Power Quality and Harmonic Analysis of End User Devices
Abstract
:1. Introduction
2. Power Quality Analysis
3. Experimental Section
- A 300 Mhz, four channels digital oscilloscope;
- A differential voltage probe;
- A 30 kHz Hall effect current probe.
- LED panels;
- LED spots;
- Compact Fluorescent Lamps.
3.1. Experimental Tests on LED Panels
- Type A: LED panel of 21 W with 36 W ballast;
- Type B: LED panel of 49.5 W with 60 W ballast.

| Dimmer | Voltage RMS values | Current RMS values | App. power | Active power decomposition | Apparent power decomposition | cosφ1 | PF | ||||||||||||
|---|---|---|---|---|---|---|---|---|---|---|---|---|---|---|---|---|---|---|---|
| V (V) | V1 (V) | VH (V) | THDV | I (mA) | I1 (mA) | IH (mA) | THDI | S (VA) | P (W) | P1 (W) | PH (W) | S1 (VA) | SN (VA) | DI (VAr) | DV (VAr) | SH (VA) | |||
| No | 228.0 | 228.0 | 3.6 | 1.6% | 158.8 | 78.4 | 138.1 | 176% | 36.2 | 17.2 | 17.3 | −0.1 | 17.9 | 31.5 | 31.5 | 0.3 | 0.5 | 0.969 | 0.474 |
| Step 1 | 228.7 | 228.7 | 3.6 | 1.6% | 134.3 | 66.4 | 116.8 | 176% | 30.7 | 14.4 | 14.5 | −0.1 | 15.2 | 26.7 | 26.7 | 0.2 | 0.4 | 0.959 | 0.470 |
| Step 2 | 228.5 | 228.5 | 3.6 | 1.6% | 123.5 | 59.7 | 108.1 | 181% | 28.2 | 12.9 | 13.0 | −0.1 | 13.6 | 24.7 | 24.7 | 0.2 | 0.4 | 0.952 | 0.457 |
| Step 3 | 229.2 | 229.2 | 3.6 | 1.6% | 110.5 | 53.3 | 96.8 | 182% | 25.3 | 11.4 | 11.5 | −0.1 | 12.2 | 22.2 | 22.2 | 0.2 | 0.3 | 0.939 | 0.449 |
| Step 4 | 228.8 | 228.8 | 3.8 | 1.7% | 96.4 | 46.7 | 84.4 | 181% | 22.1 | 9.8 | 9.9 | −0.1 | 10.7 | 19.3 | 19.3 | 0.2 | 0.3 | 0.928 | 0.446 |
| Step 5 | 228.9 | 228.9 | 3.7 | 1.6% | 82.6 | 39.9 | 72.3 | 181% | 18.9 | 8.1 | 8.2 | −0.1 | 9.1 | 16.5 | 16.5 | 0.1 | 0.3 | 0.900 | 0.431 |
| Step 6 | 228.7 | 228.6 | 3.7 | 1.6% | 72.0 | 35.1 | 62.9 | 179% | 16.5 | 6.9 | 6.9 | −0.1 | 8.0 | 14.4 | 14.4 | 0.1 | 0.2 | 0.865 | 0.418 |
| Step 7 | 228.9 | 228.8 | 3.7 | 1.6% | 54.0 | 28.0 | 46.2 | 165% | 12.4 | 5.0 | 5.0 | 0.0 | 6.4 | 10.6 | 10.6 | 0.1 | 0.2 | 0.782 | 0.403 |
| Step 8 | 229.0 | 229.0 | 3.7 | 1.6% | 43.8 | 24.1 | 36.6 | 152% | 10.0 | 3.9 | 3.9 | 0.0 | 5.5 | 8.4 | 8.4 | 0.1 | 0.1 | 0.704 | 0.384 |
| Step 9 | 230.6 | 230.5 | 3.6 | 1.6% | 21.8 | 18.1 | 12.0 | 66% | 5.0 | 1.0 | 1.0 | 0.0 | 4.2 | 2.8 | 2.8 | 0.1 | 0.0 | 0.236 | 0.195 |
| Dimmer | Voltage RMS values | Current RMS values | App. power | Active power decomposition | Apparent power decomposition | cosφ1 | PF | ||||||||||||
|---|---|---|---|---|---|---|---|---|---|---|---|---|---|---|---|---|---|---|---|
| V (V) | V1 (V) | VH (V) | THDV | I (mA) | I1 (mA) | IH (mA) | THDI | S (VA) | P (W) | P1 (W) | PH (W) | S1 (VA) | SN (VA) | DI (VAr) | DV (VAr) | SH (VA) | |||
| No | 227.3 | 227.2 | 5.3 | 2,3% | 392.9 | 205.7 | 334.8 | 163% | 89.3 | 44.6 | 44.8 | −0.2 | 46.7 | 76.1 | 76.1 | 1.1 | 1.8 | 0.958 | 0.499 |
| Step 1 | 227.4 | 227.3 | 5.3 | 2,3% | 339.9 | 174.9 | 291.4 | 167% | 77.3 | 37.7 | 37.8 | −0.2 | 39.7 | 66.3 | 66.2 | 0.9 | 1.5 | 0.952 | 0.487 |
| Step 2 | 227.5 | 227.4 | 5.3 | 2,3% | 312.9 | 158.8 | 269.6 | 170% | 71.2 | 34.1 | 34.2 | −0.1 | 36.1 | 61.3 | 61.3 | 0.8 | 1.4 | 0.948 | 0.479 |
| Step 3 | 227.1 | 227.0 | 5.3 | 2,3% | 271.8 | 138.7 | 233.7 | 169% | 61.7 | 29.5 | 29.6 | −0.1 | 31.5 | 53.1 | 53.1 | 0.7 | 1.2 | 0.942 | 0.478 |
| Step 4 | 227.0 | 226.9 | 5.2 | 2,3% | 244.5 | 122.7 | 211.5 | 172% | 55.5 | 25.9 | 26.0 | −0.1 | 27.8 | 48.0 | 48.0 | 0.6 | 1.1 | 0.934 | 0.466 |
| Step 5 | 227.7 | 227.7 | 5.3 | 2,3% | 205.9 | 102.9 | 178.4 | 173% | 46.9 | 21.3 | 21.3 | −0.1 | 23.4 | 40.6 | 40.6 | 0.5 | 1.0 | 0.911 | 0.453 |
| Step 6 | 228.1 | 228.1 | 5.2 | 2,3% | 176.4 | 87.1 | 153.4 | 176% | 40.2 | 17.5 | 17.6 | 0.0 | 19.9 | 35.0 | 35.0 | 0.5 | 0.8 | 0.885 | 0.436 |
| Step 7 | 228.3 | 228.2 | 5.1 | 2,2% | 144.9 | 71.2 | 126.2 | 177% | 33.1 | 13.6 | 13.7 | 0.0 | 16.3 | 28.8 | 28.8 | 0.4 | 0.6 | 0.841 | 0.412 |
| Step 8 | 228.0 | 227.9 | 5.2 | 2,3% | 110.9 | 57.4 | 94.9 | 165% | 25.3 | 9.9 | 9.9 | 0.0 | 13.1 | 21.6 | 21.6 | 0.3 | 0.5 | 0.756 | 0.392 |
| Step 9 | 228.3 | 228.2 | 5.1 | 2,2% | 57.7 | 37.9 | 43.5 | 115% | 13.2 | 2.0 | 1.9 | 0.1 | 8.6 | 9.9 | 9.9 | 0.2 | 0.2 | 0.221 | 0.152 |



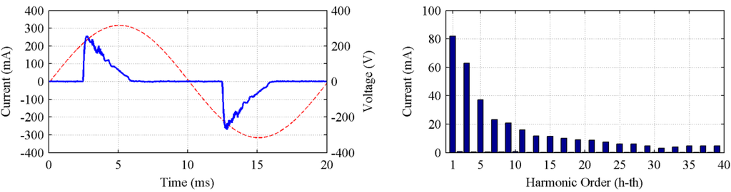
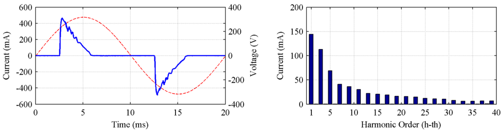
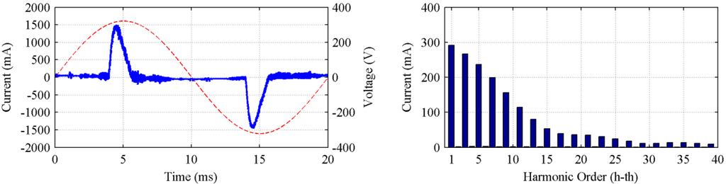
- The AC side current waveforms are affected by high distortion, while voltage is almost sinusoidal, as indicated by the THD indexes. Moreover, THDV is not related to the load condition. In fact, voltage harmonics produced by the interaction between current harmonics and the very low grid equivalent impedance are negligible. The small value of THDV is due only to the harmonic pollution already existing into the grid.
- Current waveforms indicate that the ballast input stage is based on a single phase Graetz bridge with a DC side smoothing capacitor; the pulse-type current waveform is related to this kind of circuit.
- The AC side current waveform is characterized by high derivative, and a significant part of the period when current is nil: these characteristics are reflected in a spectrum rich in harmonics, and harmonics with high or significant amplitude can be found up to about the 40th harmonic.
- The AC side current waveform changes in amplitude, but not in shape, with the dimming steps.
- The AC side voltage and current first harmonics have not a large phase shift. For the 60 W ballast, the small first harmonic in–quadrature capacitive component indicates the presence of capacitor on the ballast AC side acting as a simple EMC filter.
- cosφ1 and PF reduce with the increase of dimming. Moreover, PF is about half than cosφ1, indicating that harmonics in current waveform have a strong impact in reducing the quality in the energy conversion.
3.2. Experimental Tests on LED Spots

| Dimmer | Voltage RMS values | Current RMS values | App. power | Active power decomposition | Apparent power decomposition | cosφ1 | PF | ||||||||||||
|---|---|---|---|---|---|---|---|---|---|---|---|---|---|---|---|---|---|---|---|
| V (V) | V1 (V) | VH (V) | THDV | I (mA) | I1 (mA) | IH (mA) | THDI | S (VA) | P (W) | P1 (W) | PH (W) | S1 (VA) | SN (VA) | DI (VAr) | DV (VAr) | SH (VA) | |||
| Type A | 221.7 | 221.6 | 3.6 | 1.6% | 208.4 | 205.2 | 36.5 | 17.8% | 46.2 | 42.6 | 42.7 | −0.1 | 45.5 | 8.1 | 8.1 | 0.8 | 0.1 | 0.938 | 0.922 |
| Type B | 221.8 | 221.7 | 3.8 | 1.7% | 273.7 | 272.5 | 26.5 | 9.7% | 60.7 | 59.8 | 59.7 | 0.1 | 60.4 | 6.0 | 5.9 | 1.0 | 0.1 | 0.988 | 0.985 |
| Type C | 221.4 | 221.3 | 3.8 | 1.7% | 193.1 | 191.1 | 27.5 | 14.4% | 42.7 | 41.8 | 41.7 | 0.0 | 42.3 | 6.1 | 6.1 | 0.7 | 0.1 | 0.987 | 0.977 |
| Type D | 220.5 | 220.4 | 3.8 | 1.7% | 145.6 | 144.4 | 18.9 | 13.1% | 32.1 | 30.5 | 30.5 | 0.0 | 31.8 | 4.2 | 4.2 | 0.6 | 0.1 | 0.959 | 0.950 |
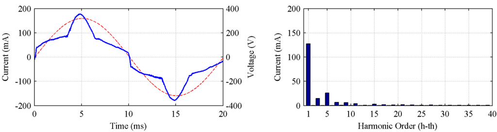
- The current waveforms are affected by a small amount of distortion, while voltage is almost sinusoidal, as indicated by the THD indexes. Also in this case, voltage harmonics due to harmonic current absorption are negligible and the small value of THDV is related only to the harmonic pollution already existing into the grid.
- The embedded electronic ballasts adopt more sophisticated switching input circuits and control strategies with respect to the LED panels, allowing a current waveform as sinusoidal as possible. Current harmonics with significant amplitude can be found up to about the 10th harmonic.
- cosφ1 and PF are very close to the unit value, indicating that voltage and current first harmonics have a little phase shift and harmonics in current waveform do not have a strong impact on the quality in the energy conversion [19].




3.3. Experimental Tests on Compact Fluorescent Lamps

- CFL-A: 15 W new generation compact fluorescent lamp from manufacturer 1;
- CFL-B: 20 W new generation compact fluorescent lamp from manufacturer 1;
- CFL-C: 20 W earlier generation compact fluorescent lamp from manufacturer 2;
- CFL-D: 12 W earlier generation compact fluorescent lamp from manufacturer 3;
| Type | Voltage RMS values | Current RMS values | App. power | Active Power decomposition | Apparent power decomposition | cosφ1 | PF | ||||||||||||
|---|---|---|---|---|---|---|---|---|---|---|---|---|---|---|---|---|---|---|---|
| V (V) | V1 (V) | VH (V) | THDV | I (mA) | I1 (mA) | IH (mA) | THDI | S (VA) | P (W) | P1 (W) | PH (W) | S1 (VA) | SN (VA) | DI (VAr) | DV (VAr) | SH (VA) | |||
| CFL-A | 225.9 | 225.9 | 3.6 | 1.6% | 66.0 | 64.2 | 15.0 | 23.3% | 14.9 | 14.3 | 14.3 | 0.0 | 14.5 | 3.4 | 3.4 | 0.2 | 0.1 | 0.986 | 0.959 |
| CFL-B | 225.4 | 225.4 | 3.4 | 1.5% | 92.8 | 90.0 | 22.8 | 25.4% | 20.9 | 20.1 | 20.2 | 0.0 | 20.3 | 5.2 | 5.1 | 0.3 | 0.1 | 0.995 | 0.962 |
| CFL-C | 224.0 | 224.0 | 3.4 | 1.5% | 150.1 | 101.7 | 110.4 | 108.6% | 33.6 | 20.7 | 20.7 | −0.1 | 22.8 | 24.7 | 24.7 | 0.3 | 0.4 | 0.910 | 0.615 |
| CFL-D | 223.6 | 223.6 | 3.3 | 1.5% | 84.1 | 58.0 | 61.0 | 105.1% | 18.8 | 11.6 | 11.7 | 0.0 | 13.0 | 13.6 | 13.6 | 0.2 | 0.2 | 0.900 | 0.618 |
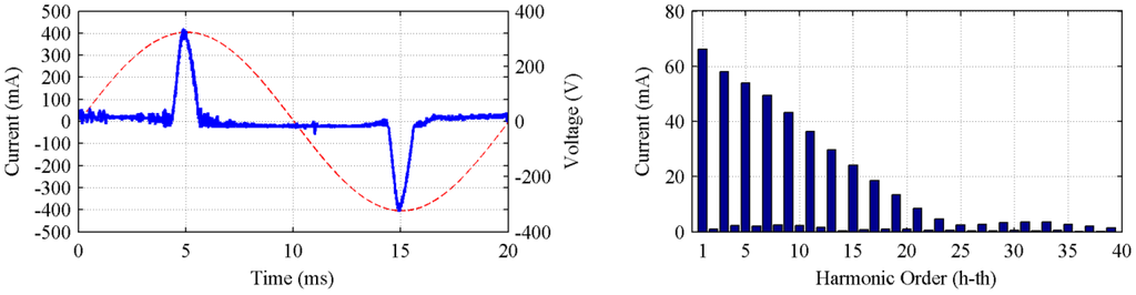
- The current waveforms are affected by distortion while voltage is almost sinusoidal, as indicated by the THD indexes. Also in this case, voltage harmonics due to harmonic current absorption are negligible and the small value of THDV is related only to the harmonic pollution already existing into the grid [19].
- The new generation compact fluorescent lamps show smaller current distortion than the earlier generation ones: their THDI is four times less than the THDI of earlier generation compact fluorescent lamps.
- The AC side current waveform of earlier generation compact fluorescent lamps is characterized by high derivative and a significant part of the period when current is nil: these characteristics are reflected in a spectrum rich in harmonics, and harmonics with high or significant amplitude can be found up to about the 40th harmonic.
- Harmonics with significant amplitude in the AC side current waveform of new generation compact fluorescent lamps can be found up to about the 10th harmonic; the 5th harmonic is the higher. Moreover, the current waveforms show that the ballast input stage includes a valley-fill circuit for the passive correction of power factor. For the new generation compact fluorescent lamps, cosφ1 and PF are very close to the unit value and PF is a little lesser than cosφ1. This means that voltage and current first harmonics have a small phase shift and the significant harmonics in current waveform are few and small in amplitude. Therefore, current harmonics does not have a strong impact on the quality in the energy conversion. For the earlier generation compact fluorescent lamp, cosφ1 is less than in the new generation ones. Moreover, PF is very low indicating that harmonics in current waveform have a strong impact in reducing the quality in the energy conversion.




4. Conclusions
References
- IEC EN 61000-3-2: Electromagnetic Compatibility, Part 3, Section 2, Limits for Harmonic Current Emissions (Equipment Input Current ≤16 A per Phase), ed. 3; International Electrotechnical Commission (IEC): Geneva, Switzerland, 2011.
- IEC EN 61000-4-7: Electromagnetic Compatibility (EMC), Testing and Measurement Techniques, General Guide on Harmonics and Interharmonics Measurements and Instrumentation, for Power Supply Systems and Equipment Connected Thereto; International Electrotechnical Commission: Geneva, Switzerland, 2002.
- Voltage Characteristics in Public Distribution Systems, EN 50160; CENELEC: Brussels, Belgium, 1999.
- Manzano, E.R.; Carlorosi, M.; Tapia Garzon, M. Performance and Measurement of Power Quality Due to Harmonics from Street Lighting Networks. In Proceedings of the Conference on Renewable Energies and Power Quality (ICREPQ’09), Valencia, Spain, 15–17 April 2009.
- Pileggi, D.J.; Gulachenski, E.M.; Root, C.E.; Gentile, T.J.; Emanuel, A.E. The effect of modern compact fluorescent lights on voltage distortion. IEEE Trans. Power Deliv. 1993, 7, 1451–1459. [Google Scholar] [CrossRef]
- Dwyer, R.; Khan, A.K.; Mcgranaghan, M.; Tang, L.; Mccluskey, R.K.; Sung, R.; Houy, T. Evaluation of harmonic impacts from compact fluorescent lights on distribution systems. IEEE Trans. Power Syst. 1995, 11, 1772–1779. [Google Scholar] [CrossRef]
- Verderber, R.R.; Morse, O.C.; Alling, W.R. Harmonics from compact fluorescent lamps. IEEE Trans. Ind. Appl. 1993, 5, 670–674. [Google Scholar] [CrossRef]
- Pantaleone, G. Power electronics in public lighting systems: Are LEDs the only viable solution. Power Syst. Des. Eur. 2007, 4, 42–44. Available online: http://www.powersystemsdesign.com (accessed on 3 October 2012). [Google Scholar]
- Soni, N.B.; Devendra, P. The transition to LED illumination: A case study on energy conservation. J. Theor. Appl. Inf. Technol. 2008, 4, 1083–1087. [Google Scholar]
- Zografakis, N.; Karyotakis, K.; Tsagarakis, K.P. Implementation conditions for energy saving technologies and practices in office buildings: Part 1. Lighting. Renew. Sustain. Energy Rev. 2012, 16, 4165–4174. [Google Scholar] [CrossRef]
- Faranda, R.; Guzzetti, S.; Lazaroiu, C.; Leva, S. LEDs lighting: Two case studies. U.P.B. Sci. Bull. Ser. C 2011, 73, 199–210. [Google Scholar]
- Dolara, A.; Faranda, R.; Guzzetti, S.; Leva, S. Power Quality in Public Lighting Systems. In Proceedings of the 14th International Conference on Harmonics and Quality of Power (ICHQP 2010), Bergamo, Italy, 26–29 September 2010.
- Dolara, A.; Falvo, M.C.; Faranda, R.; Grasselli, U.; Leva, S. Lighting systems: Power Consumptions and Harmonics Monitoring Survey. In Proceedings of the 3rd International Conference on Clean Electrical Power: Renewable Energy Resources Impact (ICCEP 2011), Ischia, Italy, 14–16 June 2011; pp. 249–256.
- Falvo, M.C.; Grasselli, U.; Lamedica, R.; Prudenzi, A. Harmonics Monitoring Survey on Office LV Appliances. In Proceedings of the 14th International Conference on Harmonics and Quality of Power (ICHQP 2010), Bergamo, Italy, 26–29 September 2010.
- Uddin, S.; Shareef, H.; Mohamed, A.; Hannan, M.A. An Analysis of Harmonics from LED Lamps. In Proceedings of the Asia-Pacific Symposium on Electromagnetic Compatibility (APEMC), Singapore, 21–24 May 2012; pp. 837–840.
- Faranda, R.; Guzzetti, S.; Lazaroiu, G.C.; Leva, S. Refrigerating liquid prototype for LED’s thermal management. Appl. Therm. Eng. 2012, 48, 155–163. [Google Scholar] [CrossRef]
- Monte, K.R.; Sen, P.K. Compact Fluorescent Lamps and Their Effect on Power Quality and Application Guidelines. In Proceedings of the Industry Applications Society Annual Meeting (IAS), Houston, TX, USA, 3–7 October 2010.
- Rigo Mariani, R.; Rayudu, R.K.; Witherden, M.S.; Lai, E.M. Power Quality Indices of Compact Fluorescent Lamps for Residential Use—A New Zealand Study. In Proceedings of the IEEE TENCON 2010, Fukuoka, Japan, 21–24 November 2010; pp. 647–652.
- Kiyak, I.A. Study on the working performance of dimming methods for single- and multichip power LEDs. Int. J. Photoenergy 2012, 2012, 513768:1–513768:8. [Google Scholar] [CrossRef]
- IEEE Std 1459-2000: IEEE Trial Use Standard Definitions for Measurement of Electric Power Quantities under Sinusoidal, Nonsinusoidal, Balanced, or Unbalanced Uonditions; Institute of Electrical and Electronics Engineers (IEEE): New York, NY, USA, 2000.
© 2012 by the authors; licensee MDPI, Basel, Switzerland. This article is an open access article distributed under the terms and conditions of the Creative Commons Attribution license (http://creativecommons.org/licenses/by/3.0/).
Share and Cite
Dolara, A.; Leva, S. Power Quality and Harmonic Analysis of End User Devices. Energies 2012, 5, 5453-5466. https://doi.org/10.3390/en5125453
Dolara A, Leva S. Power Quality and Harmonic Analysis of End User Devices. Energies. 2012; 5(12):5453-5466. https://doi.org/10.3390/en5125453
Chicago/Turabian StyleDolara, Alberto, and Sonia Leva. 2012. "Power Quality and Harmonic Analysis of End User Devices" Energies 5, no. 12: 5453-5466. https://doi.org/10.3390/en5125453
APA StyleDolara, A., & Leva, S. (2012). Power Quality and Harmonic Analysis of End User Devices. Energies, 5(12), 5453-5466. https://doi.org/10.3390/en5125453

