Characteristics of Fractured Lacustrine Carbonate Reservoirs in the Zhongshi Area, Jianghan Basin, China
Abstract
1. Introduction
2. Geological Setting of the Study Area
3. Materials and Methods
4. Results
4.1. Reservoir Matrix Composition and Characteristics of Petrophysical Properties and Oil-Bearing Potential
4.1.1. Lithology and Lithofacies
4.1.2. Petrophysical Characteristics
4.2. Characteristics of Fracture Development in the Reservoir
4.2.1. Fracture Types
4.2.2. Fracture Dips
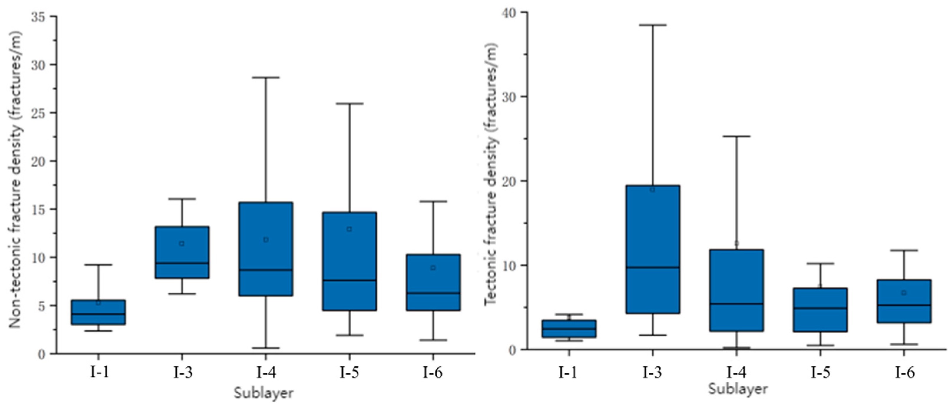
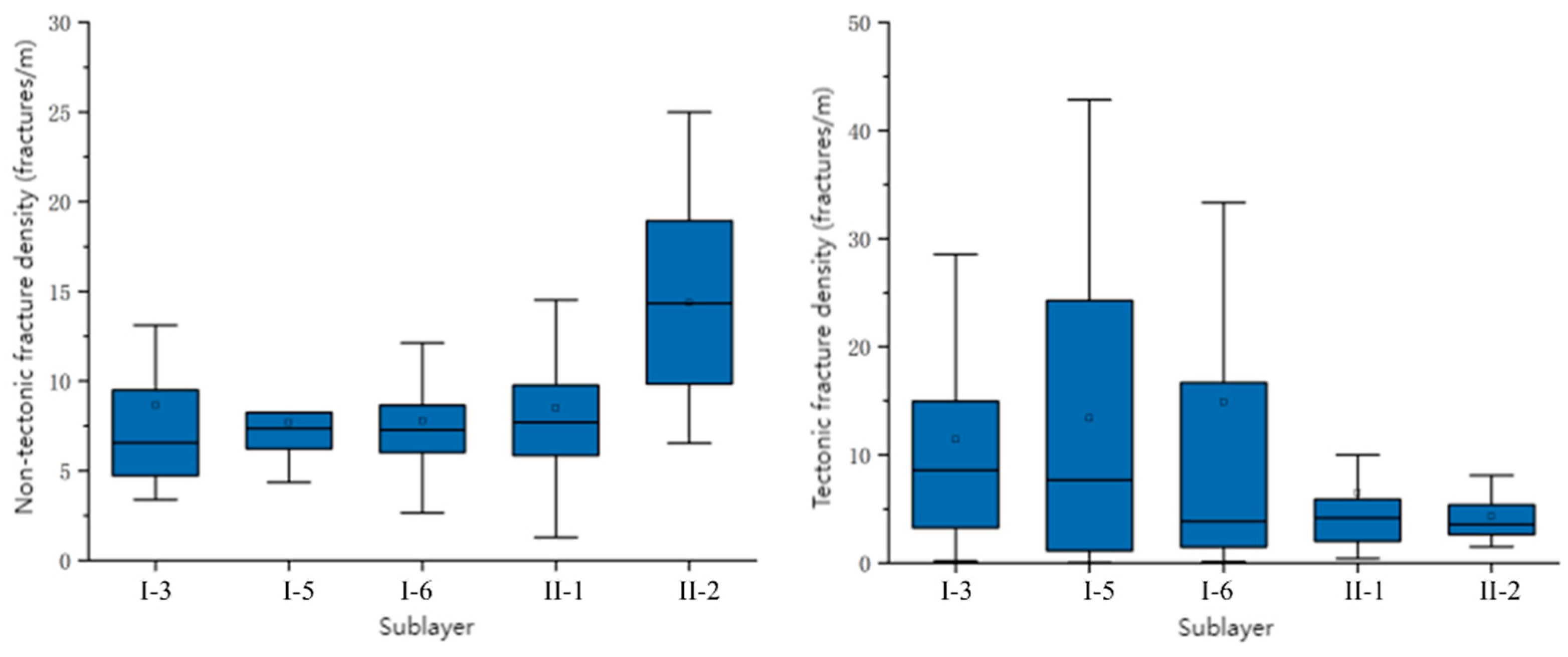
4.2.3. Fracture Density
4.2.4. Quantitative Impact of Fractures on Porosity and Permeability
4.2.5. Quantitative Relationship Between Fractures and Hydrocarbon Occurrence
5. Discussion
5.1. Characterization of the Fractures in Reservoir
5.1.1. Relative Timing of Fracture Development
5.1.2. Controlling Factors of Fracture Development
5.2. Fracture Interpretation from Well Logs and Borehole Image Analysis
5.3. Fracture Distribution Prediction from Seismic Attribute Analysis and Sublayer Characteristics
6. Conclusions
- (1)
- The reservoirs in the study area constitute a typical fracture-pore dual-porosity/dual-permeability system. The reservoir matrix is characterized by low porosity and ultra-low permeability, with an average porosity of 5.19% and permeability generally <5 mD. In contrast, an effective fracture network markedly enhances flow capacity: the equivalent permeability of unfilled or partially filled fractures can increase by 1–2 orders of magnitude, locally reaching > 10–100 mD. Fractures are therefore the primary factor controlling seepage efficiency and production variability.
- (2)
- The dominant fracture types are non-tectonic (bedding-parallel) fractures and high-angle tectonic fractures, whose development is jointly governed by lithology, tectonic setting, and diagenetic filling. Micrite-dominated intervals are characterized by densely distributed bedding fractures, whereas grain-dominated carbonate intervals preferentially develop high-density tectonic fractures. Fracture filling intensity increases markedly along interlayer interfaces and within structural core zones, directly influencing fracture conductivity and spatial connectivity.
- (3)
- Fracture development exhibits pronounced inter-sublayer differences and plan-view zonation. The grain-dominated I-3 and I-6 sublayers form NE-trending, continuous belt-like high-density fracture zones, consistent with the orientation of the derived stress field associated with the Qianbei Fault. In contrast, the micrite-dominated I-2, I-4, I-5, and II-1 sublayers are dominated by network- or patch-like non-tectonic fractures with lower overall densities, although localized “sweet spots” with reservoir potential still occur.
- (4)
- Geophysical responses indicate strong monotonic relationships between fracture density and AC and PEF logs… providing a basis for subsequent integrated well-seismic modeling. These relationships, while particularly robust in this formation, highlight the potential of using integrated log analysis for fracture detection in analogous low-porosity carbonate settings.
- (5)
- A fracture-prediction model based on seismic attributes is effective at the sublayer scale. High-fracture-density belts are mainly distributed along zones of positive-curvature anomalies and in areas proximal to faults. Blind-well tests and offset-well comparisons validate the reliability of the prediction model, showing a mean absolute error of ~2.1 fractures/m within a 500 m radius of calibration wells. This provides a confidence level sufficient for guiding well placement in high-priority areas, though with increasing uncertainty in undrilled, structurally complex zones.
- (6)
- This study advances beyond traditional descriptive models by establishing a quantitative, multi-scale predictive framework. It quantitatively links fracture attributes to permeability enhancement and productivity, provides calibrated well-log proxies (AC, PEF) for fracture density specific to saline-lacustrine carbonates, and delivers a seismically derived predictive model validated at the sublayer scale. In future exploration and development, priority should be given to belt zones such as I-3 and I-6, where fractures are more continuous and fracture filling is low. Localized sweet spots within micrite-dominated intervals that show relatively high fracture density and low-to-moderate filling should also be targeted.
Author Contributions
Funding
Data Availability Statement
Acknowledgments
Conflicts of Interest
References
- Wang, B.J.; Bao, H.Y.; Wu, S.Q.; Liu, A.; Guo, L.; Yu, Y.; Xu, Y.; Zhao, W. Exploration breakthrough and implications of saline-lacustrine carbonate oil reservoirs in the Qianjiang Depression, Jianghan Basin. China Pet. Explor. 2025, 30, 68–72. (In Chinese) [Google Scholar]
- Zhao, C.L.; Zhu, X.M. Sedimentary Petrology; Petroleum Industry Press: Beijing, China, 2001; pp. 346–353. (In Chinese) [Google Scholar]
- Xia, Q.S.; Tian, J.C.; Ni, X.F. Research status and significance of lacustrine carbonate rocks. Sediment. Geol. Tethyan Geol. 2003, 23, 105–112. (In Chinese) [Google Scholar]
- Cohen, A.S.; Thouin, C. Nearshore carbonate deposits in Lake Tanganyika. Geology 1987, 15, 414–418. [Google Scholar] [CrossRef]
- Benson, L. Factors affecting 14C ages of lacustrine carbonates: Timing and duration of the last highstand lake in the Lahontan Basin. Quat. Res. 1993, 39, 163–174. [Google Scholar] [CrossRef]
- Bustillo, M.A.; Arribas, M.E.; Bustillo, M. Dolomitization and silicification in low-energy lacustrine carbonates (Paleogene, Madrid Basin, Spain). Sediment. Geol. 2002, 151, 107–126. [Google Scholar] [CrossRef]
- Tucker, M.E.; Wright, V.P.; Dickson, J.A.D. Carbonate Sedimentology; Wiley: Hoboken, NJ, USA, 2009. [Google Scholar]
- Zhou, Z.L.; Du, Y.H. Relationship between sedimentary facies of lacustrine carbonate rocks and hydrocarbon distribution. Pet. Geol. Exp. 1986, 8, 123–132. (In Chinese) [Google Scholar]
- Kamel, H.M.; Mabrouk, W.M.; Metwally, A.M. Integrated geophysical assessment of the Abu Roash C member for hydrocarbon prospectivity in the Sitra Field Abu El Gharadig Basin, Egypt. Sci. Rep. 2025, 15, 27014. [Google Scholar] [CrossRef]
- Pu, X.G.; Zhou, L.H.; Xiao, D.Q.; Hua, S.; Chen, C.; Yuan, X.; Han, G.; Zhang, W. Geological characteristics of lacustrine carbonate rocks on the southwestern margin of the Qikou Sag, Huanghua Depression. Pet. Explor. Dev. 2011, 38, 136–144. (In Chinese) [Google Scholar] [CrossRef]
- Wang, Q.W.; Liang, B.; Kan, Z.Z. Carbon and oxygen isotope characteristics of lacustrine carbonate rocks in the Lower Jurassic Ziliujing Formation, Sichuan Basin, and their paleolimnological significance. Mineral. Petrol. 2006, 26, 87–91. (In Chinese) [Google Scholar]
- Yang, S.C.; Qiu, L.W.; Liu, K.Y.; Han, X.; Jiang, J.; Shan, B.; Liu, L. Reservoir characteristics and classification evaluation of lacustrine carbonate rocks in the fourth member of the Shahejie Formation, Shaojiawa Sag, Jiyang Depression, Bohai Bay Basin. Nat. Gas Geosci. 2019, 27, 628–638. (In Chinese) [Google Scholar]
- Wang, C.F.; Wang, L.J.; Shao, X.J.; Xu, H.; Sun, Y.; Liu, Y. Production characteristics of oil wells in lacustrine carbonate reservoirs in the Subei Basin and development technology strategies. Oil Gas Geol. Recovery Effic. 2015, 20, 100–103. (In Chinese) [Google Scholar]
- Guan, S.R.; Bai, G.Y.; Di, M.X. Sedimentary characteristics and depositional environment of carbonate rocks in the middle member of the Guanzhuang Formation (Lower Tertiary), Pingyi Basin, Shandong. J. East China Pet. Inst. (Nat. Sci. Ed.) 1985, 3, 9–20. (In Chinese) [Google Scholar]
- Huang, C.G.; Yuan, J.Y.; Tian, G.R.; Wu, L.; Pan, X.; Hui, Y. Geochemical characteristics and formation mechanism of Eocene lacustrine dolomite reservoirs in the Chaixi area. Earth Sci. Front. 2016, 23, 230–242. (In Chinese) [Google Scholar]
- Li, X.; Wang, J.G.; Zhang, P.; Li, L.; Huang, C.; Wu, K.; Zhang, Q.; Long, W. Fracture genesis mechanism and geological significance of E32 in the Yingxi area, Qaidam Basin. Lithol. Reserv. 2018, 30, 45–54. (In Chinese) [Google Scholar]
- Liu, S.Q. Sedimentary Characteristics of Lacustrine Carbonate Rocks in the Upper Submember of Member 4 of the Shahejie Formation, Western Dongying Sag. Ph.D. Dissertation, China University of Geosciences, Beijing, China, 2018. (In Chinese) [Google Scholar]
- Wen, H. Structural characteristics of the Zhongshi area in the Qianjiang Depression and analysis of exploration targets. J. Jianghan Pet. Univ. Staff. Work. 2022, 35, 1–4. (In Chinese) [Google Scholar]
- Wang, K.; Wang, G.W.; Xu, B.; Wang, D.; Ran, Z. Fracture classification and stages of tectonic fractures in the Keshen 2 well block. Prog. Geophys. 2015, 30, 1251–1256. (In Chinese) [Google Scholar]
- Wu, S.Q.; Guo, L.B.; Xu, S.; Xu, S.; Man, H.; Luo, S.; Li, X.; Zhao, W.; Kong, J. Lithofacies types and reservoir characteristics of lacustrine carbonate rocks in the third member of the Qianjiang Formation, Qianjiang Depression. China Pet. Explor. 2025, 30, 42. (In Chinese) [Google Scholar]
- Shao, X.Z.; Wang, M.M.; Hui, X.; Wang, S.; Zhang, X.; Qi, Y. Fracture characteristics, formation stages, and development patterns in the Yanchi area, Ordos Basin. Nat. Gas Geosci. 2021, 32, 1501–1513. (In Chinese) [Google Scholar]
- Zhou, Y.S.; Zhang, L. Statistical analysis of core fractures in fractured reservoirs. World Geol. 2000, 2, 117–124. (In Chinese) [Google Scholar]
- Zeng, L.; Shu, Z.; Lyu, W.; Zhang, M.; Bao, H.; Dong, S.; Chen, S.; Xu, X. Lamellation Fractures in the Paleogene Continental Shale Oil Reservoirs in the Qianjiang Depression, Jianghan Basin, China. Geofluids 2021, 2021, 6653299. [Google Scholar] [CrossRef]
- He, J.; Okere, C.J.; Su, G.; Hu, P.; Zhang, L.; Xiong, W.; Li, Z. Formation damage mitigation mechanism for coalbed methane wells via refracturing with fuzzy-ball fluid as temporary blocking agents. J. Nat. Gas Sci. Eng. 2021, 90, 103956. [Google Scholar] [CrossRef]
- Zhao, X.; Wang, G.; Li, D.; Wang, S.; Sun, Q.; Lai, J.; Han, Z.; Li, Y.; Shen, Y.; Wu, K. Characteristics and Controlling Factors of Natural Fractures in Lacustrine Mixed Shale Oil Reservoirs: The Upper Member of the Lower Ganchaigou Formation in the Ganchaigou Area, Qaidam Basin, Western China. Energies 2024, 17, 5996. [Google Scholar] [CrossRef]
- Luo, X.; Chen, S.; Liu, J.; Li, F.; Feng, L.; Li, S.; Wu, Y.; Wu, G.; Luo, B. The Fractured Permian Reservoir and Its Significance in the Gas Exploitation in the Sichuan Basin, China. Energies 2023, 16, 1968. [Google Scholar] [CrossRef]















| System | Series | Formation | Member | Oil Layer Group |
|---|---|---|---|---|
| Quaternary | Pleistocene | Pingyuan Formation | ||
| Neogene | Middle Miocene | Guanghuasi Formation | ||
| Paleogene | Eogene | Qianhe Town Formation | ||
| Qianjiang Formation | First Member | Qian11, Qian12, Qian13 | ||
| Upper Eocene | Second Member | Qian21, Qian22, Qian23 | ||
| Third Member | Qian31, Qian32, Qian33, Qian34 | |||
| Upper Fourth Member | Qian40, Qian41, Qian42, Qian43 | |||
| Lower Fourth Member (Qian-4) | I unit: I-1, I-2, I-3, I-4, I-5, I-6, II unit: II-1, II-2, II-3, II-4 | |||
| Middle Eocene | Jinsha Formation | |||
| Type | Description | Layer | Core Photo | Fracture Density (m−1) | |
|---|---|---|---|---|---|
| Non-tectonic fractures (bedding-parallel fractures) | Unfilled | Bedding-parallel, distributed concordantly with stratification on core surfaces, showing morphologies such as bending, discontinuity, branching, etc. | I-4 | ![]() | 10.9–14.7 |
| Filled | Calcite, quartz, argillaceous, or gypsum fillings are locally observed in some bedding fractures. Clear boundaries between filled and unfilled segments can be identified. | I-3 | ![]() | 5.8–8.9 | |
| With dissolution vugs | Some bedding fractures are affected by dissolution, forming vugs and pores that are commonly elliptical in shape. | I-3 | ![]() | 3.4–5.6 | |
| Tectonic fractures | Unfilled | The angle between the fracture plane and the plane perpendicular to the wellbore axis is 45–90°. | I-3 | ![]() | 10.9–14.7 |
| Filled | Calcite, quartz, argillaceous, or gypsum fillings are locally observed in some tectonic fractures. | I-4 | ![]() | 5.8–8.9 | |
| With dissolution vugs | Dissolution vugs occur within tectonic fractures in a variety of forms, commonly including circular, elliptical, and irregular honeycomb-like shapes. | I-4 | ![]() | 3.4–5.6 | |
| Well | Fracture Dip Angle | |||||
|---|---|---|---|---|---|---|
| High Angle | Low Angle | Horizontal | ||||
| per | % | per | % | per | % | |
| Z9901X | 541 | 19.06 | 125 | 4.41 | 1133 | 39.94 |
| Z99X | 218 | 7.68 | 79 | 2.78 | 741 | 26.12 |
| Total | 759 | 26.75 | 204 | 7.19 | 1874 | 66.06 |
| Well | Fracture Width | |||||
|---|---|---|---|---|---|---|
| Big (>10 mm) | Small and Medium (1~10 mm) | Tiny (<1 mm) | ||||
| per | % | per | % | per | % | |
| Z9901X | 137 | 1.14 | 893 | 7.46 | 769 | 6.42 |
| Z99X | 95 | 0.79 | 598 | 4.99 | 345 | 2.88 |
| Total | 232 | 8.17 | 1491 | 52.56 | 1114 | 39.27 |
| Sublayer | Dominant Lithology | Fracture Pattern | Dominant Type | Density Range (m−1) | Main Control |
|---|---|---|---|---|---|
| I-2 | micritic carbonate | network-like | non-tectonic | <8 | depositional fabric |
| I-3 | grain-dominated | continuous belt | tectonic (high-angle) | 15–18.9 | fault-proximal stress |
| I-4 | micritic (minor grain-rich) | sparse network | non-tectonic | 5.8–8.9 | dissolution associated |
| I-5 | micritic carbonate | scattered clusters | non-tectonic | 5–12.9 | shallow-water microfacies |
| I-6 | grain-dominated | continuous belt | tectonic (high-angle) | 14.9–16 | fault-derived stress field |
| II-1 | micritic & salt-gypsum | discontinuous belt | tectonic (segmented) | 6.5–9.4 | interbedded interfaces |
Disclaimer/Publisher’s Note: The statements, opinions and data contained in all publications are solely those of the individual author(s) and contributor(s) and not of MDPI and/or the editor(s). MDPI and/or the editor(s) disclaim responsibility for any injury to people or property resulting from any ideas, methods, instructions or products referred to in the content. |
© 2026 by the authors. Licensee MDPI, Basel, Switzerland. This article is an open access article distributed under the terms and conditions of the Creative Commons Attribution (CC BY) license.
Share and Cite
Cao, C.; Liu, X.; Wu, H.; Zhang, L.; Jia, Y.; Zhang, M.; Wang, J.; Guo, C.; Wang, X. Characteristics of Fractured Lacustrine Carbonate Reservoirs in the Zhongshi Area, Jianghan Basin, China. Energies 2026, 19, 1402. https://doi.org/10.3390/en19061402
Cao C, Liu X, Wu H, Zhang L, Jia Y, Zhang M, Wang J, Guo C, Wang X. Characteristics of Fractured Lacustrine Carbonate Reservoirs in the Zhongshi Area, Jianghan Basin, China. Energies. 2026; 19(6):1402. https://doi.org/10.3390/en19061402
Chicago/Turabian StyleCao, Chenguang, Xiaobo Liu, Hua Wu, Liang Zhang, Yanjie Jia, Manting Zhang, Jing Wang, Chaohua Guo, and Xiao Wang. 2026. "Characteristics of Fractured Lacustrine Carbonate Reservoirs in the Zhongshi Area, Jianghan Basin, China" Energies 19, no. 6: 1402. https://doi.org/10.3390/en19061402
APA StyleCao, C., Liu, X., Wu, H., Zhang, L., Jia, Y., Zhang, M., Wang, J., Guo, C., & Wang, X. (2026). Characteristics of Fractured Lacustrine Carbonate Reservoirs in the Zhongshi Area, Jianghan Basin, China. Energies, 19(6), 1402. https://doi.org/10.3390/en19061402







