Next Article in Journal
Effect of Illumination Colour on the Growth and Energetic Properties of Chlorella vulgaris for Bioenergy Applications
Previous Article in Journal
Infrared Thermography in Photovoltaic Systems: A Review for Maximizing Energy Yield and Long-Term Reliability
 
 
Font Type:
Arial Georgia Verdana
Font Size:
Aa Aa Aa
Line Spacing:
Column Width:
Background:
Article

Modeling and Experimental Analysis of Two-Phase Recuperation Heat Transfer in Systems Using Mixed-Refrigerant

1
Department of Cryogenics and Aerospace Engineering, Wroclaw University of Science and Technology, Wybrzeże Wyspiańskiego 27, 50-370 Wroclaw, Poland
2
CryoScience Ltd., Bielany Wrocławskie, Logistyczna 4, 55-040 Kobierzyce, Poland
*
Author to whom correspondence should be addressed.
Energies 2026, 19(6), 1571; https://doi.org/10.3390/en19061571
Submission received: 22 January 2026 / Revised: 6 March 2026 / Accepted: 12 March 2026 / Published: 23 March 2026

Abstract

Efficient heat recuperation is one of the most critical factors influencing the performance of mixed-refrigerant Joule–Thomson (MR JT) cryocoolers. This becomes even more significant in precooled systems, which enhance overall performance but simultaneously intensify the challenges associated with recuperation effectiveness. Modeling the recuperation process is inherently complex because it involves gaseous, liquid, and two-phase flow regimes. Furthermore, the use of mixed refrigerants introduces additional complexity in predicting thermo-hydraulic properties. Experimental validation of modeling results is also highly demanding, particularly with respect to determining the mixed-refrigerant composition, which may differ substantially from the initially charged proportions during operation. This paper presents a comprehensive modeling approach for the complete two-phase recuperative heat transfer process. In total, 96 combinations of heat transfer correlations were evaluated. The modeling results were compared with experimental data obtained using a novel, validated, noninvasive, continuous method for determining refrigerant composition. Such an approach, including analysis of the impact of MR composition uncertainty on the results, has not been performed in previous, similar studies. The optimal set of correlations was identified, yielding a mean average error of 20.16K without composition correction (when applying a composition correction of 13.67K). The validated modeling approach provides valuable insight into heat transfer phenomena occurring in the recuperation section of MR JT cryocoolers and other mixed-refrigerant-based systems.

1. Introduction

Recuperative heat transfer is one of the key elements influencing the performance of mixed-refrigerant Joule-Thomson (MR JT) cryocoolers, used to obtain low temperatures in the cryogenic range and often deployed due to their simplicity, which results in high reliability. Therefore, in order to avoid undesirable heat transfer scenarios, such as the presence of pinch points, an accurate and robust modeling framework utilizing single- and two-phase heat transfer correlations needs to be developed. Additionally, modeling results must be validated with trustful experimental data, especially in terms of mixed-refrigerant compositions.
Due to their low cost, high reliability, wide capacity range, and suitable operational range, brazed plate heat exchangers (BPHEs) have become widely used in MR JT cryocoolers [1,2]. Effective recuperation usually requires the application of a small number of BPHE units in series [1,2], which provides sufficient thermal length. However, it can trigger issues related to two-phase flow, especially at the heat exchanger inlet ports. Currently, data on heat transfer effectiveness during recuperation in MR JT cryocoolers using BPHE is limited, especially for systems with precooling [1,3]. Precooled MR JT cryocoolers have been reported to be more efficient than single-stage MR JT systems, but also more demanding in terms of heat transfer effectiveness in the recuperation section [4].
The authors of [2] conducted an experimental survey on the recuperation heat transfer performance of middle BPHE (second out of three BPHEs connected in series) and validated it against a developed model. The LMTD-based model took into account numerous boiling and condensation heat transfer correlations specifically for pure refrigerants. In total, 40 correlation combinations were tested, of which the authors recommended two which agree ±30% with the experimental data. The error in the composition of the circulating MR is reported as ±4.3%, but it is not clear how it affects the validation procedure. It is also not clear how often and when exactly the circulating MR composition was measured. This information is crucial, as it was recently shown by [5] that the composition of circulating MR varies significantly with thermal load or the progress of the cooldown process.
The modeling of complete recuperation heat transfer process for tube-in-tube heat exchanger is presented in [6]. The authors did not consider different boiling and condensation correlations, but declared that maximum relative error was less than 8% between experimental and numerical values. For the outlet temperature, it was reported to be below 5%. The modeling results were validated against the experimental data; however, it was reported that the circulating MR composition was not always measured, and it was assumed to be the same as the charged one. The measurement error of the MR composition was not reported.
While [2,6] investigated the MR of hydrocarbons, the work of [7] focused on the argon-freon MRs. The recuperator was a customized microchannel heat exchanger (MCHE). The application of the MCHE allows one to minimize the MR charge, which, in general, is desired, but makes the system sensitive to probing [5]. The authors validated the LMTD-based model against the experimental data, reporting average absolute deviation of heat transfer coefficients (HTCs) to be between 24.8 and 38.5%. Gas chromatography was used to measure the MR composition; however, it is stated that it was used to confirm charged compositions, which will likely differ from the circulating one. The authors examined eight condensation and eight evaporation heat transfer correlations.
Tests in the section incorporated into the dedicated test stand, including the GM cryocooler, were performed in [8]. Such an approach enabled them to precisely simulate the conditions of MR in the test section, but, on the other hand, limited the measurement to flow boiling phenomena. The authors compared experimental data with two single-phase correlations that reported significant deviations for qualities ranging from 0.4 to 0.8. The study focused on MRs consisting of nitrogen and hydrocarbons. Circulating MR composition was frequently measured via gas chromatography.
Experimental tests aimed at obtaining the thermodynamic and hydraulic behavior of the tube-in-tube heat exchanger were performed in [9]. The authors measured the composition of the MR, consisting of R14, methane, ethane, propane, isobutane, isopentane, nitrogen, and neon, as well as temperatures and pressures along the heat exchanger (HX). The heat transfer characteristics of the heat exchanger were concluded to be very sensitive to the mixture used, which means that circulating MR composition measurement is crucial for reliable modeling of this heat transfer case. The works of [10,11] led to very similar conclusions for tube-in-tube HX and MR consisting of nitrogen and hydrocarbons.
The most questionable point of most studies is the measurement and later consideration of circulating MR composition. The available studies do not address the topic of the exact measurement moment, which, according to recent findings from [5], significantly affects the measured circulating MR composition. Secondly, most studies report measurement errors related to MR composition, but without considering the impact of this issue on the results, even if a significant impact of MR composition was concluded [9].
Successful validation of the modeling results requires complete information concerning heat transfer conditions, including the circulating composition of the mixed refrigerant. According to numerous works, it cannot be simply determined based on the charge composition of the mixed refrigerant [3,9,11,12,13,14,15] and will depend greatly on the specific operational conditions and architecture of the system. Credible validation would require many measurements of the MR composition during the test and, in cases applying the invasive method (requiring probing of the MR sample for further investigation), will affect the remaining MR composition [5]. To solve this issue, the following study employed a novel noninvasive method to measure MR composition, which is described in detail in [5]. Moreover, it was investigated how uncertainties of the MR composition measurement affect the credibility of the results, which was not performed in any of the studies cited above.
In this work, a series of measurements were performed on an MR JT cryocooler using binary mixtures of methane and ethane in various concentrations. Inlet temperatures for the low-pressure and high-pressure streams, obtained in recuperation section measurements of the system, were used as input to the proposed numerical model, which utilizes the e-NTU method and produces a temperature distribution along the heat exchanger length as an output. A wide variety of single- and two-phase correlations for ideal heat transfer were investigated. Selected correlations were also used with available correction factors taken into account to further improve computational accuracy. All results were compared with the experimental data and evaluated.

2. Test Stand

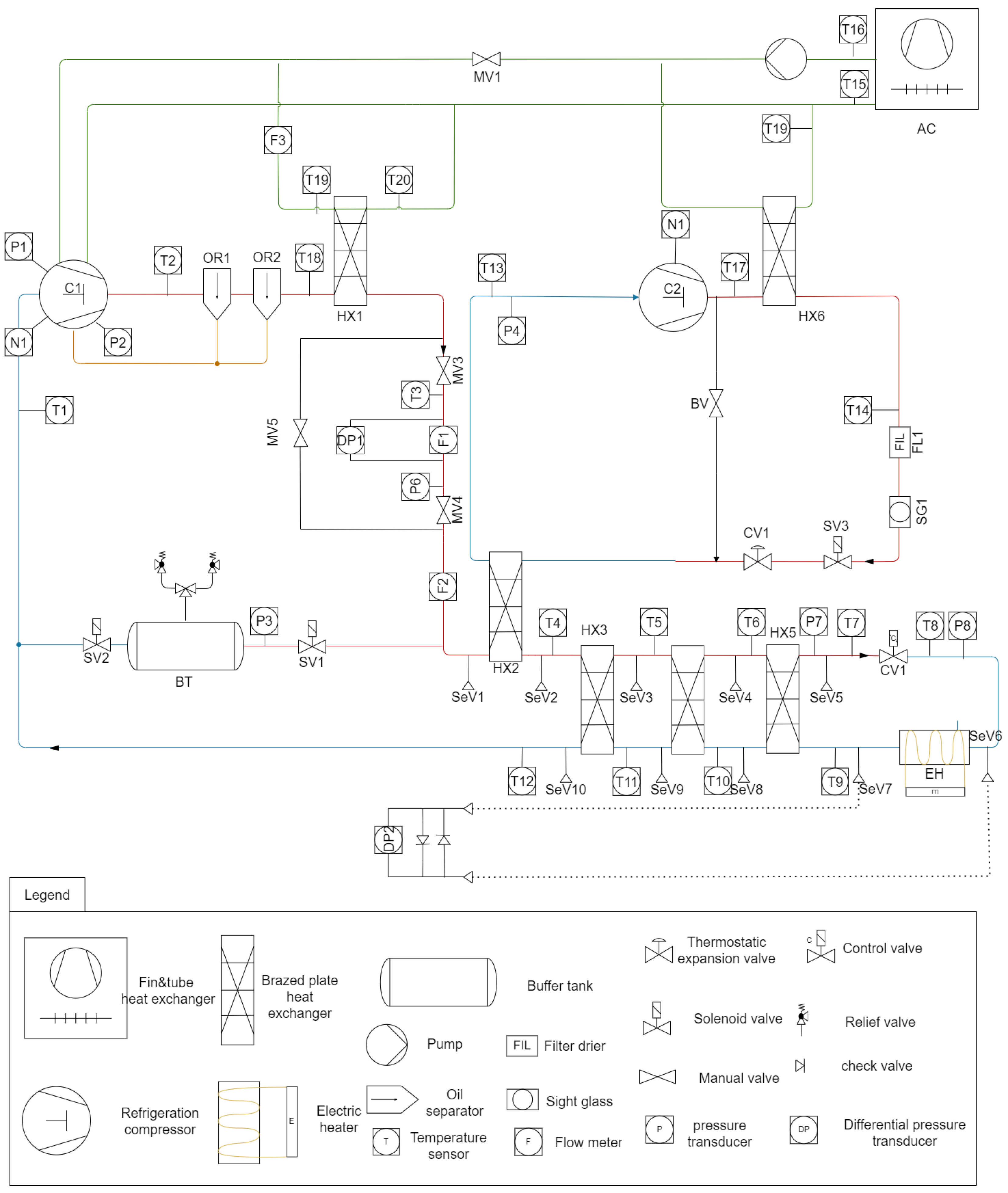
The experimental study was performed using the precooled MR JT cryocooler located in the Laboratory of Cryogenics and Gas Technology at Wroclaw University of Science and Technology. A detailed description of the test stand is provided in [1], while the Process and Instrumentation Diagram (P&ID) is presented in Figure 1, respectively. This study was carried out using the instrumentation listed in Table 1.
This study focuses on the recuperation heat transfer that takes place in the cold box, which is presented in Figure 2. The cold box contains the precooler HX2 that thermally couples MR and precooling cycles, three BPHE recuperators connected in series—HX3, HX4, and HX5—the CV1 control valve, and the electric heater EH. In addition, there are numerous temperature sensors (T4–T12) and pressure sensing ports (SeV2–SeV10), which are also used for differential pressure measurements. In operation, the empty spaces inside the cold box are tightly filled with thermal wool sheets, enclosed by a front XPS sheet.
The composition of the binary gas mixture was determined using the method described by [5]. The density measurement system was calibrated over the range 4–21 kg m−3, yielding a combined standard uncertainty of the calibrated density measurements of u ( ρ ) = 0.37 kg m−3. The corresponding expanded uncertainty ( k = 2 ) of density for the data used in this study ranged from 0.74 to 1.17 kg m−3 (mean 0.82 kg m−3). The expanded uncertainty (k = 2) of the inferred composition ranged from 6.86 to 9.69 mol% (percentage points), with a mean value of 8.47 mol%.

3. Experimental Study

Each dataset in this study was obtained from a stand-alone experiment. Between successive cooldowns, at least a 12 h interval was maintained to let the system warm up, ensuring that each cooldown started from a uniformly heated baseline. A single measurement took approximately 10 h to complete; data were analyzed over the final 5 h 14 min on average, after the system had reached steady operation. An example of sensor readings during cooldown and stabilization is shown in Figure 3. Cooldown of the system is rapid and lasts approximately 1000 s. On the other hand, composition remains variant until 5000 s. The suction and discharge pressure are kept constant throughout the test.
The experiments were conducted at fixed discharge pressures (P2, Figure 1) and suction pressures (P1, Figure 1) of the MR compressor (C1, Figure 1), with constant electric heater power (EH, Figure 1). The precooling temperature (T4, Figure 1) was not directly controlled; instead, the frequency of the precooling compressor (C2, Figure 1) was adjusted. Measurements were performed for two different MR charges in the system; in both cases, the circulating MR composition was continuously monitored throughout each experiment. The design-of-experiments matrix is summarized in Table 2. The experiments were split into blocks by composition charge. Each experiment was repeated, and their order within blocks was randomized to minimize the influence of uncontrolled variables.

4. Numerical Model

A steady-state numerical model was formulated to predict the outlet temperatures in a brazed plate heat exchanger assembly when all inlet conditions are known. Three plate heat exchangers operating in series are represented as a single equivalent HX. Due to the relatively low number of plates N p = 16 , the physical stack of plates was simplified to a plate channel whose heat transfer area is equal to the total exchange surface, as presented in Figure 4. This assumption is consistent with the manufacturers recommendation of no more than 30 plates for evaporators [16]. The pressure drop is calculated for each cell using the friction factor correlations listed in Table 3.
The equivalent surface of HX was divided along the length of the HX into N computational elements (cells) of initially equal area, A i = A tot / N for i = 1 , , N . The mesh node distribution is adjusted in regular intervals using a temperature gradient-based monitor function m i (Equation (1)), which utilizes a base refinement level m 0 and depends on the absolute temperature gradients scaled by the F s parameter. Both the cold- and hot-side gradients have the same weights, and the gradient is calculated along the heat exchanger length per cell L i . In this study, F s = 10 and m 0 = 1 .
m i = m 0 + F s | d T h ( i ) | d L i + | d T c ( i ) | d L i
This rough distribution is then smoothed using nearest-neighbor averaging to lessen the effect of a non-smooth temperature distribution due to discontinuous HTC values at the saturation temperatures (Equation (2)).
m i = 0.25 m i 1 + 0.5 m i + 0.25 m i + 1
The number of cells in this study was set to N c e l l = 200 after a mesh sensitivity investigation was performed. The difference in the total power of the heat exchanger Q between 200 and 400 cells was, on average, 1%. The initial temperature distribution was assumed to be linear, with the difference between the inlet and outlet for both channels set at 5 K. The outlet of element i served as the inlet of element i + 1 .
A block diagram of the numerical model is shown in Figure 5. After the initial conditions were defined and the heat transfer correlations selected for a particular case, the local properties of the working fluid mixtures were obtained from REFPROP 10 [17]. For each element i, quantities such as heat capacity c p , density ρ , viscosity μ , and thermal conductivity k were obtained for both hot and cold streams in the cells, cached, and used to create bivariate splines S b ( p , T ) that are utilized in the solving process, available in the SciPy Python package [18]. Properties in an element are calculated for the input of the cell.
Density and viscosity in the two-phase regime are obtained using Equation (4) and Equation (3).
ν m i x = X ν v a p + ( 1 X ) ν l i q
ρ m i x = X ρ v + ( 1 X ) ρ l 1
The properties of the liquid refrigerant in the two-phase regime are calculated using the liquid phase concentrations obtained from the REFPROP VLE routine at the corresponding pressure and temperature points inside the two-phase region. These phase component concentrations are then used in the property calculation for the saturation temperature. Heat transfer was computed for each cell using the effectiveness–NTU method. Heat capacity rates were formed for both streams (Equation (5)), and then minimum and maximum capacity rates were found (Equations (6) and (7)).
C i = m ˙ c p , i
C min , i = min ( C h , i , C c , i )
C max , i = max ( C h , i , C c , i )
The NTU per element was consequently calculated (Equation (8)), where U i denotes the local overall heat transfer coefficient. The effectiveness of the heat exchanger ε i was then obtained from the ε ( NTU , C r ) for the BPHE counter-flow arrangement. Lastly, using Equation (9), the temperatures were updated using the energy balance for both streams and all cells (Equation (10)). The iteration error for one cell ζ i was defined as the relative difference between the new ( k + 1 ) and old ( k ) temperature values (Equation (11)). The global error ζ is expressed as the average error in all cells. The solving process was completed when ζ τ , where the tolerance was τ = 1 10 5 .
N T U i = U i A i C min , i
Q ˙ i = ε i C min , i T h , i in T c , i in
T i out = T i in Q ˙ i C i
ζ i ( k + 1 ) = T i ( k + 1 ) T i ( k ) T i ( k )
Table 3. Correlations and correction factors used. SP—single phase, CD—condensation, EV—evaporation E V C —evaporation correction, f—friction factor correlation.
Table 3. Correlations and correction factors used. SP—single phase, CD—condensation, EV—evaporation E V C —evaporation correction, f—friction factor correlation.
NumberSingle PhaseCondensationEvaporationEvaporation Correction
0Wanniarachchi et al. [19]Yan et al. [20]Han et al. [21]None
1Khan et al. [22]Thonon et al. [23]Hsieh & Lin [24]Sun et al. [25]
2-Kuo et al. [26]-Fujita & Tsutsui [27]
3-Han et al. [28]--
1fWanniarachchi et al. [19]Kuo et al. [26]Hsieh & Lin [24]-

5. Results and Discussion

Temperature, pressure, and mass flow measurements were performed in the recuperation section of the MR JT cooler while operating in a two-phase regime, at least partially. Experimental data (input temperatures, pressures, composition, and mass flow) were used as input to model the heat transfer in the recuperation section using heat transfer correlation sets. Additionally, calculations for all data points were performed for the range of possible mixture compositions, i.e., ± 9 percentage points from the measured value, with an increment of one percentage point. In this range, the composition with the lowest error for the considered case was selected and used for additional analysis. This is later referred to as “composition correction”, not to be confused with the evaporation correction of the heat transfer coefficient.
There were 22 data points in the experiment. Taking into account the 19 possible mixture compositions and 96 correlation combinations in total, this yields a total of 40,128 computational cases. Correlations used are presented in Table 3.
In this study, the main error definition used is the MAE (Mean Absolute Error) of the model and experimental temperatures. Detailed statistical analysis can be found later in this chapter.
Figure 6 shows the exemplary temperature and pressure distributions for the pair of correlations with the overall lowest error, where the difference between single-phase and two-phase pressure drop values can be observed, as the slopes of the pressure distribution differ greatly.
Figure 6. (a) Temperature and (b) pressure distribution along the heat exchanger for the overall best combination of correlations. Single phase: Wanniarachchi et al. [19], condensation: Thonon et al. [23], evaporation: Hsieh & Lin [24] and no evaporation correction, MR composition as measured. Legend description: TH(exp)—measured temperatures of the hot side, TC (exp)—measured temperatures of the cold side, TH—calculated temperature of the hot side, TC—calculated temperature of the cold side, TWH—calculated wall temperature of the hot side, TWC—calculated wall temperature of the cold side, PH—calculated pressure of the hot side, PC—calculated pressure of the cold side.
Figure 6. (a) Temperature and (b) pressure distribution along the heat exchanger for the overall best combination of correlations. Single phase: Wanniarachchi et al. [19], condensation: Thonon et al. [23], evaporation: Hsieh & Lin [24] and no evaporation correction, MR composition as measured. Legend description: TH(exp)—measured temperatures of the hot side, TC (exp)—measured temperatures of the cold side, TH—calculated temperature of the hot side, TC—calculated temperature of the cold side, TWH—calculated wall temperature of the hot side, TWC—calculated wall temperature of the cold side, PH—calculated pressure of the hot side, PC—calculated pressure of the cold side.
Energies 19 01571 g006
Due to the high number of correlation combinations (96) and the wide range of possible mixture compositions (19 percentage points), the calculated temperature distributions in some considered cases exhibit the lowest error for the measured values, while in other instances, the lowest error is achieved for minimum values, and in some cases, the lowest error is achieved for the maximum possible concentration values, as shown in Figure 7. An observation can be made that the behavior of the temperature distributions is strongly nonlinear with changes in mixture composition. This is especially pronounced in Figure 7a,b, where the temperature distributions for the minimum methane concentrations are inverted in comparison to the maximum and measured ones. To a lesser extent, a strong dependence can still be observed in Figure 7c–f. Figure 8 presents the same simulation cases as Figure 7, but with a narrower range of ±3 percentage points of methane concentration. Comparing Figure 7e,f with Figure 8e,f, a lack of the inverted temperature distribution can be noticed, which confirms this strong dependence of results on even relatively small changes in mixture composition. On the other hand, Figure 8c–f do not differ by such a high margin in comparison to Figure 7c–f, which shows that the temperature distributions can be difficult to predict without precise measurements of a circulating MR composition.
This observation emphasizes the importance of the discussion regarding the impact of mixture composition on results in similar studies, especially with binary mixtures that differ significantly in boiling points; this effect may not be as pronounced with mixtures that have more components [11].

5.1. Pressure Drop

The average calculated pressure drop for all cases was d P h ¯ = 0.093 bar for the hot side and d P c ¯ = 0.21 bar for the cold side. Depending on the HTC values, the pressure drop was higher if the HTC values were greater. This is consistent with fundamental PHE heat transfer observations. This pressure drop corresponded to a shift in the saturation temperatures of about 2 K for the hot side and 4 K for the cold side, respectively.

5.2. Composition Correction

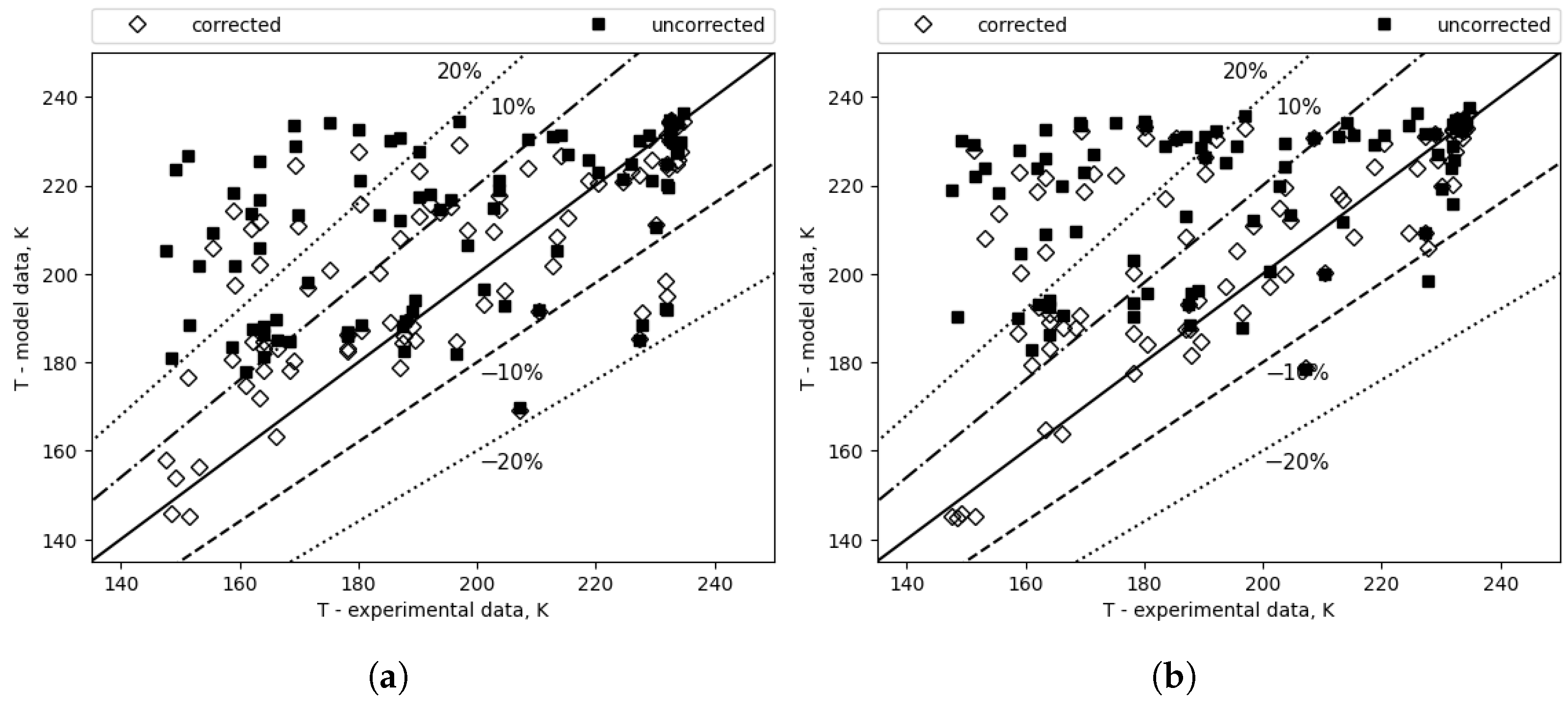
It is important to note that the plots in Figure 9, Figure 10, Figure 11, Figure 12, Figure 13 and Figure 14 have a logarithmic scale of point density to capture both high point concentrations and outliers. All data points have been mapped on the 2D histogram, and the data range has been established to be 135–245 K for both axes. This range was then divided into square bins with dT = 3 K, and, based on the point count per bin, the density map was created for the data subsets used in small-scale comparisons and the overall results. A comparison of the corrected and uncorrected cases is presented in Figure 9 and their distribution in Table 4. The majority (75.2%) of all modeling results measured were within a range of ±30% of experimental values, 59.8% in the range of ±20%, and 33.3% within ±10% of experimental values. After the composition correction, these values increased to 87.3%, 79.0%, and 57.0%, respectively.
A high concentration of points can be observed in the range of model data from 220 to 240 K and from 145 to 190 K for experimental temperatures (referred to as the high error band (HEB) in Table 4 and Table 5) visible in Figure 9c,d. This area is likely the source of high error values in the overall results, since when all correlation combinations are taken into account, the composition correction decreases the percentage of points in this zone from 30.3% of all points to 14.1%. The number of outliers (single points or small concentrations of points with high error values) is also significantly decreased, as the number of points beyond the 20% range decreased from 39.5% to 20.5%. Considering the top 15 combinations temperature map in Figure 9a,b, composition correction decreased the number of points in the high error band from 15.0% to 3.3% of all data points and resulted in a decrease in the overall number of points in the ranges of ±30% (84.7% vs. 95.4%), ±20% (73.2% vs. 89.2%), and ±10% (39.8% vs. 64.7%). Compared to the overall results, the percentage of high error points is very small for the top 15, and the distribution is more symmetrical.
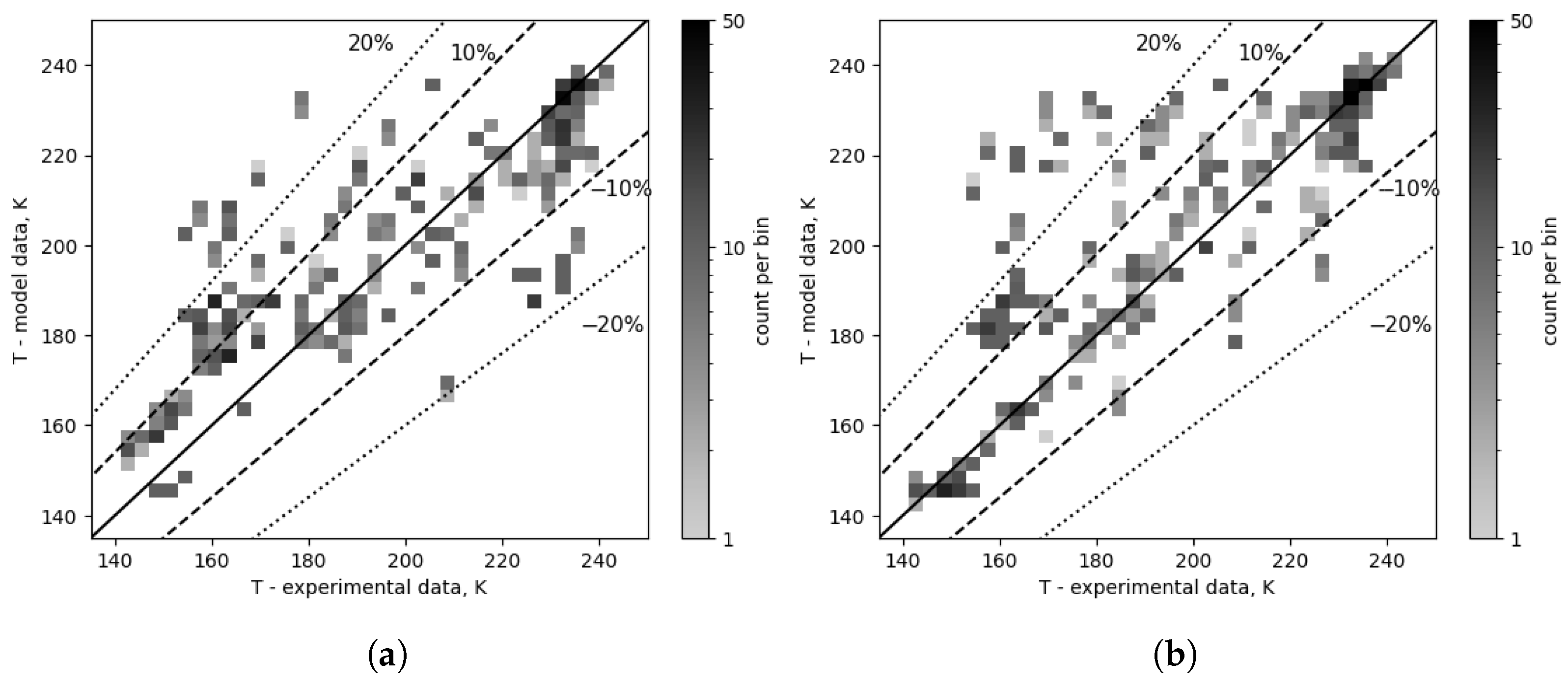
The composition correction results in an analogous change in one correlation, as shown in Figure 10 and Table 5, where the chosen Han et al. [21]. evaporation correlation results, both without and with composition correction, are compared. Consequently, this yields an increased overall amount of points in the ranges of ±30% (82.1% vs. 90.9%), ±20% (70.5% vs. 83.6%), and ±10% (48.6% vs. 65.8%), as well as a reduction in the number of points in the high error band (21.7% vs. 10.1%).

5.3. Impact of Correlations on Distributions

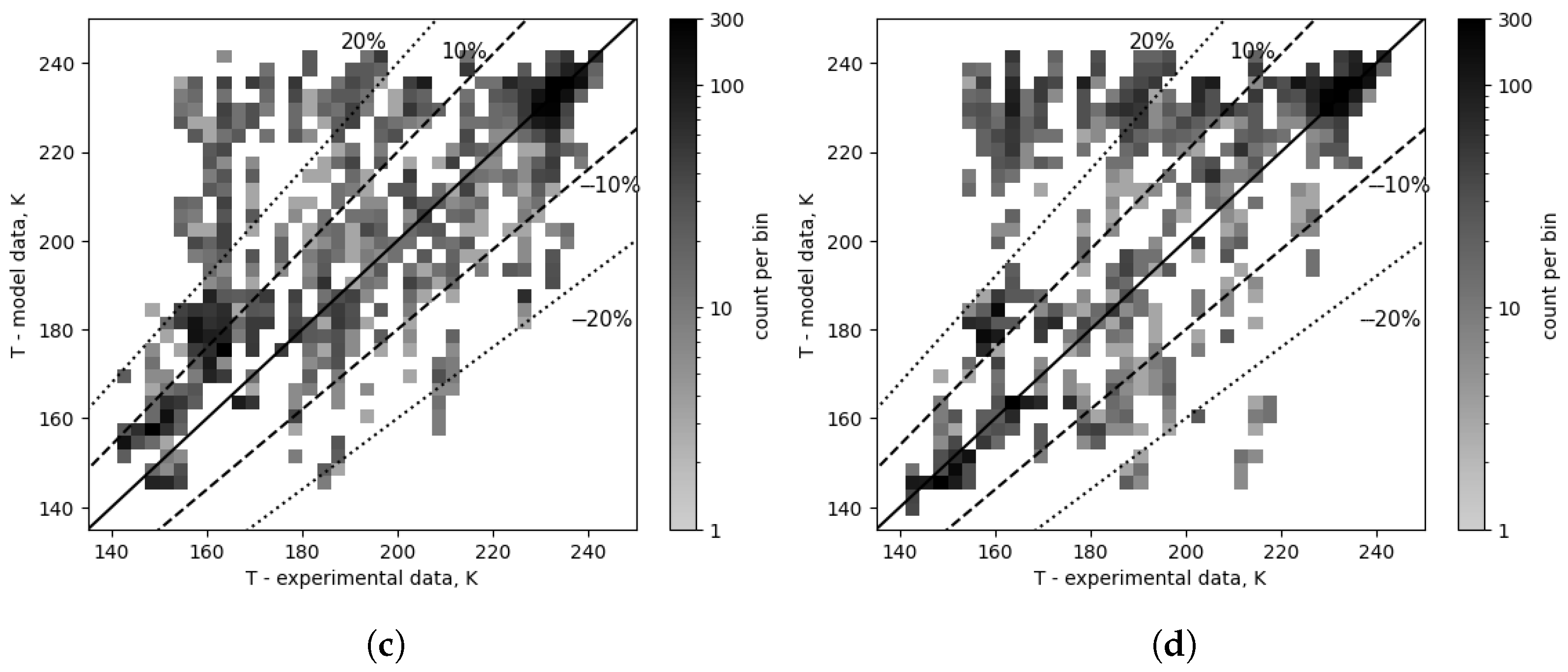
Figure 11 shows the comparison between the experimental and modeled outlet temperature data after the composition correction for two selected pairs of condensation correlations, chosen based on the lowest and highest error values: Thonon et al. and Yan et al., respectively. In Figure 11c,d, the 220–240 K model temperature band contains a significant portion of all points, i.e., 8.5% for Thonon et al. and 29.2% for Yan et al. The difference is the most prominent among the comparisons. There are significant differences in data distribution between Thonon et al. and Yan et al. in the following ranges: ±30% (90.5% vs. 77.4%), ±20% (82.2% vs. 64.1%), and ±10% (52.7% vs. 45.5%). As shown in Figure 11a, the high error band is much less discernible if the analyzed correlation combinations have a lower overall error value, as in this instance where the top 5 is taken into account; in the case of the top 5, the high error band contains 1.1% and 15.9% of the data points, and the point distribution changed as follows: range of ±30% (92.1% vs. 77.1%), ±20% (84.1% vs. 64.2%), and ±10% (53.9% vs. 45.4%).
In the case of evaporation, there is little difference between the two investigated correlations. In Figure 12, two evaporation correlations are compared in the same manner as in Figure 11. Considering the overall results, 21.7% for Han and 21.7% for Hsieh & Lin fall within the high error band. The overall distribution of points is as follows: range of ±30% (82.1% vs. 82.1%), ±20% (70.5% vs. 70.4%), and ±10% (48.6% vs. 48.6%). For the top 10 correlation combinations, the distribution is in the range of ±30% (91.8% vs. 91.8%), ±20% (83.6% vs. 83.67%), and ±10% (53.2% vs. 53.2%).
Evaporation correction also seems to have a significant effect on the results. In Figure 13, a comparison between evaporation corrected with Fujita & Tsutsui and uncorrected evaporation heat transfer is presented. The overall distribution is as follows: range of ±30% (85.2% vs. 78.9%), ±20% (74.1% vs. 67.0%), and ±10% (50.5% vs. 47.0%); for the top 10: range of ±30% (92.7% vs. 87.4%), ±20% (84.5% vs. 78.6%), and ±10% (53.8% vs. 52.6%). In the high error band, overall, there are 17.2% and 26.5% of all points, and for the top 10 combinations, the distribution is 5.2% and 13.9%, respectively.
Correction seems to have less of an effect if the correlation combination itself has a low error, as shown in Figure 14, which depicts the comparison of outlet temperatures for the combination with the lowest calculated error (Figure 14a) and the highest (Figure 14b). In the case of the combination with the highest error, the correction yielded approximately a 10.66 K reduction in error, and for the best overall combination, the composition correction resulted in approximately a 5.7 K decrease.
The cause of the high error band, or more broadly speaking, the strong asymmetry in the distribution of model temperatures, is most likely due to a general overestimation of the overall heat transfer coefficient values in this study.

5.4. Correlation Performance

With changing concentrations of components, the HTC values are changing as well. Overall, the two-phase heat transfer coefficients ranged from 0.056 to 3.51 kW/m2K for evaporation with correction and from 0.057 to 10.32 kW/m2K for evaporation without correction. The condensation heat transfer coefficient values ranged from 0.012 to 4.75 kW/m2K. Single-phase heat transfer, depending on the phase, ranged from 0.37 to 0.76 kW/m2K for the liquid phase and from 0.19 to 0.64 kW/m2K for the vapor phase. The combination of correlations with the lowest overall error was Thonon et al. for condensation, Han et al. for evaporation with the Fujita & Tsutsui correction factor, and Wanniarachchi et al. for single phase heat transfer.
The most important heat transfer mechanism, from the standpoint of result accuracy, is condensation, as it exhibits the highest impact on error due to significant differences in performance among the tested correlations. The lowest error correlation, Thonon et al., also has the lowest HTC values among the investigated correlations, at about 0.015 kW/m2K. This causes condensation to be the dominant heat transfer mechanism for this correlation. In the case of other condensation correlations, the HTC values are much higher and much closer to the evaporation HTC values of about 2.5 kW/m2K. This probably causes the existence of a high error band in the overall results and an overestimation of OHTC by a factor of about tenfold, as in Figure 11b,d; this feature is not present for Thonon et al.’s correlation.
The large differences between condensation HTC values are most likely caused by the limitations of the correlations. Yan et al. have developed a model for R134a, and the only two-phase dependence is the equivalent Reynolds number. The mass flux G range investigated is 80–120 kg/m2·s, and, in the current study, G is in the range of 5–10 kg/m2·s. This is most likely the cause of the high error values. Thonon et al.’s correlations have been created for azeotropes (propane-butane mixture with a wide range of concentrations), with particular attention to mass transfer resistance. It is highly dependent on the liquid-only Reynolds number and covers a wide range of G values.
Kuo et al., similar to Yan et al., have been proposed on the basis of R410a heat transfer measurements. This particular refrigerant has almost no temperature glide. In comparison to the mass flux values in this study, the G value range is also high at 50–150 kg/m2·s. It takes heat flux into account, which may somewhat increase accuracy. Han et al. is based on R-22, which also has no temperature glide. High G values are also considered: 50–150 kg/m2·s.

5.5. Statistical Analysis

In addition to the graphical interpretation of the results, statistical analysis has been applied to quantify the validation of the model and possibly capture some unclear trends and impacts. Differences among heat transfer correlations were evaluated ( E V , E V C , C D , S P H , S P C ) and their combinations using a blocked, repeated-measures design at the level of a case (one experiment with fixed conditions). For each case and each correlation combination, the model reproduced outlet temperatures and point-wise errors and then case-level mean absolute error (MAE; Equation (12)) and root-mean-square error (RMSE; Equation (13)) were computed.
M A E c a s e = 1 6 j = 1 6 | T j , e x p T j , m o d e l |
R M S E c a s e = 1 6 j = 1 6 ( T j , e x p T j , m o d e l ) 2
M A E c o m b i n a t i o n = 1 N c a s e M A E c a s e
R M S E c o m b i n a t i o n = 1 N c a s e R M S E c a s e
Because the composition of the mixture was found to significantly affect the thermal profile, the analyses were performed in two modes, (i) the measured composition (AM; n 2 = 0) and (ii) the corrected composition (CC; n 2 = best), where for each (case times combination) the composition shift was selected minimizing the MAE for summary analyzes. Unless stated otherwise, all inferences are blocked by case.
For each heat transfer mechanism, the marginal effects (case-averaged over other factors) were calculated, and all 96 combinations were ranked according to the average case MAE (and RMSE) (Table 6, Table 7, Table 8, Table 9, Table 10 and Table 11). Global differences between k 3 levels were tested with the Friedman test [29] and two-level contrasts with the Wilcoxon signed-rank test [30]; pairwise post hoc comparisons used Wilcoxon tests with Holm correction [31] for multiplicity. Along with p-values, we report effect sizes (median differences with 95% bootstrap CI) and, where applicable, Cohen’s d z [32] and Kendall’s W [33].
All analyses were performed in Python (v3.8.8) using NumPy, pandas (v1.2.4), and SciPy (v1.6.2) for data handling and statistical testing. The bootstrap confidence intervals used the NumPy random generator with a fixed seed (42) for reproducibility.

5.6. Ranking and Marginal Effects

Thonon et al. [23], p < 0.05 ; post hoc Holm-adjusted Wilcoxon, p < 0.05 . For evaporation, both Han et al. [21] and Hsieh & Lin [24] achieved similar MAE and RMSE, and the difference between these equations is not statistically significant. Among evaporation–correction correlations, Fujita & Tsutsui [27] achieved the lowest marginal M A E ; in AM mode, all differences are statistically significant, but in CC, the differences between equations are not statistically significant. For single-phase heat transfer (hot/cold streams analyzed separately), Wanniarachchi et al. [19] consistently performed best, irrespective of stream or mode. The best overall combination (AM) achieved M A E 20.16 K, less than the best marginal MAE of a single factor (e.g., Thonon et al. [23] 20.95 K), indicating that no single mechanism dominates and that the joint selection of levels between mechanisms provides synergistic gains. The average MAE among all combinations is 25.55 K for the measured composition and 17.21 K with corrected composition. Every combination with Thonon et al. [23] exceeded the average; the worst combination was 22.14 K (AM) and 15.08 K (CC). This correlation was among 12 (10 for CC) of the 15 best equations, suggesting that, for this particular dataset, the selection of this equation gives the best results. Analysis performed in this section is limited by a relatively small dataset and is bounded to the specific test-stand.

5.7. Effect of Composition Correction

Across all case × combination pairs, the composition-corrected mode (CC) reduced errors relative to AM (Wilcoxon in Δ = CC − AM): median Δ M A E 2.42 K (95% CI), mean Δ M A E 8.35 K, p < 0.001 ; improvement occurred in 97% of comparisons. The optimal composition shift had median + 2.0 pp (Wilcoxon vs. 0: p < 0.0001 ), suggesting a systematic positive bias in the measured composition.
Despite the reduction in absolute error, the ranking of particular heat transfer correlations were preserved between modes. The composition correction altered the ranking of the best 15 correlation combinations (only 5/15 combinations overlapped); however, the general ranking was largely preserved (Kendall’s τ = 0.8735 , p < 0.0001 ). Composition correction estimates are regarded as an upper bound on achievable accuracy, since composition correction was tuned on the same data.

6. Conclusions

This paper concerns the experimental and modeling analysis of recuperation heat transfer of methane–ethane binary mixtures in a precooled MR JT cryocooler with 3 BPHE connected in series as recuperators. The experimental campaign included the measurement of the MR composition, which was later implemented in the modeling. In addition, statistical analysis was used to fully postprocess the available data and to identify some possible trends and impacts in the data. In summary, the following conclusions were drawn:
  • The combination of correlations with the lowest overall error was Thonon et al. for condensation, Han et al. for evaporation with the Fujita & Tsutsui correction factor, and Wanniarachchi et al. for single phase heat transfer.
  • Condensation seems to be a dominant heat transfer factor that primarily governs the overall heat transfer process. This can result from significant temperature differences between HP and LP streams during recuperation. This topic requires further investigation, as the correlations seem to have significant limitations, especially regarding mass transfer resistance in azeotropic mixtures.
  • The composition correction reduced the average MAE by 8.35K (median −2.42K), which emphasizes the importance of precise MR composition measurement, along with taking into account its uncertainty.
  • The optimal MR composition shift has a median + 2.0 pp, suggesting that there is a systematic positive bias in the measured composition.
  • MRs with more components are less sensitive to the accuracy of MR composition measurements. In the case of a binary high-temperature glide MR, even small uncertainty can lead to a significant change in the recuperation temperature profile.
  • Taking into account the complexity of recuperation heat transfer for MR (which depends on the number and type of components, MR composition measurement accuracy, and combines several heat transfer mechanisms for gaseous, liquid, and 2-phase flow), it requires further investigation.

Author Contributions

Conceptualization, Z.R.; methodology, Z.R., B.B. and A.K.; software, B.B., A.K. and R.S.; validation, B.B. and A.K.; formal analysis, A.K.; investigation, A.K. and R.S.; data curation, A.K. and R.S.; writing—original draft preparation, Z.R., B.B. and A.K.; writing—review and editing, Z.R., B.B., A.K. and R.S.; visualization, B.B. and A.K.; supervision, Z.R.; project administration, Z.R.; funding acquisition, Z.R. and B.B. All authors have read and agreed to the published version of the manuscript.

Funding

This research was partially supported by the Ministry of Science and Higher Education, grant number: DWD/6/0541/2022. This research was partially supported by the statutory funds of the Faculty of Mechanical and Power Engineering, Wrocław University of Science and Technology.

Data Availability Statement

The raw data supporting the conclusions of this article will be made available by the authors on request.

Conflicts of Interest

Author Adrian Kwiatkowski was employed by the company CryoScience Ltd. The remaining authors declare that the research was conducted in the absence of any commercial or financial relationships that could be construed as a potential conflict of interest.

Abbreviations

The following abbreviations are used in this manuscript:
AMAs-measured composition mode
ACAir cooler
BPHEBrazed plate heat exchanger
BTBuffer tank
CCompressor
CDCondensation heat transfer correlation
CFMCoriolis flow meter
CCComposition corrected mode
CFCorrection factor
CVControl valve
DPDifferential pressure transducer
EHElectric heater
EVEvaporation heat transfer correlation
E V C Evaporation heat transfer correlation with correction factor
FFlow meter
FLFilter drier
GMGifford-McMahon
HChydrocarbon
HEBHigh error band
HPHigh pressure
HTCHeat transfer coefficient
HXHeat exchanger
JTJoule-Thomson
LMTDLogarithmic mean temperature difference
LPLow pressure
MAEMean absolute error
MCHEMicrochannel heat exchanger
MRMixed-refrigerant
MVManual valve
NPower meter
NCNot corrected
NuNusselt number
NTUNumber of heat transfer Units
OROil removal
PPump
PPressure transducer
P&IDPiping and Instrumentation Design
PrPrandtl number
ρ Density
ν Kinematic viscosity
RMSERoot-mean-square error
SeVService valve
SGSight glass
SPSingle phase
SVSolenoid valve
S P C Single-phase heat transfer correlation for cooling
S P H Single-phase heat transfer correlation for heating
XPSExtruded polystyrene
m i monitor function
F s mesh refinement scale parameter
L i Cell length
C i heat capacity rate
NTUnumber of thermal units
ϵ effectiveness of the heat exchanger
ζ numerical error
τ numerical error tolerance
Q ˙ heat transfer rate
Gmass flux

References

  1. Rogala, Z.; Siemasz, R.; Baran, B.; Kwiatkowski, A. Design and experimental study on precooled MR JT cryocooler for LNG recondensation purposes. Appl. Therm. Eng. 2022, 115, 118939. [Google Scholar] [CrossRef]
  2. Pang, W.; Liu, J.; He, J.; Xu, X. Thermal performance of brazed plate heat exchangers for a mixed-refrigerant Joule-Thomson cooler. Int. J. Refrig. 2016, 61, 37–54. [Google Scholar] [CrossRef]
  3. Bychkov, E.G. An analytical method for ensuring the optimal circulating composition of the multicomponent refrigerant mixture in a steady-state operation mode of the Joule-Thomson refrigerator operating with mixtures. Int. J. Refrig. 2021, 130, 356–369. [Google Scholar] [CrossRef]
  4. Rogala, Z. Application of precooling stage in MR JT cryocoolers. Cryogenics 2022, 121, 103395. [Google Scholar] [CrossRef]
  5. Kwiatkowski, A.; Rogala, Z.; Poliński, J.; Siemasz, R.; Wnukowski, M. Noninvasive and continuous method of binary and ternary mixture composition measurement. Int. J. Refrig. 2026, 181, 1–12. [Google Scholar] [CrossRef]
  6. Damle, R.; Ardhapurkar, P.; Atrey, M. Numerical analysis of the two-phase heat transfer in the heat exchanger of a mixed refrigerant Joule–Thomson cryocooler. Cryogenics 2015, 72, 103–110. [Google Scholar] [CrossRef]
  7. Baek, S.; Lee, C.; Jeong, S. Investigation of two-phase heat transfer coefficients of argon–freon cryogenic mixed refrigerants. Cryogenics 2014, 64, 29–39. [Google Scholar] [CrossRef]
  8. Nellis, G.; Hughes, C.; Pfotenhauer, J. Heat transfer coefficient measurements for mixed gas working fluids at cryogenic temperatures. Cryogenics 2005, 45, 546–556. [Google Scholar] [CrossRef]
  9. Gong, M.Q.; Wu, J.F.; Luo, E.C.; Qi, Y.F.; Hu, Q.G.; Zhou, Y. Research on the change of mixture compositions in mixed-refrigerant Joule-Thomson cryocoolers. In AIP Conference Proceedings; American Institute of Physics: College Park, MD, USA, 2002; Volume 881, pp. 881–886. [Google Scholar] [CrossRef]
  10. Ardhapurkar, P.M.; Sridharan, A.; Atrey, M.D. Investigations on two-phase heat exchanger for mixed refrigerant JouleThomson cryocooler. In AIP Conference Proceedings; American Institute of Physics: College Park, MD, USA, 2012; Volume 1434, pp. 706–713. [Google Scholar] [CrossRef]
  11. Ardhapurkar, P.M.; Sridharan, A.; Atrey, M.D. Experimental investigation on temperature profile and pressure drop in two-phase heat exchanger for mixed refrigerant Joule-Thomson cryocooler. Appl. Therm. Eng. 2014, 66, 94–103. [Google Scholar] [CrossRef]
  12. Gong, M.; Zhou, W.; Wu, J. Composition Shift due to the Different Solubility in the Lubricant Oil for Multicomponent Mixtures. In Proceedings of the Cryocoolers 14; Praxair, Inc.: Tonawanda, NY, USA, 2007; Volume 14, pp. 459–467. [Google Scholar]
  13. Gong, M.; Deng, Z.; Wu, J. Composition Shift of a Mixed-Gas Joule-Thomson Refrigerator Driven by an Oil-Free Compressor. In Proceedings of the Cryocoolers 14; Praxair, Inc.: Tonawanda, NY, USA, 2007; pp. 453–458. [Google Scholar]
  14. Lakshmi Narasimhan, N.; Venkatarathnam, G. A method for estimating the composition of the mixture to be charged to get the desired composition in circulation in a single stage JT refrigerator operating with mixtures. Cryogenics 2010, 50, 93–101. [Google Scholar] [CrossRef]
  15. Lakshmi, N.; Narasimhan, G. Effect of mixture composition and hardware on the performance of a single stage JT refrigerator. Cryogenics 2011, 51, 446–451. [Google Scholar] [CrossRef]
  16. SWEP SWEP SSP Wiki- Evaporator Info & Warning Messages. Available online: https://dthermx-wiki.swep.net/en/Warnings/EvaporatorWarnings (accessed on 2 January 2026).
  17. Lemmon, E.W.; Bell, I.H.; Huber, M.L.; McLinden, M.O. NIST Standard Reference Database 23: Reference Fluid Thermodynamic and Transport Properties-REFPROP, Version 10.0; National Institute of Standards and Technology: Gaithersburg, MD, USA, 2018. [Google Scholar] [CrossRef]
  18. Virtanen, P.; Gommers, R.; Oliphant, T.E.; Haberland, M.; Reddy, T.; Cournapeau, D.; Burovski, E.; Peterson, P.; Weckesser, W.; Bright, J.; et al. SciPy 1.0: Fundamental Algorithms for Scientific Computing in Python. Nat. Methods 2020, 17, 261–272. [Google Scholar] [CrossRef] [PubMed]
  19. Wanniarachchi, A.S.; Ratnam, U.V.; Tilton, B.E.; Dutta-Roy, K. Approximate Correlations for Chevron-Type Plate Heat Exchangers; American Society of Mechanical Engineers: New York, NY, USA, 1995. [Google Scholar]
  20. Yan, Y.Y.; Lio, H.C.; Lin, T.F. Condensation heat transfer and pressure drop of refrigerant R-134a in a plate heat exchanger. Int. J. Heat Mass Transf. 1999, 42, 993–1006. [Google Scholar] [CrossRef]
  21. Han, D.H.; Lee, K.J.; Kim, Y.H. Experiments on the characteristics of evaporation of R410A in brazed plate heat exchangers with different geometric configurations. Appl. Therm. Eng. 2003, 23, 1209–1225. [Google Scholar] [CrossRef]
  22. Khan, T.; Khan, M.; Chyu, M.C.; Ayub, Z. Experimental investigation of single phase convective heat transfer coefficient in a corrugated plate heat exchanger for multiple plate configurations. Appl. Therm. Eng. 2010, 30, 1058–1065. [Google Scholar] [CrossRef]
  23. Thonon, B.; Bontemps, A. Condensation of Pure and Mixture of Hydrocarbons in a Compact Heat Exchanger: Experiments and Modelling. Heat Transf. Eng. 2002, 23, 3–17. [Google Scholar] [CrossRef]
  24. Hsieh, Y.; Lin, T. Saturated flow boiling heat transfer and pressure drop of refrigerant R-410A in a vertical plate heat exchanger. Int. J. Heat Mass Transf. 2002, 45, 1033–1044. [Google Scholar] [CrossRef]
  25. Sun, Z.; Gong, M.; Li, Z.; Wu, J. Nucleate pool boiling heat transfer coefficients of pure HFC134a, HC290, HC600a and their binary and ternary mixtures. Int. J. Heat Mass Transf. 2007, 50, 94–104. [Google Scholar] [CrossRef]
  26. Kuo, W.; Lie, Y.; Hsieh, Y.; Lin, T. Condensation heat transfer and pressure drop of refrigerant R-410A flow in a vertical plate heat exchanger. Int. J. Heat Mass Transf. 2005, 48, 5205–5220. [Google Scholar] [CrossRef]
  27. Fujita, Y.; Tsutsui, M. Heat transfer in nucleate pool boiling of binary mixtures. Int. J. Heat Mass Transf. 1994, 37, 291–302. [Google Scholar] [CrossRef]
  28. Han, D.H.; Lee, K.J.; Kim, Y.H. The Characteristics of Condensation in Brazed Plate Heat Exchangers with Different Chevron Angles. J. Korean Phys. Soc. 2003, 43, 66–73. [Google Scholar]
  29. Friedman, M. The Use of Ranks to Avoid the Assumption of Normality Implicit in the Analysis of Variance. J. Am. Stat. Assoc. 1937, 32, 675–701. [Google Scholar] [CrossRef]
  30. Wilcoxon, F. Individual Comparisons by Ranking Methods. Biom. Bull. 1945, 1, 80–83. [Google Scholar] [CrossRef]
  31. Holm, S. A Simple Sequentially Rejective Multiple Test Procedure. Scand. J. Stat. 1979, 6, 67–70. [Google Scholar]
  32. Cohen, J. Statistical Power Analysis for the Behavioral Sciences, 2nd ed.; Lawrence Erlbaum Associates: Hillsdale, NJ, USA, 1988. [Google Scholar]
  33. Kendall, M.; Smith, B. The Problem of m Rankings. Ann. Math. Stat. 1939, 10, 275–287. [Google Scholar] [CrossRef]
Figure 1. P&ID of the test stand.
Figure 1. P&ID of the test stand.
Energies 19 01571 g001
Figure 2. Layout of the coldbox. HX2—precooling cycle evaporator, HX3—1st recuperator, HX4—2nd recuperator, HX5–3rd recuperator, CV1—control electronic valve, EH—electric heater.
Figure 2. Layout of the coldbox. HX2—precooling cycle evaporator, HX3—1st recuperator, HX4—2nd recuperator, HX5–3rd recuperator, CV1—control electronic valve, EH—electric heater.
Energies 19 01571 g002
Figure 3. Cooldown and stabilization of the system. (a) Ethane composition measurement in time, (b) Suction (blue line) and discharge (red line) pressure in time. (c) Temperatures of the systems (see Figure 1) in time.
Figure 3. Cooldown and stabilization of the system. (a) Ethane composition measurement in time, (b) Suction (blue line) and discharge (red line) pressure in time. (c) Temperatures of the systems (see Figure 1) in time.
Energies 19 01571 g003
Figure 4. Numerical model-discretization scheme. (a) HX geometry simplification. (b) Temperatures used by the model (one cell). Vertical arrows: flow direction.
Figure 4. Numerical model-discretization scheme. (a) HX geometry simplification. (b) Temperatures used by the model (one cell). Vertical arrows: flow direction.
Energies 19 01571 g004
Figure 5. Numerical model scheme.
Figure 5. Numerical model scheme.
Energies 19 01571 g005
Figure 7. Best fit of the temperature distributions along the HX length for minimum, maximum and measured methane mole fraction in the MR composition ( ± 9 percentage points). (a,b) Simulation case A, minimum possible concentration. (c,d) Simulation case B, concentration as measured. (e,f) Simulation case C, maximum possible concentration. Left column: cold side. Right column: hot side. Legend description: Min—minimum possible concentration, max—maximum possible concentration, msr—measured concentration, T(exp)—measured temperatures.
Figure 7. Best fit of the temperature distributions along the HX length for minimum, maximum and measured methane mole fraction in the MR composition ( ± 9 percentage points). (a,b) Simulation case A, minimum possible concentration. (c,d) Simulation case B, concentration as measured. (e,f) Simulation case C, maximum possible concentration. Left column: cold side. Right column: hot side. Legend description: Min—minimum possible concentration, max—maximum possible concentration, msr—measured concentration, T(exp)—measured temperatures.
Energies 19 01571 g007aEnergies 19 01571 g007b
Figure 8. Temperature distributions along the HX length for the measured and ± 3 percentage points of methane concentration of the MR. (a,b) Simulation case A. (c,d) Simulation case B. (e,f) Simulation case C. Left column: cold side. Right column: hot side. Legend description: Min—minimum possible concentration, max—maximum possible concentration, msr—measured concentration, T(exp)—measured temperatures.
Figure 8. Temperature distributions along the HX length for the measured and ± 3 percentage points of methane concentration of the MR. (a,b) Simulation case A. (c,d) Simulation case B. (e,f) Simulation case C. Left column: cold side. Right column: hot side. Legend description: Min—minimum possible concentration, max—maximum possible concentration, msr—measured concentration, T(exp)—measured temperatures.
Energies 19 01571 g008aEnergies 19 01571 g008b
Figure 9. Outlet temperature comparison for all cases and combinations; composition corrected vs. as measured. Lines with the range of ± 20 % of the experimental data added for clarity. (a) Corrected cases—top 15. (b) Cases with composition as measured—top 15. (c) Composition corrected cases—overall (top 96). (d) Cases with composition as measured—overall (top 96).
Figure 9. Outlet temperature comparison for all cases and combinations; composition corrected vs. as measured. Lines with the range of ± 20 % of the experimental data added for clarity. (a) Corrected cases—top 15. (b) Cases with composition as measured—top 15. (c) Composition corrected cases—overall (top 96). (d) Cases with composition as measured—overall (top 96).
Energies 19 01571 g009
Figure 10. Outlet temperature comparison for a selected evaporation combination (number 0: Han et al.); composition corrected vs. as measured. Lines with the range of ± 20 % of the experimental data added for clarity. (a) Composition corrected cases—top 10. (b) Cases with composition as measured—top 10. (c) Composition corrected cases—top 96. (d) Cases with composition as measured—top 96.
Figure 10. Outlet temperature comparison for a selected evaporation combination (number 0: Han et al.); composition corrected vs. as measured. Lines with the range of ± 20 % of the experimental data added for clarity. (a) Composition corrected cases—top 10. (b) Cases with composition as measured—top 10. (c) Composition corrected cases—top 96. (d) Cases with composition as measured—top 96.
Energies 19 01571 g010
Figure 11. Outlet temperature comparison for selected condensation correlations, Kuo et al. [26] and Thonon et al. [23] Lines with the range of ± 20 % of the experimental data added for clarity. (a) Condensation: Kuo et al. [26] (number 2), top 5. (b) Condensation: Thonon et al. [23] (number 1), top 5. (c) Condensation: Kuo et al. [26] (number 2), overall (top 24). (d) Condensation: Thonon et al. [23] (number 1), overall (top 24).
Figure 11. Outlet temperature comparison for selected condensation correlations, Kuo et al. [26] and Thonon et al. [23] Lines with the range of ± 20 % of the experimental data added for clarity. (a) Condensation: Kuo et al. [26] (number 2), top 5. (b) Condensation: Thonon et al. [23] (number 1), top 5. (c) Condensation: Kuo et al. [26] (number 2), overall (top 24). (d) Condensation: Thonon et al. [23] (number 1), overall (top 24).
Energies 19 01571 g011
Figure 12. Outlet temperature comparison for selected evaporation correlations. Lines with the range of ± 20 % of the experimental data added for clarity. (a) Evaporation: Hsieh & Lin [24] (number 1), top 5. (b) Evaporation: Han et al. [21] (number 0), top 5. (c) Evaporation: Hsieh & Lin [24] (number 1), overall (top 48). (d) Evaporation: Han et al. [21] (number 0), overall (top 48).
Figure 12. Outlet temperature comparison for selected evaporation correlations. Lines with the range of ± 20 % of the experimental data added for clarity. (a) Evaporation: Hsieh & Lin [24] (number 1), top 5. (b) Evaporation: Han et al. [21] (number 0), top 5. (c) Evaporation: Hsieh & Lin [24] (number 1), overall (top 48). (d) Evaporation: Han et al. [21] (number 0), overall (top 48).
Energies 19 01571 g012
Figure 13. Outlet temperature comparison of corrected and uncorrected evaporation. Lines with the range of ± 20 % of the experimental data added for clarity. (a) Evaporation correction: Fujita & Tsutsui (number 2), top 5. (b) Evaporation correction: none (number 0), top 5. (c) Evaporation correction: Fujita & Tsutsui (number 2), overall (top 32). (d) Evaporation correction: none (number 0), overall (top 32).
Figure 13. Outlet temperature comparison of corrected and uncorrected evaporation. Lines with the range of ± 20 % of the experimental data added for clarity. (a) Evaporation correction: Fujita & Tsutsui (number 2), top 5. (b) Evaporation correction: none (number 0), top 5. (c) Evaporation correction: Fujita & Tsutsui (number 2), overall (top 32). (d) Evaporation correction: none (number 0), overall (top 32).
Energies 19 01571 g013aEnergies 19 01571 g013b
Figure 14. Outlet temperature comparison; correlation combinations with the lowest and highest error, respectively. Lines with the range of ±20% of the experimental data added for clarity. (a) Lowest MAE (top 1). (b) Highest MAE (top 96).
Figure 14. Outlet temperature comparison; correlation combinations with the lowest and highest error, respectively. Lines with the range of ±20% of the experimental data added for clarity. (a) Lowest MAE (top 1). (b) Highest MAE (top 96).
Energies 19 01571 g014
Table 1. Specification of the applied instrumentation.
Table 1. Specification of the applied instrumentation.
Measured PropertyDescriptionUncertaintyRemarks
TemperaturePt100, class B, 3-wire, Termpoprecyzja, Wrocław, Poland±(0.3 + 0.005t) °C−196–150 °C
PressurePeltron NPX, Wiazowna, Poland± 0.1% FSP6 (0–20 barg)
PressureJohnson Controls P499, China±0.25% FSP7 (0–30 barg)
PressureJohnson Controls P499, China±0.25% FSP8 (−1–8 barg)
PressureCarel SPKT, Italy±1% FSP1–P5 (0–30 barg)
MR mass flowCFM E+H, Promass 83F, Reinach, Switzerland±0.5% of reading
MR densityCFM E+H Promass 83F, Reinach, Switzerland±0.37 kg/m3validated by [5]
Table 2. Design of experiment.
Table 2. Design of experiment.
Methane [%]Ethane [%]HP [bar]LP [bar]fprecool [Hz]
406015350
406015230
406020330
406020250
505020330
505015230
505015350
505020250
Table 4. Distribution of data points—composition correction. HEB—high error band. AM—composition as measured. CC—composition corrected results.
Table 4. Distribution of data points—composition correction. HEB—high error band. AM—composition as measured. CC—composition corrected results.
RangeOverall, AM (CC)Top 15, AM (CC)Han et al. [21], AM (CC)
±30%75.1 (87.3)84.7 (95.4)82.1 (90.9)
±20%59.8 (79.0)73.2 (89.2)70.5 (83.6)
±10%33.3 (57.0)39.8 (64.7)48.6 (65.8)
HEB30.3 (14.1)15.0 (3.2)21.7 (10.1)
Table 5. Distribution of data points; comparison of correlations. HEB—high error band. CD—condensation. EV—evaporation. NC—not corrected evaporation. CF—evaporation correction factor used.
Table 5. Distribution of data points; comparison of correlations. HEB—high error band. CD—condensation. EV—evaporation. NC—not corrected evaporation. CF—evaporation correction factor used.
RangeThonon et al. [23] (CD)Yan et al. [20] (CD)Han et al. [21] (EV)Hsieh & Lin [24] (EV)Fujita & Tsutsui [27] (CF)EV (NC)
±30%90.577.491.891.892.787.4
±20%82.264.083.683.784.578.6
±10%52.845.553.253.253.852.5
HEB8.529.321.721.726.617.2
Table 6. Top 15 correlations combinations ranked by MAE.
Table 6. Top 15 correlations combinations ranked by MAE.
EV EV C CD SP H SP C MAE (AM)RMSE (AM)MAE (CC)RMSE (CC)Rank (AM)Rank (CC)
Hsieh & Lin [24]Sun et al. [25]Thonon et al. [23]Khan et al. [22]Khan et al. [22]20.1624.5613.6716.81115
Han et al. [21]Sun et al. [25]Thonon et al. [23]Khan et al. [22]Khan et al. [22]20.1824.5813.6716.8213
Hsieh & Lin [24]Fujita & Tsutsui [27]Thonon et al. [23]Khan et al. [22]Khan et al. [22]20.2424.3614.3717.99333
Han et al. [21]Fujita & Tsutsui [27]Thonon et al. [23]Khan et al. [22]Khan et al. [22]20.2724.4314.3717.99434
Han et al. [21]Fujita & Tsutsui [27]Thonon et al. [23]Wanniarachchi et al. [19]Khan et al. [22]20.2724.4114.5718.13535
Han et al. [21]Sun et al. [25]Thonon et al. [23]Wanniarachchi et al. [19]Khan et al. [22]20.3024.5813.817.02621
Hsieh & Lin [24]Sun et al. [25]Thonon et al. [23]Wanniarachchi et al. [19]Khan et al. [22]20.3024.5613.8417.01722
Hsieh & Lin [24]Fujita & Tsutsui [27]Thonon et al. [23]Wanniarachchi et al. [19]Khan et al. [22]20.3524.4414.5918.22836
Han et al. [21]Sun et al. [25]Thonon et al. [23]Khan et al. [22]Wanniarachchi et al. [19]20.3924.6813.7916.96920
Hsieh & Lin [24]Sun et al. [25]Thonon et al. [23]Khan et al. [22]Wanniarachchi et al. [19]20.4124.6813.7917.041019
Hsieh & Lin [24]Fujita & Tsutsui [27]Kuo et al. [26]Wanniarachchi et al. [19]Wanniarachchi et al. [19]20.4524.5813.4116.441111
Hsieh & Lin [24]Sun et al. [25]Thonon et al. [23]Wanniarachchi et al. [19]Wanniarachchi et al. [19]20.5124.6514.1217.451227
Han et al. [21]Sun et al. [25]Thonon et al. [23]Wanniarachchi et al. [19]Wanniarachchi et al. [19]20.5224.6914.0817.381326
Han et al. [21]Fujita & Tsutsui [27]Kuo et al. [26]Wanniarachchi et al. [19]Wanniarachchi et al. [19]20.5724.6813.5516.381412
Hsieh & Lin [24]Fujita & Tsutsui [27]Kuo et al. [26]Khan et al. [22]Wanniarachchi et al. [19]20.6124.7513.6716.441514
Table 7. Comparison of condensation heat transfer coefficient correlations ranked by MAE.
Table 7. Comparison of condensation heat transfer coefficient correlations ranked by MAE.
AuthorMAE (AM)RMSE (AM)MAE (CC)RMSE (CC)
Thonon et al. [23]20.9525.2813.817.06
Kuo et al. [26]24.3929.6115.2318.55
Han et al. [28]28.4134.619.8924.74
Yan et al. [20]28.4734.719.9224.84
Table 8. Comparison of evaporation heat transfer coefficient correlations ranked by MAE.
Table 8. Comparison of evaporation heat transfer coefficient correlations ranked by MAE.
AuthorMAE (AM)RMSE (AM)MAE (CC)RMSE (CC)
Han et al. [21]25.5531.0417.1821.25
Hsieh & Lin [24]25.5631.0517.2321.35
Table 9. Comparison of evaporation heat transfer coefficient correction correlations ranked by MAE.
Table 9. Comparison of evaporation heat transfer coefficient correction correlations ranked by MAE.
AuthorMAE (AM)RMSE (AM)MAE (CC)RMSE (CC)
Fujita & Tsutsui [27]23.9128.8216.3020.09
Sun et al. [25]25.3930.8517.0220.96
None27.3633.4718.3022.86
Table 10. Comparison of single-phase heat transfer coefficient correlations on cold stream ranked by MAE.
Table 10. Comparison of single-phase heat transfer coefficient correlations on cold stream ranked by MAE.
AuthorMAE (AM)RMSE (AM)MAE (CC)RMSE (CC)
Wanniarachchi et al. [19]25.1530.516.5420.37
Khan et al. [22]25.9631.5917.8822.23
Table 11. Comparison of single-phase heat transfer coefficient correlations on hot stream ranked by MAE.
Table 11. Comparison of single-phase heat transfer coefficient correlations on hot stream ranked by MAE.
AuthorMAE (AM)RMSE (AM)MAE (CC)RMSE (CC)
Wanniarachchi et al. [19]25.3930.8216.9420.92
Khan et al. [22]25.7230.8217.4721.68
Disclaimer/Publisher’s Note: The statements, opinions and data contained in all publications are solely those of the individual author(s) and contributor(s) and not of MDPI and/or the editor(s). MDPI and/or the editor(s) disclaim responsibility for any injury to people or property resulting from any ideas, methods, instructions or products referred to in the content.

Share and Cite

MDPI and ACS Style

Rogala, Z.; Baran, B.; Kwiatkowski, A.; Siemasz, R. Modeling and Experimental Analysis of Two-Phase Recuperation Heat Transfer in Systems Using Mixed-Refrigerant. Energies 2026, 19, 1571. https://doi.org/10.3390/en19061571

AMA Style

Rogala Z, Baran B, Kwiatkowski A, Siemasz R. Modeling and Experimental Analysis of Two-Phase Recuperation Heat Transfer in Systems Using Mixed-Refrigerant. Energies. 2026; 19(6):1571. https://doi.org/10.3390/en19061571

Chicago/Turabian Style

Rogala, Zbigniew, Błażej Baran, Adrian Kwiatkowski, and Rafał Siemasz. 2026. "Modeling and Experimental Analysis of Two-Phase Recuperation Heat Transfer in Systems Using Mixed-Refrigerant" Energies 19, no. 6: 1571. https://doi.org/10.3390/en19061571

APA Style

Rogala, Z., Baran, B., Kwiatkowski, A., & Siemasz, R. (2026). Modeling and Experimental Analysis of Two-Phase Recuperation Heat Transfer in Systems Using Mixed-Refrigerant. Energies, 19(6), 1571. https://doi.org/10.3390/en19061571

Note that from the first issue of 2016, this journal uses article numbers instead of page numbers. See further details here.

Article Metrics

Back to TopTop