedings of the 2007 IEEE Power Engineering Society General Meeting, Tampa, FL, USA, 24–28 June 2007; pp. 1–5.
- Byeon, G.; Yoon, T.; Oh, S.; Jang, G. Energy management strategy of the DC distribution system in buildings using the EV service model. IEEE Trans. Power Electron. 2013, 28, 1544–1554. [Google Scholar] [CrossRef]
- Sannino, A.; Postiglione, G.; Bollen, M.H. Feasibility of a DC network for commercial facilities. IEEE Trans. Ind. Appl. 2003, 39, 1499–1507. [Google Scholar] [CrossRef]
- Monti, A.; Colciago, M.; Conti, P.; Maglio, M.; Dougal, R. Integrated Simulation of Communication, Protection, and Power in MVDC Systems. In Proceedings of the IEEE Electric Ship Technologies Symposium (ESTS 2009), Baltimore, MD, USA, 20–22 April 2009; pp. 353–359.
- Salomonsson, D.; Sannino, A. Low-voltage DC distribution system for commercial power systems with sensitive electronic loads. IEEE Trans. Power Deliv. 2007, 22, 1620–1627. [Google Scholar] [CrossRef]
- Zahedi, B.; Norum, L.E. Modeling and simulation of all-electric ships with low-voltage DC hybrid power systems. IEEE Trans. Power Electron. 2013, 28, 4525–4537. [Google Scholar] [CrossRef]
- Ciezki, J.G.; Ashton, R.W. Selection and stability issues associated with a navy shipboard DC zonal electric distribution system. IEEE Trans. Power Deliv. 2000, 15, 665–669. [Google Scholar] [CrossRef]
- Emadi, A.; Khaligh, A.; Rivetta, C.H.; Williamson, G.A. Constant power loads and negative impedance instability in automotive systems: definition, modeling, stability, and control of power electronic converters and motor drives. IEEE Trans. Veh. Technol. 2006, 55, 1112–1125. [Google Scholar] [CrossRef]
- Mehrjerdi, H.; Lefebvre, S.; Saad, M.; Asber, D. A decentralized control of partitioned power networks for voltage regulation and prevention against disturbance propagation. IEEE Trans. Power Syst. 2013, 28, 1461–1469. [Google Scholar] [CrossRef]
- Ayres, H.; Freitas, W.; De Almeida, M.; Da Silva, L. Method for determining the maximum allowable penetration level of distributed generation without steady-state voltage violations. IET Gener. Trans. Distrib. 2010, 4, 495–508. [Google Scholar] [CrossRef]
- Flueck, A.J.; Gonella, R.; Dondeti, J.R. A new power sensitivity method of ranking branch outage contingencies for voltage collapse. IEEE Trans. Power Syst. 2002, 17, 265–270. [Google Scholar] [CrossRef]
- Greatbanks, J.; Popovic, D.; Begovic, M.; Pregelj, A.; Green, T. On Optimization for Security and Reliability of Power Systems with Distributed Generation. In Proceedings of the 2003 IEEE Power Tech Conference Proceedings, Bologna, Italy, 23–26 June 2003; Volume 1. [CrossRef]
- Kankanala, P.; Srivastava, S.C.; Srivastava, A.K.; Schulz, N.N. Optimal control of voltage and power in a multi-zonal MVDC shipboard power system. IEEE Trans. Power Syst. 2012, 27, 642–650. [Google Scholar] [CrossRef]
- Popović, D.; Greatbanks, J.; Begović, M.; Pregelj, A. Placement of distributed generators and reclosers for distribution network security and reliability. Int. J. Electr. Power Energy Syst. 2005, 27, 398–408. [Google Scholar] [CrossRef]
- Aghatehrani, R.; Kavasseri, R. Reactive power management of a DFIG wind system in microgrids based on voltage sensitivity analysis. IEEE Trans. Sustain. Energy 2011, 2, 451–458. [Google Scholar] [CrossRef]
- Wagner, W.R.; Keyhani, A.; Hao, S.; Wong, T.C. A rule-based approach to decentralized voltage control. IEEE Trans. Power Syst. 1990, 5, 643–651. [Google Scholar] [CrossRef]
- Ruiz, P.A.; Sauer, P.W. Voltage and reactive power estimation for contingency analysis using sensitivities. IEEE Trans. Power Syst. 2007, 22, 639–647. [Google Scholar] [CrossRef]
- Vournas, C. Voltage stability and controllability indices for multimachine power systems. IEEE Trans. Power Syst. 1995, 10, 1183–1194. [Google Scholar] [CrossRef]
- Yan, R.; Saha, T.K. Voltage variation sensitivity analysis for unbalanced distribution networks due to photovoltaic power fluctuations. IEEE Trans. Power Syst. 2012, 27, 1078–1089. [Google Scholar] [CrossRef]
- Christakou, K.; LeBoudec, J.; Paolone, M.; Tomozei, D.-C. Efficient computation of sensitivity coefficients of node voltages and line currents in unbalanced radial electrical distribution networks. IEEE Trans. Smart Grid 2013, 4, 741–750. [Google Scholar] [CrossRef]
- Choi, J.-C.; Jeong, H.-Y.; Choi, J.-Y.; Won, D.-J.; Ahn, S.-J.; Moon, S.-I. Voltage Control Scheme with Distributed Generation and Grid Connected Converter in a DC Microgrid. Energies 2014, 7, 6477–6491. [Google Scholar] [CrossRef]
- Hai, T.P.; Chung, I.-Y.; Kim, J.-Y.; Cho, J. Voltage Control in Low-Voltage Distribution System Based on Distribution Control. In Proceedings of the 2015 International Conference on Electrical Engineering and Computer Sciences, Hong Kong, China, 16–18 December 2015; pp. 1–6.
- Hamad, A.A.; Azzouz, M.A.; El-Saadany, E.F. Multiagent Supervisory Control for Power Management in DC Microgrids. IEEE Trans. Smart Grid 2015, PP, 1. [Google Scholar] [CrossRef]
- Institute of Electrical & Electronics Engineers. IEEE Std 399-1997: IEEE Recommended Practice for Industrial and Commercial Power Systems Analysis (The IEEE Brown Book); The Institute of Electrical and Electronics Engineers, Inc.: New York, NY, USA, 1998; pp. 461–462. [Google Scholar]
- Institute of Electrical & Electronics Engineers. IEEE 1709-2010: IEEE Recommended Practice for 1 kV to 35 kV Medium-Voltage DC Power Systems on Ships; The Institute of Electrical and Electronics Engineers, Inc.: New York, NY, USA, 2010; pp. 11–12. [Google Scholar]
© 2015 by the authors; licensee MDPI, Basel, Switzerland. This article is an open access article distributed under the terms and conditions of the Creative Commons Attribution license (http://creativecommons.org/licenses/by/4.0/).
Share and Cite
Jeong, H.-Y.; Choi, J.-C.; Won, D.-J.; Ahn, S.-J.; Moon, S.-i. Formulation and Analysis of an Approximate Expression for Voltage Sensitivity in Radial DC Distribution Systems. Energies 2015, 8, 9296-9319. https://doi.org/10.3390/en8099296
Jeong H-Y, Choi J-C, Won D-J, Ahn S-J, Moon S-i. Formulation and Analysis of an Approximate Expression for Voltage Sensitivity in Radial DC Distribution Systems. Energies. 2015; 8(9):9296-9319. https://doi.org/10.3390/en8099296
Chicago/Turabian StyleJeong, Ho-Yong, Jong-Chan Choi, Dong-Jun Won, Seon-Ju Ahn, and Seung-il Moon. 2015. "Formulation and Analysis of an Approximate Expression for Voltage Sensitivity in Radial DC Distribution Systems" Energies 8, no. 9: 9296-9319. https://doi.org/10.3390/en8099296
APA StyleJeong, H.-Y., Choi, J.-C., Won, D.-J., Ahn, S.-J., & Moon, S.-i. (2015). Formulation and Analysis of an Approximate Expression for Voltage Sensitivity in Radial DC Distribution Systems. Energies, 8(9), 9296-9319. https://doi.org/10.3390/en8099296
