Next Article in Journal / Special Issue
Energy from Agricultural and Animal Farming Residues: Potential at a Local Scale
Previous Article in Journal / Special Issue
Research on the Gas Reburning in a Circulating Fluidized Bed (CFB) System Integrated with Biomass Gasification
 
 
Font Type:
Arial Georgia Verdana
Font Size:
Aa Aa Aa
Line Spacing:
Column Width:
Background:
Article

Optimization of Nitrogen and Metal Ions Supplementation for Very High Gravity Bioethanol Fermentation from Sweet Sorghum Juice Using an Orthogonal Array Design

1
Graduate School, Khon Kaen University, Khon Kaen 40002, Thailand
2
Department of Biotechnology, Faculty of Technology, Khon Kaen University, Khon Kaen 40002, Thailand
3
Fermentation Research Center for Value Added Agricultural Products, Khon Kaen University, Khon Kaen 40002, Thailand
4
Department of Plant Science and Agricultural Resources, Faculty of Agriculture, Khon Kaen University, Khon Kaen 40002, Thailand
*
Author to whom correspondence should be addressed.
Energies 2012, 5(9), 3178-3197; https://doi.org/10.3390/en5093178
Submission received: 25 June 2012 / Revised: 1 August 2012 / Accepted: 17 August 2012 / Published: 24 August 2012
(This article belongs to the Special Issue Biomass and Biofuels 2012)

Abstract

:
Optimization of four parameters, i.e., zinc (Zn2+), magnesium (Mg2+), manganese (Mn2+) and yeast extract for bioethanol production from sweet sorghum juice by Saccharomyces cerevisiae NP 01  under very high gravity (VHG, 270 g·L−1 of total sugar) conditions was performed using an L9 (34) orthogonal array design. The fermentation was carried out at 30 °C in 500-mL air-locked Erlenmeyer flasks at the agitation rate of 100 rpm and the initial yeast cell concentration in the juice was approximately 5 × 107 cells·mL−1. The results showed that the order of influence was yeast extract > Mn2+ > Zn2+ > Mg2+ and the optimum nutrient concentrations for the ethanol fermentation were Zn2+, 0.01; Mg2+, 0.05; Mn2+, 0.04; and yeast extract, 9 g·L−1. The verification experiments under the optimum condition clearly indicated that the metals and nitrogen supplementation improved ethanol production efficiency under the VHG fermentation conditions. The ethanol concentration (P), yield (Yp/s) and productivity (Qp) were 120.58 ± 0.26 g·L−1, 0.49 ± 0.01 and 2.51 ± 0.01 g·L−1·h−1, respectively, while in the control treatment (without nutrient supplement) P, Yp/s and Qp were only 93.45 ± 0.45 g·L−1, 0.49 ± 0.00 and 1.30 ± 0.01 g·L−1·h−1, respectively.

Graphical Abstract

1. Introduction

Bioethanol is regarded as an alternative energy source, which is both renewable and environmentally friendly. It can be produced from biomass, renewable sources and agricultural products. Currently, bioethanol is mainly produced from sugar cane, sugar beet, corn and starch by yeast fermentation. Sugar cane and sugar beet have an advantage in that they contain directly fermentable sugars, i.e., sucrose, glucose and fructose. However, the use of these crops for ethanol production will compete with their use as food sources. A non-competitive crop, sweet sorghum (Sorghum bicolor {L} Moench), has recently come to be looked upon as a promising source of bioethanol because this plant accumulates a large amount of fermentable sugars in its stem. The other advantages of sweet sorghum for ethanol production compared with other biofuel crops are: (i) a faster growing period of about 120–140 days; (ii) a wide range of possible growing areas, not only in the tropics but also in the colder regions of the temperate zone; (iii) a lower requirement for water and fertilizer and (iv) a better tolerance to salinity and drought [1,2,3,4,5]. It was reported that the sugar produced in sweet sorghum stalk had the potential to yield up to 8000 L·ha−1 or about twice the ethanol yield potential of maize grain and 30% greater than the average Brazillian sugarcane productivity of 6000 L·ha−1 [6]. Therefore, sweet sorghum is one of the most promising raw materials for ethanol production.
Ethanol is produced by fermentation of microorganisms such as yeasts and bacteria. They convert sugar or carbohydrate to ethanol and carbon dioxide via the glycolysis pathway under anaerobic condition. Theoretically, the yield is 0.511 for ethanol and 0.489 for carbon dioxide on the basis of 1 g of metabolized glucose. Therefore, the initial sugar concentration in the fermentation medium directly relates to ethanol concentration produced. In normal gravity fermentation, the initial sugar concentration of 150 to 200 g·L−1 achieves ethanol concentration of only 7.5 to 10% (v/v) [7]. To increase ethanol concentration, higher initial sugar concentrations above 200 g·L−1 are required. However, high contents of saccharides in the fermentation medium cause an increase in the osmotic pressure, which has a detrimental effect on yeast cells [8]. In addition, the high ethanol concentration produced can cause an increase in the stress to yeast cells, resulting in stuck or sluggish fermentation.
However, under appropriate environmental and nutritional conditions, Saccharomyces cerevisiae can produce and tolerate high ethanol concentrations [9]. The yeast is well-known as the main ethanol-producing microorganism used in industrial processes [10]. Minteer [11] reported that yeast withstood extreme environmental stresses, including high osmolality (beginning soluble solids of 25 to 30% w/v) and high ethanol concentrations (12 to 18%, v/v), as well as organic acids produced by contaminating bacteria. Our previous work found that among three high-ethanol-producing strains of S. cerevisiae (TISTR 5048, TISTR 5339 and NP 01), NP 01 gave the maximum ethanol concentration under batch fermentation in an ethanol production medium containing 280 g·L−1 of glucose [12].
Very high gravity (VHG) fermentation is a process improvement aimed at increasing both the rate of fermentation and ethanol concentration [13]. It is defined as the preparation and fermentation to completion of mashes containing 270 or more grams of dissolved solids per litre [8,14,15,16]. It has several advantages for industrial applications such as the increase in both the ethanol concentration and the rate of fermentation, which reduce capital costs, energy costs per litre of alcohol and the risk of bacterial contamination [16,17].
It is well-known that the ability of yeast to produce ethanol depends on many factors such as strains, macro and micronutrients and environmental factors. One of the most environmental factors affecting yeast growth and ethanol production efficiency is temperature. Şener et al. [18] reported that temperature had many effects on yeast such as growth rate, viability, rate of ethanol fermentation, length of lag phase, activity of enzyme and membrane function. Carbon and nitrogen are main essential nutrients in fermentation media. Nitrogen is necessary for yeast growth and influences the rate of ethanol production and ethanol tolerance [8]. Yeast extract, a complex nutrient, is widely used as a nitrogen source for yeast growth as well as a nutrient supplement for ethanol production [16,19,20] and lactic acid production [21]. Apart from carbon and nitrogen sources, micronutrients or trace elements are also important factors for promoting cell growth and ethanol fermentation, especially under VHG fermentation [22]. Zinc (Zn2+), magnesium (Mg2+) and manganese (Mn2+) were reported as the trace elements for yeast growth and ethanol fermentation [23]. Zn2+ affects both cell growth and yeast metabolism. Zhao et al. [24] reported that ethanol concentration and ethanol tolerance were significantly improved by Zn2+—supplemented culture. Mg2+ involves in physiological function, growth, metabolism and enzyme activity of yeast [25,26]. It is a cofactor of some enzymes in yeast cells [25]. Wang et al. [27] reported that Mg2+ had a positive effect on ethanol production. Mg2+ reduces the proton, especially anion permeability of the plasma membrane by interacting with membrane phospholipids, resulting in stabilization of the membrane bilayer [26]. Therefore, it relates to the improvement of ethanol tolerance of yeast [26,27]. In addition, it has a positive effect on ethanol efficiency in terms of fermentation time and ethanol formation [28]. Regarding to Mn2+, it is important in the metabolism of S. cerevisiae as a part of some enzymes relating to ethanol fermentation such as pyruvate carboxylase [29]. Mn2+ addition can enhance cell growth and ethanol concentration [30].
The aim of this research was to determine the optimum concentrations of Zn2+, Mg2+, Mn2+ and yeast extract for high level ethanol production from sweet sorghum juice under VHG fermentation by S. cerevisiae NP 01 using statistical experiment design, in particular an orthogonal array design. The optimum temperature for ethanol production by the yeast under the VHG fermentation was also investigated.

2. Experimental Section

2.1. Microorganism and Inoculum Preparation

S. cerevisiae NP 01 isolated from Loog-pang (Chinese yeast cake) from Nakorn Phanom province, Thailand [12] was inoculated into a 250-mL Erlenmeyer flask containing 150 mL of yeast extract malt extract (YM) medium. The medium contained yeast extract, 3; malt extract, 3; peptone, 5 and glucose, 10 g·L−1. The flask was incubated on a rotating shaker at 150 rpm, 30 °C for 15 h. To increase cell concentration, the yeast was transferred into a 500-mL Erlenmeyer flask containing 350 mL of sweet sorghum juice containing 150 g·L−1 of total sugar to give the initial cell concentration of approximately 5 × 106 cells·mL−1. The flasks were further incubated under the same conditions. After 15 h, the cells were harvested and used as an inoculum for ethanol production.

2.2. Raw Material

Sweet sorghum juice extracted from its stalks (cv. KKU 40) by a sugarcane extractor was obtained from Division of Agronomy, Faculty of Agriculture, Khon Kaen University, Thailand. The juice containing 18 °Bx of total soluble solids was concentrated to 75 °Bx and stored at 4 °C [20,31].

2.3. Nutrient Supplements

The nutrient supplements used in this study were ZnSO4·7H2O, MgSO4·7H2O, MnSO4·H2O (analytical grade, BDH, Poole, England) and yeast extract (Himedia Laboratories, Mumbai, India).

2.4. Effects of Temperature on Batch Ethanol Fermentation

The concentrated juice was diluted with distilled water to the total sugar concentration of 270 g·L−1 and used as ethanol production (EP) medium without pH adjustment. The EP medium was transferred into a 500-mL air-locked Erlenmeyer flask with a final working volume of 400 mL before autoclaving at 110 °C for 28 min [16]. S. cerevisiae NP 01 was inoculated into the sterile EP medium to give the initial cell concentration of approximately 5 × 107 cells·mL−1 [31]. The fermentation was operated in batch mode at the agitation rate of 100 rpm without pH control. Thefermentation temperatures were 30, 35 and 38 °C. The samples were collected at 12 h intervals for analysis.

2.5. Preliminary Experiments of Nutrient Supplementation

According to many literature reviews, the concentrations of Zn2+, Mg2+, Mn2+ and yeast extract in the EP medium were varied as follows: Zn2+, 0.01 to 0.05 g·L−1; Mg2+, 0.05 to 0.15 g·L−1; Mn2+, 0.01 to 0.04 g·L−1 and yeast extract, 3 to 9 g·L−1 [8,16,20,23,28,29,30,32]. Therefore, the preliminary study on nutrient supplementation was carried out at the lowest and highest nutrient concentrations described above. The EP medium was supplemented with Zn2+, Mg2+, Mn2+ and yeast extract at different doses as shown in Table 1 and was transferred into the 500-mL air-locked flask. S. cerevisiae NP 01 was inoculated into the four sterile EP media (Me-H, Ye-H, MeYe-L and MeYe-H) to give the initial cell concentration of approximately 5 × 107 cells·mL−1. The ethanol fermentation was carried out at the optimum temperature obtained from Section 2.4 and the agitation rate was 100 rpm without pH control. Ethanol fermentation from the control EP medium (without nutrient supplements) was also performed. The samples were collected at 12 h intervals for analysis.

2.6. Orthogonal Experiment Design of Nutrient Supplementation

The orthogonal design L9 (34) was used to investigate the influence of nutrient supplement dose of Zn2+ (A), Mg2+ (B), Mn2+ (C) and yeast extract (D) on ethanol fermentation. Each supplement or factor was set at three levels (A: 0.01, 0.03 and 0.05 g·L−1; B: 0.05, 0.1 and 0.15 g·L−1; C: 0.01, 0.025 and 0.04 g·L−1; D: 3, 6 and 9 g·L−1). The L9 (34) orthogonal design is shown in Table 2. The nutrients at the different doses (Table 2) were supplemented into the EP medium. Nine experiments of the ethanol fermentation were carried out in duplicate as described in Section 2.5. The ethanol concentration and ethanol productivity were used as response values to analyse the order of nutrient and the optimum condition. Analysis of variance (ANOVA) was used as the tool of analysis.
Table 1. Composition of the nutrient supplements in the EP media for the preliminary study.
Table 1. Composition of the nutrient supplements in the EP media for the preliminary study.
Medium code aComposition (g·L−1)
Me-HZn2+, 0.05; Mg2+, 0.15 and Mn2+, 0.04
Ye-HYeast extract, 9
MeYe-LZn2+, 0.01; Mg2+, 0.05; Mn2+, 0.01 and yeast extract, 3
MeYe-HZn2+, 0.05; Mg2+, 0.15; Mn2+, 0.04 and yeast extract, 9
a Me = Metals, Ye = yeast extract, H = highest concentration, L = lowest concentration.
Table 2. The L9 (34) orthogonal design for the ethanol fermentation.
Table 2. The L9 (34) orthogonal design for the ethanol fermentation.
Experiment runA: Zn2+ (g·L−1)B: Mg2+ (g·L−1)C: Mn2+ (g·L−1)D: Yeast extract (g·L−1)
10.010.050.0103
20.010.100.0256
30.010.150.0409
40.030.050.0259
50.030.100.0403
60.030.150.0106
70.050.050.0406
80.050.100.0109
90.050.150.0253

2.7. The Verification Experiments

The verification experiments under the optimum supplement dose obtained from the analysis results of orthogonal experiment (Section 2.6), were performed in the 500-mL air-locked flask and a 2-L fermenter (Biostat®B, B. Braun Biotech, Melsungen, Germany). The final working volume of the 2-L fermenter was 1.5 L, and the EP medium was sterilized at 110 °C for 40 min. The fermentation conditions in the fermenter were the same as those previously described for the flask.

2.8. Analytical Methods

The major trace elements in raw sweet sorghum juice and yeast extract were analysed by Central Laboratory (Thailand) Co., Ltd. (Khon Kaen, Thailand). The cell numbers in the fermentation broth were determined by direct counting method using haemacytometer with methylene blue staining technique [33]. The fermentation broth was centrifuged at 13,000 rpm for 10 min. Then, the supernatant was determined for the total residual sugars by a phenol-sulfuric acid method [34]. Ethanol concentration was analyzed by GC (Shimadzu GC-14B, Kyoto, Japan, Solid phase: polyethylene glycol (PEG-20M), carrier gas: nitrogen, 150 °C isothermal packed column, injection temperature 180 °C, flame ionization detector temperature 250 °C; GC Solution analysis Version 2.30) and 2-propanol was used as an internal standard [16]. The ethanol yield (Yp/s) was calculated as the actual ethanol produced and expressed as g ethanol per g sugar utilized (g·g−1). The volumetric ethanol productivity (Qp, g·L−1·h−1) was calculated by ethanol concentration produced (P, g·L−1) divided by fermentation time giving the highest ethanol concentration. Fermentable nitrogen or formol nitrogen in the fermentation broth was analyzed by the formol titration method [33]. Glycerol, the main by-product during ethanol fermentation, was quantified by HPLC equipped with a Shimadzu reflactive index detector. The separation was performed in an Aminex 87H column at 40 °C with 5 mM H2SO4 as eluent at a flow rate of 0.6 mL·min−1 [35].

3. Results and Discussion

3.1. Trace Elements in Sweet Sorghum Juice and Yeast Extract

The raw sweet sorghum juice contained many minerals and trace elements (Table 3), which were important for yeast growth and ethanol fermentation. However, the concentrations of the three essential elements (Zn2+, Mg2+ and Mn2+) in the juice were lower than those recommended for ethanol fermentation in many literatures [8,16,20,23,28,29,30,32].
Table 3. Minerals and trace elements in raw sweet sorghum juice cv. KKU 40 and yeast extract (Himedia).
Table 3. Minerals and trace elements in raw sweet sorghum juice cv. KKU 40 and yeast extract (Himedia).
Constituents Sweet sorghum juice aYeast extract
N-119.20 g·kg−1
P20.00 ppm10.96 g·kg−1
K1790.00 ppm60.67 g·kg−1
Na170.00 ppm-
S120.00 ppm-
Ca166.00 ppm254.00 mg·kg−1
Mg194.00 ppm247.00 mg·kg−1
Fe2.00 ppm59.39 mg·kg−1
Mn3.00 ppm1.35 mg·kg−1
Cu0.30 ppm1.47 mg·kg−1
Zn1.40 ppm68.26 mg·kg−1
Ni-0.52 mg·kg−1
Mo-0.055 mg·kg−1
Note: a Data from [16].
Yeast extract produced from yeast cells [36] is proven to be very efficient for increasing fermentation rate because it primarily consists of amino acids, peptides, nucleotides and other soluble components of yeast cells [37]. The yeast extract used as a nutrient supplement in this study contained about 12% of nitrogen (Table 3). The contents of the three elements (Zn2+, Mg2+ and Mn2+) in the highest yeast extract concentration used in this research (9 g·L−1 in the sweet sorghum juice) were also lower than the recommended values [8,16,20,23,28,29,30,32].

3.2. Effects of Temperature on VHG Ethanol Fermentation

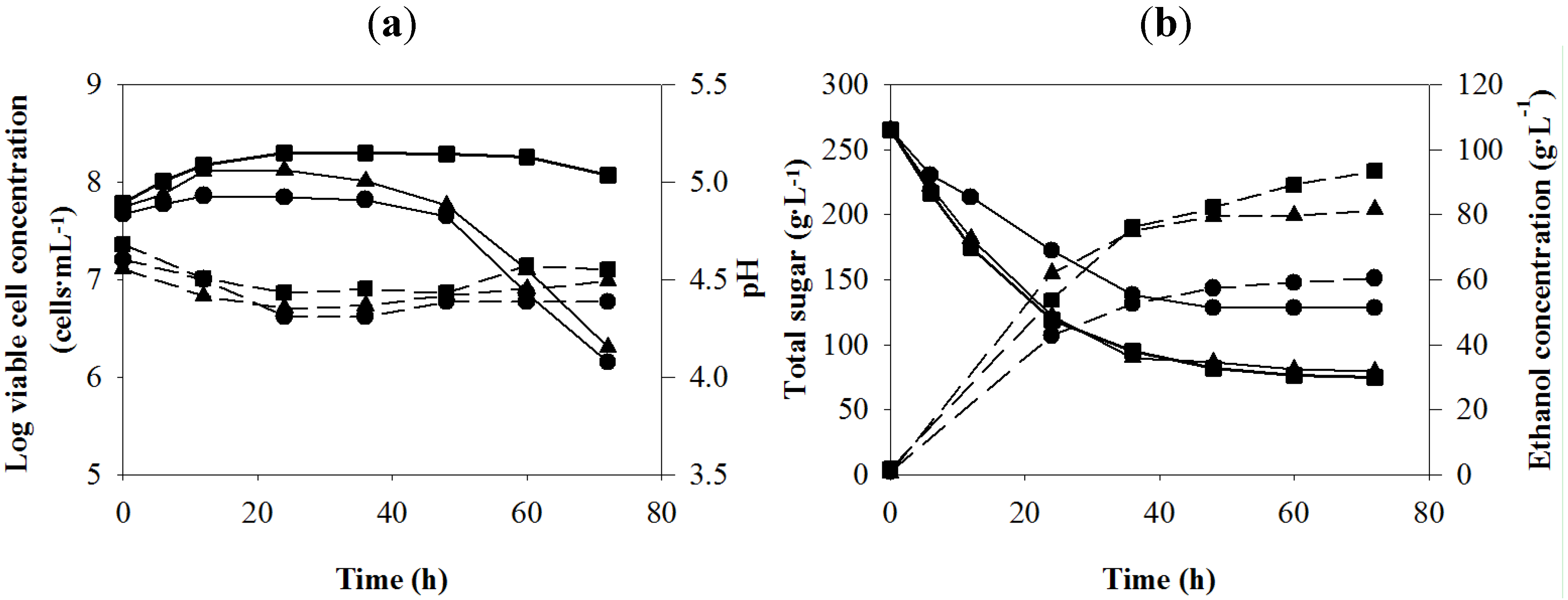
It is well-known that fermentation temperature has a significant effect on ethanol production efficiency and the degree of the impact depends on many factors including yeast strain and substrate concentration [38,39]. In industry, fuel ethanol fermentation under normal gravity condition is normally conducted at the fermentation temperature of 30 to 35 °C [39]. The effects of temperature on ethanol fermentation by S. cerevisiae NP 01 under the VHG conditions revealed that no lag phase was observed after the yeast cells were inoculated into the EP medium at all temperatures (Figure 1a). The initial pH values of the juice were 4.56 to 4.68. The pH at all temperatures slightly changed during the fermentation with a range of 4.31 to 4.57. At 30 °C, the cell concentration increased in 24 h, and it was relatively constant until the end of the experiment with the value of 2.22 × 108 cells·mL−1. On the other hand, at 35 °C the cell numbers increased in 12 h and decreased rapidly after 36 h. At 38 °C, the cell numbers slightly increased in 12 h and the value markedly decreased after 48 h as found at 35 °C. The viable cell numbers remaining at 30, 35 and 38 °C were 1.28 × 108, 2.60 × 106 and 1.50 × 106 cells·mL−1, respectively. The results strongly indicated that high temperature had a negative effect on yeast cell viability. Walker [23] reported that thermal damaged yeast cells by denaturation the hydrogen bonding and hydrophobic interaction resulting in the decline of yeast cell viability. Şener et al. [18] suggested that at the temperature higher than 20 °C, yeast cells experienced a rapid decline in viability at the end of fermentation and high temperature might disrupt enzyme activity and membrane functions. However, in our experiments, the decline of cell number was rarely observed at 30 °C. The different results might be due to the difference in yeast strain and fermentation medium.
Figure 1. Batch ethanol fermentation from the sweet sorghum juice at different temperatures: 30 ( ), 35 ( ) and 38 ( ) °C. (a) log viable cell (solid lines), pH (dashed lines) and (b) total sugar (solid lines), ethanol concentration (dashed lines).
Figure 1. Batch ethanol fermentation from the sweet sorghum juice at different temperatures: 30 ( ), 35 ( ) and 38 ( ) °C. (a) log viable cell (solid lines), pH (dashed lines) and (b) total sugar (solid lines), ethanol concentration (dashed lines).
Changes of the total sugar in the fermentation broth at 30 and 35 °C were not different, while those at 38 °C were markedly lower (Figure 1b). The total sugar concentrations remaining at 30 and 35 °C were similar, with the values of 74.88 and 78.26 g·L−1, respectively and the highest total sugar remaining (128.17 g·L−1) was detected at 38 °C. Sugar consumption and ethanol production were agreed with each other. Changes of the ethanol concentration at 30 and 35 °C were similar in the first 48 h, after that the value at 30 °C was continuously increased until 72 h. The highest ethanol concentrations at 35 and 38 °C were observed at 48 h with the values of 79.25 and 57.34 g·L−1, respectively (Table 4). These results demonstrated that higher fermentation temperature had an adverse effect on the ethanol production. When compared between 30 and 35 °C, in the first 36 h, sugar consumption and ethanol production were similar. After 36 h, the values at 30 °C were higher. This might be due to significantly higher viable cell concentration remaining at 30 °C.
Table 4. Main fermentation parameters of batch ethanol production from the sweet sorghum juice at different temperatures.
Table 4. Main fermentation parameters of batch ethanol production from the sweet sorghum juice at different temperatures.
Fermentation temperature (°C)Fermentation parameters at (h)
P (g·L−1)Qp (g·L−1·h−1)Yp/s (g·g−1)
3093.43 ± 0.451.30 ± 0.010.49 ± 0.0072
3579.25 ± 0.951.65 ± 0.020.44 ± 0.0348
3857.34 ± 1.291.19 ± 0.030.42 ± 0.0148
a P = ethanol concentration, Qp = ethanol productivity, Yp/s = ethanol yield and t = fermentation time.The experiments were performed in duplicate and the results were expressed as mean ± SD.
Özilgen et al. [40] indicated that ethanol accumulation in the fermenters inhibited growth rate, ethanol production rate, cell viability and substrate consumption. However, in this study it was found that the accumulation of ethanol concentration up to 93 g·L−1 had no significant effect on cell viability at 30 °C. This implies that S. cerevisiae NP 01 can withstand up to 93 g·L−1 of ethanol at 30 °C.
Table 4 summarizes the fermentation parameters of VHG ethanol production at the different temperatures. The P and Yp/s values at 30 °C were significantly higher than those at higher temperatures. The Qp value at 35 °C was higher than that at 30 °C due to shorter fermentation time. However, at 48 h of fermentation time, the Qp value at 30 °C was the highest. Therefore, 30 °C was selected as the optimum temperature for subsequent experiments. Shorter fermentation time at 30 °C or higher Qp value should be obtained by nutrient supplementation.
Higher optimum temperature for ethanol fermentation was reported by Liu and Shen [41] who found that when the fermentation temperature was increased from 28 °C to 37 °C, the ethanol yield from stalk juice of sweet sorghum by immobilized S. cerevisiae CICC 1308 was increased from 75.79% to 89.89%. The optimum condition was fermentation temperature, 37 °C; agitation rate, 200 rpm; particle stuffing rate, 25% and pH, 5.0. These results indicated that ethanol formation was dependent on the temperature, and the increase in temperature in their study resulted in an increased total ethanol concentration. In addition, Slaa et al. [42] investigated ethanol fermentation by S. cerevisiae (baker’s yeast) from 18% of D-glucose at various temperatures (20, 25, 30, 35 and 40 °C). They found that 35 °C was the optimum temperature for ethanol fermentation. The difference in the optimum temperature for ethanol fermentation in various studies may be due to strain, medium and other fermentation parameters.

3.3. Preliminary Results of Nutrient Supplementation

In the present study, urea and ammonium sulphate were not used as the nitrogen source for ethanol production. This was because urea could react with ethanol yielding ethyl carbamate (urethane) as a product [33], resulting in lower ethanol concentration. Similarly, the addition of ammonium sulphate in sweet sorghum juice caused lower ethanol concentration [16]. In addition, excessive ammonium addition might cause an increase in higher alcohols [43], acetic acid [44] or hydrogen sulphide [45].
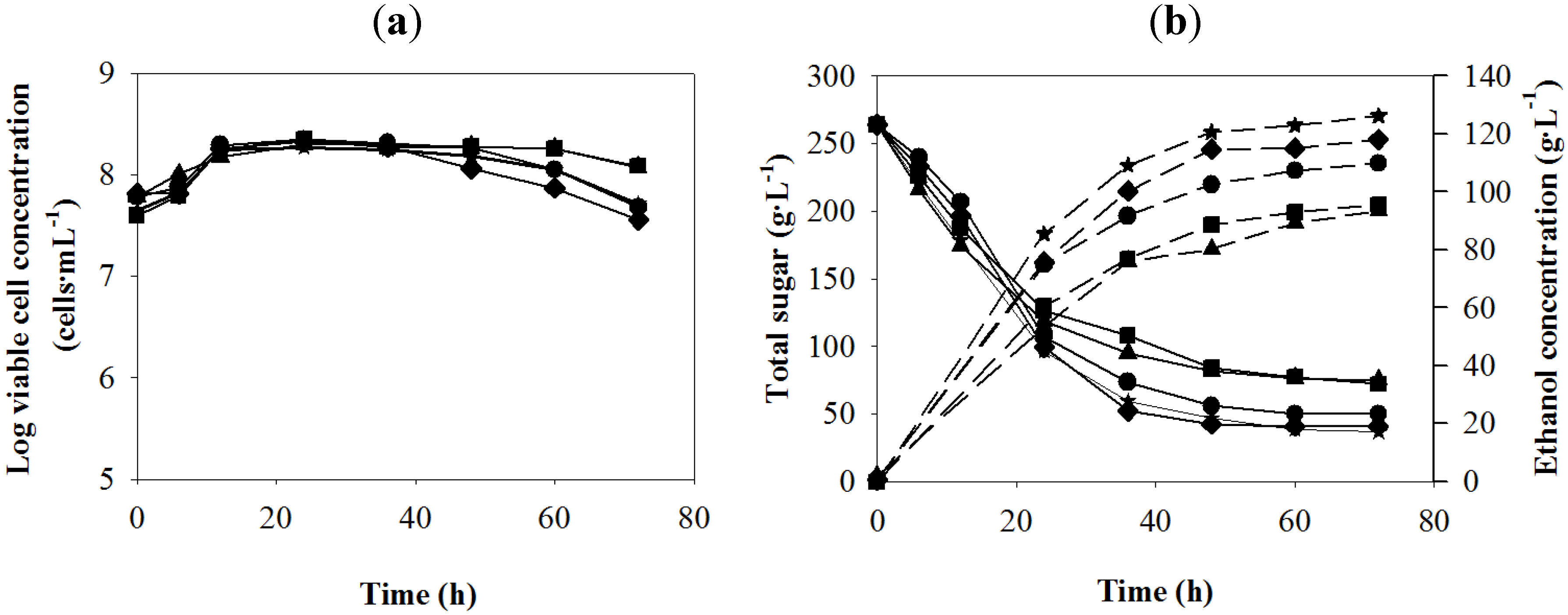
Before the optimization of nutrient supplementation for ethanol production from the sweet sorghum juice was studied using an orthogonal array design, preliminary studies on nutrient supplementation were carried out (Table 1). The results showed that the changes of the viable cells and sugar concentrations in Me-H medium were not different from those of the control medium but its ethanol concentration was slightly (2.19 g·L−1) higher than that of the control medium (Figure 2). The sugar consumption of the two media was similar with 72 to 73% (Table 5). This indicated that the metals supplemented did not significantly promote cell growth and sugar consumption. The viable cell concentrations in Me-H and control media increased in 12 h and were relatively constant throughout the experiment, while these values in Ye-H, MeYe-L and MeYe-H media decreased after 48 h. Bai et al. [46] suggested that nitrogen was the most important component in the fermentation medium for ethanol production under VHG condition. In this study, comparing between MeYe-H and Me-H media (the same metal dose), supplementation with yeast extract significantly improved ethanol production, but it did not promote cell viability. Lower cell survival in MeYe-H medium compared to that in Me-H medium might be due to product inhibition or the effect of high ethanol concentration in MeYe-H medium.
Figure 2. Batch ethanol fermentation from the sweet sorghum juice in the presence of different metals (Zn2+, Mg2+ and Mn2+) and yeast extract doses of the preliminary studies (see Table 1); Me-H ( ),Ye-H ( ), MeYe-L ( ), MeYe-H ( ) and control ( ). (a) log viable cell; (b) total sugar (solid lines), ethanol concentration (dashed lines).
Figure 2. Batch ethanol fermentation from the sweet sorghum juice in the presence of different metals (Zn2+, Mg2+ and Mn2+) and yeast extract doses of the preliminary studies (see Table 1); Me-H ( ),Ye-H ( ), MeYe-L ( ), MeYe-H ( ) and control ( ). (a) log viable cell; (b) total sugar (solid lines), ethanol concentration (dashed lines).
The highest value of ethanol production was observed in MeYe-H medium followed by Ye-H and MeYe-L media, respectively. When MeYe-H and Ye-H media (the same yeast extract dose) were compared, supplementation with the metals did not promote sugar utilization and cell viability, but they promoted ethanol production. Changes of sugar concentrations in the two media were similar throughout the experiment, but the ethanol concentration in MeYe-H medium was about 6 g·L−1 higher than that of Ye-H medium at 48 h. High viable yeast cell concentration in the control medium after 48 h might be due to the lowest ethanol concentration produced.
Table 5. Main fermentation parameters of batch ethanol production from the sweet sorghum juice in the presence of different nutrient supplements of the preliminary studies.
Table 5. Main fermentation parameters of batch ethanol production from the sweet sorghum juice in the presence of different nutrient supplements of the preliminary studies.
Nutrient supplement aFermentation parameters bSugar consumption (%)t (h)
P (g·L−1)Qp (g·L−1·h−1)Yp/s (g·g−1)
None (control)93.45 ± 0.45 c1.30 ± 0.01 c0.49 ± 0.00 c71.5972
Me-H95.64 ± 0.00 c1.33 ± 0.00 c0.50 ± 0.00 c73.0072
Ye-H114.5 ± 2.98 e2.39 ± 0.07 e0.52 ± 0.01 d83.8648
MeYe-L107.28 ± 0.66 d1.79 ± 0.01 d0.50 ± 0.01 c81.0960
MeYe-H120.58 ± 2.75 f2.51 ± 0.06 f0.52 ± 0.00 d82.3248
a see Table 1; b P = ethanol concentration, Qp = ethanol productivity, Yp/s = ethanol yield and t = fermentation time;The experiments were performed in duplicate and the results were expressed as mean ± SD; c,d,e,f Means followed by the same letter within the same column are not significantly different using Duncan’s multiple range test at the level of 0.05.
Table 5 summarizes the important fermentation parameters of the ethanol production under various nutrient supplement doses. The highest P, Qp and Yp/s values were obtained in MeYe-H, followed by Ye-H, MeYe-L, Me-H and control media, respectively. The results obtained from the preliminary studies indicated that both yeast extract and the metals were necessitated for improvement of the ethanol production under the VHG condition. Therefore, the orthogonal array experiment was further studied.

3.4. The Orthogonal Experiment Results of VHG Ethanol Fermentation

Batch ethanol fermentations under VHG condition of R1 to R9 (Table 2) were carried out. The results of the fermentation of R1 (Zn2+, 0.01; Mg2+, 0.05; Mn2+, 0.010 and yeast extract, 3 g·L−1) are shown in Figure 3. The pH value of the juice slightly changed, ranging from 4.43 to 4.68 during the fermentation. The viable cell concentrations increased until 12 h. After 48 h, the cell numbers were markedly decreased, with the value of 4.80 × 107 cells·mL−1 at the end of the fermentation. The total sugars were not completely consumed under this condition. The sugars remaining in the fermented broth was 49.93 g·L−1 corresponding to 82.54% of sugar consumption. Regarding the P values, they were markedly increased in 48 h and they slightly increased after that. The profiles of the parameters measured during the batch ethanol fermentation of the eight remaining runs were similar to those of R1 (data not shown). At the end of the fermentations in all runs, the viable cell numbers ranged from 4.65 × 107 to 1.06 × 108 cells·mL−1, and the total sugar consumed ranged from 231.48 to 241.02 g·L−1 with the total sugar remaining from 31.43 to 53.33 g·L−1.
Table 6 summarizes the important fermentation parameters of the orthogonal experiment. The P values were mainly dependent on the amount of yeast extract addition. These values in the juice containing 3, 6 and 9 g·L−1of yeast extract were 102.27 to 107.28, 110.32 to 113.37 and 113.28 to 118.65 g·L−1, respectively (Table 6).
Figure 3. Batch ethanol fermentation of Run 1 (R1: the sweet sorghum juice containing Zn2+, 0.01; Mg2+, 0.05; Mn2+, 0.010 and yeast extract, 3 g·L−1): pH (×), log viable cell concentration (○), total sugar ( ) and ethanol concentration ( ).
Figure 3. Batch ethanol fermentation of Run 1 (R1: the sweet sorghum juice containing Zn2+, 0.01; Mg2+, 0.05; Mn2+, 0.010 and yeast extract, 3 g·L−1): pH (×), log viable cell concentration (○), total sugar ( ) and ethanol concentration ( ).
Table 6. Orthogonal experiment results of ethanol concentration (P), productivity (Qp) and yield (Yp/s) at the fermentation time of 60 h.
Table 6. Orthogonal experiment results of ethanol concentration (P), productivity (Qp) and yield (Yp/s) at the fermentation time of 60 h.
Experimental run aP (g·L−1)Qp (g·L−1·h−1)Yp/s (g·g−1)
R1107.28 ± 0.66 c1.79 ± 0.01 c0.45 ± 0.01 b
R2110.57 ± 2.72 d1.84 ± 0.05 d0.49 ± 0.02 e,f
R3118.65 ± 0.44 f1.98 ± 0.01 f0.50 ± 0.00 f
R4115.40 ± 0.19 e1.92 ± 0.00 e0.48 ± 0.00 d,e
R5106.74 ± 0.47 c1.78 ± 0.01 c0.48 ± 0.00 d,e
R6110.32 ± 2.44 d1.84 ± 0.04 d0.48 ± 0.00 d,e
R7113.37 ± 0.83 e1.89 ± 0.01 e0.50 ± 0.00 f
R8113.28 ± 1.54 e1.89 ± 0.00 e0.47 ± 0.01 c,d
R9102.24 ± 0.54 b1.70 ± 0.00 b0.46 ± 0.00 b,c
a see Table 2; b,c,d,e,f Means followed by the same letter within the same column are not significantly different using Duncan’s multiple range test at the level of 0.05; The experiments were performed in duplicate and the results were expressed as mean ± SD.
The P values were increased with increasing yeast extract or nitrogen source concentration. The results were supported by Bai et al. [46] who reported that under the VHG ethanol fermentation, assimilation nitrogen was the most important component in the fermentation medium. In addition, Bely et al. [47] reported that nitrogen source was the principle factor limiting yeast growth and fermentation. The addition of free amino nitrogen (FAN) in the fermentation media led to higher final ethanol concentration, and increasing FAN content by protolytic degradation of protein present in mashes could increase fermentation performance [48,49]. In this study, the highest P value was observed in the R3 condition. The Qp values of the EP media containing 3 g·L−1 of yeast extract (R1, R5 and R9) were lower than those of 6 (R2, R6 and R7) and 9 g·L−1 (R3, R4 and R8) of yeast extract, respectively. The lowest Yp/s value was observed in R1, while R3 and R7 gave the highest Yp/s value.
Due to the amount of assimilation nitrogen which affected the ethanol production efficiency [8], and the large amounts of by-products produced under osmolytic stress [50,51], the fermentable nitrogen and glycerol (the main product of ethanol fermentation) concentrations in the fermented broth of the orthogonal experiments were determined. The utilization of fermentable nitrogen and glycerol production in ethanol fermentation under different supplement doses are shown in Table 7. The initial fermentable nitrogen concentrations in the juice containing the same concentration of yeast extract (3 g·L−1 in R1, R5 and R9; 6 g·L−1 in R2, R6 and R7 and 9 g·L−1 in R3, R4 and R8) were similar. The average fermentable nitrogen concentrations in the juice containing 3, 6 and 9 g·L−1 of yeast extract were 396.89 ± 2.15, 513.38 ± 13.04 and 636.78 ± 14.03 mg·L−1, respectively. From these data, the concentration of the fermentable nitrogen in 3 g·L−1 of yeast extract was calculated to be 117 to 123 mg·L−1; therefore, the fermentable nitrogen content in the juice without supplementation was about 274 to 280 mg·L−1. This value was slightly lower than that (313 mg·L−1) reported by Laopaiboon et al. [16]. In R1, the amount of fermentable nitrogen utilization of yeast was the lowest. This might be due to the fact that the metal doses in R1 were minimum. The fermentable nitrogen utilized in the juice containing 3 g·L−1 of yeast extract was lower than that of the juice supplemented with 6 and 9 g·L−1 of yeast extract, respectively; and the ethanol concentration of the juice containing 9 g·L−1 of yeast extract was higher than those of 6 and 3 g·L−1, respectively. These results implied that the amount of nitrogen consumption possibly related to ethanol production by the yeast (Table 6 and Table 7). The results in Table 7 also showed that the amount of nitrogen utilized depended on the initial fermentable nitrogen. The fermentable nitrogen remaining in the juice containing 9 g·L−1 of yeast extract (R3, R4 and R8) was higher than those of other experiments.
Table 7. Fermentable nitrogen utilization and glycerol production during the VHG ethanol fermentation from sweet sorghum juice of the orthogonal experiment.
Table 7. Fermentable nitrogen utilization and glycerol production during the VHG ethanol fermentation from sweet sorghum juice of the orthogonal experiment.
Experimental run aFermentable nitrogen b (mg·L−1)Glycerol concentration c (g·L−1)
InitialUtilized
R1396.60 ± 0.78172.38 ± 7.4110.59 ± 0.15 d
R2528.35 ± 7.84302.43 ± 3.6411.12 ± 0.37 d
R3647.64 ± 2.77330.13 ± 2.7711.37 ± 0.44 d
R4641.76 ± 11.09330.98 ± 1.5711.29 ± 0.32 d
R5394.89 ± 5.80265.33 ± 10.5910.78 ± 0.49 d
R6507.28 ± 0.00318.98 ± 1.5311.52 ± 0.00 d
R7504.50 ± 0.00304.62 ± 11.0410.13 ± 1.54 d
R8620.93 ± 0.00347.65 ± 7.7310.02 ± 1.67 d
R9399.17 ± 0.00265.51 ±18.9811.15 ± 0.17 d
a see Table 2; b At the end of the experiment (72 h). c At the fermentation time of 60 h; d Means followed by the same letter within the same column are not significantly different using Duncan’s multiple range test at the level of 0.05; The experiments were performed in duplicate and the results were expressed as mean ± SD.
Aili and Xan [52] reported that during growth under osmotic stress condition, glycerol was formed and accumulated inside the cell where it worked as an efficient osmolyte that protected the cell against lysis. Brown [53] and Larsson and Gustafsson [54] also reported that most of the glycerol produced by S. cerevisiae under stress was excreted into the medium. Therefore, it is considered as the main by-product of ethanol fermentation. In this study, the average glycerol concentrations in R1 to R9 were not significantly different (p ≥ 0.05). The glycerol production varied from 10 to 11 g·L−1, irrespective of the amount of nutrient doses (Table 7). This indicated that glycerol production from the sweet sorghum juice under the VHG condition by S. cerevisiae NP 01 did not relate to the ethanol concentration produced. The glycerol concentrations detected in this study were similar to those reported by Thomas et al. [55] and Bai et al. [46] who found that glycerol was produced at a level of about 1.0 to 1.2% (w/v) or 10 to 12 g·L−1 from ethanol fermentations under VHG condition. Lower glycerol production at only 3.2 g·L−1 was detected under zinc supplementation in the synthetic medium during continuous ethanol fermentation [24].

3.5. The Analysis Results of L9 (34) Orthogonal Experiment

In this study, the parameter P and Qp values (Table 6) were used as response values for analysis of the optimum condition of orthogonal experiment [20]. The range analysis was applied to clarify the important sequence of Zn2+ (factor A), Mg2+ (factor B), Mn2+ (factor C) and yeast extract (factor D) for the ethanol fermentation. The range analysis results of L9(34) orthogonal experiment for P value showed that factor D gave the highest range (R) with the value of 10.36, followed by factor C (2.63), A (2.54) and B (1.82), respectively (Table 8).
Table 8. The range analysis of L9(34) orthogonal experiment for ethanol concentration (P).
Table 8. The range analysis of L9(34) orthogonal experiment for ethanol concentration (P).
A: Zn2+B: Mg2+C: Mn2+D: yeast extract
K1336.50 a336.05330.88316.26
K2336.46330.59328.21334.26
K3328.89331.21338.76347.33
k1112.17 b112.02110.29105.42
k2110.82110.20109.40111.42
k3109.63110.40112.92115.78
R2.54 c1.822.6310.36
QA1B1C3D3
a KiA = Σ the amount of target ethanol concentration at Ai; b kiA = KiA/3; c RiA = max{kiA}–min{kiA}.
The greater R value of the factor represents the greater effect on the final P value. According to the range, the order of influence was determined as yeast extract > Mn2+ > Zn2+ > Mg2+. Judged by the k value of different factors, the optimum nutrient supplement dose for improving ethanol concentration was determined as A1B1C3D3, corresponding to Zn2+, 0.01; Mg2+, 0.05; Mn2+, 0.04 and yeast extract, 9 g·L−1. ANOVA method was used to confirm the order of the four parameters on the final P value. The model F-value of 10.74 implied that the model was significant. There was only 1.77% chance that “a model F-value” this large could happen due to noise. Values of prob F < 0.05 indicated that the model terms were significant. According to the F value, the order of influences (Fyeast extract = 27.23, FMn2+ = 3.37, FZn2+ = 1.62 and FMg2+ = 0.065) was similar to that of the R value. The correlation between the predicted and actual P values had R2 of 92.11%. These results confirmed an acceptable fit of the model to the data [56].
Table 9 shows the range analysis results of L9 (34) orthogonal experiment for Qp value. From the R values, the order of influence on Qp value was determined as yeast extract > Mn2+ > Zn2+> Mg2+ and the optimum nutrient supplement dose for improving Qp was determined as A1B1C3D3: Zn2+, 0.01; Mg2+, 0.05; Mn2+, 0.04 and yeast extract, 9 g·L−1. According to the F value, the order of influence for Qp value (Fyeast extract = 28.00, FMn2+ = 3.88, FZn2+ = 1.74 and FMg2+ = 0.063) was similar to that of the R value. The correlation between the predicted and actual results of the Qp value having R2 (92.07%) higher than 75% confirmed that the fitted model to the results was acceptable [56].
Table 9. The range analysis of L9 (34) orthogonal experiment for ethanol productivity(Qp).
Table 9. The range analysis of L9 (34) orthogonal experiment for ethanol productivity(Qp).
A: Zn2+B: Mg2+C: Mn2+D: yeast extract
K15.61a5.605.515.27
K25.545.515.475.57
K35.485.525.655.79
k11.87b1.871.841.76
k21.851.841.821.86
k31.831.841.881.93
R0.04c0.030.060.17
QA1B1C3D3
a KiA = Σ the amount of target ethanol productivity at Ai; b kiA = KiA/3; cRiA = max{kiA} – min{kiA}.
In this study, the optimum Zn2+ concentration obtained was similar to that (0.011 g·L−1 of Zn2+) reported by Zhao et al. [24], while the optimum Mg2+ concentration was similar to those (0.048 to 0.096 g·L−1 of Mg2+) reported by Walker [23]. On the other hand, Liu et al. [57] found that only 0.05% of MgSO4 (0.01 g·L−1 of Mg2+) was optimum for ethanol production from sweet sorghum juice containing 110.30 g·L−1 of total sugar by immobilized yeast. In addition, Pereira et al. [22] found that 0.03 g·L−1 of MgSO4·7H2O (0.002 g·L−1 of Mg2+) was optimum for ethanol fermentation from basic medium containing 296 to 308 g·L−1 of total sugar and 15 g·L−1 of corn steep liquor. Very high Mg2+ concentration for ethanol fermentation was reported by Wang et al. [28] who found that 1.2 g·L−1 of Mg2+ was the optimum concentration for ethanol fermentation from corn flour hydrolysate. Stelik-Tomas et al. [29] found that the optimum amount of MnSO4 in growth medium should be lower than 0.1 g·L−1 corresponding to 0.004 g·L−1 of Mn2+. Comparing with our results, it can imply that Mg2+ requirement for VHG ethanol fermentation is markedly higher than that for cell growth.

3.6. Verification Experiments

According to the analytical results of P and Qp, the optimum condition for improving both values from the sweet sorghum juice under the VHG condition by S. cerevisiae NP 01 was determined as A1B1C3D3 corresponding to Zn2+, 0.01; Mg2+, 0.05; Mn2+, 0.04 and yeast extract, 9 g·L−1. To confirm the model adequacy for predicting the maximum P and Qp values, the model was validated by carrying out the ethanol production experiment in the 500-mL flask and the 2-L fermenter at the corresponding parameter of the optimum condition A1B1C3D3.
The results of the verification experiment in the flask were compared with those of the control (without nutrient supplement). The changes of yeast cell concentration in 48 h of the two conditions were similar (Figure 4a). The viable cell concentrations slightly decreased after 48 and 60 h under the optimum and control conditions, respectively. The sugar consumption under the optimum condition was significantly higher than that of the control condition (Figure 4b). The sugar remaining in the juice supplemented with the optimum nutrient doses was 26 g·L−1, which was approximately 46 g·L−1 lower than that in the control condition. When the verification experiment was carried out in the 2-L fermenter, all changes were similar to those in the flask (data not shown). This indicated that the addition of essential nutrients at the optimum concentration into the sweet sorghum juice promoted fermentable sugar utilization by the yeast.
Figure 4. Batch VHG ethanol fermentation under the optimum condition ( : Zn2+, 0.01; Mg2+, 0.05; Mn2+, 0.04 and yeast extract, 9 g·L1) and the control condition ( ) from the sweet sorghum juice; (a) log viable cell and (b) total sugar (solid lines), ethanol concentration (dashed lines).
Figure 4. Batch VHG ethanol fermentation under the optimum condition ( : Zn2+, 0.01; Mg2+, 0.05; Mn2+, 0.04 and yeast extract, 9 g·L1) and the control condition ( ) from the sweet sorghum juice; (a) log viable cell and (b) total sugar (solid lines), ethanol concentration (dashed lines).
Table 10 summarizes the important fermentation parameters of VHG ethanol production from the sweet sorghum juice with and without nutrient supplementation at the optimum concentration. The final P values under the optimum conditions both in the flask and fermenter were approximately 30 g·L1 higher than that of the control. Under the optimum condition A1B1C3D3, the P and Yp/s values in the two containers were not different, but the fermentation time in the flask was 12 h shorter than that in the bioreactor, resulting in the lower Qp in the fermenter. The Qp values in the two containers might be closer if the time interval for sampling was less than 12 h (from 48 to 60 h). In addition, the P and Qp values under the optimum condition were higher than those of the nine experiments in the orthogonal experiment (Table 6).
In our study, the size of the container did not affect the Yp/s value. The opposite results were observed by Liu and Shen [41] who studied the effects of various factors (fermentation temperature, agitation rate, particles stuffing rate and pH) on ethanol yield from sweet sorghum by S. cerevisiae CICC 1308 using the orthogonal design and the optimum condition obtained was verified in shaking flask and 5-L fermenter. They reported that the ethanol yield under the optimum condition in the fermentor was lower than that in the flasks. However, the reason of this phenomenon was not discussed.
In addition, Liu et al. [57] determined the optimum inorganic salt [(NH4)2SO4, MgSO4 and K2HPO4] supplement doses for ethanol fermentation from sweet sorghum by immobilized S. cerevisiae using the orthogonal design in shaking flask. When the optimum condition was verified in the 5-L fluidized bed bioreactor, the ethanol yield under the optimum inorganic salts supplementation dose in the fluidized bed bioreactor was lower than that in the flask.
Table 10. Fermentation parameters, fermentable nitrogen utilized and glycerol concentration in ethanol fermentation from the sweet sorghum juice under the optimum condition and control condition.
Table 10. Fermentation parameters, fermentable nitrogen utilized and glycerol concentration in ethanol fermentation from the sweet sorghum juice under the optimum condition and control condition.
Fermentation parameterOptimum conditionControl condition
500 mL-flask
500 mL-flask2-L fermenter
Sugar consumption (%)88.7288.1771.59
P (g·L−1) *120.58 ± 0.26120.13 ± 2.6293.43 ± 0.45
Qp (g·L−1 h−1)2.51 ± 0.012.00 ± 0.041.30 ± 0.01
Yp/s (g·g−1)0.49 ± 0.010.49 ± 0.010.49 ± 0.00
t (h)486072
Initial fermentable nitrogen (mg·L−1)681.48 ± 3.81700.00 ± 0.00304.00 ± 0.00
Utilized fermentable nitrogen (mg·L−1) **332.92 ± 14.48331.66 ± 1.78178.14 ± 2.12
Glycerol (g·L−1)11.33 ± 0.0211.19 ± 0.1013.56 ± 0.30
* P = ethanol concentration, Qp = ethanol productivity, Yp/s = ethanol yield and t = fermentation time; ** At the end of the fermentation; The experiments were performed in duplicate and the results were expressed as mean ± SD.
Nitrogen utilization and glycerol production during ethanol fermentation under the optimum condition were similar to those of the nine experiments from the orthogonal experiment (Table 7 and Table 10). Fermentable nitrogen under the optimum condition was utilized, approximately 2 times of that under the control condition, while glycerol production under the optimum condition was only 2 g·L1 lower than that of the control condition.
The P and Qp values under the optimum condition were increased 29 and 93%, respectively when compared with those of the control treatment (Table 10). The results further demonstrated that the determined optimum fermentation condition A1B1C3D3 was reasonable for improving the P and Qp values. The ethanol production efficiencies (P and Qp) under the optimum condition were not different from those under supplementation of yeast extract and the metals at the highest values (MeYe-H from the preliminary studies in Table 5); however the amount of zinc (A) and magnesium (B) required were lower.

4. Conclusions

This study achieves the goal of VHG fermentation technology that at least 15% (v/v) or 120 g·L−1 of ethanol is produced in the fermentation broth [14]. The nutrient supplementation at the appropriate doses in the sweet sorghum juice under the VHG condition significantly improved the ethanol production efficiencies in terms of P and Qp. Based on the analysis of orthogonal and verification experiments, nitrogen source was the most influenced parameter on improvement of the ethanol production followed by Mn2+, Zn2+ and Mg2+, respectively; and the optimum nutrient supplementation was Zn2+, 0.01; Mg2+, 0.05; Mn2+, 0.04 and yeast extract, 9 g·L−1. Due to the fact that some sugar remains in the sweet sorghum juice supplemented with the appropriate nutrient doses, the optimum conditions in terms of processing parameters and/or fermentation processes to achieve complete sugar utilization under VHG levels need to be further studied.

Acknowledgements

This research was financially supported by the Higher Education Research Promotion and National Research University Project of Thailand through Biofuels Research Cluster of Khon Kaen University (KKU), Office of the Higher Commission Education and the Fermentation Research Center for Value Added Agricultural Products (FerVAAP), KKU, Thailand. We would like to thank Assistant Paiboon Danviruthai, Faculty of Technology, KKU for providing the NP01 strain, and Associate Aroonwadee Chanawong, Faculty of Associated Medical Sciences, KKU and Preekamol Klanrit, Faculty of Technology, KKU for their internal reviews of this paper and helpful suggestions.

References

  1. Sree, N.K.; Sridhar, M.; Rao, L.V.; Pandey, A. Ethanol production in solid substrate fermentation using thermotolerant yeast. Process Biochem. 1999, 34, 115–119. [Google Scholar] [CrossRef]
  2. Wu, X.; Staggenborg, S.; Propheter, J.L.; Rooney, W.L.; Yu, J.; Wang, D. Features of sweet sorghum juice and their performance in ethanol fermentation. Ind. Crop. Prod. 2010, 31, 164–170. [Google Scholar] [CrossRef]
  3. Chohnan, S.; Nakane, M.; Rahman, M.H.; Nitta, Y.; Yoshiura, T.; Ohta, H.; Kurusu, Y. Fuel ethanol production from sweet sorghum using repeated-batch fermentation. J. Biosci. Bioeng. 2011, 4, 433–436. [Google Scholar] [CrossRef]
  4. Davila-Gomez, F.J.; Chuck-Hernandez, C.; Perez-Carrillo, E.; Rooney, W.L.; Serna-Saldivar, S.O. Evaluation of bioethanol production from five different varieties of sweet and forage sorghums (Sorghum bicolor (L) Moench). Ind. Crop. Prod. 2011, 33, 611–616. [Google Scholar] [CrossRef]
  5. Serna-Saldivar, S.O.; Chuck Hernandez, C.; Perez Carrillo, E.; Heredia Olea, E. Sorghum as a Multifunctional Crop for the Production of Fuel Ethanol: Current Status and Future Trends. In Bioethanol; Pinheiro Lima, M.A., Policastro Natalence, A.P., Eds.; In Tech: London, UK, 2012; Chapter 3; pp. 51–74. [Google Scholar]
  6. Luhnow, D.; Samor, G. As Brazil fills up on Ethanol, It Weans off Energy Imports. The Wall Street Journal. 9 January 2006. Available online: http://wsj.com/article/SB113676947533241219.html (accessed on 13 August 2012).
  7. Laluce, C. Current aspects of fuel ethanol production in Brazil. Crit. Rev. Biotechnol. 1991, 11, 149–161. [Google Scholar] [CrossRef]
  8. Bafrncová, P.; Šmogrovičová, D.; Sláviková, I.; Pátková, J.; Dömény, Z. Improvement of very high gravity ethanol fermentation by media supplementation using Sacchromyces Serevisiae. Biotechnol. Lett. 1999, 21, 337–341. [Google Scholar] [CrossRef]
  9. Thomas, K.C.; Hynes, S.H.; Ingledew, W.M. Practical and theoretical considerations in the production of high concentration of alcohol by fermentation. Process Biochem. 1996, 31, 321–331. [Google Scholar] [CrossRef]
  10. Siqueira, P.F.; Karp, S.G.; Carvalho, J.C.; Sturm, W.; Rodriguez-Leon, J.A.; Tholozan, J.L.; Singhania, R.R.; Pandey, A.; Soccol, C.R. Production of bio-ethanol from soybean molasses by Saccharomyces cerevisiae at laboratory, pilot and industrial scales. Bioresour. Technol. 2008, 99, 8156–8163. [Google Scholar] [CrossRef]
  11. Minteer, S.D. Alcoholic Fuels; CRC Press Taylor and Francis group: London, UK, 2006. [Google Scholar]
  12. Laopaiboon, L.; Nuanpeng, S.; Srinophakun, P.; Klanrit, P.; Laopaiboon, P. Selection of Saccharomyces cerevisiae and investigation of its performance for very high gravity ethanol fermentation. Biotechnology 2008, 7, 493–498. [Google Scholar] [CrossRef]
  13. Bvochora, J.M.; Read, J.S.; Zvauya, R. Application of very high gravity technology to the cofermentation of sweet stem sorghum juice and sorghum grain. Ind. Crop. Prod. 2000, 11, 11–17. [Google Scholar] [CrossRef]
  14. Bayrock, D.P.; Ingledew, W.M. Application of multistage continuous fermentation for production of fuel alcohol by very-high-gravity fermentation technology. J. Ind. Microbiol. Biotechnol. 2001, 27, 87–93. [Google Scholar] [CrossRef] [PubMed]
  15. Bai, F.W.; Chen, L.J.; Zhang, Z.; Anderson, W.A.; Moo-Young, M. Continuous ethanol production and evaluation of yeast cell lysis and viability loss under very high gravity medium conditions. J. Biotechnol. 2004, 110, 287–293. [Google Scholar] [CrossRef] [PubMed]
  16. Laopaiboon, L.; Nuanpang, S.; Srinophakun, P.; Klanrit, P.; Laopaiboon, P. Ethanol production from sweet sorghum juice using very high gravity technology: Effects of carbon and nitrogen supplementations. Bioresour. Technol. 2009, 100, 4176–4182. [Google Scholar] [CrossRef] [PubMed]
  17. Wang, S.; Thomas, K.C.; Sosulski, K.; Ingledew, W.M.; Sosulsk, F.W. Grain pearling and very high gravity (VHG) fermentation technologies for fuel alcohol production from rye and triticale. Process Biochem. 1999, 34, 421–428. [Google Scholar] [CrossRef]
  18. Şener, A.; CanbaŞ, A.; Űnal, Ű.M. The effect of fermentation temperature on the growth kinetics of wine yeast species. Turk. J. Agric. Forest. 2007, 31, 349–354. [Google Scholar]
  19. Bravo, V.; Camacho, F.; Sánchez, S.; Castro, E. Influence of the concentrations of D-xylose and yeast extract on ethanol production by Pachyiolen tannophilus. J. Ferment. Bioeng. 1995, 79, 566–571. [Google Scholar]
  20. Khongsay, N.; Laopaiboon, L.; Jaisil, P.; Laopaiboon, P. Optimization of agitation and aeration for very high gravity ethanol fermentation from sweet sorghum juice by Saccharomyces cerevisiae using an orthogonal array design. Energies 2012, 5, 561–576. [Google Scholar] [CrossRef]
  21. Schepers, A.W.; Thibault, J.; Lacroix, C. Lactobacillus helveticus growth and lactic acid production during pH controlled batch cultures in whey permeate/yeast extract medium. Part I. multiple factor kinetic analysis. Enzyme Microb. Technol. 2002, 30, 176–186. [Google Scholar] [CrossRef]
  22. Pereira, F.B.; Guimarães, P.M.R.; Teixeira, J.A.; Domingues, L. Optimization of low-cost medium for very high gravity ethanol fermentations by Saccharomyces cerevisiae using statistical experimental designs. Bioresour. Technol. 2010, 101, 7856–7863. [Google Scholar] [CrossRef]
  23. Walker, G.M. Yeast: Physiology and Biotechnology; Wiley: New York; NY, USA, 1998. [Google Scholar]
  24. Zhao, X.Q.; Xue, C.; Ge, X.M.; Yuan, W.J.; Wang, J.Y.; Bai, F.W. Impact of zinc supplementation on the improvement of ethanol tolerance and yield of self-flocculating yeast in continuous ethanol fermentation. J. Biotechnol. 2009, 139, 55–60. [Google Scholar] [CrossRef] [PubMed]
  25. Walker, G.M.; Maynard, A.I. Accumulation of magnesium ions during fermentative metabolism in Saccharomyces cerevisiae. J. Ind. Microbiol. Biotechnol. 1996, 18, 1–3. [Google Scholar] [CrossRef]
  26. Birch, R.M.; Walker, G.W. Influence of magnesium ions on heat shock and ethanol stress responses of Saccharomyces cerevisiae. Enzyme Microb. Technol. 2000, 26, 678–687. [Google Scholar] [CrossRef] [PubMed]
  27. Hu, K.; Bai, F.W.; An, L.J. Enhancing ethanol tolerance of a self-flocculating fusant of Schizosaccharomyces pombe and Saccharomyces cerevisiae by Mg2+ via reduction in plasma membrane permeability. Biotechnol. Lett. 2003, 25, 1191–1194. [Google Scholar] [CrossRef]
  28. Wang, F.Q.; Gao, C.J.; Yang, C.Y.; Xu, P. Optimization of an ethanol production medium in very high gravity fermentation. Biotechnol. Lett. 2007, 29, 233–236. [Google Scholar] [CrossRef]
  29. Stehlik-Tomas, V.; Zetic, V.G.; Stanzer, D.; Grba, S.; Vahcic, N. Zinc, copper and manganese enrichment in yeast Saccharomyces cerevisiae. Food Tech. Biotechnol. 2004, 42, 115–120. [Google Scholar]
  30. Xue, C.; Zhao, X.Q.; Yuan, W.J.; Bai, F.W. Improving ethanol tolerance of a selfflocculating yeast by optimization of medium composition. World J. Microbiol. Biotechnol. 2008, 24, 2257–2261. [Google Scholar] [CrossRef]
  31. Sridee, W.; Laopaiboon, L.; Jaisil, P.; Laopaiboon, P. The use of dried spent yeast as a low c-cost nitrogen supplementation from sweet sorghum juice under very high gravity condition. Electron. J. Biotechnol. 2011, 14, 1–15. [Google Scholar]
  32. Avci, A.; Dönmez, S. Effect of zinc on ethanol production by two Thermoanaerobacter strains. Process Biochem. 2006, 41, 984–989. [Google Scholar] [CrossRef]
  33. Zoecklien, B.W.; Fugelsang, K.C.; Gump, B.H.; Nury, F.S. Wine Analysis and Production; Chapman & Hall: New York, NY, USA, 1995. [Google Scholar]
  34. Mecozzi, M. Estimation of total carbohydrate amount in environmental samples by the phenol-sulphuric acid method assisted by multivariate calibration. Chemom. Intell. Lab. Syst. 2005, 79, 84–90. [Google Scholar] [CrossRef]
  35. Sirisantimethakom, L.; Laopaiboon, L.; Danvirutai, P.; Laopaiboon, P. Volatile compounds of a traditional Thai rice wine. Biotechnology 2008, 7, 505–513. [Google Scholar] [CrossRef]
  36. Chae, H.J.; Joo, H.; In, M.J. Utilization of brewer’s yeast cells for the production of food-grade yeast extract. Part I: Effects of different enzymatic treatments on solid and protein recovery and flavor characteristics. Bioresour. Technol. 2001, 76, 253–258. [Google Scholar] [CrossRef] [PubMed]
  37. Jørgensen, H. Effect of nutrients on fermentation of pretreated wheat traw at very high dry matter content by Saccharomyces cerevisiae. Appl. Biochem. Biotechnol. 2009, 153, 44–57. [Google Scholar] [CrossRef] [PubMed]
  38. Heard, G.M.; Fleet, G.H. The effects of temperature and pH on the growth of yeast species during the fermentation of grape juice. J. Appl. Bacteriol. 1988, 65, 23–28. [Google Scholar] [CrossRef]
  39. Jones, A.M.; Ingledew, W.M. Fuel alcohol fermentation: Optimization of temperature for efficiency very-high-gravity fermentation. Appl. Environ. Microbial. 1994, 60, 1048–1051. [Google Scholar]
  40. Özilgen, M.; Çflik, M.; Bozoğlu, F. Kinetic of spontaneous wine production. Enzyme Microb. Technol. 1991, 13, 252–256. [Google Scholar] [CrossRef]
  41. Liu, R.; Shen, F. Impact of main factors on bioethanol fermentation from stalk juice of sweet sorghum by immobilized Saccharomyces cerevisiae (CICC 1308). Bioresour. Technol. 2008, 99, 847–854. [Google Scholar] [CrossRef] [PubMed]
  42. Slaa, J.; Gnode, M.; Else, H. Yeast and fermentation: The optimum temperature. J. Org. Chem. 2009, 134, a–c. [Google Scholar]
  43. Beltran, G.; Esteve-Zarzoso, B.; Rozes, N.; Mas, A.; Guillamon, J.M. Influence of the timing of nitrogen additions during synthetic grape must fermentations on fermentation kinetics and nitrogen consumption. J. Agric. Food Chem. 2005, 53, 996–1002. [Google Scholar] [CrossRef] [PubMed]
  44. Bely, M.; Rinaldi, A.; Dubourdieu, D. Influence of assimilable nitrogen on volatile acidity production by Saccharomyces cerevisiae during high sugar fermentation. J. Biosci. Bioeng. 2003, 96, 507–512. [Google Scholar] [CrossRef] [PubMed]
  45. Wang, X.D.; Bohlscheid, J.C.; Edwards, C.G. Fermentative activity and production of volatile compounds by Saccharomyces grown in synthetic grape juice media deficient in assimilable nitrogen and/or panthotenic acid. J. Appl. Microbiol. 2003, 94, 349–359. [Google Scholar] [CrossRef] [PubMed]
  46. Bai, F.W.; Anderson, W.A.; Moo-Young, M. Ethanol fermentation technologies from sugar and starch feedstocks. Biotechnol. Adv. 2008, 26, 89–105. [Google Scholar] [CrossRef] [PubMed]
  47. Bely, M.; Sablayrooles, J.-M.; Barre, P. Automatic detection of assimilable nitrogen deficiencies during alcoholic fermentation in oenological conditions. J. Ferment. Bioeng. 1990, 70, 246–252. [Google Scholar] [CrossRef]
  48. O’Connor Cox, E.S.C.; Paik, J.; Ingledew, W.M. Improved ethanol yields through supplementation with excess assimilable nitrogen. J. Ind. Microbiol. Biotechnol. 1991, 8, 45–52. [Google Scholar]
  49. Thomas, K.C.; Ingledew, W.M. Fuel alcohol production: Effect of free amino nitrogen on fermentation of very-high-gravity wheat mashes. Appl. Environ. Microbiol. 1990, 56, 2046–2050. [Google Scholar] [PubMed]
  50. Siderius, M.; Wuytswinkel, O.V.; Reijenga, K.A.; Kelder, M.; Mager, W.H. The control of intracellular glycerol in Saccharomyces cerevisiae influences osmotic stress response and resistance to increased temperature. Mol. Microbiol. 2000, 36, 1381–1390. [Google Scholar] [CrossRef] [PubMed]
  51. Berovič, M.; Pivec, A.; Košmerl, T.; Wondra, M.; Celan, Š. Influence of heat shock on glycerol production in alcohol fermentation. J. Biosci. Bioeng. 2007, 103, 135–139. [Google Scholar] [CrossRef] [PubMed]
  52. Aili, Z.; Xun, C. Improve ethanol yield through minimizing glycerol yield in ethanol fermentation of Saccharomyces cerevisiae. Chin. J. Chem. Eng. 2008, 16, 620–625. [Google Scholar] [CrossRef]
  53. Brown, A.D. Compatible solutes and extreme water stress in eukaryotic micro-organisms. Adv. Microb. Physiol. 1978, 17, 181–242. [Google Scholar] [PubMed]
  54. Larsson, C.; Gustafsson, L. Glycerol production in relation to the ATP pool and heat production rate of the yeasts Debaryomyces hansenii and Saccharomyces cerevisiae during salt stress. Arch. Microbiol. 1987, 147, 358–363. [Google Scholar] [CrossRef] [PubMed]
  55. Thomas, K.C.; Hynes, S.H.; Ingledew, W.M. Effects of particulate materials and osmoprotectants on very-high-gravity ethanolic fermentation by Saccharomyces cerevisiae. Appl. Environ. Microbiol. 1994, 60, 1519–1524. [Google Scholar] [PubMed]
  56. Jangchud, A. Product optimization. In Statistics for Product Development and Application; Kasetsart University: Bangkok, Thailand, 2006; pp. 241–288. [Google Scholar]
  57. Liu, R.; Li, J.; Shen, F. Refining bioethanol from stalk juice of sweet sorghum by immobilized yeast fermentation. Renew. Energy 2008, 33, 1130–1135. [Google Scholar] [CrossRef]

Share and Cite

MDPI and ACS Style

Deesuth, O.; Laopaiboon, P.; Jaisil, P.; Laopaiboon, L. Optimization of Nitrogen and Metal Ions Supplementation for Very High Gravity Bioethanol Fermentation from Sweet Sorghum Juice Using an Orthogonal Array Design. Energies 2012, 5, 3178-3197. https://doi.org/10.3390/en5093178

AMA Style

Deesuth O, Laopaiboon P, Jaisil P, Laopaiboon L. Optimization of Nitrogen and Metal Ions Supplementation for Very High Gravity Bioethanol Fermentation from Sweet Sorghum Juice Using an Orthogonal Array Design. Energies. 2012; 5(9):3178-3197. https://doi.org/10.3390/en5093178

Chicago/Turabian Style

Deesuth, Orawan, Pattana Laopaiboon, Prasit Jaisil, and Lakkana Laopaiboon. 2012. "Optimization of Nitrogen and Metal Ions Supplementation for Very High Gravity Bioethanol Fermentation from Sweet Sorghum Juice Using an Orthogonal Array Design" Energies 5, no. 9: 3178-3197. https://doi.org/10.3390/en5093178

APA Style

Deesuth, O., Laopaiboon, P., Jaisil, P., & Laopaiboon, L. (2012). Optimization of Nitrogen and Metal Ions Supplementation for Very High Gravity Bioethanol Fermentation from Sweet Sorghum Juice Using an Orthogonal Array Design. Energies, 5(9), 3178-3197. https://doi.org/10.3390/en5093178

Article Metrics

Back to TopTop