You are currently viewing a new version of our website. To view the old version click .
Energies
  • Article
  • Open Access

14 February 2011

Numerical Analysis on Gas Production Efficiency from Hydrate Deposits by Thermal Stimulation: Application to the Shenhu Area, South China Sea

,
,
and
1
Guangzhou Center for Gas Hydrate Research, Chinese Academy of Sciences, Guangzhou, 510640, China
2
Key Laboratory of Renewable Energy and Gas Hydrate, Guangzhou Institute of Energy Conversion, Chinese Academy of Sciences, Guangzhou, 510640, China
3
Key Laboratory of Marginal Sea Geology, Guangzhou Institute of Geochemistry, Chinese Academy of Sciences, Guangzhou, 510640, China
*
Author to whom correspondence should be addressed.
This article belongs to the Special Issue Natural Gas Hydrate

Abstract

Gas hydrates have been attracted a great deal of attention because of their potential as an energy substitute and the climate implications. Drilling and sampling research on the hydrate deposit in the Shenhu Area on the northern continental slope of the Southern China Sea was a big breakthrough for hydrate investigation in China, but as a new potential energy source, how the gas can be effectively produced from hydrate deposits has become a hot research topic. Besides depressurization heat stimulation is regarded as another important means for producing hydrate-derived gas, however, the production efficiency and economic feasibility of producing gas by heat stimulation have not been clearly understood. In this paper, a simplified model for predicting gas production from hydrate deposits by heat stimulation is developed. The model ideally neglects the effects of heat convection and pressure regime in the sediments for simplicity. We compute the heat consumption efficiency and gas energy efficiency of gas production from hydrate deposits by heat stimulation, only considering effect of hydrate dissociation due to heat input. This model is for predicting the maximum production efficiency. By studying the hydrate reservoirs and significant parameters collected from drilling and sampling researches, we calculate the production potential of the Shenhu hydrate deposits and investigate the production efficiency and feasibility. Our research shows that the maximum amount of cumulative gas production at Shenhu is ~509 m3 per meter in three years. The production potential is much lower than the industrial criterion for marine production. In our discussion the numerical simulations show that a practical potential of the gas production is merely 25 m3/m in 3 years and contribution of thermal stimulation is very small in joint-production schemes. We conclude that production cost is quite high and the economic value of producing gas from the hydrate through a vertical well is not attractive, even though the production by heat stimulation theoretically has a very high heat consumption rate and energy efficiency.

1. Introduction

Gas hydrates are crystalline substances composed of water and gas, in which a solid water lattice accommodates gas molecules in a cage-like structure [1]. Hydrate formation is promoted by low temperatures T and high pressures P, with significant heat exchange occurring during the reaction. Natural gas hydrates in geological systems involve mainly CH4, although hydrate-forming gases of thermogenic origin may also include CO2, H2S and N2 as guests [1]. The estimated amount of gas in the hydrate accumulations of the World greatly exceeds the volume of known conventional gas resources [1]. Because of their potential importance as an energy resource, CH4-hydrates are currently attracting significant attention. However, the role that gas hydrates may play in contributing to the World’s energy requirements will depend ultimately on the availability of producible gas hydrate resources and the cost to extract them [2].
The three main methods of hydrate dissociation for producing gas include [1,2]: (1) depressurization, in which the pressure is lowered to a level lower than the hydration pressure at the prevailing temperature [1,2,3]; (2) thermal stimulation, in which the temperature is raised above the hydration temperature at the prevailing pressure [1,2]; and (3) the use of inhibitors (such as salts and alcohols), which causes a shift in the pressure-temperature equilibrium through competition with the hydrate for guest and host molecules [1]. In gas production from hydrate deposits depressurization and thermal stimulation are considered as the relatively feasible methods, both economically and technically [2,3,4,5]. The use of inhibitors does not seem to be promising, not only because of the complicated and costly technical operations, but also due to the inevitable pressure elevation due to water injection into hydrate-bearing sediment causing secondary hydrate formation. Thermal stimulation has been widely used in experiments and numerical simulations [2,3,4,5,6,7,8], however, whether it can be used for producing gas from hydrate deposits, especially for fine-grained sediments (e.g., the Shenhu hydrate deposits), remains uncertain because of the complicated techniques and possibly poor heat efficiency.
The northern continental slope of the South China Sea (SCS) is the key area for hydrate investigations and research at present in China, and the Shenhu Area is regarded as one of the most promising fields. The Shenhu hydrate field is near the southeast of Shenhu Underwater Sandy Bench in the middle of the northern continental slope of the SCS, between Xisha Trough and Dongsha Islands. Tectonically the research area is located in the Zhu Depression, Pearl River Mouth Basin, which has been in the process of tectonic subsidence since the middle Miocene and created good geologic conditions for gas hydrate formation. The Shenhu Area has deposited thick sediments of 1000–7000 m with organic matter contents of 0.46–1.9% [9,10]. The average heat flow within this area is up to 76.2 mW·m−2 [11]. This area has already become a large source of oil and natural gas.
Geological, geophysical, geothermal, and geochemical investigations [12] have suggested that the Shenhu Area is a favorable place for forming natural gas hydrates. Based on the indicators of hydrate presence, Guangzhou Marine Geological Survey (GMGS) selected five sites for deep drilling and sampling in the Shenhu Area, and collected core samples chronologically from SH3, SH1, SH2, SH7, and SH5 [11,12]. Depressurization experiments verified the existence of methane gas hydrates in the clay silt cores sampled from SH2, SH3, and SH7 at the water depth of 1108–1235 m (Figure 1). The hydrate saturation is high and up to ~48% of the pore space at the depth of 204 mbsf (meters below seafloor) at site of SH2, which greatly encouraged the enthusiasm of the scientists and the Chinese government. Data from these cores were used to provide the first insight into the characteristics of the possible hydrate accumulations in the area [11,12], and can also be used to evaluate the technical and economic feasibility of gas production from the hydrate accumulations by thermal stimulation.
Figure 1. Bathymetric map of gas hydrate drilling area with sites drilled in the Shehu Area, northern continental slope of South China Sea [11].
The Shenhu hydrate deposits have been regarded as the key target for hydrate investigation and tentative exploitation in China. However, the exploitation method(s) and production potential are not yet clearly understood. In what follows we will first describe a conceptual model for producing gas by thermal stimulation from hydrate deposits, and then establish a quantitative model according to the theories of heat and mass transfer in porous media and the principles of decomposing hydrates in natural systems. Using the model we calculate the thermal effect of radial energy transmission on hydrate decomposition in process of point-source heating, determine the hydrate dissociation radius, clarify the energy utilization efficiency of heat source at the well, and compute the energy input and output. The model is ideally simplified by neglecting the effects of fluids transfer (i.e., gas production at well due to pressure gradient) in order to magnify the thermal production efficiency and consequently present the maximum efficiency limit. We then discuss how the model applies to the Shenhu hydrate deposits on the northern continental slope of the SCS and numerically analyze the feasibility of hydrate exploitation by thermal stimulation in the fine-grained sediment.

2. A Conceptual Model

In this paper the methodology for producing gas from hydrate deposits by thermal stimulation is based on single vertical well that is conventionally adopted in oil and gas exploitation. Sediment is heated by placing a heat coil or some other suitable device in the production well. The well temperature can be adjusted optionally as a boundary condition. Heat transfers radially from high-temperature zone at the well, and leads to an elevation of sediment temperature and hydrate dissociation. Gas and water flow towards the wellhole under pressure gradient in the reservoir, and enter the production well bypassing the perforated interval of the casing (Figure 2). Thereby the heat efficiency may be depressed by the fluids production because that partial heat is taken back by the fluids and produced at the well.
Figure 2. Schematic illustration of gas production from hydrate deposit by thermal stimulation (modified from [3]). Formation temperature is increased by heat coil at the perorated interval of the vertical well, which makes the hydrate dissociated and gets gas produced.
To better understand thermal stimulation and hydrate exploitation, in this paper, we presume a hydrate lamina of unit thickness (i.e., 1 m). We also assume that heat conducts horizontally from heat source at the well towards the hydrate dissociation front, and that methane gas released from hydrate can be produced completely and immediately after the hydrate gets dissociated. The model does not consider the processes of gas transmission and production, and also does not involve any vertical heat conduction and mass transfer. The idea simplification ensures that the lamina of hydrate bearing zone is an isolated system. There is no vertical heat loss and gas escape, and no vertical water supply (Figure 2). Moreover, the hydrate decomposition is supposed as a well-centered radial peeling, that is to say the hydrate within a discretized element close to the wellbore decomposes preferentially and completely, and then displaces to the next gridblock.
The hydrate dissociation is regarded as an equilibrium reaction in which the hydrate decomposes if the formation temperature is fully elevated and the dissociation enthalpy is provided. The model further presumes that methane gas released from is produced completely at the well, neglecting the existing state and transmission of fluids within a reservoir. The model puts aside pressure distribution and evolution, neglects the effect of pressure gradients and formation permeability on fluid flows and gas production, disregards the heat loss caused by (gas and water) production at the well, but only focuses on the hydrate decomposition by thermal stimulation. These hypotheses further amplify the gas production efficiency by thermal stimulation through a vertical well and establish a maximal limit of the production efficiency. Through the ideally simplified model, the maximal efficiency can be studied by combining qualitative analyses and experiences, and then the feasibility for producing gas from hydrate deposits by exclusively thermal stimulation can be recognized. If the production capacity is still lower than the criterion for commercial production, we can conclude that hydrate exploitation by thermal stimulation is impracticable.

3. A Numerical Model

There are two kinds of heat consumption in the process of hydrate exploitation by thermal stimulation in a sedimentary formation, one is the QT being used to raise the sediment temperature to the phase equilibrium temperature for hydrate dissociation, and the other is the QH being provided as enthalpy of the hydrate decomposition reactions. Thus the total heat consumption Q is:
Q = Q T + Q H
In Equation (1) { Q T = ρ c p Δ T Q H = S h ϕ ρ h Δ H , where Δ T is temperature difference between phase equilibrium temperature T e and reservoir temperature T , Δ T = T e T , and S h is the hydrate saturation in pore space, ϕ is the porosity of deposits, ρ denotes the density of sediment containing hydrate, cp expresses the heat capacity of sediment. The product of ρcp depends on configurations of a porous sediment and ρcp = 2934 kJ/(m3 °C) in this paper [13]. Δ H is the bulk enthalpy of methane hydrate decomposition and Δ H =420 kJ/kg [1].
The ratio of the decomposition heat (enthalpy) of hydrates to the total heat consumption in hydrate exploitation (RDH, hereafter called heat consumption efficiency of hydrate dissociation) is expressed as:
R D H = Q H / ( Q H + Q T ) = S h ϕ ρ h Δ H / ( S h ϕ ρ h Δ H + ρ c p Δ T )
On the other hand, methane gas produced from hydrates will be consumed as fuel, forasmuch the ratio between the total combustion heat of gas produced and the total heat consumed in hydrate exploitation shows the economic value of hydrate exploitation by thermal stimulation, hereafter called energy efficiency of thermal hydrate exploitation RCH and can be calculated as follows:
R C H = Q C / ( Q H + Q T ) = S h ϕ ρ h Δ η / ( S h ϕ ρ h Δ H + ρ c p Δ T )
where QC is net combustion heat of the methane gas produced from unit volume of hydrate deposits and Δ η is net calorific value of the natural gas.
In Equation (1) Q indicates the direct heat consumption and is essential for producing gas from hydrate deposits through thermal dissociation. Besides the heat consumption, in practice there is an additional heat loss. The heat conducted into the reservoir is partially carried off by fluids output at the well, even before the heat reaches the hydrate dissociation front, and therefore the well-source heat efficiency is greatly diminished. Based on the traditional oil and gas exploitation, heat and mass transfer is well-centered in the study of hydrate production, but the mass transfer process is not considered in this paper, and consequently the hydrate exploitation through a vertical well can be described by a radial heat transfer equation:
( ρ c p r T ) t = ( r λ T r ) r ( c g q g + c w q w ) r T r Q h r
The right polynomials of Equation (4) denote heat conduction, heat convection, and heat consumption in hydrate decomposition respectively; λ is the thermal conductivity of the hydrate formation, q denotes the fluid fluxes and r is the distance to the well.
To further amplify the gas production efficiency by simplex thermal stimulation, mass transfer and some effect on hydrate dissociation are neglected in the hydrate exploitation model, and only hydrate heating and decomposition are considered. In other words, the process of the flow of fluids (water and gas) towards the well driven by the pressure difference in the system and the fluid discharge at the well are disregarded. We only study the heat conduction and the endothermic hydrate dissociation, arbitrarily envisioning the whole hydrate dissociation as a process of pure energy exchange. On the basis of the idealization, the convective heat term in Equation (4) can be omitted, and herewith the energy governing equation for hydrate dissociation by thermal stimulation can be rewritten as:
( ρ c p r T ) t = r ( r λ T r ) Q h r
The heat losses due to vertical transfer and even well-fluids production are not involved in Equation (4). The quantity of gas production capacity predicted by this equation must be fully amplified and reaches the maximum.

4. Thermal Production Efficiency of Shenhu Hydrate Deposits

The Shenhu Area on the northern continental slope of the SCS is the key target for gas hydrate research and exploitation in China, but the gas production potential of the Shenhu hydrates requires further study. The drilling and sampling investigation had proven the existence of substantial methane hydrate at the SH2, SH3, and SH7 sites (Figure 1) [11]. The thickness of the hydrate bearing layer (HBL) is merely 10 m at site SH3 and 22 m at site SH7, and the hydrate saturation is relatively low in the fine-grained sediment. The hydrate deposit is ~40 m in thickness and the hydrate saturation is up to ~48% at site SH2 [8], so the parameters of the hydrate deposit at site SH2 were applied as a reference to evaluate the gas production potential of the Shenhu hydrates.
The drilling hole of SH2 is used as the vertical well imagined in Figure 2 to investigate the gas production from hydrate deposits at the Shenhu Area. At site SH2, the water depth is 1235 m, the hydrates are observed in the cores from the depth of 188–228 m below seafloor, the formation porosity is 0.38, the hydrate saturation is 1.0–47.3% [8], and the intrinsic permeability of the formation have been speculated to be lower than 10 mD [8]. The temperature and the hydrostatic pressure at midpoint of the hydrate layer are adopted as the initial temperature and pressure of the system described schematically in Figure 2. The initial deposit temperature is 14.76 °C and the initial deposit pressure is 14.58 MPa, by the state equation of methane gas we know the gas density is ~120 kg/m3 at the conditions [14]. The radius of the well rw = 0.10 m, the maximum radius in computation rmax = 10 m (Figure 2). The cylindrical domain of the laminar zone around the well is partitioned into finite gridblocks in the (r, z) orientations. The radial step in the one-dimensional space Δr = 0.01 m, but thickness in z orientation has not been discretized further because of the laminar feature and the idealization. The time period simulated is 3 years. The primary factors for investigating the hydrate exploitation by thermal stimulation in this context are: temperature difference ΔT between initial reservoir temperature and phase equilibrium temperature, borehore temperature (boundary temperature), hydrate saturation and thermal conductivity of the formation.

4.1. Reference Case

Heat consumption efficiency of hydrate dissociation RDH directly presents the thermal utilization in reservoir temperature elevation and dehydration reaction during the process of hydrate exploitation by heat stimulation. Considering Equation (2), we suggest that much of the thermal energy injected is consumed for heating the hydrate reservoir if the temperature difference between the initial reservoir temperature and phase equilibrium temperature (ΔT, hereafter called reservoir temperature difference) is too large, which goes against effective hydrate exploitation by heat stimulation. Likewise, the rate of heat used to dissociate hydrates might be quite small and thus much energy would be wasted on increasing reservoir temperature if the hydrate saturation SH is low.
The temperature difference between the top and bottom of the hydrate-bearing layer at Site SH2 in the Shenhu area is about 1.77 °C, and the average temperature of the hydrate deposit indicating the midpoint temperature of the layer is 14.76 °C and the hydrate phase equilibrium temperature (represented by the bottom boundary temperature of the hydrate stability zone) is ~15.65 °C and thus the temperature difference ΔT is 0.89 °C. The Shenhu hydrate is dispersed in clay silt sediment, peaking ~48% at site SH2 [12]. Hereby we choose the reference values as ΔT = 1 °C and SH = 30% in our computation.
The numerical relation in Equation (2) reveals that the heat consumption efficiency of hydrate dissociation depends on the temperature difference and hydrate saturation. Figure 3 shows that RDH of heat consumption efficiency rises as SH increases, but decreases as ΔT increases. This implies RDH is highest at bottom of gas hydrate stability zone where the reservoir temperature is similar to the phase-equilibrium temperature of the hydrate and hydrate saturation is generally higher. This is because that almost all injected heat is supplied for the endothermic dissociation of hydrate and waste on heating formation is reduced. Thus we tentatively conclude that the thermal-production efficiency of hydrate at higher-temperature zone of a HBL is more effective and more gas can be produced with the same heat investment. However, the former studies indicate that temperature difference ΔT is usually larger and SH is smaller (e.g., typically SH < 10% at Site SH2) at the top of a hydrate zone, and thus the heat consumption efficiency RDH is lower and the heat energy cannot be not fully utilized.
Figure 3. Dependence of heat consumption efficiency of hydrate dissociation RDH on hydrate saturation SH, and sensitivity to temperature difference ΔT.
It must be noted that the process of heat transfer in the porous medium is not considered in Equation (2). The injected heat is completely used for heating the reservoir and dissociating hydrate without regard to whether the well-source heat can reach the hydrate dissociation front effectively. Actually water and gas released from hydrate travel to the well via the sediment pores and are of opposite direction of heat transfer from the well source. Therefore energy is partially taken away by the fluid production at the well. Because the heat capacities of the fluids is much greater than that of the sediment grids, the heat transfer efficiency of the flowing water and gas is higher than that of the solid frame by conduction, the reverse flow and production of the fluids impair the heat reaching the hydrate dissociation front. This is equivalent to reducing the heat transfer capacity (or effective heat conductivity) of the formation.
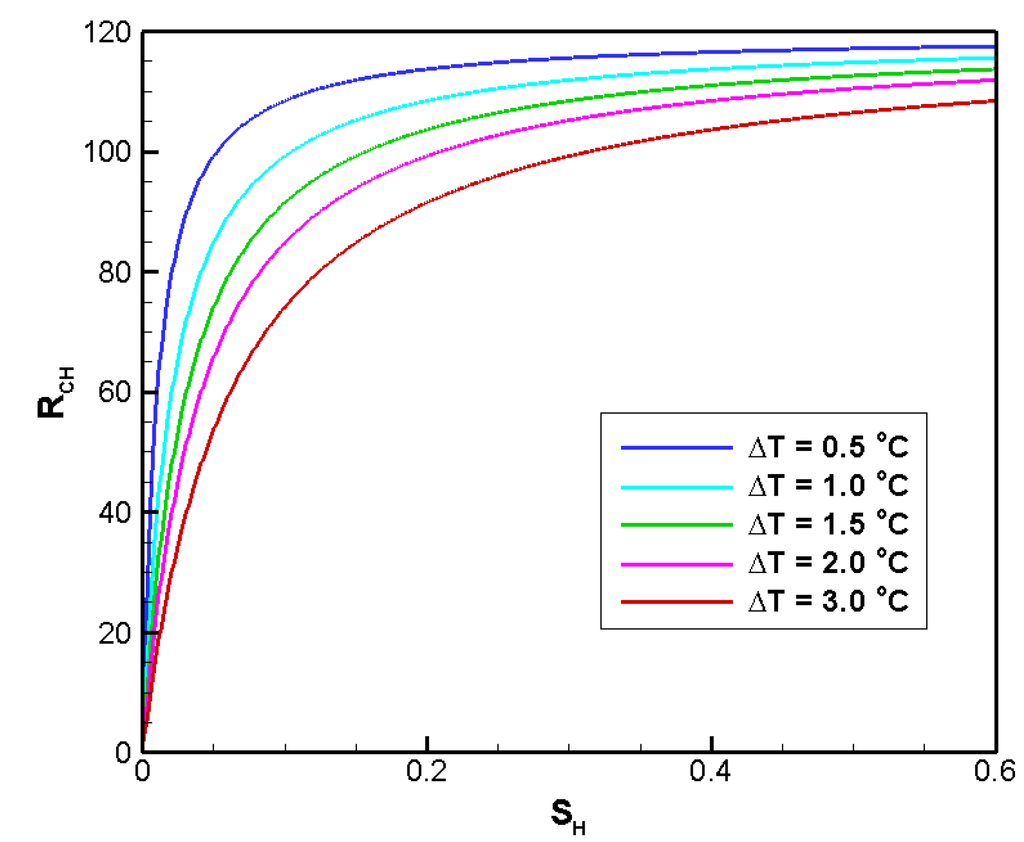
At present, the research on hydrate exploitation is mainly driven by energy demands, and the methid for thermal production of hydrates is to inject heat into a hydrate reservoir to decompose hydrates and release gas, and the natural gas produced can be used as an alternative fuel source. From an economic perspective, it may be industrially unfeasible to invest heat energy in hydrate exploitation in an economically profitable way. The ratio of the total combustion heat of gas produced to the total heat consumed in hydrate exploitation RCH is regarded as the energy efficiency of hydrate exploitation by thermal stimulation in Equation (3). The net calorific value of methane is 50,200 kJ/kg. SH = 0.30 at Site SH2 in Shenhu Area, RCH reaches up to 100 and also increases with the reducing T (Figure 4). As discussed above for RDH, the heat transfer efficiency is not involved in the calculation. In fact the heat cannot efficiently reach the hydrate dissociation front to induce hydrate decomposition because of the fluids flow and production, massive heat is produced with the fluid at the well, and the heat loss increase with the production rate. Moreover, time, as a crucial factor, is not taken into consideration in the computations (see Figure 3 and Figure 4). RDH of heat consumption efficiency and RCH of energy efficiency may be much smaller on time scales.
Figure 4. Dependence of energy efficiency of hydrate exploitation by heat stimulation RCH on hydrate saturation SH, and sensitivity to temperature difference ΔT.
Based on the hypotheses in the conceptual model that hydrates dissociate completely at a grid point where the heat demand is met and peel off like a cylindrical shell (the dissociation radius is denoted as rd), and hydrate gas in each block is totally produced and then the dissociation reaction goes to the next grid. These hypotheses are a little different from actual hydrate dissociation during exploitation. The previous research shows that hydrate dissociation has a transitional zone without a distinct dissociation radius in simulated domains [3,4,5], but the hypotheses can present the hydrate dissociation rate more directly and maximize the production capacity for evaluating the economic benefit in thermal hydrate exploitation.
The quantity of hydrates dissociated can be calculated from Equation (5). The heated hydrates decompose into hydrocarbon gases (assumed to be pure methane in this paper) and water. The mass fraction of methane in methane hydrate is 0.129 and the mass of 0.129 ϕ S h ρ h methane can be released for per volume hydrate. From Figure 5 we know that the hydrate will decompose as far as rd = 2.91 m in 3 years (= 1095 d). The energy demand for heating formation and decomposing hydrates increasingly augments as the dissociation and the production proceed, which results in a reduction in growth rate of hydrate dissociation radius, but the VP of the cumulative gas production grows steadily and reaches up to 509 m3 in 3 years (see Figure 5), and the average gas production rate is 0.46 m3 in each day for 1-meter-thick hydrate section. By multiplying the total thickness of hydrate zone, 40 m at Site SH2, the cumulative gas production is 18 m3 a day, which is much less than the criterion for marine industrial production [3], though the model gives the maximum production by thermal stimulation.
The constant-temperature heating at the vertical well causes elevations in the temperature of the reservoir formation. However, the well-source heat cannot transfer effectively into the reservoir due to the inefficient conductivity of the sediment, and thus high-temperature zone is confined to a small zone around the well but the sediment far away from the well is cold and has a relatively stable temperature.
Figure 5. Evolution of hydrate dissociation radius rd and cumulative gas production VP.
Figure 6 shows sharp changes in temperature under the reference thermal conductivity of 1 W/m·°C. The temperature drops from 200 °C at the well to the initial value of ~15.65 °C at the hydrate dissociation front (indicated by rd of hydrates dissociation radius).
Figure 6. Spatial distribution and temporal evolution of temperature during hydrate production by heat stimulation.
The temperature profiles present the evolution of the formation temperature and moves of the hydrate dissociation radius, and the moving rate of the radius decreases with time. rd =1.83 m at t = 365 d (1 year), rd = 2.45 m at t = 730 d (2 years), and rd = 2.91 m at t = 1095 d (3 year) since the operation gets started. Note again that the model does not consider the effect of fluids convection and production operations (Equation 5). In fact, the opposite fluid convection and the fluids extraction have a negative influence on temperature elevation as well as hydrate dissociation. Thereby the high-temperature zone around the well would be smaller, the temperature gradient would be larger near the well, and rd would be smaller. This effect is equivalent to a case that the effective thermal conductivity is reduced and lower than the reference value of 1 W/m·°C.

4.2. Sensitivity Analysis

The efficiency of hydrate dissociation by heat stimulation and the dissociation radius depend on bottom-hole temperature, temperature difference (ΔT, difference between phase equilibrium temperature and initial formation temperature), hydrate saturation, and effective thermal conductivity of formation. Temperature difference and hydrate saturation can be approximated as invariant values during hydrate exploitation engineering, while bottom-hole temperature can be adjusted flexibly to obtain optimal heat utilization and hydrate dissociation efficiency. Effective thermal conductivity of formation represents the energy transfer capacity from the coiled well to hydrate dissociation front, and is influenced by reservoir properties and energy transfer during hydrate dissociation. Through sensitivity analysis to the influencing factors, we can deduce the main response parameters of hydrates exploitation by thermal stimulation, which is of value in designing an efficient hydrate development operation and also energy saving.

4.2.1. Sensitivity to T0

Bottom-hole temperature is figured as the primary controlling parameter for hydrate exploitation by thermal simulation, and the effect is relatively evident. As shown in Figure 7, when the reference quantities of thermal conductivity (λ = 1.0 W/m·K), hydrate saturation (SH = 0.3), and temperature difference in formation (ΔT = 1 °C) remain constant, the hydrate dissociation efficiency can be evidently improved by increasing the bottom-hole temperature.
Figure 7. Evolution of hydrate dissociation radius and its sensitivity to bottom-hole temperature.
That is because increasing the bottom-hole temperature induces an elevation in the temperature gradient around the well and heat flux in the sediment, thus more heat reaches the hydrate dissociation front per unit time and more gas is produced from hydrate reservoir. For instance, rd = 2.62 m when T0 = 100 °C, but rd = 3.7 m when T0 = 200 °C in the same production period of 3 years (Figure 7). Figure 7 shows that rd grows by 0.5 m with T0 increasing from 100 °C to 150 °C, while rd extends by 0.4 m when T0 is adjusted from 150 °C to 200 °C. The small change in the steps is because enhancing bottom-hole temperature can effectively increase the temperature gradient close around the well and induces rapid hydrate dissociation, but due to the inefficiency of the heat transfer capacity of the sediment, the formation temperature remains nearly unaltered and the temperature gradient becomes tiny at the larger distance, and thus the hydrate dissociation radius has no obvious change.

4.2.2. Sensitivity to ΔT

Elevating the formation temperature consumes much of the injected heat, but this is an inevitable price that must be paid in hydrate exploitation by thermal stimulation. Its negative impact depends on formation temperature difference ΔT, and a larger temperature difference needs more heat consumption. As shown in Figure 8, the hydrate dissociation radius grows faster in the case of the smaller temperature difference, and the changes become more visible as the exploitation proceeds for the given values of thermal conductivity, bottom-hole temperature, and hydrate saturation. But the influence of temperature difference on the hydrate dissociation is comparatively small because the heat capacity of the sediment is far less than decomposition enthalpy of the hydrate. The ratio of energy for heating formation to total energy consumption is small, especially for a hydrate reservoir of small thickness and small temperature difference. The ratio could be high if the temperature difference ΔT is quite large. But the maximum of the temperature difference at Site SH2 in the Shenhu Area is 1.77 °C, thus we suggest that the initial temperature difference in the Shenhu hydrates is not a crucial factor influencing the hydrate exploitation by thermal stimulation.
Figure 8. Evolution of hydrate dissociation radius and its sensitivity to the temperature difference.

4.2.3. Sensitivity to SH

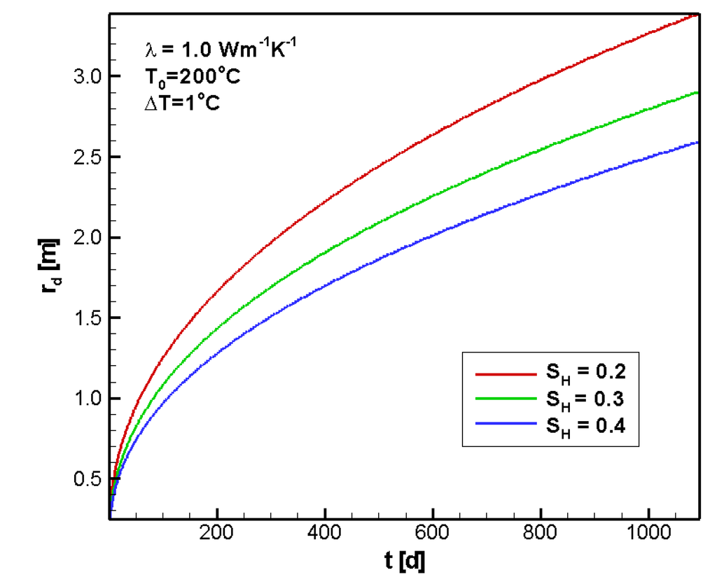
Since hydrate decomposition is considered as the most important component of heat consumption in the model, hydrate saturation must have a great impact on heat consumption and hydrate dissociation progress. Figure 9 shows the sensitivity of the hydrate dissociation radius to the hydrate saturation under the reference thermal conductivity, bottom-hole temperature, and temperature difference. Reducing hydrate saturation can evidently increase growth rate of the hydrate dissociation radius. rd = 2.5 m if SH = 0.4, while rd = 3.04 m when SH = 0.2, in the production period of 3 years form the Shenhu hydrates (Figure 9). This difference is because the hydrate decomposed by heat stimulation is completely provided at the well and the total energy demand for dissociating hydrate is proportional to the hydrate saturation. Concentrated hydrates need more heat to decompose, and thus the hydrate dissociation radius grows slowly under the same thermal conditions. This finding shows that the hydrate dissociates quickly at top of the hydrate zone where SH < 10% at Site SH2 in the Shenhu Area, and hydrate exploitation by heat stimulation under the condition of low saturation may waste too much energy on heating the formation and this reduces heat consumption efficiency and energy efficiency.
Figure 9. Evolution of hydrate dissociation radius and its sensitivity to hydrate saturation.

4.2.4. Sensitivity to λ

Effective heat conductivity characterizes the heat transfer efficiency in the reservoir formation and is one of the important parameters for evaluating the thermal efficiency of hydrate exploitation by heat stimulation. Figure 10 illustrates that hydrate dissociation rate (indicated by hydrate dissociation radius) increases as the thermal conductivity increases. The hydrate dissociation radius is 3.57 m in 3 years for the “dry thermal conductivity” of 1 W/m °C [3], while the heat consumption efficiency becomes higher obviously and rd reaches 5.78 m in the production period for the “wet thermal conductivity” of 3.1 W/m °C [3].
Figure 10. Evolution of hydrate dissociation radius and its sensitivity to the effective thermal conductivity.
As noted in this paper, the hydrate exploitation by thermal stimulation involves two adverse-direction thermal transfers. The well-source heat conducts from the well of high temperature along the r-coordinate to big cylindrical blocks, and meanwhile produced fluids bring heat to the well. Because the thermal capacity of the pore fluids is much higher than that of the solid sediment frame, the energy input at the well is partially depleted by the production of gas + water at the well. In practice the energy loss may be worse. The well pressure is usually lowered to improve the production rate of the fluids during operations, which accelerates the loss rate of heat toward the production well and undermines the heat conduction. The effective heat conductivity of reservoir formation characterizes both the properties of the porous medium and the impact of fluids flow (like the definition of effective permeability that describes the intrinsic permeability and fluid saturations in the pores). This suggests that the effective heat conductivity should be less than the reference value (defined as heat conductivity of sediment without fluid flows). If the effective heat conductivity is reduced to 10%, λ = 0.3 W/m °C, then rd = 1.83 m and methane gas of 200 m3 can be produced from hydrate deposit in 3 years. While if λ = 0.1 W/m °C, rd = 0.86 m and VP = 44 m3 in 3 years. Therefore, both the heat consumption efficiency and the economic benefit in the exploitation of Shenhu hydrates by thermal stimulation is very small, and thus the scheme of thermal exploitation is impractical to be used separately in oceanic hydrates under rigorous conditions.

5. Discussion

The model we have presented is still incomplete and extremely simplified, and the gas production efficiency of gas hydrate deposits requires discussion. In the following, we will compare the thermal stimulation with depressurization and combined operations of thermal stimulation + depressurization. To verify the modeling research above, we numerically simulated gas production potentials in the production schemes by employing the TOUGH+HYDRATE simulator [7]. The code can model the non-isothermal hydration reaction, phase behavior, and flow of fluids and heat under conditions typical of natural CH4-hydrate deposits in complex geologic media. It includes both an equilibrium and a kinetic model [15,16] of hydrate formation and dissociation. The model accounts for heat and up to four mass components that are partitioned among four possible phases: gas, aqueous liquid, ice, and hydrate.
The system geometry in these numerical simulations also corresponds to a location at the SH2 drilling site of the Shenhu Area, but we presumed a hydrate lamina as the model (1-m-thick layer in Figure 2) that has homogeneous physical properties and inactive boundaries. The same grid and media properties were used in the simulations. The cylindrical domain was discretized into 100 × 22 = 2200 gridblocks in (r, z), of which 1908 were active, and the remaining were boundary cells (Figure 11). The upper and lower boundaries corresponded to constant T. A very fine discretization along the r direction was used, and the hydrate lamina was subdivided into segments of Δz = 0.05 m each along the z-direction. Assuming an equilibrium reaction of hydrate dissociation, the grid resulted in 3960 coupled equations that were solved simultaneously.
Figure 11. Grid structure of the idealized homogeneous lamina containing hydrate.
Reservoir parameters and initial values in simulations are consistent with those in the model research. Hydrate saturation is 0.3, porosity is 0.38, and production duration is 3 years. For the parameter configurations of TOUGH+HYDRATE readers are referred to the previous research [8].
Figure 12 shows Qr of gas release rate from hydrate lamina during the production by thermal stimulation and also a comparison with efficiency of depressurization. In order to produce gas at the well effectively, a 1-MPa-depressurization is involved in three production schemes, by which we can compare the production efficiency between thermal stimulation and depressurization schemes, and study the contribution of well-source heat during hydrate exploitation. Qr > 1 m3/d at the very beginning but quickly reduces to be ~0.01 m3/d at time of 200 d since the production gets started and then reaches a relatively stable situation (Figure 12). The near-well temperature is raised and stimulates the hydrate efficiently at the beginning, but the gas and water released from the hydrate flow with heat towards the well under the pressure gradient. Because negative production of heat undermines the thermal feeding to hydrate dissociation front and temperature gradient alone the radius direction gets smaller, energy accumulation needs more time for dissociating the off-well hydrates and hydrate dissociation rate becomes smaller. Therefore we think that the high temperature heat sources at the well have a small influence radius.
By comparing the production cases at different boundary temperatures, we know that elevating the input temperature from 100 °C to 200 °C does not have any evident effect on hydrate dissociation (Figure 12). The higher-temperature heat source still finds it hard to transmit more heat to the hydrate dissociation front to produce gas. On the other hand, the joint operations of thermal stimulation + depressurization do not show evident advancement than the production of pure-depressurization (ΔP = 1 MPa). It implies that contributions of thermal stimulation in the joint productions are very small, and hydrate dissociation results mainly from the depressurization.
Figure 12. Comparison of gas release rate from hydrate deposit. A 1-MPa depressurization is involved in the three schemes.
Figure 13 shows Vr of cumulative gas released from hydrate and Vg of cumulative gas remaining in the reservoir during the exploitation to the hydrate lamina by thermal stimulation. The results are also compared with efficiency of the depressurization operation. The cumulative volumes of gas released in the three schemes are less than 28 ST m3 and the gas remained in the reservoir is generally less than 3 ST m3. Seeing the figure we know ~25 ST m3 gas can be produced from the 1-m-thick hydrate layer. If the whole 40-m-thick hydrate deposit at the drilling site of SH2 is similar to the idealized hydrate lamina, the total gas production in 3 years is no better than 1000 ST m3, which shows the gas production, parameters of RCH and RDH are less than and consist with the model prediction.
The simulations also show that gas released from hydrate in the joint productions of thermal stimulation + depressurization is slightly higher than that of the pure depressurization scheme, the total difference in gas amount is less than 3 ST m3 (Figure 13). Since a similar gas amount reserved in the sediment, the differences in gas production are <3 ST m3, which means the maximum contribution of thermal stimulation in the joint productions is ~3 ST m3 gas productions for the hydrate lamina. Thus a pure depressurization production is much better than production by pure thermal stimulation through a vertical well and depressurization is recommended to be the prior method for producing gas from the hydrate deposit at the Shenhu Area.
Figure 13. Cumulative volumes of released gas from hydrate deposit and gas remained in the reservoir. A 1-MPa depressurization is involved in the three schemes.

6. Conclusions

In this paper a one-dimension model for hydrate exploitation by a vertical well model is established. The model is idealized by assuming the horizontal mass and energy transfer in laminar sheets, and further simplified by neglecting the processes of fluids production and heat loss to maximize production capacity and heat efficiency. Using the model we analytically assess the gas production efficiency from hydrate deposits by thermal stimulation in the Shenhu Area on the northern continental slope of the South China Sea. The results show that heat consumption efficiency and energy efficiency of hydrate exploitation by thermal stimulation are theoretically attractive. Hydrate dissociation rate, production capacity, and economic benefit can be enhanced by increasing bottom-hole temperature, or/and hydrate saturation, or/and effective heat conductivity, and by reducing the temperature difference, but in fact, the effective thermal conductivity of the reservoir formation in production is very small, and the well-source heat cannot transfer effectively and reach the hydrate dissociation front. Furthermore, the injected heat into the sediment is partially produced with the fluids at the well, which commits contribution to energy loss, thus the effective heat conductivity of a hydrate reservoir exploited is much smaller than that of the intact formation without fluids flow. The efficiency of thermal production is much lower than that of depressurization. The production potential is much less than the minimum criterion for industrial development. The inefficient production suggests that the hydrate exploitation by thermal stimulation through a vertical well at the Shenhu Area is uneconomical and the production scheme proposed in this paper is unfeasible.

Nomenclature:

cp
heat capacity of sediment
cg
heat capacity of gas
cw
heat capacity of water
P
system pressure
ΔP
pressure difference in thermal production simulation
Q
total heat consumption, Q = Q T + Q H
QT
heat consumption for raising sediment temperature
QH
heat consumption for decomposing hydrate
QC
net combustion heat of methane gas
Qr
release rate of gas from hydrate deposit
qg
gas flux
qw
water flux
RDH
heat consumption efficiency of hydrate dissociation
RcH
energy efficiency of thermal hydrate exploitation
r
distance to vertical well
rd
dissociation radius
rw
radius of vertical well, rw = 0.10 m
rmax
maximum radius of cylindrical domain simulated, rmax = 10 m
Δr
grid step in radius direction of cylindrical domain, Δr = 0.01 m
SH
hydrate saturation
T
system temperature
T0
temperature at well
Te
hydrate phase equilibrium temperature
ΔT
temperature difference, Δ T = T e T
Vg
cumulative volume of gas remained in reservoir
Vr
cumulative volume of gas released from hydrate deposit
z
system ordinate
Δz
discretized interval in vertical direction
ϕ
porosity of sediment
ρ
density of sediment
λ
thermal conductivity of sediment
ΔH
decomposition enthalpy of methane hydrate
Δη
net calorific value of methane gas

Acknowledgements

Funding was provided by Knowledge Innovation Program of Chinese Academy of Sciences (No.KGCX2-YW-805), the NSFC-Guangdong Joint Science Foundation of China (No. U0933004), National 973 Project (No. 2009CB219508), Natural Science Foundation of Guangdong Province, Guangdong Natural Science Foundation (0909j3), and Director Foundation of Guangzhou Institute of Energy Conversion (o807re). The manuscript was substantially improved by the suggestions of two anonymous reviewers.

References

  1. Sloan, E.D. Clathrate Hydrates of Nautral Gases; Marcel Decker, Inc.: New York, NY, USA, 1998. [Google Scholar]
  2. Moridis, G.J.; Collett, T.; Dallimore, S.; Satoh, T.; Hancock, S.; Weatherhill, B. Numerical studies of gas production from several methane hydrate zones at the Mallik site, Mackenzie Delta, Canada. J. Pet. Sci. Eng. 2004, 43, 219–239. [Google Scholar] [CrossRef]
  3. Moridis, G.J.; Reagan, M.T.; Kim, S.-J.; Seol, Y.; Zhang, K. Evaluation of the gas production potential of marine hydrate deposits in the Ulleung Basin of the Korean East Sea. In Proceedings of 2007 SPE Asia Pacific Oil & Gas Conference and Exhibition, Jakarta, Indonesia, 30 October–1 November 2007.
  4. Moridis, G.J.; Reagan, M.T. Strategies for gas production from oceanic Class 3 hydrate accumulations. In Proceedings of OTC 18865,2007 Offshore Technology Conference, Houston, TX, USA, 30 April–3 May 2007.
  5. Moridis, G.J.; Reagan, M.T. Gas production from oceanic Class 2 hydrate accumulations. In Proceedings of 2007 Offshore Technology Conference, Houston, TX, USA, 30 April–3 May 2007.
  6. Moridis, G.J.; Kowalsky, M.B.; Pruess, K. Depressurization-Induced gas production from Class 1 hydrate deposits. In Proceedings of 2005 SPE Annual Technical Conference and Exhibition, Dallas, TX, USA, 9–12 October 2005.
  7. Moridis, G.J.; Collett, T.S.; Boswell, R.; Kurihara, M.; Reagan, M.T.; Koh, C.; Sloan, E.D. Toward production from gas hydrates: Current status, assessment of resources,and simulation-based evaluation of technology and potential. In Proceedings of 2008 Unconventional Reservoirs Conference, Keystone, CO, USA, 11–13 February 2008.
  8. Su, Z.; Zhang, K.; Moridis, G.J.; Yang, R.; Wu, N. Numerical investigation of gas production strategy for the hydrate deposits in the Shenhu area. In Proceedings of 2010 Offshore Technology Conference, Houston, TX, USA, 3–6 May 2010.
  9. McDonnell, S.L.; Max, M.D.; Cherkis, N.Z.; Czarnecki, M.F. Tectono-sedimentary controls on the likelihood of gas hydrate occurrence near Taiwan. Mar. Pet. Geol. 2000, 17, 929–936. [Google Scholar] [CrossRef]
  10. Wang, P.; Prell, W.; Blum, P. Ocean Drilling Program Leg 184 Scientific Prospectus South China Sea; Ocean Drilling Program: College Station, TX, USA, 2000; pp. 1–97. [Google Scholar]
  11. Wu, N.; Yang, S.; Zhang, H.; Liang, J.; Wang, H.; Su, X.; Fu, S. Preliminary discussion on gas hydrate reservoir system of Shenhu Area, North Slope of South China Sea. In Proceedings of the 6th International Conference on Gas Hydrates (ICGH 2008), Vancouver, Canada, 6–10 July 2008.
  12. Wu, N.; Yang, S.; Zhang, H.; Liang, J.; Wang, H.; Lu, J. Gas Hydrate System of Shenhu Area,Northern South China Sea: Wire-line Logging, Geochemical Results and Preliminary Resources Estimates. In Proceedings of 2010 Offshore Technology Conference, Houston, TX, USA, 3–6 May 2010.
  13. Chen, D.; Cathles, L.M. On the thermal impact of gas venting and hydrate crystallization. J. Geophys. Res. 2005, 110, B11204:1–B11204:13. [Google Scholar]
  14. Duan, Z.; Miller, N.; Greenberg, J. The prediction of methane solubility in natural waters to high ionic strengths from 0 to 250 °C and from 0 to 1600 bar. Geochim. Cosmochim. Acta 1992, 56, 1451–1460. [Google Scholar] [CrossRef]
  15. Kim, H.C.; Bishnoi, P.R.; Heidemann, R.A.; Rizvi, S.S.H. Kinetics of Methane Hydrate Decomposition. Chem. Eng. Sci. 1987, 42, 1645. [Google Scholar] [CrossRef]
  16. Clarke, M.A.; Bishnoi, P.R. Determination of the Intrinsic Rate of Methane Gas Hydrate Decomposition. Chem. Eng. Sci. 2000, 55, 4869. [Google Scholar] [CrossRef]

Article Metrics

Citations

Article Access Statistics

Multiple requests from the same IP address are counted as one view.