Next Article in Journal
A Numerical and Experimental Analysis of Emissions from an Industrial Combustor Fueled with Methane–Hydrogen Blends
Previous Article in Journal
Influence of Train Speed on Transient Current Evolution in Traction Network Under Pantograph–Catenary Offline Conditions
 
 
Font Type:
Arial Georgia Verdana
Font Size:
Aa Aa Aa
Line Spacing:
Column Width:
Background:
Article

Mass and Energy Balance Modeling of Industrial Drying in Spunlace Nonwoven Production

1
Institute of Mathematics, University of Zielona Góra, 65-516 Zielona Góra, Poland
2
Institute of Mechanical Engineering, University of Zielona Góra, 65-516 Zielona Góra, Poland
3
Institute of Materials and Biomedical Engineering, University of Zielona Góra, 65-516 Zielona Góra, Poland
4
Department of Production Management, Faculty of Engineering Management, Bialystok University of Technology, Wiejska Street 45A, 15-351 Bialystok, Poland
5
Institute of Mechanical Science, Faculty of Mechanical Engineering, Vilnius Gediminas Technical University, Plytinės Str. 25, LT-10105 Vilnius, Lithuania
6
The Institute of Technical Sciences and Aviation, The State University of Applied Sciences in Chełm, Street Pocztowa 54, 22-100 Chełm, Poland
*
Authors to whom correspondence should be addressed.
Energies 2026, 19(8), 1914; https://doi.org/10.3390/en19081914
Submission received: 7 March 2026 / Revised: 4 April 2026 / Accepted: 11 April 2026 / Published: 15 April 2026

Abstract

Industrial drying of spunlace nonwovens (fibrous materials produced by hydroentanglement using high-pressure water jets) represents one of the most energy-intensive stages of production due to the high water content remaining after the hydroentanglement process and the large thermal energy required for water evaporation. Understanding the relationship between material structure, production parameters, and water removal intensity is therefore essential for improving process efficiency. This study investigates the drying behavior of viscose–polyester spunlace nonwovens using an integrated mass balance and statistical modeling approach based on industrial production data. Process parameters were collected from an industrial SCADA (Supervisory Control and Data Acquisition) monitoring system and combined with laboratory measurements of nonwoven mass per unit area. Experimental results show that 926–1840 kg/h of water can be removed during drying at temperatures below 100 °C, depending primarily on production speed and structural parameters of the material. A multivariate exponential regression model was developed to describe the nonlinear relationship between drying temperature, production parameters, and water removal intensity. The model demonstrated high predictive accuracy when validated with independent test data. The results indicate that mass throughput and structural characteristics dominate the drying process, while temperature variations remain limited by technological constraints. The proposed modeling framework enables predictive control of industrial drying conditions and provides a practical tool for improving energy efficiency in industrial nonwoven manufacturing.

1. Introduction

Spunlace (hydro-interlacing) technology is a widely used method for producing nonwoven materials in which high-pressure water jets mechanically entangle fibers to form a three-dimensional structure [1,2]. The resulting pore architecture and fiber arrangement strongly influence mechanical properties and transport phenomena within the material [3,4]. These structural characteristics also play a critical role in subsequent technological operations [5], particularly moisture removal during the drying process [6].
The porous structure of spunlace nonwovens determines key functional properties such as air permeability [7,8], fluid transport, and moisture retention. In fibrous porous materials, moisture transport occurs through multiple mechanisms including capillary flow, vapor diffusion, and sorption on fiber surfaces [9]. The efficiency of these processes depends strongly on pore geometry, fiber composition [10,11], and structural tortuosity, which together define the resistance to mass transfer during drying [12].
In mixed viscose–polyester spunlace structures, moisture behavior is determined by both fiber hygroscopicity and pore network characteristics. Hydrophilic viscose fibers are capable of adsorbing water at the molecular level, while hydrophobic polyester fibers mainly facilitate capillary transport through the pore system [13,14]. As a result, the distribution and retention of moisture in the structure are controlled not only by total porosity but also by the geometry and connectivity of pores.
The interaction of moisture with spunlace nonwovens is one of the key factors determining both their functional properties and the efficiency of subsequent technological operations, especially drying [15,16,17]. Unlike solid or densely bound materials, spunlace structures are characterized by a complex multi-scale pore network, in which interfibrillar and interlamellar cavities coexist. This structural diversity determines that moisture transport in such materials occurs not by one, but by several parallel mechanisms. The literature emphasizes that the moisture behavior in spunlace nonwovens is strongly related to the hygroscopicity of the fibers and the composition of their mixture. Hydrophilic fibers, such as viscose, are characterized by a high ability to adsorb water at the molecular level, while hydrophobic fibers, such as polyester, almost do not absorb water, but form favorable capillary channels for liquid transport. Studies show that in mixed VIS–PES spunlace products, water retention and transport are determined not only by the overall porosity value, but also by the pore geometry and their interconnection [18].
Industrial drying of porous fibrous materials requires substantial thermal energy because large volumes of water must be evaporated in a relatively short time [19]. In convective drying systems, a significant portion of the supplied heat is removed with the exhaust humid air, which reduces the overall energy efficiency of the process. Therefore, improving industrial drying performance requires not only equipment optimization but also predictive modeling of the relationship between production parameters, water removal rate, and drying temperature.
Capillary transport is one of the main mechanisms describing the movement of liquids in spunlace structures. Experimental and theoretical works have shown that increasing the pressure of the water jet during production reduces the capillary radius, increases the density of the structure and at the same time reduces the rate of liquid penetration and transport [20]. This phenomenon is particularly important in the context of moisture distribution, since a denser structure can retain a larger amount of water locally, but complicate its even distribution and removal in later stages.
In addition to capillary transport, moisture diffusion in the pore network also plays an important role, especially at lower saturation levels. Studies investigating the diffusion of moisture vapor through fibrous materials show that porosity and tortuosity are essential parameters that determine the intensity of diffusion [21]. Tortuosity is often higher in spunlace structures than in thermally bonded nonwovens, since the fibers are not fixed in one plane, but form a three-dimensional network of intertwining.
It is important to emphasize that moisture retention in spunlace nonwovens is not only an undesirable phenomenon. In certain application areas—for example, in hygiene or medical products—high moisture absorption and uniform distribution are considered an advantage [22,23,24]. However, from a production process point of view, this means a higher load on the drying step, since water is not only free in the pores, but also physically bound to the surface of the fibers.
Thus, moisture transport in spunlace nonwovens is a complex, structurally controlled process in which the chemical nature of the fibers, the pore geometry, and the three-dimensional arrangement of the structure interact. These factors form the basis for mass balance analysis and determine why the drying process should not be considered in isolation, but as a direct consequence of the structure–moisture interaction.
Drying is one of the most energy-intensive stages in the production chain of spunlace nonwovens, because after the hydroentanglement process, a large amount of process water mass remains in the structure. This water exists not only as a free liquid in the pores, but also as moisture physically associated with the fibers, the removal of which requires additional energy consumption [25,26,27,28]. Therefore, the drying process cannot be viewed solely as a thermal operation—it is a direct consequence of the previous stages of structure formation. The literature emphasizes that the drying of fibrous materials usually occurs in several stages: an initial period of constant drying rate, when free water is removed, and a slower period of decreasing rate, when diffusion and sorption phenomena dominate. In the case of fibrous structures, the duration and intensity of these stages are closely related to the porosity, pore connectivity and hygroscopic properties of the fibers [29]. In spunlace nonwovens with a large internal surface area, the falling velocity phase often becomes dominant, leading to disproportionately high energy consumption.
Mass balance analysis is essential to understand the limitations of the drying process. Studies show that the rate of water removal directly depends on the initial moisture distribution in the structure and on the thickness and mass per unit area of the material [30]. As the mass of the substrate increases, the amount of water per unit length or area increases almost linearly, but the drying intensity does not increase proportionally, since heat and mass transfer are limited by the tortuosity of the structure and the limited air flow penetration.
From an energy point of view, drying is a critical source of cost in spunlace production. Convection drying methods, which are commonly used in industry, are characterized by relatively low energy efficiency, since a large part of the supplied heat is removed with the exhaust humid air. The literature emphasizes that the energy-saving potential lies not only in the modernization of the drying equipment, but also in the process control based on mass and energy balances [31]. This is especially relevant for spunlace technology, where the water content is significantly higher than in other nonwoven production schemes. An important aspect that emerges in the context of materials science is the influence of structural limitations on the drying temperature. In mixed VIS–PES products, high drying temperatures can lead to undesirable structural changes: collapse of hydrophilic fibers, changes in pore geometry, or even partial damage to the structure. Therefore, the drying process often has to be carried out at lower temperatures, which further prolongs the process and increases energy consumption [32]. In summary, drying in spunlace nonwovens is a complex process in which structural, mass transfer and energy factors are intertwined. The interaction of these factors determines that the optimization of drying cannot be achieved by empirical methods alone. This forms the basis for the application of mathematical and statistical models that allow quantitatively linking the structure, process parameters and energy consumption.
The complexity of spunlace nonwovens production, arising from interrelated structural, moisture and energy factors, has led to a growing need to apply modeling methods that allow to move from empirical process control to quantitatively based optimization. In the context of materials science, this direction is clearly associated with the process–structure–property paradigm, which emphasizes that the final material properties are determined not by individual parameters, but by the entire technological chain.
The literature emphasizes that traditional empirical methods based on changing individual parameters become insufficient when the production speed and structural diversity increase. In spunlace technology, the water jet pressure, fiber composition, mass per unit area and production speed together determine the three-dimensional structure, which in turn determines the moisture distribution and drying kinetics. Therefore, mathematical models are increasingly used, which allow to describe the structure–process relationships in a quantitative form [33].
One of the most important aspects of modeling is the integration of mass balance into the analysis of the entire line. Mass balance models allow to estimate water flows in individual technological stages and to identify the processes that most limit the overall efficiency. Studies show that such models form the basis for the transition to energy consumption prediction and real-time control of the drying process [34]. This approach is especially important in spunlace production, where water volumes are large, and the drying stage often becomes a “bottleneck” in the entire line. In addition to deterministic models, statistical and data-driven methods are also widely discussed in the literature. It has been found that regression and nonlinear models can successfully describe the relationships between process parameters and final material properties, such as air permeability, mechanical strength or moisture removal rate [35]. These methods allow the processing of large amounts of experimental or production data and identification of parameter interactions that are not evident when using physical models alone. Advanced statistical and stochastic modeling approaches are increasingly used to analyze the behavior and reliability of complex technical systems, enabling quantitative assessment of operational states and system readiness [36]. Recent studies demonstrate that statistical and data-driven models can successfully describe complex degradation and operational processes in industrial systems, enabling prediction of system states and process behavior [37].
An important step towards advanced optimization is the integration of structural modeling with the description of transport phenomena. Recent studies show that three-dimensional structural models, based on stochastic or numerical methods, allow the prediction of properties such as permeability or moisture diffusion based on geometric descriptors alone [38]. Such an approach allows the optimization to be shifted from direct control of process parameters to the control of structural characteristics, which is very attractive from an industrial point of view.
Recent studies have increasingly focused on integrating data-driven [39,40,41] and physics-based approaches for modeling drying processes in porous fibrous materials, enabling improved prediction of energy consumption and process optimization [41,42,43,44,45,46,47,48].
In summary, the optimization of spunlace nonwovens production is increasingly based on integrated modeling methods that combine mass balance, energy analysis and structural description. In this way, a theoretical basis is formed in the literature that directly supports and motivates the mass balance and modeling analysis of the drying process considered in this article.
The scientific novelty of this work is based on an integrated analytical approach to the drying process of spunlace nonwovens, in which drying is considered not as a separate technological operation, but as a structurally determined part of the process chain, directly dependent on the composition of the fibrous material, its internal structure and production mode. Unlike most empirical studies presented in the literature, this work is the first to consistently formulate and substantiate with data from a real industrial line a mass balance model that allows quantitatively describing changes in the water content in spunlace nonwovens during the drying stage, taking into account different moisture states and the composition of the fiber mixture. It is shown that the intensity of water removal is directly related to the production speed and the mass of the material per unit area, and this relationship cannot be properly assessed without a structural context.
Despite extensive research on moisture transport in fibrous materials, relatively few studies have analyzed industrial drying processes using real production data combined with mass balance modeling. In particular, the quantitative relationship between production speed, material mass per unit area, and water removal intensity remains insufficiently explored for industrial spunlace nonwoven production lines.
The aim of this study is to develop an integrated mass balance and statistical modeling framework for the drying process in industrial spunlace nonwoven production. Using SCADA production data and laboratory measurements, the study quantifies the relationship between production speed, mass per unit area, water removal intensity, and drying temperature. The proposed model provides a basis for predictive control of industrial drying conditions and supports the development of energy-efficient drying strategies.

2. Materials and Methods

The viscose and polyester fibers used in this study were industrial-grade materials supplied directly from the production line and correspond to commercially available fiber types commonly used in spunlace nonwoven manufacturing. The fiber blend consisted of 20% viscose and 80% polyester by mass.
Industrial process data were obtained from the monitoring system installed on the spunlace nonwoven production line. Process parameters including drying temperature, conveyor speed, and production rate were recorded using the industrial SCADA monitoring system.
The SCADA system continuously collects operational data from sensors located in the dryer module and along the production line. Conveyor speed was measured using encoder-based velocity sensors, while drying temperature was recorded using thermocouples installed in the upper and lower drying chambers.
The available dataset was divided into a training set and a test set in order to evaluate the predictive performance of the regression model. The training dataset consisted of 21 observations (Table 1), while an independent test dataset comprising 5 observations (Table 2) was used for validation.
The division was not random but based on separate measurement series obtained under stable industrial operating conditions. This approach ensures that the test data represent independent process realizations rather than resampled subsets of the training data, which is consistent with industrial validation practice.
All process parameters were recorded during stable production conditions to ensure that the analyzed data correspond to steady-state operation of the drying system.
The accuracy of the measurement system was determined according to the specifications of the installed sensors. Temperature measurements were performed using industrial thermocouples with an accuracy of ±1 °C. Conveyor speed measurements were obtained using encoder-based sensors with an estimated accuracy of ±0.5%. Laboratory measurements of nonwoven mass per unit area were carried out using standard textile testing procedures.
The key problems considered when modeling the fiber bed drying process: description of the stretching process, determining the water mass balance for the mixture and determining the nonlinear functional dependence of the drying temperature on the parameters characterizing production [49,50]. It was assumed that the drying process takes place without mass losses for the fibers. Therefore, a mixture of two types of fibers (polyester and viscose) in different proportions was considered. The basic parameters characterizing individual stages of the nonwoven production process are the linear speed V [m/min] and the specific mass of the fiber bed ρ [g/m2]. On their basis, the production rate P [kg/h] was calculated using the formula
P = 60 1000   ρ · V · d ,
and linear mass of the fiber layer [kg/m]
M = 1 1000   ρ · d ,
knowing the width of the production line, which is d = 3.2 [m].
Stretching (draft) is one of the most important processes used in the textile industry in the production of nonwoven fabrics. This process occurs when the linear speeds of subsequent machine elements increase in the direction of the fiber stream flow. Stretching is performed in individual machines of the production line (including a carding unit, a needling unit, and a drying unit). The effect of this process is to thin the fiber stream, straighten and mix the fibers, and direct them in the longitudinal direction [51,52]. The basic parameter determining this process is the amount of stretch. The classic definition of this indicator, which we denote by R, describes it as the ratio of the linear speed of the dispensing (removing) rollers to the linear speed of the feeding rollers
R = V 2 V 1 ,
where V1, V2 determine the linear speeds [m/min] of the feeding and dispensing rollers.
It was assumed that the stretching process takes place without mass losses and that a uniform stream of fibers is stretched, in which all fibers have the same length [53,54,55,56]. Then the amount of draw can be described as the ratio of the number of fibers in the undrawn stream to the number of fibers in the drawn stream
R = n 1 n 2 ,
where n 1 is the number of fibers in the drawn stream and n 2 is the number of fibers in the drawn stream. Hence, if the above assumptions are met, we can consider the following relationship
V 2 V 1 = n 1 n 2   .
When modeling stretching in the quantitative balance of a technological line, let us denote by V 1   the linear speed [m/min] of the feeding rollers and by V 2 the linear speed [m/min] of the dispensing rollers. Then the percentage change in velocity in the stretching region is equal to
δ V = V 2 V 1 V 1 · 100
Hence, the relationship between the speeds V 2 ,   V 1 has the form:
V 2 = 1 + δ V 100 V 1 ,
which implies
V 2 V 1 = 1 + δ V 100 = R .
This formula is used to model speed changes between adjacent elements of the technological line in the settings database and to correlate parameters controllable by individual modules. The stretch R also influences the change in the specific mass of the fiber stream
ρ 2 = 1 R   ρ 1 ,
where ρ 1 and ρ 2 are the specific mass [g/m2] of the fiber stream on the feeding and dispensing rollers, respectively. Stretching, however, does not affect the production volume measured in [kg/h], because the equality P 2 = P 1 occurs.
Stretching in the drying unit takes place on the following elements: feed roller, cylinder 1, cylinder 2 and shedding roller (Figure 1). So marked by
V0 speed of the fiber deck on the conveyor of the drying system,
δV1 percentage change in speed on the feed shaft,
δV2 percentage change in speed on cylinder 1,
δV3 percentage change in speed on cylinder 2,
δV4 percentage change in speed on the shedding shaft,
V4 speed of the fiber deck on the conveyor of the winding unit.
Using the above-mentioned mathematical description of the stretching process again formulas describing the stretching process can be written as equality
V 4 = R · V 0   ,
where the stretch R is equal to
R = R 4 · R 3 · R 2 · R 1
and
R i = 1 + δ V i 100 ,         i = 1 , 2 , 3 , 4 .
When modeling the water mass balance, it was assumed that the fiber bed is delivered to the dryer in a state of full saturation and dried at an appropriate temperature and circulation of a stream of warm air (heated using gas burners) in such a way that the final natural humidity is achieved at the exit of the dryer unit.
The fiber bed enters the dryer module in a fully saturated state and is transported along the conveyor through successive drying zones, as schematically illustrated in Figure 1.
Modeling the production process of spunlace nonwoven fabric requires water balance analysis. Water is essential in the needling process. However, it affects the mass balance of the technological line. It was assumed that the fibers were kept at natural humidity during the production process [57,58,59]. Hence, at the entrance to the needle machine, water is supplied to the fiber bed with natural humidity in order to obtain full saturation of the mixture. Then the actual needling process begins. After the needling process, some of the water (its excess) from the resulting nonwoven fabric is sucked out as a result of the dewatering process. Then, the fully saturated fibers are sent to the dryer unit. Based on available research, it was assumed that the fiber mixture has natural moisture if the linear mass of the fibers increases by 13% for viscose and by 0.5% for polyester. The coefficient determining the increase in linear mass for the mixture is equal to:
α N = 0.13   p 1 + 0.005   p 2 ,
where p 1 defines the proportions of viscose and, a p 2 of polyester in the mixture. Then the amount of water [kg/h] in the fiber sheet with natural humidity is determined from the formula
P N = α N   P ,
and the linear mass of water [kg/m] in this seam
M N = α N   M ,
with a given production volume P , specific mass ρ i and technological line width d .
On the other hand, the fiber mixture has full saturation if the linear mass of the fibers increases by 150% for viscose and by 70% for polyester. Then the coefficient determining the increase in linear mass for the mixture is equal
α W = 1.5   p 1 + 0.7   p 2 ,
the amount [kg/h] and the linear mass of water [kg/m] in the fully saturated fiber bed are
P W = α W   P ,         M W = α W   M .
To calculate how much the water mass for the fiber bed increased by increasing its humidity from natural to full, the relationship between M N i M W was used in the form
M W = 1 + α W 1 + α N   M N .
On this basis, the relationship between the specific mass of the fiber bed with natural humidity and the fiber bed with full saturation can be indicated as follows:
ρ W = 1 + α W 1 + α N   ρ N .
The above relationships were used in the mass balance model of the technological line in the dryer assembly (Figure 1). Therefore, the process analysis began with determining the initial production value P O U T [kg/h], i.e., the amount of nonwoven fabric that comes out of the dryer module with natural humidity. It was calculated based on Formula (1) and measurement of the winder speed V O U T [m/min] (after the dryer unit, machine data—SCADA measurement system) and the specific mass of the nonwoven fabric ρ O U T [g/m2] (measured in the laboratory). Then, using Formula (11) and the machine data of the speed of the feed roller, cylinder 1, cylinder 2 and the shedding roller in the dryer module, we can determine the amount of stretch R . The specific mass of the fully saturated fiber bed ρ I N , which is delivered to the dryer after the water needling process, was calculated taking into account the relationship (9) and (19).
The multivariate exponential regression model is a statistical regression model in which the relationship between the explained (dependent) variable Y a and the vector of independent explanatory variables X = ( X 1 , X 2 , , X k ) is described using an exponential function [60]. This model for n observations and k independent variables can be written mathematically as:
Y i = b 0 · e j = 1 k b j X i j + ε i ,           i = 1 , 2 , , n ,
where Y i is the i -th observation of the explained variable, X i j determines the value of the j -th explanatory variable for the i -th observation, b 0 is an unknown scaling parameter, b j is an unknown regression coefficient for the j -th explanatory variable and ε i is a random component for the i -th observation. We can obtain the unknown values of the parameters of the above model by taking the logarithm of both sides of Equation (5) to the form
Z i = ln Y i = β 0 + j = 1 k b j X i j + ln ε i ,         i = 1 , 2 , , n ,
where β 0 = ln b 0 . Then, using the least squares method, we determine the estimators β ^ 0 , b ^ 1 , b ^ 2 , , b ^ k , which minimize the error function, i.e., the sum of squared differences between the observed values of Z i and the values predicted by the model
S = i = 1 n Z i β ^ 0 j = 1 k b ^ j X i j 2
where β ^ 0 gives an estimate of the logarithm of b 0 , i.e., b ^ 0 = e β ^ 0 Then, after estimating the parameters, model (20) takes the form:
Y ^ i = b ^ 0 · e b ^ 1 X i 1 + b ^ 2 X i 2 + + b ^ k X i k ,
where Y ^ i is the estimated value of i—this observation of the explained variable, and b ^ j is the estimated value of j —this model parameter, j = 0 , 1 , 2 , , k .
The logarithmic transformation was applied to linearize the multiplicative form of the regression model and to stabilize the variance of the residuals. Such transformation is commonly used in modeling nonlinear relationships in industrial processes.
Residual diagnostics were performed to verify the assumptions of the regression model. The residuals of the log-transformed model were analyzed in terms of normality and homoscedasticity. The results indicated no significant deviation from normal distribution and no systematic patterns in residual plots, confirming the adequacy of the applied transformation and the validity of the least squares estimation.
In addition to the statistical indicators, residual plots were analyzed to assess the adequacy of the regression model. The residuals plotted against the fitted values did not exhibit any systematic patterns, indicating that the assumption of homoscedasticity was satisfied.
Furthermore, the normal probability plot (Q–Q plot) of residuals showed that the data points were closely aligned along the reference line, confirming that the residuals follow an approximately normal distribution.
No significant outliers or leverage points were observed, which indicates that the regression model is stable and not dominated by individual observations. These results confirm that the applied log-linear model provides an adequate statistical representation of the drying process.
One of the most frequently used criteria for assessing the quality of fit of a regression model is the coefficient of determination R 2 defined on the original scale as follows [61,62]
R 2 = S S R S S T = i = 1 n Y ^ i Y ¯ 2 i = 1 n Y i Y ¯ 2   ,
where Y ¯ is the average value of observations of the explained variable. The R 2 coefficient takes the form of the quotient of SSR (sum of squares regression) and SST (sum of squares total) and determines the degree to which the nonlinear regression model explains the variability of the Y variable. Its value ranges from 0 to 1. The higher the R 2 value, the better the fit of the regression to the data set. The measure of the accuracy of estimating the Y variable using a regression model is the mean relative prediction error (MAPE—mean absolute percentage error), which in the original scale is calculated from the formula
M A P E = i = 1 n Y i Y ^ i Y i · 100 %   .
Lower MAPE values indicate greater model accuracy (20).
For the present study, the exponential regression model was estimated in log-linear form using the training data reported in Table 1. The dependent variable was the removed water mass flow rate H [kg/h], while the explanatory variables were the production speed at the dryer outlet VOUT [m/min], the nonwoven mass per unit area ρOUT [g/m2], and the average drying temperature T [°C]. Accordingly, the fitted regression model was defined as:
ln H = β 0 + β 1 ln V O U T + β 2 ln ρ O U T + β 3 ln T O U T
where β0 is the intercept and β1, β2, β3 are the estimated regression coefficients.
The energy required for water evaporation during the drying process was estimated using a simplified energy balance approach. The thermal energy needed to evaporate water can be expressed as:
Q e v a p = m w · h f g ˙   ,
where Qevap—energy required for evaporation [kW], mw—mass flow rate of evaporated water [kg/h], and hfg—latent heat of vaporization of water.
The mass flow rate of removed water was determined using the mass balance model described in the previous section. This approach allows estimation of the minimum thermal energy required for the industrial drying process.

3. Results

The amount of input production P I N was obtained on the basis of reading the linear velocity of the fiber bed before the dryer V I N and applying Formula (1). Hence, the amount of water [kg/h] that was removed in the nonwoven fabric drying process is H = P I N P O U T . The average values of these values obtained for tests performed on the actual production line of spunlace nonwoven fabric with a VIS-PES mixture are summarized in Table 1. It should be emphasized that the averaging took place in each case after the production process had been stabilized to guarantee an appropriate level of strength of the final product, i.e., for the nonwoven fabric the MD/CD ratio < 3.
The energy required for water evaporation during the drying process can be estimated using the mass flow rate of removed water determined from the mass balance model.
Based on the experimental data, the mass flow rate of evaporated water ranged from approximately 926 kg/h to 1840 kg/h. Assuming a latent heat of vaporization of water equal to 2257 kJ/kg, the theoretical energy demand required for evaporation can be estimated as (27) which corresponds to an energy demand of approximately 580–1150 kW for the analyzed industrial drying process. The estimated energy demand was calculated by multiplying the experimentally determined mass flow rate of evaporated water by the latent heat of vaporization of water.
These results confirm that the drying stage represents a significant energy load in the production of spunlace nonwoven materials.
Compared to other stages of spunlace nonwoven production, the drying process represents one of the dominant energy consumers due to the high latent heat required for water evaporation. While processes such as fiber web formation and conveyor transport require significantly lower energy input, the drying stage involves continuous thermal energy supply, typically exceeding the energy demand of mechanical operations.
This confirms that optimization of the drying process offers the highest potential for improving overall energy efficiency in spunlace nonwoven production.
Figure 2a–c, show measurement data ( V O U T , T ) obtained in a real dryer from SCADA system, values determined in laboratory conditions ( ρ O U T ) and data calculated analytically using the mass balance model ( P O U T ,   H ) . Particular attention should be paid to the temperature and the amount of water that was removed in the process of drying the nonwoven fabric H [kg/h]. At a temperature below 100 °C and a linear speed at the dryer exit of approximately 200–260 m/min, as much as approximately 926–1840 kg/h of water was removed from the analyzed nonwoven fabric (depending on the specific mass of the nonwoven fabric).
Structural analysis of the data, presented in Figure 2a, allows us to assess the dispersion, medians and interquartile ranges of the main process variables, thus revealing not only the average values, but also the stability of the process. It is particularly important that both the production rate and mass flow distributions have clearly defined intervals, which indicates that the process was carried out under controlled and stabilized conditions. At the same time, it is noticeable that with increasing mass per unit area, not only the absolute mass of the product increases, but also the variation in the intensity of water removal, which indicates a strengthening of the effect of structural heterogeneity.
Temperature dispersion analysis shows that the drying process is deliberately maintained in a limited temperature range, not exceeding technological and material limitations. This confirms that the intensification of the process is achieved not by increasing the temperature, but by controlling the mass flows and structural parameters. Such behavior is consistent with the principles of energy efficiency and reduces the risk of thermal effects on the fibrous structure. The distribution of water removal H exhibits a wide amplitude, which is directly related to the mass of the substrate and the production rate, and not to temperature fluctuations.
The data presented in Table 1 correspond to 21 independent measurement cases obtained under stable industrial operating conditions. Each case represents a distinct set of process parameters recorded during steady-state production.
To analyze the relationships between key process parameters, a structured data analysis was performed, as presented in Figure 2.
Figure 2a presents the distribution of the main process variables, including production rate, mass per unit area, water removal rate, and temperature. The relatively narrow temperature range confirms that the process operates under controlled thermal conditions, while the wider dispersion of water removal reflects variability in mass throughput and material structure.
From a materials perspective, the obtained results indicate that the drying behavior of spunlace nonwovens is strongly governed by structural water retention rather than by thermal driving forces. The wide range of removed water mass H observed at relatively stable drying temperatures reflects differences in the internal structure of the fibrous web, primarily associated with mass per unit area and pore network characteristics. Thicker and denser nonwoven structures retain a larger fraction of water not only as free liquid within the pore volume but also as physically bound moisture on fiber surfaces. This structural water fraction imposes an intrinsic limitation on the drying rate, as its removal is controlled by diffusion and desorption mechanisms rather than convective heat transfer alone. Consequently, the results demonstrate that mass per unit area acts as a structural control parameter of the drying process, directly linking material architecture with moisture removal efficiency under industrial drying conditions.
Figure 2b shows a clear positive relationship between mass per unit area and water removal rate. As the nonwoven becomes denser, the amount of retained moisture increases, leading to a higher drying load. The analysis of the data in Figure 2b by specific gravity intervals allows us to isolate in more detail the effect of the structure on the drying process. It can be seen that with increasing mass per unit area of the nonwoven, both the mass flow rate of the product and the amount of water removed increase consistently. This trend is a direct consequence of the mass balance: a thicker and denser structure accommodates a larger amount of water both in the pore volume and on the surface of the fibers. As a result, the drying process becomes more loaded, even if the temperature conditions remain similar.
It is important to emphasize that the temperature data associated with different mass intervals do not show a proportional increase. This means that the drying system operates under limiting conditions that protect the structure from thermal degradation. In this case, the additional drying load is compensated by a longer effective contact time and a higher mass flow rate, rather than by increasing the temperature.
Furthermore, the grouping of the water removal H values by mass reveals a clear causal relationship between the density of the structure and the energy requirement. High-mass substrates not only have higher water content, but also higher internal resistance to mass transfer, which can limit drying intensity. This analysis confirms that mass per unit area is one of the key control variables in the drying process and must be directly included in modeling and optimization algorithms.
Figure 2c illustrates the dependence of water removal rate on production speed. The results confirm that higher production speed leads to increased water removal, indicating that the drying process is primarily governed by mass flow rather than temperature. The data presented in Figure 2c, associated with different production speeds, allow us to clearly identify the dynamic nature of the drying process. As the linear speed increases, the amount of material passing through the drying module per unit time increases proportionally, and with it the mass of water removed. This dependence is a fundamental consequence of the mass balance and shows that the drying process is primarily flow-limited, not temperature-limited.
The sensitivity of water removal to production speed is presented in Figure 3, which shows that higher production speed is associated with an increased drying load in the industrial process. The fitted regression line shown in Figure 3 confirms the nearly linear relationship between water removal rate and production speed within the analyzed operating range. To quantify the relationship between production speed and water removal rate, a regression analysis was performed, as shown in Figure 3.
Figure 3 shows a strong positive relationship between production speed and water removal rate. The fitted regression line confirms the nearly linear dependence within the analyzed operating range. The high correlation coefficient indicates that the drying load is strongly governed by mass throughput, which is consistent with the mass balance analysis and regression model results.
Figure 3 confirms that the amount of removed water increases with production speed, which reflects the direct effect of mass throughput on the drying load. As the fibrous web passes through the dryer at a higher rate, a greater mass of water must be evaporated per unit time. This result supports the conclusion that the drying process is governed primarily by mass flow conditions rather than by temperature increase alone. The regression exponents obtained in the log-linear model further support this interpretation. The exponents associated with production speed and mass per unit area are close to unity, indicating nearly proportional scaling of water removal with mass throughput. In contrast, the temperature exponent is significantly lower, confirming that temperature variations have a limited influence on the process under the investigated industrial constraints.
The results obtained for different production speeds further highlight the role of material structure in governing the drying response. Despite a significant increase in the amount of water removed per unit time at higher production speeds, the drying temperature remains within a narrow range, indicating that the material undergoes drying under structurally constrained conditions. This behavior suggests that the fibrous web adapts to increased mass throughput primarily through changes in moisture flux rather than through altered thermal exposure. From the viewpoint of material properties, this implies that the spunlace nonwoven maintains its structural integrity during drying, with no indication of temperature-induced degradation or collapse within the investigated process window. The observed sensitivity of water removal to production speed therefore reflects a material-controlled transport phenomenon, in which pore connectivity and fiber–water interactions dominate over purely thermal effects.
To quantify the observed relationship, a correlation analysis was performed between water removal rate H and production speed VOUT. A strong positive correlation was identified, confirming that water removal intensity increases proportionally with mass throughput.
In contrast, the correlation between drying temperature T and water removal H was found to be weak, which quantitatively supports the observation that temperature plays a secondary role in the analyzed process window.
These results confirm that the drying process is predominantly governed by mass flow parameters rather than thermal driving forces.
The temperature values presented for different speeds show only small fluctuations, which confirms that the system is not controlled by increasing the thermal load. Instead, the drying intensity is adapted through changes in the mass flow. This is an important practical result, as it shows the possibility of increasing the productivity without damaging the material structure and without increasing the energy consumption per unit of production.
The dispersion of the water removal H values also increases with speed, which indicates that higher production modes amplify the influence of structural irregularities. This confirms that at high throughput conditions the drying process becomes more sensitive to the properties of the raw material and the stability of previous technological operations. Therefore, the analysis presented in Figure 2c justifies the need to apply predictive, mass balance-based models that allow for the pre-determination of optimal drying conditions for different production rates.

4. Discussion

From an energy perspective, the results clearly indicate that increasing drying temperature is not an effective strategy for improving process performance. Based on the energy balance, the thermal energy required for evaporation is directly proportional to the mass of removed water and does not depend on temperature itself.
Increasing temperature beyond the necessary level leads primarily to additional heat losses with exhaust air rather than to a proportional increase in drying efficiency. In contrast, increasing production throughput at controlled temperatures allows higher water removal rates without a corresponding increase in specific energy consumption.
Therefore, operating the drying system at moderate temperatures and higher mass throughput can significantly improve overall energy efficiency by reducing unnecessary thermal input while maintaining high drying capacity.
The drying process in spunlace nonwoven production must be optimized due to the large amount of water remaining in the fibrous structure after hydroentanglement. The results obtained in this study indicate that the drying load is primarily determined by the mass throughput of the fibrous web and the structural properties of the material rather than by increasing the drying temperature.
The observed behavior can be explained by the transport mechanisms occurring in porous fibrous materials. Moisture removal from the nonwoven structure is governed by a combination of capillary transport, vapor diffusion, and desorption of water from fiber surfaces. As the mass per unit area of the material increases, the internal resistance to mass transfer also increases due to longer diffusion paths and higher structural tortuosity.
The obtained results are consistent with previous studies on drying of fibrous and porous materials, which show that the drying rate in such structures is often limited by internal mass transport rather than by external heat transfer. Similar observations have been reported in textile drying studies, where the structural properties of the material significantly influence moisture removal kinetics.
From an industrial perspective, the presented results indicate that increasing drying temperature is not the most effective way to intensify the drying process. Instead, controlling production parameters such as mass throughput and material structure provides a more efficient strategy for managing the drying load. This approach can help reduce energy consumption and improve the operational stability of industrial drying systems.
The obtained results clearly demonstrate that the drying process in spunlace nonwovens is structurally limited and not controlled solely by thermodynamic parameters. Although the drying temperature is maintained within a relatively narrow range, the amount of water removed H varies over a wide range, which directly correlates with the mass per unit area of the nonwoven and the production rate. This indicates that the main limiting factor in the drying process is the internal architecture of the fibrous structure, which defines the distribution of water and its interaction with the fibers. The thicker and denser spunlace structure is characterized by a larger internal surface area and a higher degree of fiber–water contact, so a significant part of the water remains physically bound to the fiber surface. Such a water fraction cannot be effectively removed by increasing the convective heat flux alone, since its transport is limited by diffusion and desorption mechanisms. Therefore, the obtained results support the view that the drying process in spunlace nonwovens is a direct consequence of the structure formation in the previous stages, and not an autonomous technological operation.
It is important to emphasize that the observed increase in water removal intensity at higher production speeds was not accompanied by a proportional increase in drying temperature. This allows us to conclude that in the studied technological window, the nonwoven material maintains structural stability and is not affected by critical thermal damage mechanisms, such as fiber collapse or pore geometry degradation. From a materials science perspective, this indicates that the spunlace structure is able to adapt to higher mass flows primarily through increased moisture transport through the pore network, rather than through structural changes. At the same time, the increasing spread of H values at higher speeds reveals an increased sensitivity of the process to structural inhomogeneities arising from the fiber mixture, mass distribution, and stability of previous technological operations. This confirms that effective control of the drying process cannot be realized in isolation from the control of the material structure and requires an integrated approach that includes both structure formation and modeling of mass and energy flows.
The ventilation system is automated with a temperature control system and its effectiveness depends on the production volume and the temperature settings adopted on the control panel. Therefore, the key aspect of modeling the fiber bed drying process is the task of determining the nonlinear dependence of temperature on its production parameters (speed, specific mass) and the amount of water that needs to be removed. For this purpose, a multivariate exponential regression model was used.
In the next step, model (20) was estimated using the training data presented in Table 1. The dependent variable was the amount of water removed during drying, H, and the explanatory variables were the production speed at the dryer outlet, VOUT, the specific mass of the produced nonwoven fabric, ρOUT, and the average drying temperature in the dryer module, T. The fitted model in log-linear form was obtained as:
ln H = 1.9507 + 0.9819 ln V + 0.9866 ln ρ + 0.0415 ln T
After back-transformation, the model on the original scale takes the form:
H = 0.1422 V O U T 0.9819 · ρ O U T 0.9866 · T O U T 0.0415
The estimated coefficients and their statistical significance are reported in Table 2. All regression coefficients were positive, and all terms were statistically significant at p < 0.05. In particular, the exponents for VOUT were both close to unity, indicating an almost proportional effect of production speed and nonwoven mass per unit area on the water removal rate. In contrast, the exponent for temperature was much smaller, which confirms that, within the investigated industrial operating window, the drying load is governed primarily by mass throughput and material structure rather than by temperature increase alone.
The coefficient of determination for the fitted log-linear model was R2 = 0.9998, which indicates an excellent fit to the training data. Moreover, the mean absolute percentage error calculated on the original scale was MAPE = 0.20%, confirming very high predictive accuracy. Verification on the independent test data set presented in Table 3 showed that the model retained good predictive capability under the analyzed production conditions.
Verification of Formula (28) on the additional set of test data presented in Table 3 showed an average relative error of MAPE = 2.6%.
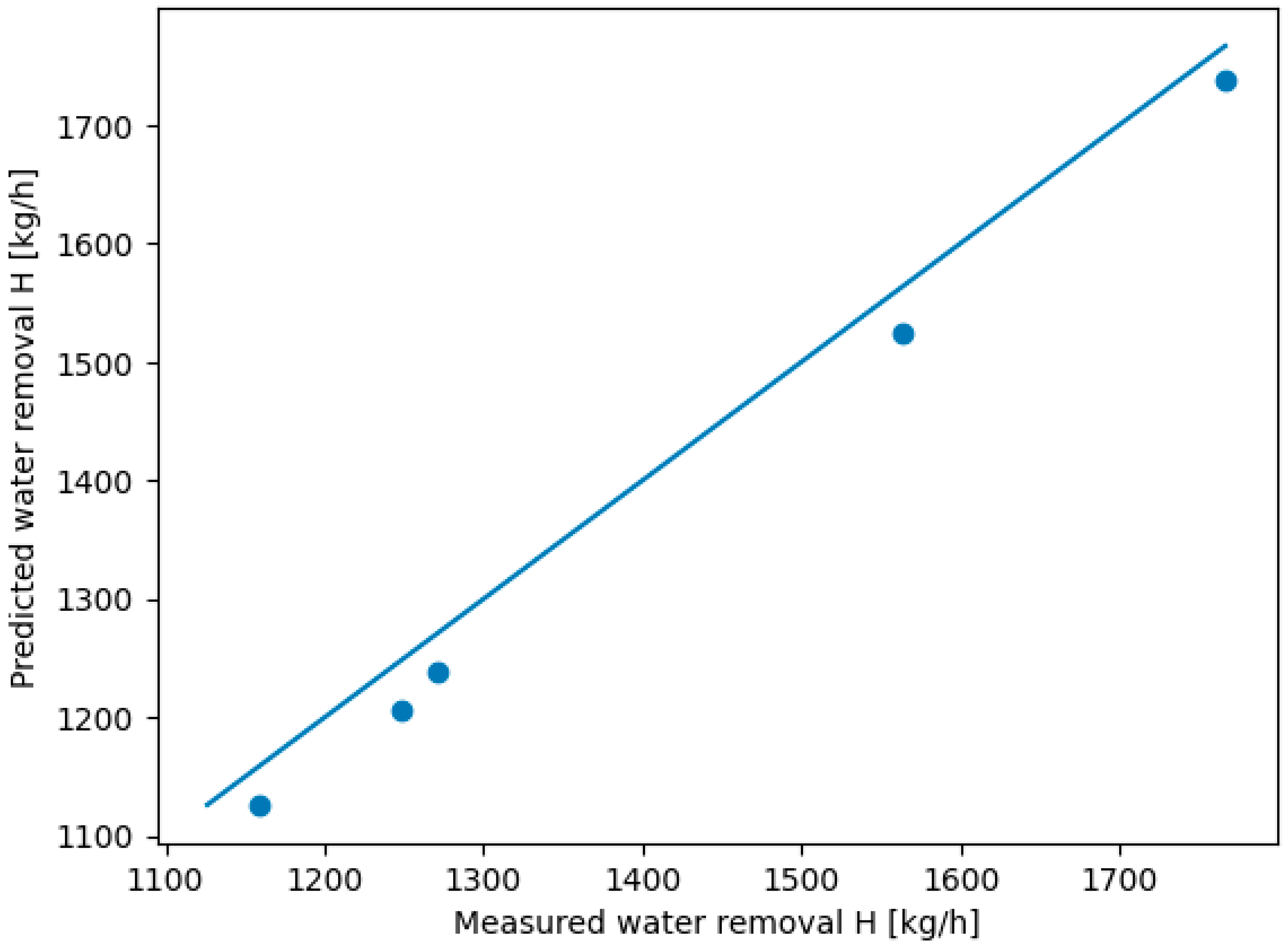
Therefore, it can be observed (Table 1 and Table 2 and Figure 2) that model (28) well describes the nonlinear relationship between the variables H , V O U T ,   ρ O U T i T . The predictive performance of the regression model is further illustrated in Figure 4, which compares the measured and predicted values of water removal obtained from the industrial drying process.
It can be observed that the predicted values are slightly lower than the measured values, indicating a small systematic bias of the model. This effect may result from simplifications in the model structure and measurement uncertainties. However, the deviation remains within an acceptable range, as confirmed by the low MAPE value, and does not significantly affect the predictive usefulness of the model.
The comparison between measured and predicted values of water removal demonstrates a strong agreement between experimental data and model predictions. The data points are located close to the 45° reference line, which confirms the high predictive capability of the proposed regression model for industrial drying conditions.
To further evaluate the adequacy of the fitted regression model, residual diagnostics were performed and are presented in Figure 5.
Figure 5 confirms the adequacy of the fitted log-linear regression model. The residuals plotted against the fitted values do not show any systematic structure or funnel-shaped pattern, which indicates that the variance remains approximately constant over the fitted range. In addition, the Q–Q plot shows that the residuals are located close to the reference line, supporting the assumption of approximate normality. No pronounced outliers or influential observations were identified. Therefore, the residual analysis confirms that the adopted logarithmic transformation is appropriate and that the regression model provides a statistically adequate representation of the drying process.
By rearranging Equation (28), the average drying temperature can be expressed as:
ln T = ln H + 1.9507 0.9819 ln V O U T 0.9866 ln ρ O U T 0.0415
or, equivalently, on the original scale:
T = exp ln H + 1.9507 0.9819 ln V O U T 0.9866 ln ρ O U T 0.0415
In practice, Equations (30) and (31) may be used to estimate the drying temperature required for a given production speed, nonwoven mass per unit area, and target water removal rate determined from the mass balance model.
The proposed regression model provides a practical tool for predicting drying conditions based on production parameters. Such predictive capability is particularly valuable in industrial environments, where rapid adjustment of process parameters is required to maintain stable production and energy-efficient operation.
It should be emphasized that the developed regression model is calibrated specifically for the analyzed viscose–polyester (VIS–PES) fiber blend with a 20/80 composition. Therefore, its direct applicability to other fiber compositions or nonwoven structures may be limited.
Changes in fiber type, blend ratio, or structural parameters may significantly affect moisture retention mechanisms and transport properties, which in turn would alter the relationship between process parameters and water removal intensity. Consequently, the model should be recalibrated when applied to different material systems.
Recent research confirms that drying in porous fibrous structures is often limited by internal mass transfer mechanisms rather than external heat transfer [48,63,64,65,66,67,68], which is consistent with the findings of the present study.
From an energy perspective, the proposed modeling approach provides a practical basis for improving the efficiency of industrial drying systems. By identifying that the drying process is primarily governed by mass throughput rather than temperature, the model enables optimization strategies focused on process control rather than increased thermal input.
This allows reduction in unnecessary energy consumption associated with overheating and supports more efficient operation of industrial drying systems under constrained temperature conditions.

5. Conclusions

This study developed an integrated mass balance and statistical modeling framework for analyzing the industrial drying process in spunlace nonwoven production based on real production data.
The results show that the drying process is primarily governed by mass-related parameters rather than by temperature. The industrial drying system removes approximately 926–1840 kg/h of water at temperatures below 100 °C, depending on production speed and material mass per unit area. A strong relationship between water removal rate and production speed was confirmed, while the influence of temperature was found to be limited within the analyzed operating window.
The proposed log-linear regression model demonstrated very high predictive accuracy, with a coefficient of determination of R2 = 0.9998 and a mean absolute percentage error below 1% for the training data. The model enables prediction of drying conditions based on production parameters and supports process control without increasing thermal load.
From a practical perspective, the results indicate that increasing production efficiency should be achieved through control of mass throughput and material structure rather than through temperature intensification. This provides a basis for improving energy efficiency and operational stability in industrial drying systems.
It should be noted that the model was developed for a viscose–polyester (VIS–PES) fiber blend with a 20/80 composition. Therefore, its direct application to other fiber systems requires recalibration.
Future work will focus on extending the modeling framework to other material compositions and integrating the model with real-time industrial control systems. The proposed model is valid for the analyzed VIS–PES (20/80) fiber blend and should be recalibrated for other material compositions.

Author Contributions

Conceptualization, M.N., M.S., W.W., O.O., J.M., A.Ś. and P.P.; methodology, M.N., M.S., W.W., O.O., J.M., A.Ś. and P.P.; investigation, M.N., M.S., W.W., O.O., J.M., A.Ś. and P.P.; writing—original draft preparation, M.N., M.S., W.W., O.O., J.M., A.Ś. and P.P.; writing—review and editing, M.N., M.S., W.W., O.O., J.M., A.Ś. and P.P.; project administration, O.O.; funding acquisition, O.O., J.M., A.Ś. and P.P. All authors have read and agreed to the published version of the manuscript.

Funding

The research was carried out as part of work no. WZ/WIZ-INZ/2/2025 at the Bialystok University of Technology and financed from a research subsidy provided by the minister science (Olga Orynycz).

Data Availability Statement

The data presented in this study are available on request from the corresponding author due to ethical reasons.

Conflicts of Interest

The authors declare no conflicts of interest.

References

  1. Cavazos-Cuello, L.A.; Carrillo-Meza, S.; Pérez-Cadenas, A.F.; Amézquita-García, H.J.; Botello-González, J.; Salazar-Rábago, J.J. Application of a Novel Diffusion-Permeation Mass Transfer Model in the Determination of the Overall Biosorption Rate onto Raw Mexican Fibers. Chem. Eng. Res. Des. 2025, 219, 450–460. [Google Scholar] [CrossRef]
  2. Kaunisto, E.; Öhgren, C.; Lorén, N.; Stading, M. A Mean-Field Phase Separation Model Enabling the Coupling of Non-Isothermal Flow Phenomena with Fibre Formation in High-Moisture Extrusion of Meat Analogues. J. Food Eng. 2026, 412, 112972. [Google Scholar] [CrossRef]
  3. Lan, J.; Wu, Y.; Lin, C.; Chen, J.; Zhu, R.; Ma, X.; Cao, S. Totally-Green Cellulosic Fiber with Prominent Sustained Antibacterial and Antiviral Properties for Potential Use in Spunlaced Non-Woven Fabric Production. Chem. Eng. J. 2023, 464, 142588. [Google Scholar] [CrossRef] [PubMed]
  4. Baysal, G. Sustainable Polylactic Acid Spunlace Nonwoven Fabrics with Lignin/Zinc Oxide/Water-Based Polyurethane Composite Coatings. Int. J. Biol. Macromol. 2024, 254, 127678. [Google Scholar] [CrossRef]
  5. Conrat, P.; Comino, F.; Castillo-González, J.; Navas-Martos, F.J.; Ruiz de Adana, M. Experimental and Numerical Analysis of Wet Channels for Evaporative Cooling Systems Manufactured with Polymeric Film Materials. Energy 2025, 340, 139370. [Google Scholar] [CrossRef]
  6. Jain, R.K.; Sinha, S.K.; Das, A. Structural Investigation of Spunlace Nonwoven. Res. J. Text. Appar. 2018, 22, 158–179. [Google Scholar] [CrossRef]
  7. Martin, N.; Davies, P.; Baley, C. Evaluation of the Potential of Three Non-Woven Flax Fiber Reinforcements: Spunlaced, Needlepunched and Paper Process Mats. Ind. Crops Prod. 2016, 83, 194–205. [Google Scholar] [CrossRef]
  8. Zhang, Y.; Gao, Q.; Zhang, S.; Fan, X.; Qin, J.; Shi, X.; Zhang, G. rGO/MXene Sandwich-Structured Film at Spunlace Non-Woven Fabric Substrate: Application to EMI Shielding and Electrical Heating. J. Colloid Interface Sci. 2022, 614, 194–204. [Google Scholar] [CrossRef]
  9. Mayer-Trzaskowska, P.; Robakowska, M.; Gierz, Ł.; Pach, J.; Mazur, E. Observation of the Effect of Aging on the Structural Changes of Polyurethane/Polyurea Coatings. Polymers 2024, 16, 23. [Google Scholar] [CrossRef] [PubMed]
  10. Wu, D.; Li, X.; Zhang, Y.; Alfred, M.; Yang, H.; Li, Z.; Huang, F.; Lv, P.; Feng, Q.; Wei, Q. Strong and Robust Cellulose-Based Enzymatic Membrane with Gradient Porous Structure in Dynamically Catalytic Removal of Sulfonamides Antibiotics. J. Hazard. Mater. 2022, 439, 129676. [Google Scholar] [CrossRef] [PubMed]
  11. Al-Shatty, W.; Hill, D.A.; Kiani, S.; Stanulis, A.; Winston, S.; Powner, I.; Alexander, S.; Barron, A.R. Superhydrophilic Surface Modification of Fabric via Coating with Cysteic Acid Mineral Oxide. Appl. Surf. Sci. 2022, 580, 152306. [Google Scholar] [CrossRef]
  12. Venu, L.B.S.; Shim, E.; Anantharamaiah, N.; Pourdeyhimi, B. Three-Dimensional Structural Characterization of Nonwoven Fabrics. Microsc. Microanal. 2012, 18, 1368–1379. [Google Scholar] [CrossRef]
  13. Yu Galimzyanova, R.; Lisanevich, M.S.; Khakimullin, Y.N. Influence of Electron Radiation on the Physical and Mechanical Properties of a Nonwoven Fabric Made Using Spunlace Technology. J. Phys. Conf. Ser. 2021, 2124, 012015. [Google Scholar] [CrossRef]
  14. Yıldız, E.Z. The Effect of Fabric Structure and Ultrasonic Welding Process on the Performance of the Spunlace Surgical Gowns. Text. Appar. 2023, 33, 45–55. [Google Scholar] [CrossRef]
  15. Santos, A.S.; Ferreira, P.J.T.; Maloney, T. Bio-Based Materials for Nonwovens. Cellulose 2021, 28, 8939–8969. [Google Scholar] [CrossRef]
  16. Ng, F.M.C.; Kho, W.Y.W. Spunlaced Non-Woven Fabric Technology And Its Recent Development In China. Res. J. Text. Appar. 1998, 2, 36–45. [Google Scholar] [CrossRef]
  17. Ajmeri, J.R.; Ajmeri, C.J. Nonwoven Materials and Technologies for Medical Applications. In Handbook of Medical Textiles; Woodhead Publishing: Cambridge, UK, 2011; pp. 106–131. [Google Scholar]
  18. Chen, J.; Deng, X.; Wang, L.; Gao, J. Investigation of Moisture Transfer Properties of Viscose and Polyester Fibers in Spunlaced Nonwoven Wound Dressings. Text. Res. J. 2025, 00405175251345142. [Google Scholar] [CrossRef]
  19. Nikolić, F.; Čanađija, M. Machine learning of structure–property relationships: An application to heat generation during plastic deformation. Facta Univ. Ser. Mech. Eng. 2025, 23, 687. [Google Scholar] [CrossRef]
  20. Nazarko, J.; Ejdys, J.; Halicka, K.; Magruk, A.; Nazarko, Ł.; Skorek, A. Application of Enhanced SWOT Analysis in the Future-Oriented Public Management of Technology. Procedia Eng. 2017, 182, 482–490. [Google Scholar] [CrossRef]
  21. Pan, N.; Zhong, W. Fluid Transport Phenomena in Fibrous Materials. Text. Prog. 2006, 38, 1–93. [Google Scholar] [CrossRef]
  22. Maity, S.; Gon, D.P.; Paul, P. A Review of Flax Nonwovens: Manufacturing, Properties, and Applications. J. Nat. Fibers 2014, 11, 365–390. [Google Scholar] [CrossRef]
  23. Gorjanc, D.Š.; Kostajnšek, K. Permeable Properties of Hygienic Nonwovens Bonded Using Mechanical, Chemical, and Thermal Techniques. Polymers 2024, 16, 1132. [Google Scholar] [CrossRef]
  24. Raipale, N.; Heikkilä, P. SUSTAFIT–Sustainability Strategies for Nonwovens; VTT Research Report; VTT Technical Research Centre of Finland: Espoo, Finland, 2024. [Google Scholar]
  25. Karthik, T.; Karan, C.P.; Rathinamoorthy, R. (Eds.) Nonwovens: Process, Structure, Properties and Applications; WPI Publishing: New York, NY, USA, 2017. [Google Scholar]
  26. Mothilal, B.; Prakash, C.; Ramakrishnan, G. Design and Development of Non-Woven Medical Product from Wrightia Tinctoria Fiber. J. Nat. Fibers 2019, 16, 576–588. [Google Scholar] [CrossRef]
  27. Hong, K.H.; Kim, S.C.; Kang, T.J.; Oh, K.W. Effect of Abrasion and Absorbed Water on the Handle of Nonwovens for Disposable Diapers. Text. Res. J. 2005, 75, 544–550. [Google Scholar] [CrossRef]
  28. Venkataraman, D.; Shabani, E.; Park, J.H. Advancement of Nonwoven Fabrics in Personal Protective Equipment. Materials 2023, 16, 3964. [Google Scholar] [CrossRef]
  29. Cay, A.; Gurlek, G.; Oglakcioglu, N. Analysis and Modeling of Drying Behavior of Knitted Textile Materials. Dry. Technol. 2017, 35, 509–521. [Google Scholar] [CrossRef]
  30. Wei, Y.; Gong, R.H.; Ning, L.; Ding, X. Enhancing the Energy Efficiency of Domestic Dryer by Drying Process Optimization. Dry. Technol. 2018, 36, 790–803. [Google Scholar] [CrossRef]
  31. Rezvankhah, A.; Emam-Djomeh, Z.; Askari, G. Encapsulation and Delivery of Bioactive Compounds Using Spray and Freeze-Drying Techniques: A Review. Dry. Technol. 2020, 38, 235–258. [Google Scholar] [CrossRef]
  32. Lee, S.-H.; Batjargal, B.-U.; Kang, M.; Kwak, H.W.; Han, H.; Lee, Y.; Kim, J.; Lee, K.; Yeo, H. A Study on the Moisture Content and Energy Efficiency Change in Wood Fiber Drying over Time Using a Fluidized Bed Dryer. J. Korean Wood Sci. Technol. 2025, 53, 693–702. [Google Scholar] [CrossRef]
  33. Sąsiadek, M.; Woźniak, W.; Jankowski, B.; Błaszczyk, U.; Stryjski, R. Highly Efficient Technology for Manufacturing of Spunlace Non-Woven Fabric in the Company Novita S.A. Poland—Description and Characteristic of the R&D Actions. Multidiscip. Asp. Prod. Eng. 2018, 1, 269–277. [Google Scholar] [CrossRef][Green Version]
  34. Niedziela, M.; Sąsiadek, M.; Woźniak, W. Modelling of the Selected Mechanical Properties of the Modern Double-Drum Cards for Manufacturing of Spunlace Nonwovens. J. Text. Inst. 2021, 112, 1655–1665. [Google Scholar] [CrossRef]
  35. Chen, T.; Li, L.; Koehl, L.; Vroman, P.; Zeng, X. A Soft Computing Approach to Model the Structure–Property Relations of Nonwoven Fabrics. J. Appl. Polym. Sci. 2007, 103, 442–450. [Google Scholar] [CrossRef]
  36. Kozłowski, E.; Borucka, A.; Oleszczuk, P.; Leszczyński, N. Evaluation of Readiness of the Technical System Using the Semi-Markov Model with Selected Sojourn Time Distributions. Eksploat. I Niezawodn.–Maint. Reliab. 2024, 26, 191545. [Google Scholar] [CrossRef]
  37. Janczura, J.; Żuławiński, W.; Shiri, H.; Barszcz, T.; Zimroz, R.; Wyłomańska, A. Prediction of Machine State for Non-Gaussian Degradation Model Using Hidden Markov Model Approach. Eksploat. I Niezawodn.–Maint. Reliab. 2024, 27, 193898. [Google Scholar] [CrossRef]
  38. Weber, M.; Grießer, A.; Mosbach, D.; Glatt, E.; Wiegmann, A.; Schmidt, V. Investigating Microstructure–Property Relationships of Nonwovens by Model-Based Virtual Material Testing. Transp. Porous Med. 2024, 151, 1403–1421. [Google Scholar] [CrossRef]
  39. Mend, B.; Lee, Y.; Bang, J.-H.; Kim, C.-W.; Chu, Y.-S. Multi-Output Data-Driven Modeling of Age-Dependent Compressive Strength in Slag–CaCO3 Blended Cementitious Systems. Appl. Sci. 2026, 16, 2248. [Google Scholar] [CrossRef]
  40. Gu, J.; Zhang, Z.; Liu, X.; Chang, B.; Zhao, T. Application of Data-Driven Machine Learning in Performance Prediction and Multi-Objective Optimization of Green Sustainable Steam-Cured Concrete. Sustain. Chem. Pharm. 2026, 50, 102336. [Google Scholar] [CrossRef]
  41. Bahamón-Monje, A.F.; Collazos-Escobar, G.A.; Gutiérrez-Guzmán, N. Data-Driven Modeling of Water Adsorption Isotherms in Cocoa Beans: Dataset and Python-Based Machine Learning Tools for Multivariate Analysis and Storage Management. Data Brief 2026, 65, 112616. [Google Scholar] [CrossRef]
  42. Adnouni, M.; Zhang, X.J.; Jiang, L. Computational Modelling and Validations for Sustainable Drying Processes. In Sustainable Drying Technologies of Food; CRC Press: Boca Raton, FL, USA, 2026. [Google Scholar]
  43. Schemminger, J. Mapping Variability in Food Drying and Storage Using Hybrid Physics-Based Modeling and Digital Twins. Ph.D. Thesis, Humboldt-Universität zu Berlin, Berlin, Germany, 2026. [Google Scholar] [CrossRef]
  44. Chávez-Basantes, W.; Delgado-Plaza, E.; Velázquez-Martí, B. Computational Modelling, Neural Networks and Experiments for Biomass Drying Process Prediction: A Review. Energy Convers. Manag. X 2026, 30, 101796. [Google Scholar] [CrossRef]
  45. Liu, H.; Tang, T.; He, Y.; Zhai, M. A Physics-Informed Neural Network Coupling Framework for Predicting Heat and Mass Transfer Characteristics of Grains. Int. J. Heat Fluid Flow 2026, 119, 110276. [Google Scholar] [CrossRef]
  46. Batuwatta-Gamage, C.P.; Jeong, H.; Welsh, Z.; Karim, M.A.; Karunasena, H.C.P.; Rathnayaka, C.M.; Gu, Y.T. A Fourier Feature-Embedded Physics-Informed Neural Network Framework to Investigate Coupled Heat and Mass Transfer Characteristics of Plant Tissues during Drying. Int. J. Heat Mass Transf. 2026, 259, 128381. [Google Scholar] [CrossRef]
  47. Ramachandran, R.P.; Akbarzadeh, M.; Paliwal, J.; Cenkowski, S. Computational Fluid Dynamics in Drying Process Modelling—A Technical Review. Food Bioprocess Technol. 2018, 11, 271–292. [Google Scholar] [CrossRef]
  48. Wijerathne, A.D.H.T.; Joardder, M.U.H.; Welsh, Z.G.; Nayak, R.; Sablani, S.S.; Karim, A. Recent Advances in Food Drying Modeling: Empirical to Multiscale Physics-Informed Neural Networks. Compr. Rev. Food Sci. Food Saf. 2025, 24, e70194. [Google Scholar] [CrossRef]
  49. Gulhane, S.; Turukmane, R.; Joshi, M.; Mahajan, C. Hydroentangling Process and Properties of Spunlace Nonwovens. Chem. Fibers Int. 2018, 68, 190–192. [Google Scholar]
  50. Russell, S.J. Handbook of Nonwovens; Woodhead Publishing: Cambridge, UK, 2022. [Google Scholar]
  51. Kellie, G. Advances in Technical Nonwovens; Woodhead Publishing: Cambridge, UK, 2016. [Google Scholar]
  52. Batra, S.K.; Pourdeyhimi, B. Introduction to Nonwovens Technology; DEStech Publications, Inc.: Lancaster, PA, USA, 2012. [Google Scholar]
  53. Hutten, I.M. Handbook of Nonwoven Filter Media; Elsevier: Amsterdam, The Netherlands, 2007. [Google Scholar]
  54. Gupta, B.S.; Smith, D.K. Nonwovens in Absorbent Materials. In Textile Science and Technology; Elsevier: Amsterdam, The Netherlands, 2002; Volume 13, pp. 349–388. [Google Scholar]
  55. Das, D.; Pradhan, A.K.; Chattopadhyay, R.; Singh, S.N. Composite Nonwovens. Text. Prog. 2012, 44, 1–84. [Google Scholar] [CrossRef]
  56. Aizenshtein, E.M. Global and Domestic Production and Consumption of Nonwovens. Fibre Chem. 2018, 49, 372–381. [Google Scholar] [CrossRef]
  57. Tausif, M.; Goswami, P. Nonwoven Fabrics. In Textile and Clothing Design Technology; CRC Press: Boca Raton, FL, USA, 2017. [Google Scholar]
  58. Ajmeri, J.R.; Ajmeri, C.J. Developments in Nonwoven Materials for Medical Applications. In Advances in Technical Nonwovens; Woodhead Publishing: Cambridge, UK, 2016; pp. 227–256. [Google Scholar]
  59. Das, D.; Pourdeyhimi, B. Composite Nonwoven Materials: Structure, Properties and Applications; Elsevier: Amsterdam, The Netherlands, 2014. [Google Scholar]
  60. Žvirblis, T.; Matijošius, J.; Kilikevičius, A. An Experimental Selection of Deep Neural Network Hyperparameters for Engine Emission Prognosis. In 2024 IEEE Open Conference of Electrical, Electronic and Information Sciences (eStream); IEEE: New York, NY, USA, 2024; pp. 1–6. [Google Scholar]
  61. Archdeacon, T.J. Correlation and Regression Analysis: A Historian’s Guide; University of Wisconsin Press: Madison, WI, USA, 1994. [Google Scholar]
  62. Cohen, J.; Cohen, J. Applied Multiple Regression/Correlation Analysis for the Behavioral Sciences; L. Erlbaum Associates: Mahwah, NJ, USA, 2003. [Google Scholar]
  63. Song, Z.; Yu, Q.; Li, M.; Sun, S.; Zhan, D.; Mo, Z.; Jiang, F.; Ma, R.; Wang, Z.; Yao, H.; et al. Simulation-Driven Optimization of Adsorption Bed Structure and Experimental Validation: A Pathway to Elevate Energy Storage in Continuous Solar Drying Systems. Dry. Technol. 2026, 44, 453–482. [Google Scholar] [CrossRef]
  64. Wang, Y.; Chen, X.; Zhang, X.; Zang, J.; Lu, L.; Yuan, W. Biomimetic, Hierarchical-Porous Composite Aerogel Fiber with Spectral Selectivity and Water Microchannels for Synergistic Radiative-Evaporative Passive Cooling Textile. Small 2026, 22, e14581. [Google Scholar] [CrossRef] [PubMed]
  65. Gao, J.; Zhu, G.; Ren, G.; Li, J.; Zhang, Y.; Shi, J.; Liu, W.; Li, L.; Duan, X. Microstructural Changes, Water Migration, and Oil Release in Camellia oleifera Seeds during Microwave Vacuum Drying. J. Stored Prod. Res. 2026, 116, 102921. [Google Scholar] [CrossRef]
  66. Liu, K.; Du, H.; Xu, T.; Xiang, H.; Si, C. Cellulosic Fibers for Sustainable Functional Textiles and Devices. Adv. Fiber Mater. 2026. [Google Scholar] [CrossRef]
  67. Granella, S.J. Anomalous Diffusion in Drying: A Fractional Calculus Perspective on Modeling and Applications in Agro-Food Systems. Food Phys. 2026, 3, 100088. [Google Scholar] [CrossRef]
  68. Ao, J.; He, W.; Chen, Y.; Ai, Z.; Tao, L.; Xiao, H.; Xiao, Z. Modeling and Analysis of Heat and Moisture Transfer during Fructus Aurantii Drying Based on CT Scanning. Dry. Technol. 2026, 1–14. [Google Scholar] [CrossRef]
Figure 1. Diagram of the dryer assembly. Measurement parameters of the SCADA system (green), laboratory tests (blue), parameters determined on the basis of the mass balance model (black).
Figure 1. Diagram of the dryer assembly. Measurement parameters of the SCADA system (green), laboratory tests (blue), parameters determined on the basis of the mass balance model (black).
Energies 19 01914 g001
Figure 2. Analysis of drying process parameters in spunlace nonwoven production: (a) distribution of key variables (production rate, mass per unit area, water removal, and temperature); (b) relationship between nonwoven mass per unit area and water removal rate; (c) relationship between production speed and water removal rate. Measurement parameters of the SCADA system (green), laboratory tests (blue), parameters determined on the basis of the mass balance model (violet). The fiber bed enters the dryer module in a fully saturated state after the hydroentanglement process and moves through the drying system along the conveyor path, where moisture removal takes place. Symbols represent: production rate (P), mass per unit area (ρ), water removal rate (H), and drying temperature (T).
Figure 2. Analysis of drying process parameters in spunlace nonwoven production: (a) distribution of key variables (production rate, mass per unit area, water removal, and temperature); (b) relationship between nonwoven mass per unit area and water removal rate; (c) relationship between production speed and water removal rate. Measurement parameters of the SCADA system (green), laboratory tests (blue), parameters determined on the basis of the mass balance model (violet). The fiber bed enters the dryer module in a fully saturated state after the hydroentanglement process and moves through the drying system along the conveyor path, where moisture removal takes place. Symbols represent: production rate (P), mass per unit area (ρ), water removal rate (H), and drying temperature (T).
Energies 19 01914 g002aEnergies 19 01914 g002b
Figure 3. Relationship between water removal rate and production speed, including fitted regression line and correlation coefficient.
Figure 3. Relationship between water removal rate and production speed, including fitted regression line and correlation coefficient.
Energies 19 01914 g003
Figure 4. Model validation: predicted vs. measured water removal in the industrial drying process.
Figure 4. Model validation: predicted vs. measured water removal in the industrial drying process.
Energies 19 01914 g004
Figure 5. Residual diagnostics of the regression model: (a) residuals vs. fitted values; (b) Q–Q plot.
Figure 5. Residual diagnostics of the regression model: (a) residuals vs. fitted values; (b) Q–Q plot.
Energies 19 01914 g005
Table 1. Measurement data and mass balance results of the drying process in spunlace nonwoven production (training dataset).
Table 1. Measurement data and mass balance results of the drying process in spunlace nonwoven production (training dataset).
TestViscosePolyesterMD/CD, N
LAB
VOUT, m/min
SCADA
ρOUT, g/m2
LAB
POUT, kg/hVIN, m/min
SCADA
ρIN, g/m2PIN, kg/hH, kg/hT, °C
SCADA
120802.93200.9330.871190.92197.7855.762117.52926.6097.36
220802.72220.8029.961270.11217.1454.142257.24987.1396.43
320802.75242.2029.201357.87237.1552.822404.901047.0393.99
420802.88264.9330.501551.43260.1055.042748.531197.1092.89
520802.92201.2135.651377.24198.1064.342447.261070.02104.84
620802.87218.4235.791500.91214.9264.672668.691167.78105.97
720802.91240.2335.771649.86236.1764.702933.721283.86107.03
820802.95259.9134.951744.10255.8963.033096.711352.61109.40
920802.95202.1340.821584.18198.6473.702810.801226.61103.81
1020802.92220.4740.971734.27216.4574.013075.821341.55102.11
1120802.73241.2540.051855.12237.2772.343295.301440.19100.52
1220802.82262.7939.842010.15257.5472.023561.201551.04102.77
1320802.82279.9339.812139.65274.0872.013789.301649.65106.47
1420802.69201.1045.221746.00197.1081.743093.391347.39102.30
1520802.69219.6044.571879.21215.4080.563331.721452.50104.25
1620802.87239.7043.972023.60235.3079.443588.721565.12104.70
1720802.63262.4043.112171.92257.7077.823850.361678.44105.35
1820802.71200.6048.901883.39197.0088.443345.131461.74100.65
1920802.94221.9048.982086.78217.7088.493698.741611.96100.15
2020802.88244.9048.392275.34240.0087.274021.621746.28100.15
2120802.89262.5047.302383.92257.9085.324224.581840.66100.70
Notation: MD/CD—machine direction to cross direction strength ratio; VOUT—production speed at the dryer outlet [m/min]; VIN—production speed at the dryer inlet [m/min]; ρOUT—nonwoven mass per unit area at the outlet [g/m2]; ρIN—nonwoven mass per unit area at the inlet [g/m2]; POUT—production rate at the outlet [kg/h]; PIN—production rate at the inlet [kg/h]; H—water removal rate [kg/h]; T—average drying temperature [°C].
Table 2. Estimated coefficients of the log-linear regression model for water removal rate.
Table 2. Estimated coefficients of the log-linear regression model for water removal rate.
ParameterEstimateStandard Errort-Valuep-Value
Intercept, β0−1.95070.0694−28.13<0.001
ln VOUT0.98190.0054181.09<0.001
ln ρOUT0.98660.0038261.16<0.001
ln T0.04150.01502.770.013
Table 3. Actual measurement data of production speed, specific weight of nonwoven fabric and average drying temperature, and the amount of water removed in the dryer in the production process of spunlace nonwoven fabric. Test data set.
Table 3. Actual measurement data of production speed, specific weight of nonwoven fabric and average drying temperature, and the amount of water removed in the dryer in the production process of spunlace nonwoven fabric. Test data set.
TestViscosePolyesterVOUT, m/min
SCADA
ρOUT, g/m2
LAB
T, °C
SCADA
H, kg/h H ^ , kg/h
12080221.8035.2194.901159.451126.29
22080250.7034.0595.701271.151237.82
32080218.8038.2696.651248.761206.36
42080221.1047.6292.601562.961523.89
52080249.6047.6796.451766.541737.80
Disclaimer/Publisher’s Note: The statements, opinions and data contained in all publications are solely those of the individual author(s) and contributor(s) and not of MDPI and/or the editor(s). MDPI and/or the editor(s) disclaim responsibility for any injury to people or property resulting from any ideas, methods, instructions or products referred to in the content.

Share and Cite

MDPI and ACS Style

Niedziela, M.; Sąsiadek, M.; Woźniak, W.; Orynycz, O.; Matijošius, J.; Świć, A.; Penkała, P. Mass and Energy Balance Modeling of Industrial Drying in Spunlace Nonwoven Production. Energies 2026, 19, 1914. https://doi.org/10.3390/en19081914

AMA Style

Niedziela M, Sąsiadek M, Woźniak W, Orynycz O, Matijošius J, Świć A, Penkała P. Mass and Energy Balance Modeling of Industrial Drying in Spunlace Nonwoven Production. Energies. 2026; 19(8):1914. https://doi.org/10.3390/en19081914

Chicago/Turabian Style

Niedziela, Maciej, Michał Sąsiadek, Waldemar Woźniak, Olga Orynycz, Jonas Matijošius, Antoni Świć, and Piotr Penkała. 2026. "Mass and Energy Balance Modeling of Industrial Drying in Spunlace Nonwoven Production" Energies 19, no. 8: 1914. https://doi.org/10.3390/en19081914

APA Style

Niedziela, M., Sąsiadek, M., Woźniak, W., Orynycz, O., Matijošius, J., Świć, A., & Penkała, P. (2026). Mass and Energy Balance Modeling of Industrial Drying in Spunlace Nonwoven Production. Energies, 19(8), 1914. https://doi.org/10.3390/en19081914

Note that from the first issue of 2016, this journal uses article numbers instead of page numbers. See further details here.

Article Metrics

Back to TopTop