Next Article in Journal
Strategies for Reducing the Start-up Operation of Microbial Electrochemical Treatments of Urban Wastewater
Next Article in Special Issue
Generation of Hydrogen, Lignin and Sodium Hydroxide from Pulping Black Liquor by Electrolysis
Previous Article in Journal
Characteristics of Biochar Obtained by Hydrothermal Carbonization of Cellulose for Renewable Energy
 
 
Font Type:
Arial Georgia Verdana
Font Size:
Aa Aa Aa
Line Spacing:
Column Width:
Background:
Article

Solar Dryer Application for Olive Oil Mill Wastes

by
Irene Montero
*,
María Teresa Miranda
,
Francisco José Sepúlveda
,
José Ignacio Arranz
,
Carmen Victoria Rojas
and
Sergio Nogales
Department of Mechanical Engineering, Energy and Materials, Industrial Engineering School, University of Extremadura, Av. Elvas s/n, 06006 Badajoz, Spain
*
Author to whom correspondence should be addressed.
Energies 2015, 8(12), 14049-14063; https://doi.org/10.3390/en81212415
Submission received: 9 September 2015 / Revised: 4 December 2015 / Accepted: 7 December 2015 / Published: 12 December 2015
(This article belongs to the Special Issue Organic Waste/Resources to Energy and Value added Product)

Abstract

:
Global waste production has raised recently due to numerous agricultural and industrial activities. Among other actions devoted to waste reduction, revaluation seems to be the most advantageous one from an environmental and economic point of view. In the olive oil sector, by-product management (namely olive pomace, olive mill wastewater, and sludge residue) poses serious problems for companies, with the energy use of these wastes being a feasible option to solve these problems. Due to their high moisture content, drying constitutes the main stage for a possible bio-fuel conversion. This research work deals with the analysis of drying for the three main wastes from olive oil by using a prototype dryer. This equipment has different working regimes depending on the kind of convection (natural or forced for passive and active mode, respectively), the incidence of solar radiation on the product (indirect or mixed type) and the use of an additional system for energy supply (hybrid type). From the results, it could be said that all the wastes were suitable for solar drying. However, drying conditions were different for each case. Olive pomace and olive mill wastewater showed promising results for solar drying application in mixed active mode. Concerning sludge residue, its special physical structure could employ the use of turners for drying, in order to improve heat transfer to the product. Moreover, hybrid active mode enabled a considerable reduction in drying time, being an aspect to take into account for its use during low solar radiation or at night time.

1. Introduction

In a global context where waste production increases constantly, its revaluation is becoming more and more important, from an environmental and economic point of view, implementing new measures and procedures that ensure the correct use of by-product recycling is necessary. In order to attain this goal, the use of wastes as fuels or other ways for energy generation is an essential part of sustainable strategies.
The olive oil industry is very important in the worldwide economy. Mediterranean countries produce over 98% of olive oil in the world (around 2.5 million tons per year), increasing 40% in the last decade [1].
Spain is the largest olive oil producer and exporter in the world (48%) [2], way ahead of Italy, which ranks second (21%). Some regions, such as Andalusia, Castilla-La Mancha and Extremadura, located in the south of Spain, represent 93% of national production, with over 2 million hectares of olive grove.
For olive processing, two techniques are currently used: the traditional system or three-phase extraction system, with which by-products such olive pomace (OP) and olive mill wastewater (OMW) are obtained; and the two-phase extraction system, whose main waste is sludge residue (SLG). The difference in material balance for these procedures might be summarized in water addition reduction in two-phase extraction system, with the resulting increase in solid waste generation (SLG) and the considerable reduction in liquid waste (OMW). Material balances of the oil mill by-products resulting are shown in Table 1 [3].
Table 1. The input-output mass balance (kg) of the olive oil process.
Table 1. The input-output mass balance (kg) of the olive oil process.
Olive ProcessingInput ProductsOutput
PomaceWastewaterOil
A three-phase processOlive paste100---
Process water90---
Total1906211513
A two-phase processOlive paste100---
Process water15---
Total115871513
Olive pomace is a solid waste composed of pulp, stone, waste oil and water in varying proportions depending on the technology. Usually, olive pomace is processed again by extractors in order to obtain waste oil, generating a new waste with less moisture and higher heating value that is suitable for biofuel use [4]. Olive mill wastewater is a liquid waste that comes from water, contained in olives itself and washing process. It is blackish and usually contains small quantities of oil and pulp. It constitutes a very pollutant waste, due to its high BOD (biochemical oxygen demand) and COD (chemical oxygen demand) levels [5]. Sludge residue is a semi-solid compound made of olive mill wastewater and olive pomace, produced in high quantities and causing environmental impact. It has high moisture percentage, which makes suitable transport and storage systems necessary.
Even though two-phase technology aimed to reduce environmental problems concerning traditional systems, its massive implementation has caused a considerable increase in sludge residue production.
In this regard, the management of the above-mentioned wastes implies a serious problem for olive oil industries, because of their high environmental pollution and the expensiveness of their treatment [6]. Waste revaluation, along with its positive effect on the environment, would enable significant operating and economic improvements for olive oil companies.
Among the different treatments and removal techniques of these wastes (anerobic digestion, composting, centrifugation, floculation, etc.), their use as a soil improver, with or without composting, is included among the most used options in practice, because of their beneficial effects, simplicity, and low costs [7,8]. Thermal procedures also represent one of the most used options in practice, with drying as the first treatment in order to revaluate wastes as biofuels.
Drying kinetics of wastes in olive oil industry has been studied by several researchers, by using fluidized beds [9], convective dryers [10], microwave-convective dryers [11] and solar dryers of different kinds (passive, active and hybrid) [12,13,14].
Solar drying is considered a technique with high potential for by-product reuse. Although solar drying has been used for food products drying, its use for wet by-products has several advantages.
Passive mode is the simplest kind of operation, with the lowest initial investment. However, active mode enables more independence from environmental conditions, allowing a more effective drying process. Finally, hybrid mode makes higher variable control possible, as well as it works with low isolation [15].
In the south of Spain, the use of renewable energy sources, such as solar energy, plays an important role in the drying of these kind of wastes, due to the concurrence of two important factors: the abundance of olive oil industries (availability of by-products) in areas with the highest solar radiation in Europe.
Currently, one of the most important options for energy use of biomass wastes consists of pelletizing and its subsequent application in industrial boilers. There are some research works that analyze densification of wastes from the olive oil industry, with satisfactory results, although their high moisture could imply high costs and therefore a problem to be solved [16,17]. Drying kinetics studies might contribute to reducing this cost and improving the efficiency of pelletizing.
For all those reasons, the use of solar drying for by-products from the olive oil industry might imply a viable option in order to revaluate wastes for their use as bio-fuels.
In the present research work, different kinds of solar drying are analyzed for the three above-mentioned wastes, with the aim of assessing their possible technical implementation.

2. Materials and Methods

The analyzed wastes came from two oil mills located in Extremadura region, in the south-west of Spain. OP and OMW samples were obtained from a three-phase extraction system, whereas SLG samples were obtained from a two-phase extraction system. Table 2 shows the physical-energy characterization for the wastes.
Table 2. Physical-energy characterization. wb, wet basis; db, dry basis.
Table 2. Physical-energy characterization. wb, wet basis; db, dry basis.
PropertyWastes
Olive Pomace (OP)Olive Mill Wastewater (OMW)Sludge Residue (SLG)
M (% wb)50–5888–9268–72
BD (kg/m3 wb)70310221065
VM (% db)83.5078.2780.18
FC (% db)12.1711.4115.58
Ash (% db)4.3310.324.24
HHV (MJ/kg db)21.1825.1428.14
LHV (MJ/kg db)17.267.5022.26
Whereas moisture is the main parameter that was analyzed in this paper, it was interesting to include some of the most significant physical-energy properties of the wastes, especially when one of the objectives is the energy use of by-products.
The dryer, described in full detail by Montero et al. [18] and installed in University of Extremadura (Badajoz, Spain), has a flat-plate solar collector, a drying chamber for two trays with product, an energy supply system and a chimney for exhaust air, as well as different auxiliary elements for operating, control, and measuring. The dryer works as follows: the collector picks up solar radiation, heating the air and reducing its relative humidity. Afterwards, the air enters the drying chamber, where it is put in contact with the products and reduces their moisture. Finally, the air goes out through the chimney with less temperature and higher relative humidity.
Figure 1 shows the equipment: 1—temperature and relative humidity thermocouple; 2—speed sensor; 3—product temperature thermocouple; 4—resistors; 5—balance; 6—fan; 7—folding hood; 8—movement wheels; 9—drying tray; 10—lock system; 11—insulation; 12—absorbing surface; 13—polycarbonate; 14—folding glass doors; 15—control panel; 16—chimney; 17—support for radiation simulator; 18—weather station; 19—transmission and control system; 20—personal computer. The equipment has six working regimes (Table 3), depending on the kind of convection (natural or forced for passive or active mode, respectively), the absence or incidence of solar radiation on the product (indirect or mixed types, respectively) and the use of additional systems to supply energy (hybrid type).
In passive mode, the air moves naturally as a consequence of density variation, due, in turn, to temperature changes. However, in active mode, forced convection is provoked by the use of a fan located in the upper part of the drying chamber.
On the other hand, indirect, mixed and hybrid types are based on different combinations of the following options: air heating in the collector, direct solar radiation on the product and the use of resistors in order to improve air heating.
In active mode, the speed of the fan was fixed to generate two different air mass flows, q1 and q2, with 0.22 and 0.24 kg/s, respectively. In previous studies, devoted to startup dryer optimization [12], the first value was considered to be optimum for active mode operation in this equipment, reaching the highest air temperature within the drying chamber.
Figure 1. Solar dryer.
Figure 1. Solar dryer.
Energies 08 12415 g001
Table 3. Operating modes of the solar dryer. √, on; -, off.
Table 3. Operating modes of the solar dryer. √, on; -, off.
ModeTypePre-HeatingSolar RadiationResistors
PassiveIndirect--
Mixed-
Hybrid
ActiveIndirect--
Mixed-
Hybrid
The assays with hybrid type were carried out with the two 1-kW resistors working continuously.
Different assays were done for each working type of the equipment. In spite of climatological factors, the assays were carried out under similar ambient conditions, as much as possible (from May to September), monitoring the process by using a meteorological station (WatchDog Data Logger 450, Spectrum Technologies, Inc., Aurora, IL, USA). The assays were done in triplicate for each waste and operating type.
For all cases, 2 kilograms of each product was uniformly placed (forming 20–40 mm layers) on stainless steel trays (perforated for OP and non-perforated for OMW and SLG), monitoring certain variables such as weight loss, dry air temperature, relative humidity in air, product temperature, global radiation on the horizontal surface of the collector, and wind speed, among others.
The assays lasted until moisture in products was 20 ± 0.50 (% wb), for all cases.
Moisture determination was carried out through the following equations:
M   ( wb ) = m w m s + m w 100   ( %   wb )
M   ( db ) = m w m s 100   ( %   db )
Given the different moisture levels in the three wastes, and with the aim of comparing drying kinetics regardless of initial moisture, in the present work moisture ratio (MR), defined as the quotient between moisture content at any time (Mt) and initial moisture (M0), was used, according to Equation (3).
M R = M t M 0
Finally, efficiency levels depending on the operating mode (passive, mixed active, and hybrid active) of the dryer, were measured by Equations (4)–(6), respectively [19,20].
η = ( W 0 W t ) L I t A c
η = ( W 0 W t ) L I t A c + E f
η = ( W 0 W t ) L ( I t A c + E f ) + E a
Data corresponding to drying kinetics of OP were analyzed by Montero et al. [18], being the basis for the present research work.

3. Results and Discussion

3.1. Initial Tests

Drying is a fundamental stage for waste revaluation as a biofuel. High moisture content implies that some heat from combustion is used to evaporate water in biofuels, reducing the useful energy. Lower moisture allows a higher flame temperature (with better temperature gradients and heat transfer), as well as shorter residence time in the combustion chamber [21].
Therefore, combustion yield in biomass boilers increases when moisture decreases. The drying process contributes to reducing transport costs [22].
Energy requirements for waste and by-product drying depends on their nature, and it can be assessed by measuring initial and final moisture. In addition, each product has a certain drying rate and maximum temperature ranges (if it is used in food) [15].
Drying kinetics of by-products is dependent on several parameters, both external (ambient temperature and humidity, solar radiation, etc.) and internal (temperature and humidity inside the drying chamber, flow mass, and speed of air, among others).
An increase in dry air temperature, with the subsequent decrease in relative humidity, causes a considerable reduction in drying time [23]. In turn, concerning solar dryers, an increase in solar radiation causes higher temperatures in drying chambers and, therefore, shorter operating times. Finally, the increase in air speed through the product reduces drying ratio, with a limit value for this speed from which drying times do not decrease significantly [24].
The first assays were carried out in active mode (forced convection, q1), with the aim of comparing the suitability of hybrid and indirect types. The obtained results are shown in Figure 2 and Figure 3.
In this way, a significant improvement in drying times can be observed when mixed type was used for the three by-products (43%, 64% and 25% for OP, OMW and SLG, respectively). Therefore, this option is preferable for those wastes set aside for energy use, whose quality parameters are not important (for instance, products for food) [25,26,27].
Figure 2. Moisture ratio (MR) (db) indirect active mode.
Figure 2. Moisture ratio (MR) (db) indirect active mode.
Energies 08 12415 g002
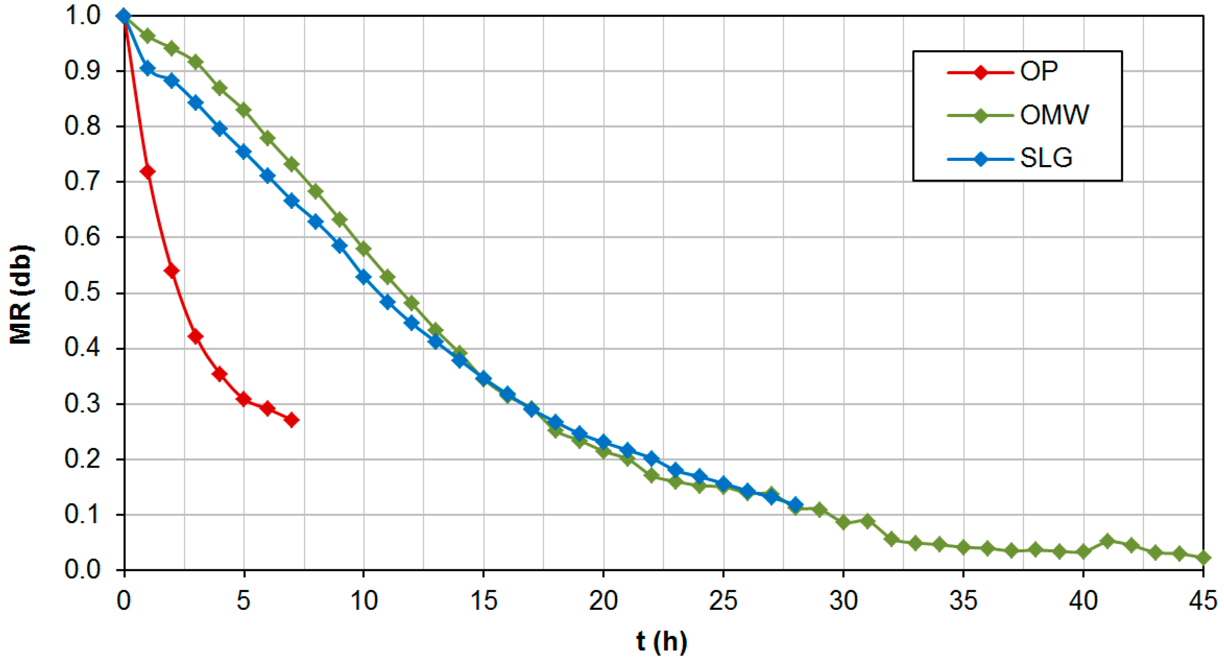
Figure 3. MR (db) mixed active mode.
Figure 3. MR (db) mixed active mode.
Energies 08 12415 g003
Even though OMW and SLG wastes showed similar results for indirect active mode, there were some differences for mixed type. After 5 h of the assay and a moisture ratio value of 0.6 (db), a reduction in drying time for OMW waste can be observed, despite its initial high moisture. This circumstance could be due to heterogeneity and the particular physical structure of SLG (that is a mixture of several products) that promotes sugar caramelization and the subsequent ball formation that occludes water, avoiding total water evaporation [28].
Once the advantages of mixed type versus indirect types were observed, a comparison between passive and active operating modes was carried out. Thus, Figure 4 shows moisture ratio evolution over time for mixed passive mode.
Figure 4. MR (db) mixed passive mode.
Figure 4. MR (db) mixed passive mode.
Energies 08 12415 g004
Shorter drying times were obtained for OP, although these values were higher than the obtained ones for mixed active mode (Figure 3). SLG showed shorter drying times than OMW (even though it experienced reabsorption at the 22nd hour of the assay), being the opposite for mixed active mode. This could be due to the lack of control over operating conditions in the chamber for natural convection, which made the drying process worse for OMW (on account of its particular physical structure) and better for SLG.
In this way, through active mode, a considerable reduction in drying time (compared to passive mode) was obtained, improving values for OMW wastes as this situation increased moisture removal.
In all cases, drying time was shortened, in mixed active mode, between 25% and 62%.

3.2. Influence of Air Mass Flow

Figure 5, Figure 6 and Figure 7 show the influence of air mass flow on drying, comparing moisture ratio for the different operating modes of the dryer: mixed passive, mixed active (q1 and q2), and hybrid active (q1 and q2).
Figure 8. Temperature variation for OP.
Figure 8. Temperature variation for OP.
Energies 08 12415 g008
Figure 9. Temperature variation for OMW.
Figure 9. Temperature variation for OMW.
Energies 08 12415 g009
Figure 10. Temperature variation for SLG.
Figure 10. Temperature variation for SLG.
Energies 08 12415 g010
On the other hand, although the former figures have shown moisture ratio and temperature evolution for the products in the lower tray of the dryer, the results obtained for the assays with two trays are also shown, with the aim of observing how the increase in relative humidity in the air (after going through the first tray) reduced its drying capacity when going through the second one.
Figure 11, Figure 12 and Figure 13 show moisture ratio for the wastes depending on their location in the dryer (lower tray, lt, and top tray, tt). For 20% final moisture (wb), fixed as the limit for a product on the lower tray, the corresponding final moisture for the same waste on the top tray was considerably higher, for all the wastes and operating modes, in a range between 15%–50%. In turn, drying times increased (two to three times longer) on the top tray. Similar results were obtained by several authors for grape, fig, pea, tomato and onion drying [31] or rice [32].
Figure 11. MR (db) for different OP trays.
Figure 11. MR (db) for different OP trays.
Energies 08 12415 g011
Figure 12. MR (db) for different OMW trays.
Figure 12. MR (db) for different OMW trays.
Energies 08 12415 g012
Figure 13. MR (db) for different SLG trays.
Figure 13. MR (db) for different SLG trays.
Energies 08 12415 g013
In all cases, longer drying times were obtained in passive mode. Depending on the operating mode, the drying times were around 2–8 h for OP, 11–42 h for OMW, and 10–28 h for SLG.
In mixed and hybrid active modes, air mass flow was above the optimum value (q1), not implying a substantial improvement of drying times, because of air temperature reduction in the chamber, decreasing its drying effectiveness [24,29]. In fact, drying times for OP and OMW with higher air mass flow were longer than the initially obtained ones. On the contrary, an increase in mass air flow contributed to faster drying in the case of SLG.
This circumstance was also observed in hybrid active mode, although air temperature in the collector rose due to the use of resistors. SLG drying was, again, shorter as air flow increased.
Therefore, and with the different drying behavior that was observed, a suitable and accurate adjustment of air mass flow for each waste is vital in order to select the optimum solar drying system [26]. This fact pointed out the importance of temperature and air mass flow control in solar drying systems, depending on the waste to be dried [18].
Another important parameter for drying kinetics is product temperature. If the moisture ratio is known for several temperature values, simulation models can estimate product temperature from drying kinetics or vice versa. Moreover, through this temperature value it is possible to obtain basic parameters in drying evolution of materials, such as convective rates.
Figure 8, Figure 9 and Figure 10 show product temperature changes, measured during the assays of the different drying modes: mixed passive, mixed active, and hybrid active modes, the two latter with q1 mass flow. For all the by-products and modes, average air temperature values at the entrance to the chamber were 46, 37 and 57 °C, respectively.
Figure 5. Influence of air mass flow on olive pomace (OP) drying.
Figure 5. Influence of air mass flow on olive pomace (OP) drying.
Energies 08 12415 g005
Figure 6. Influence of air mass flow on olive mill wastewater (OMW) drying.
Figure 6. Influence of air mass flow on olive mill wastewater (OMW) drying.
Energies 08 12415 g006
Figure 7. Influence of air mass flow on sludge residue (SLG) drying.
Figure 7. Influence of air mass flow on sludge residue (SLG) drying.
Energies 08 12415 g007
For OP waste, product temperature was similar to those found in mixed passive and mixed active modes, at around 35 °C for natural and forced convection, respectively (due to the use of holed trays in this case). However, in OMW and SLG’s case, the temperature found for passive mode was higher than for active mode, being about 35 and 30 °C for OMW and 43 and 35 °C for SLG, respectively. As expected, the highest product temperature values were obtained for hybrid active mode, with approximately 65 °C for OP, 50 °C for SLG, and 45 °C for OMW. In this way, in this kind of dryers, the use of an auxiliary energy source is important, in order to reduce the disadvantages related to direct solar drying (such as climatological changes, difficulty at controlling the process, long drying times, etc.) [30], obtaining, in many cases, over 50% reduction in drying times.
Concerning product temperature, the recorded values on the lower tray were higher than the ones obtained on the top tray in all cases, within a range of 2%–10%.

3.3. Influence of External Parameters

The increase in drying air temperature and its relative humidity decrease cause considerable reductions in drying times [23]. Moreover, temperature and humidity depend on environment variables. In order to analyze moisture ratio reduction concerning temperature and relative humidity variations in drying air, two scenarios (a and b, with a being the most favorable one for drying) were studied within the drying chamber, using the average values for these variables that were shown in Table 4. Defining Section 1 and Section 2 as the outside and inside of the drying chamber, respectively, Figure 14, Figure 15 and Figure 16 show the MR evolution.
Thus, for the above-mentioned temperature increase and relative humidity decrease (comparing situation a and b), and 0.3 as MR (db) value, 20%, 40% and 35% drying time reductions were obtained for OP, OMW and SLG, respectively.
Table 4. Average values.
Table 4. Average values.
SituationVariablesWastes
OPOMWSLG
aM2a (% wb)101515
T2a (°C)454040
bM2b (% wb)152520
T2b (°C)403035
Figure 14. T, M and MR variation of OP for two situations.
Figure 14. T, M and MR variation of OP for two situations.
Energies 08 12415 g014
Figure 15. T, M and MR variation of OMW for two situations.
Figure 15. T, M and MR variation of OMW for two situations.
Energies 08 12415 g015
Figure 16. T, M and MR variation of SLG for two situations.
Figure 16. T, M and MR variation of SLG for two situations.
Energies 08 12415 g016
Figure 17 compares product temperature for indirect and mixed active modes, with q1 air mass flow (0.22 kg/s). In general, product temperatures were higher in mixed active mode for average radiation between 600 and 900 W/m2, recording the highest values for OP (35–40 °C), followed by SLG (30–35 °C), and OMW (25–30 °C).
Figure 17. Product temperatures in AM (indirect and mixed types).
Figure 17. Product temperatures in AM (indirect and mixed types).
Energies 08 12415 g017

3.4. Drying Time and Efficiency of the Drying Chamber

Dryer efficiency assesses the overall thermal performance of the system, being a measurement for the ratio of used energy for drying.
Table 5 shows the values for mixed passive, mixed active, and hybrid active, considering solar radiation contribution, energy consumption for the fan at q1 regime and resistors during the drying process.
Table 5. Drying efficiency (%).
Table 5. Drying efficiency (%).
ModeOPOMWSLG
Mixed passive15.314.113.2
Mixed active23.223.115.9
Hybrid active44.026.517.3
Drying efficiency was between 13% and 44%, analogous to those values obtained in similar dryers [30,33]. The highest values for this parameter were obtained for hybrid active mode, followed by mixed active and passive modes. In this way, a qualitative improvement in efficiency for active mode compared to passive mode was observed, higher in OP and OMW (>50% and >60%, respectively) than in SLG (20%). In turn, it can be observed that drying efficiency for OP, for each operating mode, was higher than the levels for OMW and SLG.
Lower efficiency values were measured for SLG, not observing significant changes in drying efficiency for the different operating modes.
Finally, Table 6 sums up drying time to get 20% moisture levels (wb), for the most relevant modes and types used in this research work.
Table 6. Drying time (h).
Table 6. Drying time (h).
ModeTypeWastes
OPOMWSLG
PassiveMixed84228
Active (q1)Indirect74528
Mixed41621
Hybrid21114
In all cases, the use of a mechanical element to contribute to forced convection (for optimum flow), along with the use of an auxiliary energy system, implied the consecution of shorter drying times. The shorter drying times were obtained for OP waste. Drying times for SLG were acceptable and similar to those obtained with other materials in solar dryers. The highest reduction in drying time (from passive mode to active mode) was observed in OMW samples, being a relevant aspect due to the fact that this is considered the most problematic waste in olive oil industry from an environmental point of view.

4. Conclusions

The most relevant findings in the present work were the following:
There was a great influence of solar radiation and air mass flow on exhaust air temperature and collector efficiency. Moreover, there was a limit flow value from which dryer efficiency was not improved.
The longest drying times were obtained in passive mode, being reduced from active mode between 30% and 80%.
Concerning product temperature, the highest values were obtained in hybrid mode, pointing out the importance of using an auxiliary energy source during low solar radiation periods or nighttime.
The increase in air temperature, as well as its relative humidity reduction, caused considerable reductions in drying times, between 20% and 40%, providing suitable values for solar drying use.
The results obtained for OP and OMW wastes, in mixed type, were promising for their solar drying use.
In the case of SLG waste, good drying times were obtained. However, its lower efficiency levels recommend, due to its physical characteristics, the use of turners in order to improve the process and heat transfer and, subsequently, increase solar drying efficiency.
Therefore, this research work shows an alternative to OMW removal-use (a highly pollutant waste). The study that has been carried out enables further knowledge about drying kinetics of olive oil wastes and the results could be extrapolated to a bigger plant, even for other wastes with similar characteristics. For future studies, environmental and economic aspects related to solar drying will be pointed out, as well as some details concerning its implementation on a large scale.

Acknowledgments

We would like to appreciate the "Gobierno de Extremadura" for the support to research groups (GR10151).

Author Contributions

Regarding the contribution of each author to the article, the original idea and work coordination were done by Irene Montero and María Teresa Miranda. The analysis of data was carried out by Francisco José Sepúlveda, José Ignacio Arranz, Carmen Victoria Rojas and Sergio Nogales. Finally, the wording of the conclusions was made by Francisco José Sepúlveda.

Conflicts of Interest

The authors declare no conflict of interest.

Glossary

AcArea of the collector (m2)q1, q2Air mass flow (kg/s)
BDBulk density (kg/m3 wb)TTemperature (°C)
dbDry basisttTop tray
FCFixed carbon (% db)TTime (h)
ItSolar radiation at time t (kJ/m2)VMVolatile matter (% db)
HHVHigh heating value (MJ/kg db)WOMass of the product at initial time (kg)
LLatent heat of vaporization (kJ/kg)WtMass of the product at time t (kg)
LHVLow heating value (MJ/kg db)wbWet basis
ltLower trayAM_hHybrid active mode
MMoisture (%)AM_iIndirect active mode
M0Initial moisture (%)AM_mMixed active mode
MtMoisture at time t (%)PM_hHybrid passive mode
mcMass of the fuel (kg)PM_iIndirect passive mode
msDry mass (kg)PM_mMixed passive mode
mwWet mass (kg)OMWOlive mill wastewater
MRMoisture ratioOPOlive pomace
EaEnergy from auxiliary power system (kJ)SLGSludge residue
EfEnergy from fan (kJ)

References

  1. Dermeche, S.; Nadour, M.; Larroche, C.; Moulti-Mati, F.; Michaud, P. Olive mill wastes: Biochemical characterizations and valorization strategies. Process Biochem. 2013, 48, 1532–1552. [Google Scholar] [CrossRef]
  2. Parejo, J.M.; Rubio, J.C.; Pérez, S.; Soriano, M. Health and safety management in olive oil mills in Spain. Saf. Sci. 2013, 51, 101–108. [Google Scholar] [CrossRef]
  3. Peri, C.; Proietti, P. Olive mill waste and by-products. In The Extra-Virgin Olive Oil Handbook; John Wiley & Sons, Ltd.: Chichester, UK, 2014; pp. 283–302. [Google Scholar]
  4. García-Maraver, A.; Zamorano, M.; Ramos, A.; Díaz, L.F. Analysis of olive grove residual biomass potential for electric and thermal energy generation in Andalusia (Spain). Renew. Sustain. Energy Rev. 2012, 16, 745–751. [Google Scholar] [CrossRef]
  5. Gómez, F.J.; Casanova, P.J.; Palomar, J.M.; Cruz, F. Modeling of olive-oil mill waste rotary dryers: Green energy recovery systems. Appl. Therm. Eng. 2015, 80, 362–373. [Google Scholar] [CrossRef]
  6. Miranda, M.T. Thermal Utilization of Biomass. Application to SLG. Ph.D. Thesis, University of Extremadura, Badajoz, Spain, 10 June 2005. [Google Scholar]
  7. Gigliotti, G.; Proietti, P.; Said-Pullicino, D.; Nasini, L.; Pezzolla, D.; Rosati, L.; Porceddu, P.R. Co-composting of olive husks with high moisture contents: Organic matter dynamics and compost quality. Int. Biodeterior. Biodegrad. 2012, 67, 8–14. [Google Scholar] [CrossRef]
  8. Nasini, L.; Gigliotti, G.; Balduccini, M.A.; Federici, E.; Cenci, G.; Proietti, P. Effect of solid olive-mill waste amendment on soil fertility and olive (Olea europaea L.) tree activity. Agric. Ecosyst. Environ. 2013, 164, 292–297. [Google Scholar] [CrossRef]
  9. Meziane, S. Drying kinetics of olive pomace in a fluidized bed dryer. Energy Convers. Manag. 2011, 52, 1644–1649. [Google Scholar] [CrossRef]
  10. Vega-Gálvez, A.; Miranda, M.; Díaz, L.P.; López, L.; Rodríguez, K.; Scala, K.D. Effective moisture diffusivity determination and mathematical modelling of the drying curves of the olive-waste cake. Bioresour. Technol. 2010, 101, 7265–7270. [Google Scholar] [CrossRef] [PubMed]
  11. Milczarek, R.R.; Dai, A.A.; Otoni, C.G.; McHugh, T.H. Effect of shrinkage on isothermal drying behavior of 2-phase olive mill waste. J. Food Eng. 2011, 103, 434–441. [Google Scholar] [CrossRef]
  12. Montero, I. Modeling and Construction of Hybrid Solar Dryer for Biomass by Products. Ph.D. Thesis, University of Extremadura, Badajoz, Spain, 30 November 2005. [Google Scholar]
  13. VijayaVenkataRaman, S.; Iniyan, S.; Goic, R. A review of solar drying technologies. Renew. Sustain. Energy Rev. 2012, 16, 2652–2670. [Google Scholar] [CrossRef]
  14. Sharma, A.; Chen, C.R.; vu Lan, N. Solar-energy drying systems: A review. Renew. Sustain. Energy Rev. 2009, 13, 1185–1210. [Google Scholar] [CrossRef]
  15. Fudholi, A.; Sopian, K.; Ruslan, M.H.; Alghoul, M.A.; Sulaiman, M.Y. Review of solar dryers for agricultural and marine products. Renew. Sustain. Energy Rev. 2010, 14, 1–30. [Google Scholar] [CrossRef]
  16. Miranda, T.; Arranz, J.I.; Montero, I.; Román, S.; Rojas, C.V.; Nogales, S. Characterization and combustion of olive pomace and forest residue pellets. Fuel Process. Technol. 2012, 103, 91–96. [Google Scholar] [CrossRef]
  17. Montero, I.; Miranda, M.T.; Arranz, J.I.; Rojas, C.V. Thin layer drying kinetics of by-products from olive oil processing. Int. J. Mollecular Sci. 2011, 12, 7885–7897. [Google Scholar] [CrossRef] [PubMed]
  18. Montero, I.; Blanco, J.; Miranda, M.T.; Rojas, S.; Celma, A.R. Design, construction and performance testing of a solar dryer for agroindustrial by-products. Energy Convers. Manag. 2010, 51, 1510–1521. [Google Scholar] [CrossRef]
  19. Augustus Leon, M.; Kumar, S.; Bjhattacharya, S.C. A comprehensive procedure for performance evaluation of solar food dryers. Renew. Sustain. Energy Rev. 2002, 6, 367–393. [Google Scholar] [CrossRef]
  20. El-Sebaii, A.A.; Aboul-Enein, S.; Ramadan, M.R.I.; El-Gohary, H.G. Experimental investigation of an indirect type natural convection solar dryer. Energy Convers. Manag. 2002, 43, 2251–2266. [Google Scholar] [CrossRef]
  21. Liu, Z.; Quek, A.; Balasubramanian, R. Preparation and characterization of fuel pellets from woody biomass, agro-residues and their corresponding hydrochars. Appl. Energy 2014, 113, 1315–1322. [Google Scholar] [CrossRef]
  22. De la Gómez Cruz, F.J.; Palomar, J.M.; Casanova, P.J.; Cruz, F. Experimental determination of effective moisture diffusivity during the drying of clean olive stone: Dependence of temperature, moisture content and sample thickness. Fuel Process. Technol. 2015, 137, 320–326. [Google Scholar] [CrossRef]
  23. Doymaz, I. Drying behaviour of green beans. J. Food Eng. 2005, 69, 161–165. [Google Scholar] [CrossRef]
  24. Babalis, S.J.; Belessiotis, V.G. Influence of the drying conditions on the drying constants and moisture diffusivity during the thin-layer drying of figs. J. Food Eng. 2004, 65, 449–458. [Google Scholar] [CrossRef]
  25. Velic, D.; Planinic, M.; Tomas, S.; Bilic, M. Influence of airflow velocity on kinetics of convection apple drying. J. Food Eng. 2004, 64, 97–102. [Google Scholar] [CrossRef]
  26. Corvalan, R.; Horn, M.; Roman, R.; Saravia, L. Engineering Solar Drying; Science and Technology Program for Development of V Centenary (CYTED-D): Madrid, Spain, 1992. [Google Scholar]
  27. Simate, I. Optimization of mixed-mode and indirect-mode natural convection solar dryers. Renew. Energy 2003, 28, 435–453. [Google Scholar] [CrossRef]
  28. Gögüs, F.; Maskan, M. Air drying characteristics of solid waste (pomace) of olive oil processing. J. Food Eng. 2006, 72, 378–382. [Google Scholar] [CrossRef]
  29. Madamba, P.S.; Driscoll, R.H.; Buckle, K.A. The thin-layer drying characteristics of garlic slices. J. Food Eng. 1996, 29, 75–97. [Google Scholar] [CrossRef]
  30. Bena, B.; Fuller, R.J. Natural convection solar dryer with biomass back-up heater. Solar Energy 2002, 72, 75–83. [Google Scholar] [CrossRef]
  31. El-Sebaii, A.A.; Aboul-Enein, S.; Ramadan, M.R.I.; El-Gohary, H.G. Empirical correlations for drying kinetics of some fruits and vegetables. Energy 2002, 27, 845–859. [Google Scholar] [CrossRef]
  32. Jain, D. Modeling the system performance of multi-tray crop drying using an inclined multi-pass solar air heater with in-built thermal storage. J. Food Eng. 2005, 71, 44–54. [Google Scholar] [CrossRef]
  33. Nijmenh, M.N.; Ragab, A.S.; Emeish, M.S.; Jubran, B.A. Design and testing of solar dryers for processing food wastes. Appl. Therm. Eng. 1998, 18, 1337–1346. [Google Scholar] [CrossRef]

Share and Cite

MDPI and ACS Style

Montero, I.; Miranda, M.T.; Sepúlveda, F.J.; Arranz, J.I.; Rojas, C.V.; Nogales, S. Solar Dryer Application for Olive Oil Mill Wastes. Energies 2015, 8, 14049-14063. https://doi.org/10.3390/en81212415

AMA Style

Montero I, Miranda MT, Sepúlveda FJ, Arranz JI, Rojas CV, Nogales S. Solar Dryer Application for Olive Oil Mill Wastes. Energies. 2015; 8(12):14049-14063. https://doi.org/10.3390/en81212415

Chicago/Turabian Style

Montero, Irene, María Teresa Miranda, Francisco José Sepúlveda, José Ignacio Arranz, Carmen Victoria Rojas, and Sergio Nogales. 2015. "Solar Dryer Application for Olive Oil Mill Wastes" Energies 8, no. 12: 14049-14063. https://doi.org/10.3390/en81212415

APA Style

Montero, I., Miranda, M. T., Sepúlveda, F. J., Arranz, J. I., Rojas, C. V., & Nogales, S. (2015). Solar Dryer Application for Olive Oil Mill Wastes. Energies, 8(12), 14049-14063. https://doi.org/10.3390/en81212415

Article Metrics

Back to TopTop