Multi-Objective Planning of Multi-Type Distributed Generation Considering Timing Characteristics and Environmental Benefits
Abstract
:1. Introduction
2. Timing Characteristics of Load and DG Output
2.1. Timing Characteristics of Load

2.2. Timing Characteristics of DG Output
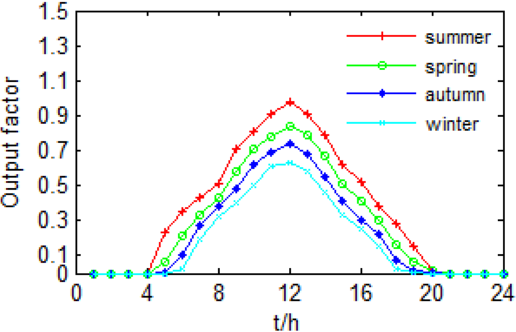
2.2.1. Renewable-Type DG


2.2.2. Non-Renewable-Type DG

3. Multi-Objective Planning Model of Multi-Type DG
3.1. Normalization of Original Data
3.1.1. Classification of Daily Load Sequences

3.1.2. Calculation of Typical Daily Load Sequence
3.1.3. Calculation of Typical Daily Output Sequence of DG per Unit Capacity
3.2. Objective Function
| Power generation methods | SO2 | NOx | CO2 | CO | TSP | Fly ash | Slag |
|---|---|---|---|---|---|---|---|
| Coal-fired power | 41.47 | 23.04 | 27.42 | 0.09 | 0.32 | 47.52 | 1.08 |
| Wind power | 0 | 0 | 0 | 0 | 0 | 0 | 0 |
| Photovoltaic power | 0 | 0 | 0 | 0 | 0 | 0 | 0 |
| Gas turbine | 0.01 | 9.92 | 17.69 | 0 | 0.10 | 0 | 0 |
| Fuel cell | 0.01 | 7.75 | 13.82 | 0 | 0.08 | 0 | 0 |
3.3. Constraint Conditions
4. Solution to the Model
4.1. Application of the Improved Adaptive Genetic Algorithm
4.2. General Steps
- (1)
- Classification of daily load sequences. The daily load sequences throughout the year at each load point in the distribution network should be divided into A categories according to different seasons and date types; then, the number of days included in each category should be recorded.
- (2)
- Calculation of typical daily load sequence. For each category of the daily load sequences, the typical daily load sequence can be calculated according to Equation (1). If the number of the load points in the distribution network is nL, then the total number of the typical daily load sequences obtained after calculation is AnL.
- (3)
- Calculation of a typical daily output sequence of DG per unit capacity. For each category of the daily load sequences, the typical daily output sequence of DG per unit capacity can be calculated according to Equation (2). If the number of the types of DG to be selected is B, then the total number of the typical daily output sequences of DG per unit capacity obtained after calculation is ABnL.
- (4)
- Calculation of a typical daily output sequence of DG. For each load point in the individual, the typical daily output sequence of DG per unit capacity should be selected first according to the type and capacity of the DG; then, the typical daily output sequence of DG at each load point can be obtained through the conversion of the typical daily output sequence of DG per unit capacity.
- (5)
- Power flow calculation. After the superposition of the typical daily output sequence of DG and the typical daily load sequence, the power flow calculation can be started. If the constraint conditions cannot be met, the fitness of the individual should be set to zero directly; otherwise, the fitness will be calculated according to the fitness function.
- (6)
- Analysis of the results. Repeat Steps 4 and 5 until the preset maximum number of generations is reached; then, the individual whose fitness is the largest is the optimal solution to the model. This indicates the type and capacity of the DG that should be connected to each load point.

5. Case Study
5.1. Overview of the Test System

| Parameters | Values |
|---|---|
| The installation cost of WG | 7,000 CNY/kW |
| The installation cost of PV | 10,000 CNY/kW |
| The installation cost of MT | 3,000 CNY/kW |
| The installation cost of FC | 12,000 CNY/kW |
| Annual interest rate | 3% |
| Load growth rate | 1% |
| The price of the lost electricity | 0.35 CNY/kWh |
| The purchase price of the electricity | 0.35 CNY/kWh |
| The sell price of the electricity | 0.5 CNY/kWh |
| The subsidy price of the electricity | 1.0 CNY/kWh |
| The power factor of DG | 0.9 |
| The economic life of DG | 25 years |
5.2. Analysis of Different Optimization Schemes
| Node number | Capacity/kVA | Type |
|---|---|---|
| 2 | 300 | FC |
| 4 | 400 | PV |
| 6 | 200 | MT |
| 8 | 700 | WG |
| 9 | 300 | WG |
| 10 | 500 | MT |
| 11 | 400 | MT |
| 13 | 100 | PV |
| Sub-goals | Calculated values/10,000 CNY |
|---|---|
| Loss reduction | 14.72 |
| Delaying the upgrade of lines | 10.44 |
| Environmental protection | 58.80 |
| Saving fuels | 29.20 |
| The fixed investment and maintenance of DG | 109.34 |
| The maximum net income of DG | 3.82 |
| Node number | Capacity/kVA | Type |
|---|---|---|
| 1 | 200 | MT |
| 3 | 100 | PV |
| 4 | 300 | WG |
| 6 | 300 | PV |
| 8 | 600 | WG |
| 9 | 400 | MT |
| 10 | 400 | MT |
| 11 | 300 | FC |
| 12 | 200 | MT |
| Sub-goals | Calculated values/10,000 CNY |
|---|---|
| Loss reduction | 13.81 |
| Delaying the upgrade of lines | 9.78 |
| Environmental protection | −6.05 |
| Saving fuels | −103.28 |
| Sale of electricity and subsidies | 616.52 |
| The fixed investment and maintenance of DG | 101.40 |
| The maximum net income for the power supply company | 429.38 |
5.3. Analysis of the Convergence of the Algorithm

6. Conclusions
Acknowledgments
Author Contributions
Conflicts of Interest
References
- Parker, P. Integrating Distributed Resources into Electric Utility Distribution Systems; EPRI PEAC Corporation: Palo Alto, CA, USA, 2001. [Google Scholar]
- Qian, K.; Yuan, Y.; Shi, X. Environmental benefits analysis of distributed generation. In Proceedings of the 2008 IEEE Power and Energy Society General Meeting—Conversion and Delivery of Electrical Energy in the 21st Century, Pittsburgh, PA, USA, 20–24 July 2008; Volume 29, pp. 11–15.
- Tran, K.; Vaziri, M. Effects of Dispersed Generation (DG) on distribution systems. In Proceedings of the IEEE Power Engineering Society General Meeting, San Francisco, CA, USA, 12–16 June 2005.
- Chiradeja, P.; Ramakumar, R. An approach to quantify the technical benefits of distributed generation. IEEE Trans. Energy Convers. 2004, 4, 764–773. [Google Scholar]
- Li, B.; Liu, T.; Li, X. Impact of distributed generation on power system voltage stability. Power Syst. Technol. 2009, 3, 84–88. [Google Scholar]
- Dong, Y.; Yang, J.; Hu, H. Coordination control of distributed wind-solar hybrid system. Electr. Meas. Instrum. 2012, 554, 48–51. [Google Scholar]
- Song, X.; Ye, L. Optimization configuration of wind/solar/diesel hybrid power generation system. Power Syst. Clean Energy 2011, 5, 66–72. [Google Scholar]
- Fu, L.; Wang, S.; Zhang, Y.; Zhang, C.; Dong, P. Optimal selection and configuration of multi-types of distributed generators in distribution network. Power Syst. Technol. 2012, 1, 79–84. [Google Scholar]
- Yang, Q.; Ma, S.; Song, Y. Comprehensive evaluation of distributed generation planning scheme. Power Syst. Technol. 2012, 2, 212–217. [Google Scholar]
- Zhang, Q.; Wang, G.; Zhai, H. Index system for distributed generation development and comprehensive benefits in China. East China Electr. Power 2012, 7, 1248–1251. [Google Scholar]
- Hu, H.; Wu, S.; Xia, X. Computing the maximum penetration level of multiple distributed generators in distribution network taking into account voltage regulation constraints. Proc. CSEE 2006, 19, 13–19. [Google Scholar]
- Lu, H.; Zhou, H. Environmental cost analysis of power plants. Environ. Prot. 2004, 4, 51–54. [Google Scholar]
- Celli, G.; Ghiani, E.; Moccis, S. A multiobjective evolutionary algorithm for the sizing and sitting of distributed generation. IEEE Trans. Power Syst. 2005, 2, 750–757. [Google Scholar]
- Li, L.; Tang, W.; Bai, M.; Zhang, L.; Lv, T. Multi-objective locating and sizing of distributed generators based on time-sequence characteristics. Autom. Electr. Power Syst. 2013, 3, 58–63. [Google Scholar]
- Zheng, Z.; Ai, Q.; Gu, C. Multiobjective allocation of distributed generation considering environmental factor. Proc. CSEE 2009, 13, 23–28. [Google Scholar]
- Li, R.; Shen, X.; Zhong, C.; Yang, T. Multi-objective planning of distributed generation considering environmental benefit. Power Syst. Technol. 2014, 6, 1471–1478. [Google Scholar]
- Cui, H.; Dai, W. Multi-objective optimal allocation of distributed generation in smart grid. In Proceedings of the 2011 International Conference on Electrical and Control Engineering (ICECE), Yichang, China, 16–18 September 2011; pp. 713–717.
- Zidan, A.; Shaaban, M.F.; El-Saadany, E.F. Long-term multi-objective distribution network planning by DG allocation and feeders’ reconfiguration. Electr. Power Syst. Res. 2013, 105, 95–104. [Google Scholar] [CrossRef]
- Xu, X.; Chen, K.; Long, Y.; Cheng, H.; Ni, W.; Wang, Z.; Wang, X. Optimal site selection and capacity determination of multi-types of distributed generation in microgrid considering environment cost and timing characteristics. Power Syst. Technol. 2013, 4, 914–921. [Google Scholar]
- Liao, N.; Hu, Z.; Ma, Y.; Lu, W. Review of the short-term load forecasting methods of electric power system. Power Syst. Prot. Control 2011, 1, 147–152. [Google Scholar]
- Sun, Q.; Yao, J.; Zhao, J.; Jin, M.; Mao, L.; Mao, T. Short-term bus load integrated forecasting based on selecting optimal intersection similar days. Proc. CSEE 2013, 4, 126–134. [Google Scholar]
- Lin, H.; Liu, J.; Hao, Z.; Zhu, F.; Wu, G. Short-term load forecasting for holidays based on the similar days’load modification. Power Syst. Prot. Control 2010, 7, 47–51. [Google Scholar]
- Suo, L.; Ding, Q.; Han, X. Short-term load forecasting for holidays using fuzzy inference method. Electr. Power 2009, 11, 66–69. [Google Scholar]
- Tang, L. The class of DG and its influence of distribute network. Master’s Thesis, Hefei University of Technology, Hefei, China, 2007. [Google Scholar]
- Zhang, S.; Zhou, S.; Guo, Y.; Wang, X. Seasonal variation of ground wind velocity in recent 47 years in Hebei and its influence factors. J. Arid Land Resour. Environ. 2010, 12, 93–99. [Google Scholar]
- Sui, X. The distribution network reliability and economy study considering the distribution generation. Master’s Thesis, Southwest Jiaotong University, Chengdu, China, 2010. [Google Scholar]
- Zhang, L.; Shu, J.; Lin, X. Reactive power planning based on genetic algorithm. Proc. CSEE 2000, 6, 5–8. [Google Scholar]
- Zhang, L.; Fan, M. A new model and methodology for distribution network integration planning. Proc. CSEE 2004, 6, 59–64. [Google Scholar]
- Ding, M.; Wu, Y. Expansion planning of wind-diesel energy system based on genetic algorithm. Proc. CSEE 2006, 8, 23–27. [Google Scholar]
© 2014 by the authors; licensee MDPI, Basel, Switzerland. This article is an open access article distributed under the terms and conditions of the Creative Commons Attribution license (http://creativecommons.org/licenses/by/4.0/).
Share and Cite
Gao, Y.; Liu, J.; Yang, J.; Liang, H.; Zhang, J. Multi-Objective Planning of Multi-Type Distributed Generation Considering Timing Characteristics and Environmental Benefits. Energies 2014, 7, 6242-6257. https://doi.org/10.3390/en7106242
Gao Y, Liu J, Yang J, Liang H, Zhang J. Multi-Objective Planning of Multi-Type Distributed Generation Considering Timing Characteristics and Environmental Benefits. Energies. 2014; 7(10):6242-6257. https://doi.org/10.3390/en7106242
Chicago/Turabian StyleGao, Yajing, Jianpeng Liu, Jin Yang, Haifeng Liang, and Jiancheng Zhang. 2014. "Multi-Objective Planning of Multi-Type Distributed Generation Considering Timing Characteristics and Environmental Benefits" Energies 7, no. 10: 6242-6257. https://doi.org/10.3390/en7106242
APA StyleGao, Y., Liu, J., Yang, J., Liang, H., & Zhang, J. (2014). Multi-Objective Planning of Multi-Type Distributed Generation Considering Timing Characteristics and Environmental Benefits. Energies, 7(10), 6242-6257. https://doi.org/10.3390/en7106242
