Improved Control Strategy for DFIG Wind Turbines for Low Voltage Ride Through
Abstract
:1. Introduction
2. Modeling of the DFIG Wind Turbine

2.1. Wind Turbine Aerodynamics Model
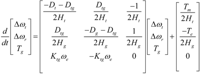
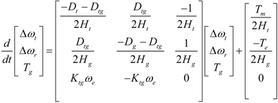
2.2. Drive Train Model
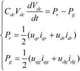
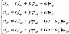
2.3. Induction Generator Model
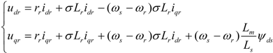
3. Behavior of the DFIG during Grid Faults
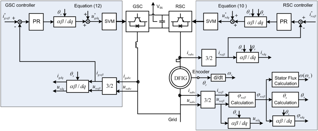
4. Proposed Low Voltage Ride Through Control Strategy
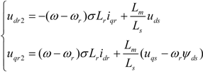
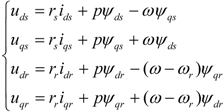
4.1. Control of Rotor Side Converter


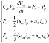
4.2. Control of Grid Side Converter


4.3. System Implementation

5. Simulation Results

| Rated power | 2 MW |
|---|---|
| Rated voltage | 690 V |
| Rs | 0.00059 pu |
| Xs | 0.01350 pu |
| Rr | 0.00339 pu |
| Xr | 0.00750 pu |
| XM | 0.41610 pu |
| Zg | 0.02 + j0.3 pu |
| H | 5.0 s |
5.1. Unsymmetrical Fault Scenario


5.2. Symmetrical Fault
6. Conclusions
Acknowledgments
References
- Tsili, M.; Papathanassiou, S. A review of grid code technical requirements for wind farms. IET Renew. Power Gen. 2009, 3, 308–332. [Google Scholar] [CrossRef]
- Erlich, I.; Winter, W.; Dittrich, A. Advanced Grid Requirements for the Integration of Wind Turbines into the German Transmission System. In Proceedings of IEEE Power Engineering Society General Meeting 2006, Montreal, Quebec, Canada, 18–22 June 2006.
- Federal Energy Regulatory Commission. Regulatory Order No. 661-A: Interconnection for Wind Energy. Available online: http://www.ferc.gov/industries/electric/indus-act/gi/wind.asp (accessed on 21 February 2013).
- Thomas, A. Wind Power in Power Systems; Wiley: New York, NY, USA, 2005. [Google Scholar]
- Mohseni, M.; Islam, S.; Masoum, M. Impacts of symmetrical and asymmetrical voltage sags on DFIG-based wind turbines considering phase angle jump, voltage recovery, and sag parameters. IEEE Trans. Power Electron. 2011, 26, 1587–1598. [Google Scholar] [CrossRef]
- Yang, L.; Xu, Z.; Ostergaard, J.; Dong, Z.; Wong, K. Advanced control strategy of DFIG wind turbines for power system fault ride through. IEEE Trans. Power Syst. 2012, 27, 713–722. [Google Scholar] [CrossRef]
- Zhang, W.; Zhou, P.; He, Y. Analysis of the By-Pass Resistance of an Active Crowbar for Doubly-Fed Induction Generator Based Wind Turbines under Grid Faults. In Proceedings of International Conference on Electrical Machines and Systems (ICEMS 2008), Wuhan, China, 17–20 October 2008.
- Pannell, G.; Atkinson, D.; Zahawi, B. Minimum-threshold crowbar for a fault-ride-through grid-code-compliant DFIG wind turbine. IEEE Trans. Energy Convers. 2010, 25, 750–759. [Google Scholar] [CrossRef]
- Morren, J.; de Haan, S. Ride through of wind turbines with doubly fed induction generator during a voltage dip. IEEE Trans. Energy Convers. 2005, 20, 35–441. [Google Scholar] [CrossRef]
- Yang, J.; Fletcher, J.; O’Reilly, J. A series-dynamic-resistor-based converter protection scheme for doubly-fed induction generator during various fault conditions. IEEE Trans. Energy Convers. 2010, 25, 422–432. [Google Scholar] [CrossRef]
- Causebrook, A.; Atkinson, D.; Jack, A. Fault ride-through of large wind farms using series dynamic braking resistors. IEEE Trans. Power Syst. 2007, 22, 966–975. [Google Scholar] [CrossRef]
- Flannery, P.; Venkataramanan, G. Unbalanced voltage sag ride through of a doubly fed induction generator wind turbine with series grid-side converter. IEEE Trans. Ind. Appl. 2009, 45, 1879–1887. [Google Scholar] [CrossRef]
- Wessels, C.; Gebhardt, F.; Fuchs, F.W. Fault ride-through of a DFIG wind turbine using a dynamic voltage restorer during symmetrical and asymmetrical grid faults. IEEE Trans. Power Electron. 2011, 26, 807–815. [Google Scholar] [CrossRef]
- Guo, W.; Xiao, L.; Dai, S. Enhancing low-voltage ride-through capability and smoothing output power of DFIG with a superconducting fault-current limiter–magnetic energy storage system. IEEE Trans. Energy Convers. 2012, 27, 277–295. [Google Scholar] [CrossRef]
- Xiang, D.; Ran, L.; Tavner, P.J.; Yang, S. Control of a doubly fed induction generator in a wind turbine during grid fault ride-through. IEEE Trans. Energy Convers. 2006, 21, 652–662. [Google Scholar] [CrossRef]
- Xu, L.; Wang, Y. Dynamic modeling and control of DFIG-based wind turbines under unbalanced network conditions. IEEE Trans. Power Syst. 2007, 22, 314–323. [Google Scholar] [CrossRef]
- Xu, L. Enhanced control and operation of DFIG-based wind farms during network unbalance. IEEE Trans. Energy Convers. 2008, 23, 1073–1081. [Google Scholar] [CrossRef]
- Hu, J.; He, Y.; Xu, L.; Williams, B.W. Improved control of DFIG systems during network unbalance using PI-R current regulators. IEEE Trans. Ind. Electron. 2009, 56, 439–451. [Google Scholar] [CrossRef]
- Hu, J.; He, Y. Reinforced control and operation of DFIG-based wind power-generation system under unbalanced grid voltage conditions. IEEE Trans. Energy Convers. 2009, 24, 905–915. [Google Scholar] [CrossRef]
- Rahimi, M.; Parniani, M. Transient performance improvement of wind turbines with doubly fed induction generators using nonlinear control strategy. IEEE Trans. Energy Convers. 2010, 25, 514–525. [Google Scholar] [CrossRef]
- Lima, F.K.A.; Luna, A.; Rodriguez, P.; Watanabe, E.H.; Blaabjerg, F. Rotor voltage dynamics in the doubly fed induction generator during grid faults. IEEE Trans. Power Electron. 2010, 25, 118–130. [Google Scholar] [CrossRef]
- Liang, J.; Qiao, W.; Harley, R.G. Feed-forward transient current control for low-voltage ride-through enhancement of DFIG wind turbines. IEEE Trans. Energy Convers. 2010, 25, 836–843. [Google Scholar] [CrossRef]
- Fan, L.; Kavasseri, R.; Miao, Z.; Zhu, C. Modeling of DFIG-based wind farms for SSR analysis. IEEE Trans. Power Deliv. 2010, 25, 2073–2082. [Google Scholar] [CrossRef]
- Novotny, D.W.; Lipo, T.A. Vector Control and Dynamics of AC Drives; Oxford University Press: London, UK, 2000. [Google Scholar]
- Zhang, Z.; Xu, L.; Zhang, Y.; Guan, B. Novel Rotor-Side Control Scheme for Doubly Fed Induction Generator to Ride Through Grid Faults. In Proceedings of Energy Conversion Congress and Exposition (ECCE 2010), Atlanta, GA, USA, 12–16 September 2010.
- Teodorescu, R.; Blaabjerg, F.; Liserre, M.; Loh, P. Proportional resonant controllers and filters for grid-connected voltage-source converters. IEE Proc. Electr. Power Appl. 2006, 153, 750–762. [Google Scholar] [CrossRef]
- Yao, J.; Li, H.; Liao, Y.; Chen, Z. An improved control strategy of limiting the DC-link voltage fluctuation for a doubly fed induction wind generator. IEEE Trans. Power Electron. 2008, 23, 1205–1213. [Google Scholar] [CrossRef]
- Rahimi, M.; Parniani, M. Coordinated control approaches for low-voltage ride-through enhancement in wind turbines with doubly fed induction generators. IEEE Trans. Energy Convers. 2010, 25, 873–883. [Google Scholar] [CrossRef]
© 2013 by the authors; licensee MDPI, Basel, Switzerland. This article is an open access article distributed under the terms and conditions of the Creative Commons Attribution license (http://creativecommons.org/licenses/by/3.0/).
Share and Cite
Wu, Z.; Zhu, C.; Hu, M. Improved Control Strategy for DFIG Wind Turbines for Low Voltage Ride Through. Energies 2013, 6, 1181-1197. https://doi.org/10.3390/en6031181
Wu Z, Zhu C, Hu M. Improved Control Strategy for DFIG Wind Turbines for Low Voltage Ride Through. Energies. 2013; 6(3):1181-1197. https://doi.org/10.3390/en6031181
Chicago/Turabian StyleWu, Zaijun, Chanxia Zhu, and Minqiang Hu. 2013. "Improved Control Strategy for DFIG Wind Turbines for Low Voltage Ride Through" Energies 6, no. 3: 1181-1197. https://doi.org/10.3390/en6031181
APA StyleWu, Z., Zhu, C., & Hu, M. (2013). Improved Control Strategy for DFIG Wind Turbines for Low Voltage Ride Through. Energies, 6(3), 1181-1197. https://doi.org/10.3390/en6031181
