Fast Pyrolysis of Four Lignins from Different Isolation Processes Using Py-GC/MS
Abstract
:1. Introduction
2. Results and Discussion
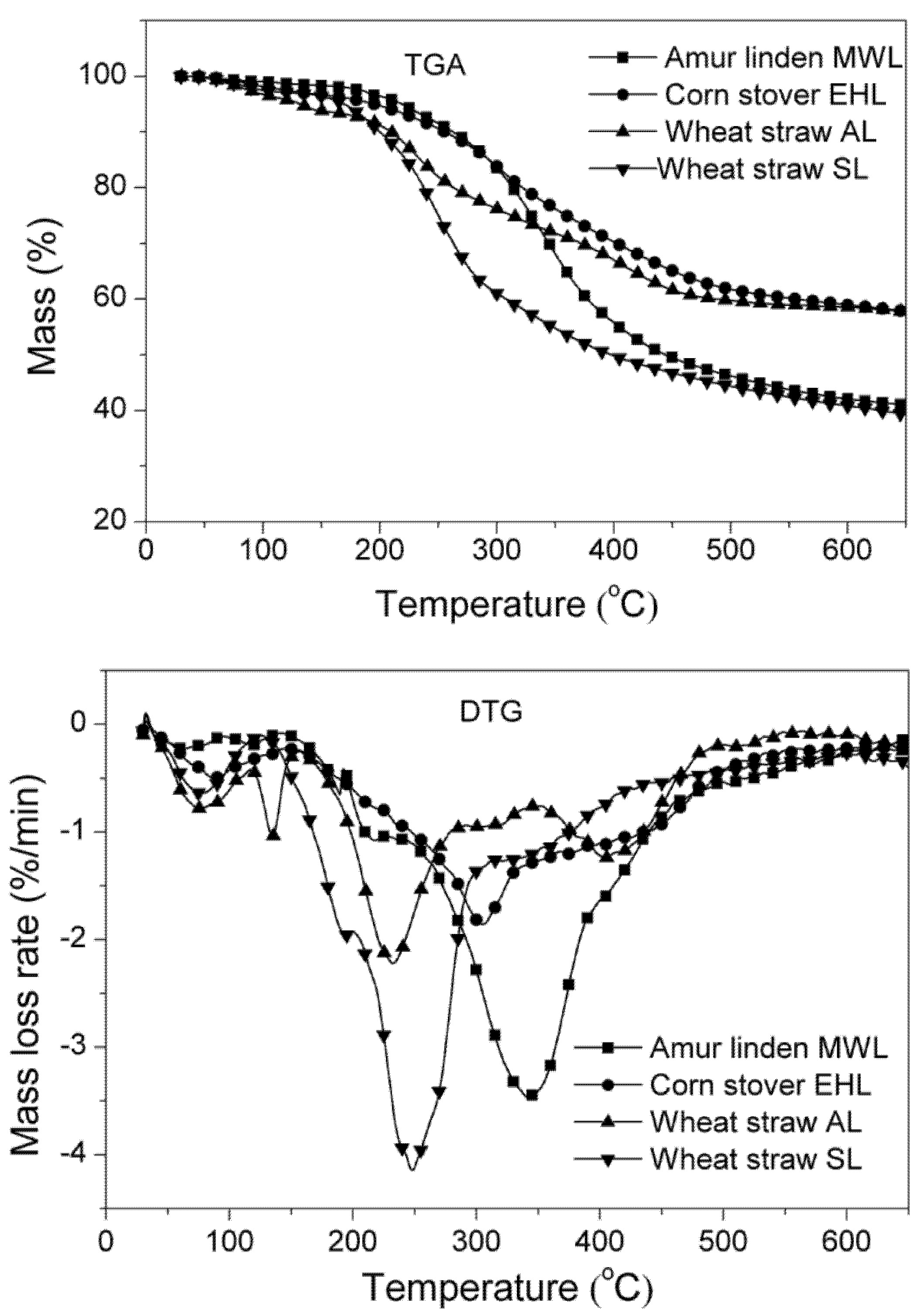
2.1. Thermogravimetric Analysis

| Lignin a | Tmax b (°C) | MDR c (°C/min) | Residue (%) |
|---|---|---|---|
| MWL | 342 | 3.5 | 41.0 |
| EHL | 305 | 1.9 | 57.8 |
| AL | 232 | 2.2 | 57.6 |
| SL | 248 | 4.1 | 39.2 |
2.2. FTIR Analysis

| Wave number (cm−1) | Band origin |
|---|---|
| 2932, 2835 | C–H stretching vibrations of alkyls |
| 1710 | C=O non-conjugate stretching vibration |
| 1600 | C=O stretching vibration conjugated to the aromatic ring, aromatic ring vibration |
| 1510 | Aromatic ring vibrations |
| 1455 | C-H bending vibration, asymmetric vibration of CH3 and CH2 |
| 1420 | Aromatic ring vibrations and C–H in plane deformation |
| 1322 | Syringyl ring and C–O stretching vibration |
| 1270 | Guaiacyl ring and C–O stretching vibration |
| 1210 | C–C and C–O stretching vibrations |
| 1148 | C–H in plane deformations of guaiacyl units |
| 1108 | C–H in plane deformations of syringyl units |
| 1028 | C–H in plane deformation of aromatic ring, S=O symmetrical stretching vibration |
| 910 | C–H out-of-plane deformation of aromatic ring |
| 836 | C–H out-of-plane in positions 2 and 6 of syringyl units |
| 827 | C–H out-of-plane in positions 2, 5 and 6 of guaiacyl units |
2.3. Results of Py-GC/MS
2.3.1. Pyrolysis of the Four Lignins

2.3.2. The Effects of Pyrolysis Temperature and Time


2.4. Comparability between TGA and Py-GC/MS
| Lignin sample | Char yield (%) | |
|---|---|---|
| Py-GC/MS | TGA | |
| MWL | 52.2 | 49.5 |
| EHL | 66.7 | 65.1 |
| AL | 62.7 | 61.7 |
| SL | 45.2 | 46.7 |
3. Experimental Section
3.1. Materials
| Analyses | Lignin a | |||
|---|---|---|---|---|
| MWL | EHL | AL | SL | |
| Average Mol. Wt. | 18,000 | 1,200 | 9,000 | 5,400 |
| Ash content (%) | <0.1 | <3.0 | 13.1 | 11.8 |
| Particle size (Mesh) | 120 | 120 | 120 | 120 |
| Residual sugar (%) | <0.5 | < 5.0 | UT b | UT b |
| C (%) | 58.1 | 60.5 | 31.0 | 19.4 |
| H (%) | 5.7 | 6.5 | 4.4 | 3.2 |
| O (%) c | 35.7 | 31.9 | 64.0 | 71.0 |
| N (%) | 0.5 | 1.1 | 0.6 | 0.8 |
| S (%) | 0 | 0 | 0 | 5.6 |
| C/H ratio d | 0.9 (1.0) | 0.9 (1.4) | 0.6 (0.7) | 0.5 (0.8) |
| O/C ratio e | 0.6 (6.4) | 0.5 (3.1) | 2.1 (5.1) | 3.7 (11.3) |
3.2. Methods
4. Conclusions
Acknowledgments
Author Contributions
Conflicts of Interest
References
- Butler, E.; Devlin, G.; Meier, D.; McDonnell, K. A rellview of recent laboratory research and commercial developments in fast pyrolysis and upgrading. Renew. Sust. Energ. Rev. 2011, 15, 4171–4186. [Google Scholar] [CrossRef]
- Zhang, Q.; Chang, J.; Wang, T.J.; Xu, Y. Review of biomass pyrolysis oil properties and upgrading research. Energy Convers. Manag. 2007, 48, 87–92. [Google Scholar] [CrossRef]
- Chakar, F.S.; Ragauskas, A.J. Review of current and future softwood kraft lignin process chemistry. Ind. Crop. Prod. 2004, 20, 131–141. [Google Scholar] [CrossRef]
- Mu, W.; Ben, H.; Ragauskas, A.; Deng, Y. Lignin Pyrolysis Components and Upgrading-Technology Review. Bioenerg. Res. 2013, 6, 1183–1204. [Google Scholar] [CrossRef]
- Windt, M.; Meier, D.; Marsman, J.H.; Heeres, H.J.; de Koning, S. Micro-pyrolysis of technical lignins in a new modular rig and product analysis by GC-MS/FID and GC×GC-TOFMS/FID. J. Anal. Appl. Pyrolysis 2009, 85, 38–46. [Google Scholar] [CrossRef]
- Brebu, M.; Cazacu, G.; Chirila, O. Pyrolysis of lignin-a potential method for obtaining chemicals and/or fuels. Cellul. Chem. Technol. 2011, 45, 43–50. [Google Scholar]
- Pittman, C.U., Jr.; Mohan, D.; Eseyin, A.; Li, Q.; Ingram, L.; Hassan, E.B.M.; Mitchell, B.; Guo, H.; Steele, P.H. Characterization of bio-oils produced from fast pyrolysis of corn stalks in an auger reactor. Energy Fuels 2012, 26, 3816–3825. [Google Scholar] [CrossRef]
- Mohan, D.; Pittman, C.U., Jr.; Steele, P.H. Pyrolysis of wood/biomass for bio-oil: A critical review. Energy Fuels 2006, 20, 848–889. [Google Scholar] [CrossRef]
- Zhang, M.; Resende, F.L.P.; Moutsoglou, A.; Raynie, D.E. Pyrolysis of lignin extracted from prairie cordgrass, aspen, and Kraft lignin by Py-GC/MS and TGA/FTIR. J. Anal. Appl. Pyrolysis 2012, 98, 65–71. [Google Scholar] [CrossRef]
- Patwardhan, P.R.; Brown, R.C.; Shanks, B.H. Understanding the fast pyrolysis of lignin. ChemSusChem 2011, 4, 1629–1636. [Google Scholar] [CrossRef] [PubMed]
- Shen, D.K.; Gu, S.; Luo, K.H.; Wang, S.R.; Fang, M.X. The pyrolytic degradation of wood-derived lignin from pulping process. Bioresour. Technol. 2010, 101, 6136–6146. [Google Scholar] [CrossRef] [PubMed]
- Sharma, R.K.; Wooten, J.B.; Baliga, V.L.; Lin, X.H.; Chan, W.G.; Hajaligol, M.R. Characterization of chars from pyrolysis of lignin. Fuel 2004, 83, 1469–1482. [Google Scholar] [CrossRef]
- Lou, R.; Wu, S.B.; Lv, G.J. Effect of conditions on fast pyrolysis of bamboo lignin. J. Anal. Appl. Pyrolysis 2010, 89, 191–196. [Google Scholar] [CrossRef]
- Wang, S.R.; Wang, K.G.; Liu, Q.; Gu, Y.L.; Luo, Z.Y.; Cen, K.F.; Fransson, T. Comparison of the pyrolysis behavior of lignins from different tree species. Biotechnol. Adv. 2009, 27, 562–567. [Google Scholar] [CrossRef] [PubMed]
- Obst, J.R. Analytical pyrolysis of hardwood and softwood lignins and its use in lignin-type determination of hardwood vessel elements. J. Wood Chem. Technol. 1983, 3, 377–397. [Google Scholar] [CrossRef]
- Pandey, M.P.; Kim, C.S. Lignin depolymerization and conversion: A review of thermochemical Methods. Chem. Eng. Technol. 2011, 34, 29–41. [Google Scholar] [CrossRef]
- Beis, S.H.; Mukkamala, S.; Hill, N.; Joseph, J.; Baker, C.; Jensen, B.; Stemmler, E.A.; Wheeler, M.C.; Frederick, B.G.; Heiningen, A.V.; et al. Fast pyrolysis of lignins. BioResources 2010, 5, 1408–1424. [Google Scholar]
- Nowakowski, D.J.; Bridgwater, A.V.; Elliott, D.C.; Meier, D.; de Wild, P. Lignin fast pyrolysis: Results from an international collaboration. J. Anal. Appl. Pyrolysis 2011, 88, 53–72. [Google Scholar] [CrossRef]
- Jiang, G.Z.; Nowakowski, D.J.; Bridgwater, A.V. A systematic study of the kinetics of lignin pyrolysis. Thermochim. Acta 2010, 498, 61–66. [Google Scholar] [CrossRef]
- Jakab, E.; Faix, O.; Till, F.; Szekely, T. Thermogravimetry/mass spectrometry study of six lignins within the scope of an international round robin test. J. Anal. Appl. Pyrolysis 1995, 35, 167–179. [Google Scholar] [CrossRef]
- Wang, J.; Zhang, M.X.; Chen, M.Q.; Min, F.F.; Zhang, S.P.; Ren, Z.W.; Yan, Y.J. Catalytic effects of six inorganic compounds on pyrolysis of three kinds of biomass. Thermochim. Acta 2006, 444, 110–114. [Google Scholar] [CrossRef]
- Amen-Chen, C.; Pakdel, H.; Roy, C. Production of monomeric phenols by thermochemical conversion of biomass: A review. Bioresour. Technol. 2001, 79, 277–299. [Google Scholar] [CrossRef]
- Zakzeski, J.; Bruijnincx, P.C.A.; Jongerius, A.L.; Weckhuysen, B.M. The catalytic valorization of lignin for the production of renewable chemicals. Chem. Rev. 2010, 110, 3552–3599. [Google Scholar] [CrossRef] [PubMed]
- Lou, R.; Wu, S.B.; Lv, G.J. Fast pyrolysis of enzymatic/mild acidolysis lignin from moso bamboo. BioResources 2010, 5, 827–837. [Google Scholar]
- Brebu, M.; Tamminen, T.; Spiridon, I. Thermal degradation of various lignins by TG-MS/FTIR and Py-GC-MS. J. Anal. Appl. Pyrolysis 2013, 104, 531–539. [Google Scholar] [CrossRef]
- Ben, H.; Ragauskas, A.J. NMR Characterization of Pyrolysis Oils from Kraft Lignin. Energy Fuels 2011, 25, 2322–2332. [Google Scholar] [CrossRef]
- Björkmann, A. Studies on finely divided wood. Part 1: Extraction of lignin with neutral solvents. Svensk Papperstidn 1957, 59, 477–485. [Google Scholar]
© 2015 by the authors; licensee MDPI, Basel, Switzerland. This article is an open access article distributed under the terms and conditions of the Creative Commons Attribution license (http://creativecommons.org/licenses/by/4.0/).
Share and Cite
Lin, X.; Sui, S.; Tan, S.; Pittman, C.U., Jr.; Sun, J.; Zhang, Z. Fast Pyrolysis of Four Lignins from Different Isolation Processes Using Py-GC/MS. Energies 2015, 8, 5107-5121. https://doi.org/10.3390/en8065107
Lin X, Sui S, Tan S, Pittman CU Jr., Sun J, Zhang Z. Fast Pyrolysis of Four Lignins from Different Isolation Processes Using Py-GC/MS. Energies. 2015; 8(6):5107-5121. https://doi.org/10.3390/en8065107
Chicago/Turabian StyleLin, Xiaona, Shujuan Sui, Shun Tan, Charles U. Pittman, Jr., Jianping Sun, and Zhijun Zhang. 2015. "Fast Pyrolysis of Four Lignins from Different Isolation Processes Using Py-GC/MS" Energies 8, no. 6: 5107-5121. https://doi.org/10.3390/en8065107
APA StyleLin, X., Sui, S., Tan, S., Pittman, C. U., Jr., Sun, J., & Zhang, Z. (2015). Fast Pyrolysis of Four Lignins from Different Isolation Processes Using Py-GC/MS. Energies, 8(6), 5107-5121. https://doi.org/10.3390/en8065107
