Influence of Electrode Distribution in a Multi-Electrode Electromagnetic Flow Measurement System on the Measurement of Velocity Field in Asymmetric Flow Sections
Abstract
1. Introduction
2. Theoretical Model Under Non-Uniform Magnetic Field
3. The Construction of the TR-CNN Model
3.1. The Numerical Simulation Process of Multi-Electrode Electromagnetic Flowmeters
3.2. The Solution Process of the Cross-Sectional Velocity Field
4. The Impact of Electrode Distribution on the Measurement System
4.1. Introduction to the Experimental Apparatus
4.2. Introduction of Electrode Distribution
4.3. Analysis of Measurement Results
5. Experimental Verification of the Fluid Cross-Sectional Velocity Field
6. Conclusions
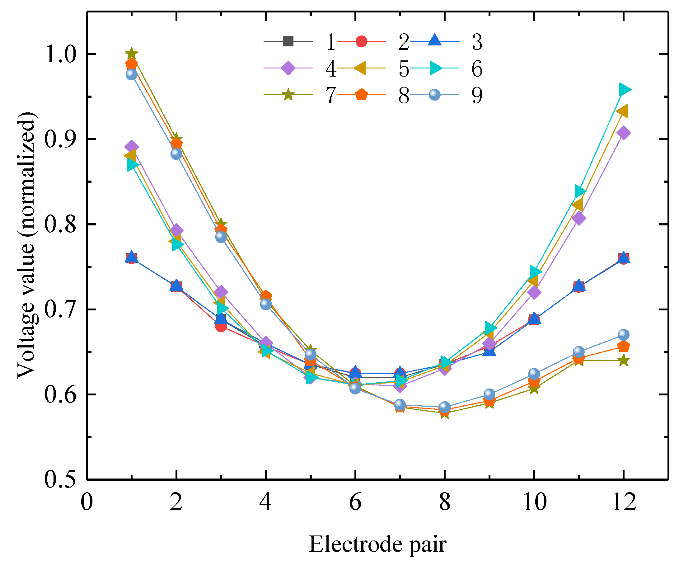
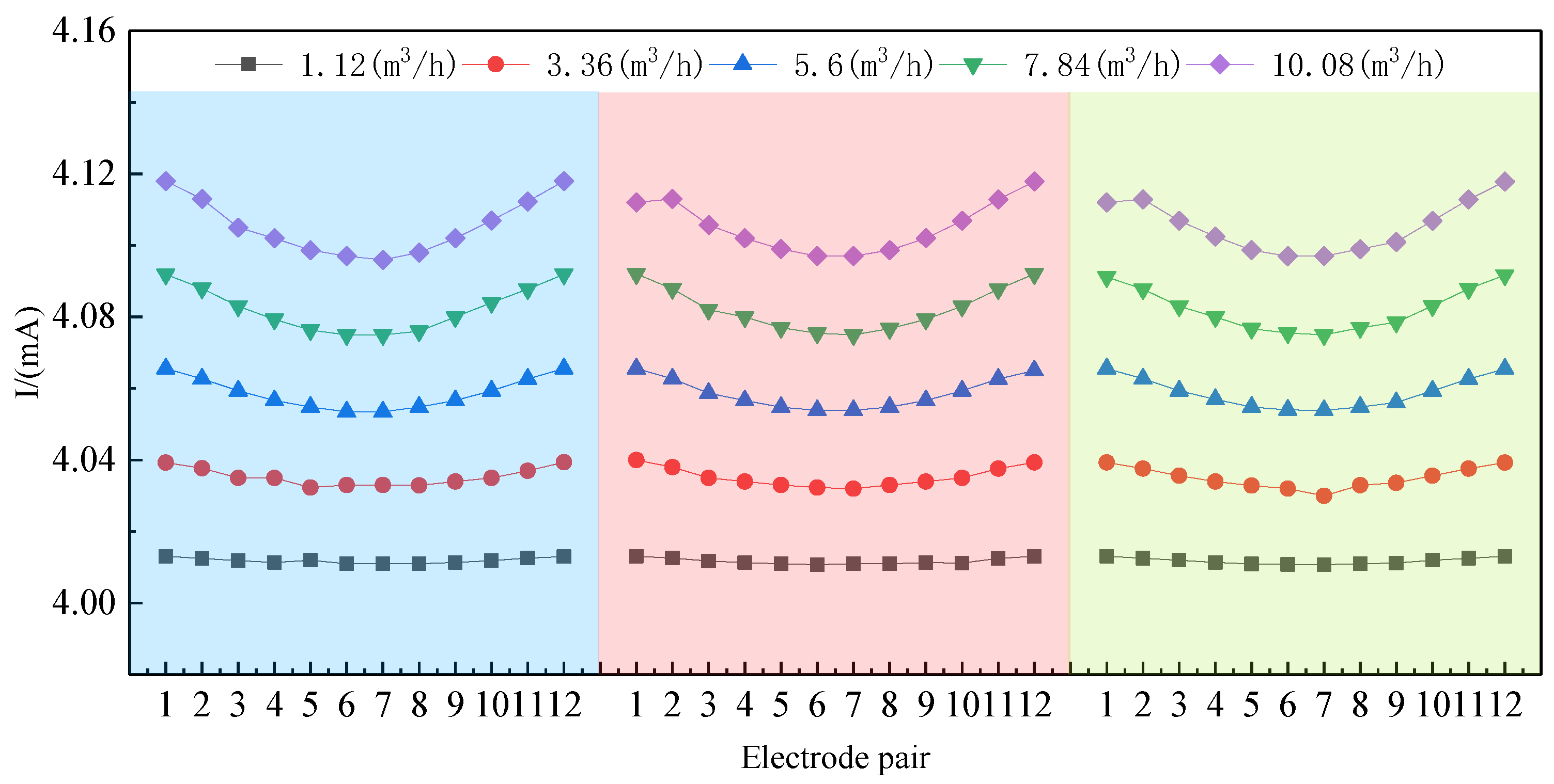
- Through the comparison of potential differences obtained when the fluid passes through the elbow, it is found that the fluid velocity distribution before the elbow is less affected by the elbow, and the change in potential difference before the elbow is not obvious.
- Through the comparison of a total of nine groups of methods with different positions and built-in electrodes, the more parallel the electrode pairs are to the central line of the flow velocity peak, the more symmetrical the potential differences of different electrode pairs will be. Meanwhile, this increases the difficulty of reverse calculation of the cross-sectional velocity distribution.
- By comparing the fluid velocity measured by the static Pitot tube with the cross-sectional velocity distribution obtained by the multi-electrode electromagnetic flow measurement system, the MSE is 0.015, the MAE is 0.095, and the RMSE remains at around 0.123. This indicates the reliability of this electrode placement method and also reflects that the “skewing” phenomenon of the fluid flow velocity gradually weakens as the measurement points are farther away from the elbow.
Author Contributions
Funding
Data Availability Statement
Conflicts of Interest
References
- Fox, C.; Morrison, M.E.K. On the Spatial Response of Electromagnetic Flowmeters. Appl. Sci. 2023, 13, 6531. [Google Scholar] [CrossRef]
- Zou, Y.T.; Tu, C.X.; Chen, W.J.; Li, X.F.; Gao, W.K.; Jiang, X.Z.; Bao, F.B. On the effect of the electrode shape and contraction section on the right-angled electromagnetic flowmeter. Flow Meas. Instrum. 2023, 92, 102400. [Google Scholar] [CrossRef]
- Jin, N.D.; Yu, C.; Han, Y.F.; Yang, Q.Y.; Ren, Y.Y.; Zhai, L.S. The Performance Characteristics of Electromagnetic Flowmeter in Vertical Low-Velocity Oil-Water Two-Phase Flow. IEEE Sens. J. 2021, 21, 464–475. [Google Scholar] [CrossRef]
- Li, B.; Xu, J.F.; Chen, J.; Zhao, W.C. Study on the Static and Dynamic Characteristics of Vortex Electric Field in Electromagnetic Flowmeter and its Role in Attenuating Slurry Noise. IEEE Sens. J. 2023, 23, 8192–8205. [Google Scholar] [CrossRef]
- Ge, L.; Wang, S.J.; Li, L.; Chen, J.X.; Ji, Z.L.; Liu, Z.; Wei, G.H.; Xiao, X.T. Optimization of electromagnetic flow measurement system based on a new mesh electrode. Measurement 2023, 217, 113012. [Google Scholar] [CrossRef]
- Yang, Q.Y.; Jin, N.D.; Zhai, L.S.; Ren, Y.Y.; Yu, C.; Wei, J.D. Measurement of Water Velocity in Gas-Water Two-Phase Flow With the Combination of Electromagnetic Flowmeter and Conductance Sensor. Sensors 2020, 20, 3122. [Google Scholar] [CrossRef]
- Jiang, Y.L. Study on Weight Function Distribution of Hybrid Gas-Liquid Two-Phase Flow Electromagnetic Flowmeter. Sensors 2020, 20, 1431. [Google Scholar] [CrossRef]
- Justensen, J.; Barfuss, S.; Johnson, M.; Meacham, T. Effect of Meter Orientation Downstream of a Short Radius Elbow on Electromagnetic Flow Meters. J. Irrig. Drain. Eng. 2019, 145, 1–7. [Google Scholar] [CrossRef]
- Wang, Y.M.; Jia, H.; Li, W.T.; Liu, M.; Zhou, S. Influence study of pipelines on electromagnetic flow meter sensitive field. Instrum. Tech. Sens. 2017, 22, 29–31. [Google Scholar]
- Xu, L.J.; Wang, Y.; Qiao, X.T.; Xu, L.G. Design of electrode array of multi-electrode electromagnetic flowmeter. Chin. J. Sci. Instrum. 2003, 24, 335–339. [Google Scholar]
- Webilor, R.; Lucas, G.; Agolom, M. Fast imaging of the velocity profile of the conducting continuous phase in multiphase flows using an electromagnetic flowmeter. Flow Meas. Instrum. 2018, 64, 180–189. [Google Scholar] [CrossRef]
- Li, X.J. Research on a Reconstruction Method of Conductive Continuous Phase Velocity. Chinese J. Sens. Actuators 2020, 33, 1327–1332. [Google Scholar]
- Jiang, Y.L.; Jiang, W.Z.; Zhang, C. Simulation Research on Optimal Installation Position of partially-filled pipe Electromagnetic Flowmeter sensor. J. Phys. Conf. Ser. 2020, 1453, 012074. [Google Scholar] [CrossRef]
- Kade, J.B.; Steven, L.B.; Zachary, B.S.; Michael, C.J.; Todd, K.M.; Som, D. The effect of high-fidelity flow models on electromagnetic flowmeter analysis. AWWA Water Sci. 2022, 4, e1279. [Google Scholar]
- O’sullivan, V.T. Performance of an electromagnetic flowmeter with six point electrodes. J. Phys. E Sci. Instrum. 1983, 16, 1183–1188. [Google Scholar] [CrossRef] [PubMed]
- Horner, B.; Mesch, F.; Trächtler, A. A multi-sensor induction flowmeter reducing errors due to non-axisymmetric flow profiles. Meas. Sci. Technol. 1996, 7, 354–360. [Google Scholar] [CrossRef]
- Leeungculsatien, T.; Lucas, G.P. Continuous phase velocity profile measurement in multiphase flow using a non-invasive multi-electrode electromagnetic flow meter. AIP Conf. Proc. 2012, 1428, 243–250. [Google Scholar]
- Leeungculsatien, T.; Lucas, G.P. Measurement of velocity profiles in multiphase flow using a multi-electrode electromagnetic flow meter. Flow Meas. Instrum. 2013, 31, 86–95. [Google Scholar] [CrossRef]
- Zhao, Y.Y.; Lucas, G.; Leeungculsatien, T. Non-axisymmetric flow measurement study by multielectrode electromagnetic flow meter. AIP Conf. Proc. 2014, 1592, 63–70. [Google Scholar] [CrossRef]
- Beck, K.J.; Barfuss, S.L.; Moon, T.K. The superior accuracy of the arc electrode magnetic flowmeter: A numerical study. AWWA Water Sci. 2021, 3, e1220. [Google Scholar] [CrossRef]
- Cai, W.C.; Ma, Z.Y.; Zhai, G.F. Electromagnetic Flowmeters; China Petrochemical Press: Shanghai, China, 2004; Volume 3. [Google Scholar]
- Zhao, Y.Y. Study on Velocity Distribution Measurement of Single-Phase Flow and Solid-Liquid Two-Phase Flow Using Multi-Electrode Imaging Electromagnetic Flowmeter. Ph.D. Thesis, Tianjin University, Tianjin, China, 2011. [Google Scholar]
- Lu, B.; Xu, L.W.; Zhang, X.Z. Three-dimensional MHD simulations of the electromagnetic flowmeter for laminar and turbulent flows. Flow Meas. Instrum. 2013, 33, 239–243. [Google Scholar] [CrossRef]
- Jin, Q.N. On saturation of the discrepancy principle for nonlinear Tikhonov regularization in Hilbert spaces. Appl. Math. Lett. 2024, 156, 109150. [Google Scholar] [CrossRef]
- Bouzeffour, F. Inversion formulas for space-fractional Bessel heat diffusion through Tikhonov regularization. AIMS Math. 2024, 9, 20826–20842. [Google Scholar] [CrossRef]
- Zhang, J.C.; Liu, C.Y.; Zhao, Y.L. Inversion method of submarine steady electric field using point-type current source and Tikhonov regularization. J. Natl. Univ. Def. Technol. 2024, 46, 212–221. [Google Scholar]
- Diannata, R.Y.; Pan, M.C.; Hsu, Y.F. Sensor-to-Image Based Neural Networks: A Reliable Reconstruction Method for Diffuse Optical Imaging of High-Scattering Media. Sensors 2022, 22, 9096. [Google Scholar]
- Chen, H.J.; Kevin, L.; Joost, B.; Ellen, R.; Tom, V.; Bram, V. A Novel Physical Human Robot Interface with Pressure Distribution Measurement Based on Electrical Impedance Tomography. IEEE Sens. J. 2023, 23, 21914–21923. [Google Scholar] [CrossRef]
- Sofos, F.; Drikakis, D.; Kokkinakis, I.W.; Spottswood, S.M. Convolutional neural networks for compressible turbulent flow reconstruction. Phys. Fluids 2023, 35, 116120. [Google Scholar] [CrossRef]
- Gao, X.; Yue, S.; Cui, Z.; Ding, M.; Li, Q.; Wang, H. Optimal measurements of electromagnetic flowmeter. In Proceedings of the Conference Record—IEEE Instrumentation and Measurement Technology Conference, Aukland, New Zealand, 20–23 May 2019. [Google Scholar]
- Yao, L.; Liu, R.T.; Li, X.B.; Zhang, H.N.; Li, F.C. A novel Halbach array permanent magnet flowmeter for liquid metal flow measurement. Part II: Impact of velocity distribution on measurement signals and optimization design for electrodes. Nucl. Eng. Des. 2024, 426, 113397. [Google Scholar] [CrossRef]




















| Hexagonal Magnet Iron | Excite Coil | Position and Angle | |||||||||
|---|---|---|---|---|---|---|---|---|---|---|---|
| Structural parameters | A (mm) | B (mm) | C (mm) | H1 (mm) | R1 (mm) | R2 (mm) | H2 (mm) | θ1 (°) | θ2 (°) | h1 (mm) | h2 (mm) |
| Initial size | 20 | 35 | 17 | 2.5 | 8 | 30 | 7.5 | 545 | 455 | 9 | 15.5 |
| Pipe Diameter | Pipe Length | Electrode Size | Distance Between Two Electrodes | |
|---|---|---|---|---|
| Size (mm) | 50 | 200 | 4 | 2.3 |
| Positions (mm) | Electrode Direction | Volumetric Flux (m3/h) |
|---|---|---|
| Before the elbow 100 | Horizontal | 1.12, 3.36, 5.6, 7.84, 10.08 |
| Before the elbow 125 | Horizontal | 1.12, 3.36, 5.6, 7.84, 10.08 |
| Before the elbow 150 | Horizontal | 1.12, 3.36, 5.6, 7.84, 10.08 |
| After the elbow 100 | Horizontal | 1.12, 3.36, 5.6, 7.84, 10.08 |
| After the elbow 125 | Horizontal | 1.12, 3.36, 5.6, 7.84, 10.08 |
| After the elbow 150 | Horizontal | 1.12, 3.36, 5.6, 7.84, 10.08 |
| After the elbow 100 | Vertical | 1.12, 3.36, 5.6, 7.84, 10.08 |
| After the elbow 125 | Vertical | 1.12, 3.36, 5.6, 7.84, 10.08 |
| After the elbow 150 | Vertical | 1.12, 3.36, 5.6, 7.84, 10.08 |
Disclaimer/Publisher’s Note: The statements, opinions and data contained in all publications are solely those of the individual author(s) and contributor(s) and not of MDPI and/or the editor(s). MDPI and/or the editor(s) disclaim responsibility for any injury to people or property resulting from any ideas, methods, instructions or products referred to in the content. |
© 2026 by the authors. Licensee MDPI, Basel, Switzerland. This article is an open access article distributed under the terms and conditions of the Creative Commons Attribution (CC BY) license.
Share and Cite
Liu, X.; Jia, Y.; Liu, L.; Cai, J.; Zhang, B.; Shi, Z.; Han, B.; Jing, G. Influence of Electrode Distribution in a Multi-Electrode Electromagnetic Flow Measurement System on the Measurement of Velocity Field in Asymmetric Flow Sections. Energies 2026, 19, 928. https://doi.org/10.3390/en19040928
Liu X, Jia Y, Liu L, Cai J, Zhang B, Shi Z, Han B, Jing G. Influence of Electrode Distribution in a Multi-Electrode Electromagnetic Flow Measurement System on the Measurement of Velocity Field in Asymmetric Flow Sections. Energies. 2026; 19(4):928. https://doi.org/10.3390/en19040928
Chicago/Turabian StyleLiu, Xu, Yuntong Jia, Lu Liu, Jiacheng Cai, Bing Zhang, Zeqiang Shi, Bangbang Han, and Genqiang Jing. 2026. "Influence of Electrode Distribution in a Multi-Electrode Electromagnetic Flow Measurement System on the Measurement of Velocity Field in Asymmetric Flow Sections" Energies 19, no. 4: 928. https://doi.org/10.3390/en19040928
APA StyleLiu, X., Jia, Y., Liu, L., Cai, J., Zhang, B., Shi, Z., Han, B., & Jing, G. (2026). Influence of Electrode Distribution in a Multi-Electrode Electromagnetic Flow Measurement System on the Measurement of Velocity Field in Asymmetric Flow Sections. Energies, 19(4), 928. https://doi.org/10.3390/en19040928

