Next Article in Journal
Lightweight Cooperative Attention for Empowering YOLOv7-Tiny in Lithium Battery Surface Defect Recognition
Previous Article in Journal
Effect of Pyrolysis Temperature on Chemical Structure and Thermal Stability of Digestate-Based Biochar
 
 
Font Type:
Arial Georgia Verdana
Font Size:
Aa Aa Aa
Line Spacing:
Column Width:
Background:
Article

Influence of Skin Factor on Oil Recovery and Economic Performance in Synthetic Layered Carbonate Models Based on Pre-Salt Well Profiles

by
Edson de Andrade Araújo
1,*,
Mateus Palharini Schwalbert
2,
Rafael Japiassú Leitão
2,
Lorena Cardoso Batista Aum
3 and
Pedro Tupã Pandava Aum
3,*
1
Laboratory of Solutions in Petroleum Reservoir, Petroleum Engineering Academic Unit, Federal University of Campina Grande, Campina Grande 58429-900, PB, Brazil
2
Petrobras Research Center, Rio de Janeiro 20031-912, RJ, Brazil
3
Petroleum Science and Engineering Laboratory, Federal University of Pará, Raimundo Santana Cruz Street, Salinópolis 68721-000, PA, Brazil
*
Authors to whom correspondence should be addressed.
Energies 2026, 19(4), 1039; https://doi.org/10.3390/en19041039
Submission received: 28 December 2025 / Revised: 5 February 2026 / Accepted: 7 February 2026 / Published: 16 February 2026
(This article belongs to the Section H1: Petroleum Engineering)

Abstract

Formation damage near the wellbore reduces permeability and limits well productivity, with its effect commonly quantified by the skin factor. This parameter can strongly influence both the technical performance and the economic feasibility of oil recovery projects. In Brazilian pre-salt carbonate reservoirs, acidizing is widely applied, often conducted immediately after well completion. However, the long-term production and economic implications of these treatments remain insufficiently quantified. In this study, synthetic carbonate reservoir models were constructed using porosity and permeability profiles derived from well data representative of pre-salt conditions. Ten models with flow capacities ranging from 3000 to 130,000 mD·m were simulated over 30 years of water injection, considering skin factors from −3 to +20. The results show that wells with flow capacities below 10,000 mD·m exhibited the strongest response to stimulation, achieving up to 35% higher cumulative oil recovery and more than a 100% increase in net present value (NPV) compared with unstimulated cases. For flow capacity values between 10,000 and 40,000 mD·m, production and economic improvements were marginal, with NPV differences typically within 10%. At higher flow capacity (>60,000 mD·m), the stimulation response became negligible, with NPV variations below 0.1%. These findings demonstrate that stimulation effectiveness is primarily governed by reservoir flow capacity. The integrated reservoir–economic evaluation framework developed in this study provides quantitative guidance for optimizing acidizing strategies in carbonate systems representative of deepwater pre-salt environments.

1. Introduction

Formation damage refers to the impairment of the porous media surrounding the wellbore, which results in a reduction in permeability and, consequently, the well productivity [1,2]. This phenomenon is commonly associated with mechanical, chemical, biological, or thermal alterations in the near-wellbore region that restrict fluid flow into the well. In low-permeability formations, even a modest degree of damage can lead to substantial productivity losses due to the formation of an additional pressure drop, typically represented as a skin effect. The magnitude of this skin factor is critical in determining the well performance and the economic feasibility of hydrocarbon recovery [2,3].
In broader terms, the interaction between stimulation fluids and the geological formation is critical not only for productivity but also for assessing environmental integrity and energy recovery efficiency. Recent studies have highlighted these aspects, evaluating the potential reservoir damage caused by chemical additives [4] and the influence of geological factors and fluid properties on energy transmission [5].
In Brazil, pre-salt carbonate reservoirs represent one of the most prolific yet challenging petroleum provinces worldwide [6]. These reservoirs are primarily composed of highly heterogeneous carbonate rocks, exhibiting complex pore systems, variable mineralogical composition, and intricate diagenetic histories [7,8]. The heterogeneity manifests at multiple scales, from micro-porosity to vug and fracture networks, strongly influencing the flow behavior and the effectiveness of stimulation treatments. Furthermore, the coexistence of microporosity and tight matrix regions often leads to uneven fluid distribution during production and stimulation operations [9,10,11].
One of the strategies to mitigate formation damage and enhance well performance in carbonate reservoirs is acid stimulation, particularly matrix acidizing [12]. This technique involves the injection of acid solutions, typically hydrochloric acid (HCl) or organic acid blends, into the formation at pressures below fracturing conditions. The injected acid reacts with the carbonate minerals, creating conductive channels known as wormholes. These wormholes bypass damaged or low-permeability zones, establishing more efficient pathways between the reservoir and the wellbore, thereby improving productivity. The morphology and penetration depth of these wormholes depend on several parameters, including acid concentration, injection rate, temperature, and rock heterogeneity [13].
In Brazilian pre-salt developments, anticipated acidizing has been established as a common practice during the completion phase of production and injection wells. This procedure is performed immediately after the well completion and before the start of production, with the objective of minimizing the impact of potential formation damage. This proactive approach is particularly relevant in heterogeneous carbonate reservoirs, where near-wellbore permeability is highly variable, and natural flow barriers can develop due to depositional or diagenetic features [8].
Nevertheless, despite the operational benefits, there is still limited understanding of how this pre-production acid stimulation affects long-term recovery performance and economic indicators. This lack of comprehensive evaluation underscores the need for integrated studies that couple reservoir-scale simulation and economic analysis to assess the true effectiveness of anticipated acidizing under pre-salt conditions [2,3,14].
Although acidizing is inherently a near-wellbore treatment, its effects extend to the field productivity [15]. In numerical reservoir simulation, the improvement of near-wellbore performance is commonly evaluated through the skin factor (S), a dimensionless parameter that quantifies the additional pressure drop caused by flow restrictions in the immediate vicinity of the well. The skin factor incorporates the combined effects of formation damage, well completion characteristics, and stimulation operations into the calculation of well productivity. A positive skin value (S > 0) represents additional resistance to flow, indicating that the formation has been damaged or that the completion design has reduced flow efficiency. In contrast, a negative skin value (S < 0) reflects enhanced flow conditions, usually resulting from stimulation treatments such as acidizing or hydraulic fracturing, which improve permeability near the wellbore and increase productivity or injectivity [2].
Araújo et al. (2024) [15] investigated the economic impact of different acid treatment techniques on oil recovery in formations with distinct petrophysical characteristics. Using the Matrix software, the authors simulated matrix acidization processes and evaluated the resulting damage profiles. Subsequently, through numerical simulations performed with a black-oil reservoir simulator, they analyzed production performance and compared the economic outcomes. Their findings indicated that reservoirs with low flow capacities exhibit significant productivity gains from stimulation. However, for formations with flow capacity values ranging from 20,000 to 40,000 mD·m, the net present value (NPV) of stimulated wells may become equivalent to or even lower than that of untreated wells.
Although previous studies have provided valuable insights into the economic evaluation of acidizing treatments, the direct relationship between skin factor variations, long-term oil recovery, and economic performance remains insufficiently quantified. In this study, we model a carbonate reservoir representative of Brazilian pre-salt conditions, using permeability–porosity values obtained from actual completion data of pre-salt wells. This approach allows the simulations to realistically capture the heterogeneity and flow capacity typical of these reservoirs.
The objective is to evaluate how different skin factor values affect both oil recovery and economic indicators over a 30-year production period under water injection. The integration of reservoir simulation and economic analysis provides a realistic framework to quantify the long-term impact of acid stimulation. The results are intended to serve as technical guidance for optimizing acidizing operations and improving productivity and injectivity management in carbonate reservoirs with characteristics similar to those of the Brazilian pre-salt province.

2. Methodology

To evaluate the influence of the skin factor on oil recovery and economic performance, ten synthetic reservoir models were constructed using a “layer-cake” representation. Each model was based on porosity and permeability profiles from wells located in Brazilian pre-salt carbonate reservoirs. The total flow capacity (k·h) values used in the simulations were derived from actual well data, as shown in Table 1. This approach allows the models to realistically represent the range of reservoir flow capacity found in pre-salt formations, varying from 3000 to 130,000 mD·m.
The models were designed with one production and one injection well, arranged as a twin-well configuration. Each model contained between 30 and 76 layers, with varying thicknesses (0.55 to 5.15 m), porosity values (0.09 to 0.28), and vertical permeability (3.33 to 192.47 mD). The vertical permeability was set as 10% of the horizontal permeability; this value was set based on literature [16,17,18]. The grid was composed of 255 × 225 cells in the i and j directions, covering an area of 5.74 × 106 m2 fully saturated with oil. Figure 1 shows the grid configuration for reservoir model A, including the arrangement of injector and producer wells (left) and the vertical permeability distribution across 30 layers (right). The color scale indicates permeability (mD), and the layered representation corresponds to the “layer-cake” structure adopted to reproduce the heterogeneity of pre-salt carbonate formations in the skin factor evaluation.
In this study, homogeneous skin values were applied along the entire wellbore for all simulated cases. This procedure isolates the effect of skin factor variation on oil recovery and economic results. For each reservoir model, ten simulation cases were performed with fixed skin factor values of −3, −2, −1, 0, +1, +3, +5, +10, and +20. The minimum skin value was defined based on previous studies [15]. An additional case with a depth-variable skin profile was included to represent the field-derived damage distribution based on completion data. The simulations were conducted under constant boundary conditions for a 30-year production period with water injection. For the injection well, the maximum surface water rate (STW) was set at 10,000 m3/day and the maximum bottom-hole pressure (BHP) at 780 kg/cm2. For the producing well, the maximum total fluid rate (BHF) was set at 10,000 m3/day, with a maximum drawdown pressure (DWA) of 150 kg/cm2, limited by the vertical flow performance of the wells.
To ensure the numerical reliability of the simulations, the cumulative material balance error was monitored for all high-flow capacity cases and remained below 0.01%. This level of numerical accuracy confirms that the small production differences observed are associated with physically consistent reservoir behavior.
The economic assessment was performed using the Net Present Value (NPV) method to quantify the financial impact of skin factor variations on reservoir performance. The NPV represents the difference between the present value of future revenues and the total investment or operational costs, discounted over the project lifetime. In this study, the NPV was simplified to include only the revenue component, as the objective was to quantify the incremental benefit associated with productivity changes resulting from skin factor variations across reservoirs with different flow capacities. For future work, we recommend incorporating CAPEX and operational costs to enable a more comprehensive economic evaluation. The NPV for each simulated case was calculated according to Equation (1), where R t is the annual revenue at year t , i is the annual discount rate, and n is the total project duration in years.
N P V = t = 1 n R t ( 1 + i ) t
The annual revenue was obtained from the simulated oil production multiplied by the assumed oil price. A minimum discount rate of 9% per year and an oil price of USD 55/bbl were adopted. The economic horizon was set at 30 years, corresponding to the reservoir production period used in the numerical simulations.
This approach provides a consistent basis for comparing the relative economic impact of different skin factor conditions on oil recovery. The comparison of NPVs among cases with distinct flow capacities (k·h) allows the identification of the operational ranges where stimulation treatments are economically favorable.

3. Results

This section presents the results for models N (3760 mD·m), Q (61,168 mD·m), and E (128,577 mD·m), followed by a summary of the main findings for all simulated cases. These three models were selected as representative examples of low, intermediate, and high flow capacities, respectively, allowing a comparative assessment of the skin factor influence under different flow capacity conditions. Since the production and injection rates remained consistent across cases where the productivity index allowed operation (limited by the vertical flow performance of the wells), the observed differences in oil recovery among skin factor scenarios are primarily attributed to variations in reservoir sweep efficiency.
Figure 2a–c show the grid representations of models N, Q, and E, respectively. Each model consists of one injector and one producer well positioned diagonally across the grid, with vertical heterogeneity represented by multiple layers of varying permeability. The color scale indicates vertical permeability (mD), increasing from blue (low permeability) to red (high permeability), illustrating the distinct flow capacity ranges of each modeled system.
Model N (Figure 2a) represents a low-flow-capacity system, characterized by a total interval of 61 m distributed across 59 layers with thicknesses ranging from 0.442 to 1.202 m. The formation exhibits low heterogeneity, with permeability values varying from 3.55 to 698.57 mD, and a total flow capacity of 3760 mD·m, which is considered low compared with the other analyzed intervals.
Model Q (Figure 2b) corresponds to a medium-flow-capacity system, consisting of a 92 m interval subdivided into 56 layers with thicknesses between 0.586 and 2.921 m. The formation displays intermediate heterogeneity, with permeability values ranging from 14.99 to 5083.00 mD, resulting in a total flow capacity of 61,168 mD·m.
Model E (Figure 2c) represents a high-flow-capacity system, with an interval of 77 m distributed among 39 layers, whose thicknesses vary from 1.033 to 2.967 m. This formation exhibits high heterogeneity, with permeability values between 120.77 and 3665.26 mD, yielding a total flow capacity of 128,577 mD·m.

3.1. Model N—Low-Flow-Capacity System (3760 mD·m)

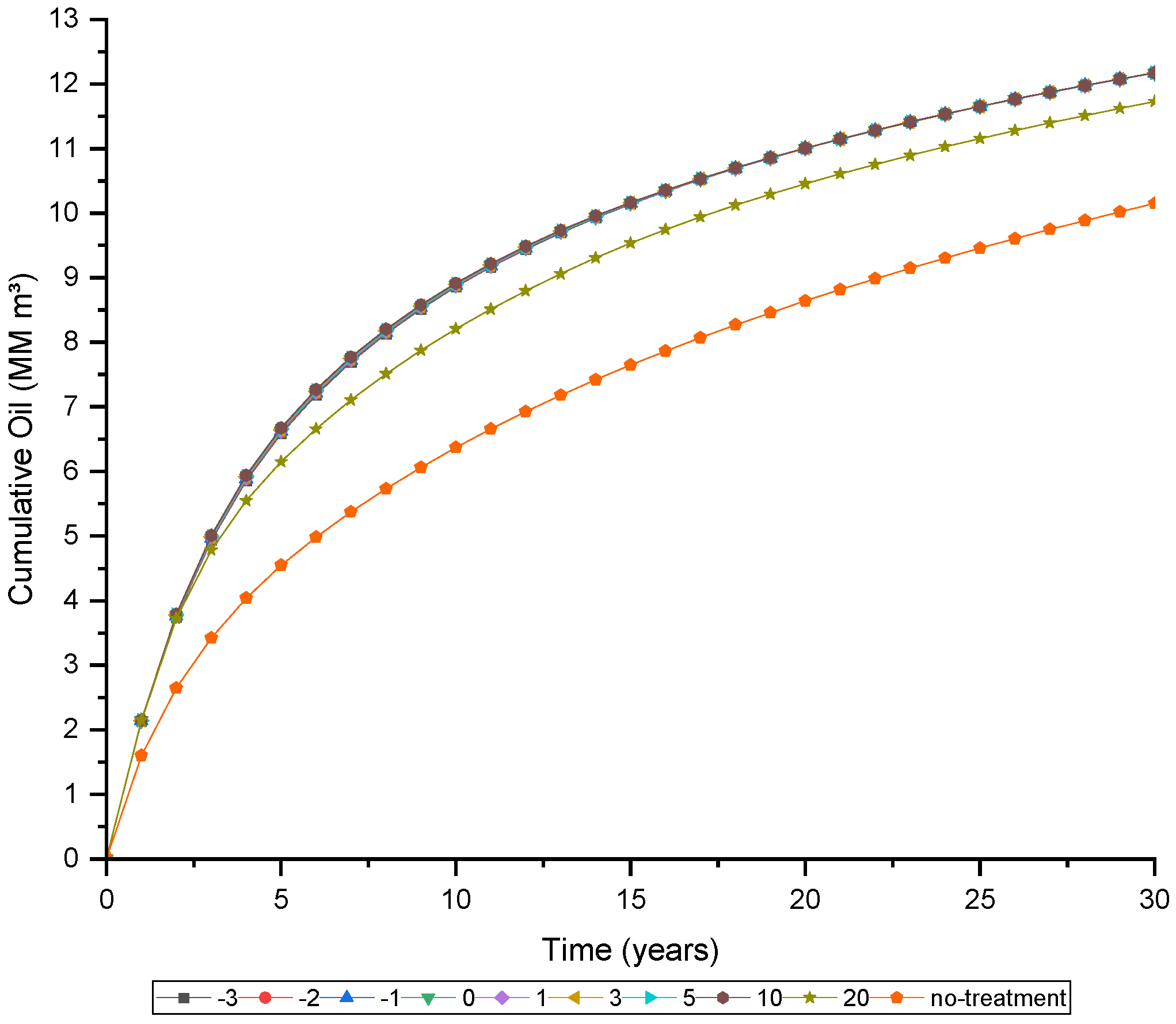
Figure 3 presents the cumulative oil production curves for the different skin factor cases in model N (−3, −2, −1, 0, +1, +3, +5, +10, +20, and the variable skin case representing the initial damage). The results show a clear dependence of production performance on the skin factor value. Wells with negative skin factors, representing stimulated conditions, achieved significantly higher oil recovery compared to undamaged (S = 0) and damaged cases (positive skin values). Conversely, wells with positive skin factors exhibited pronounced productivity losses throughout the 30-year simulation period.
After 10 years of production, the cumulative oil recovery for the most stimulated case (S = −3) reached approximately 4.72 × 106 m3, compared to 3.50 × 106 m3 for the undamaged case (S = 0), corresponding to an increase of 34.7%. Over 30 years, this difference narrowed slightly but remained significant, with respective cumulative productions of 6.21 × 106 m3 and 5.13 × 106 m3, yielding an improvement of 20.9%. In contrast, a damaged well (S = +3) produced only 3.6 × 106 m3 after 30 years, about 30% less than the undamaged case, demonstrating the strong sensitivity of low flow capacity to near-wellbore damage.
The production differences observed in Figure 3 are primarily attributed to variations in injectivity under each skin condition. Figure 4 shows the corresponding water injection rates over the 30-year period. Because of the low-flow-capacity of the formation, the injection well rapidly reached its maximum bottom-hole pressure constraint, particularly in damaged cases, which limited the injected water volume and consequently reduced the displacement efficiency. For instance, the injection rate for the case with S = −3 stabilized around 8000 m3/day, while the damaged case (S = +3) was restricted to less than 2000 m3/day. This severe constraint demonstrates how injectivity loss compromises pressure support and reservoir sweep, directly impacting oil recovery. The economic implications of these performance differences are illustrated in Figure 5, which depicts the net present value (NPV) evolution considering only revenue (discount rate of 9% per year and oil price of USD 55/bbl). The cases with negative skin factors presented markedly superior economic results. After 10 years, the NPV for S = −3 reached approximately USD 1.33 billion, compared with USD 657 million for S = 0, and only USD 326 million for S = +3. This represents a relative increase of 102.8% between the stimulated and moderately damaged wells, equivalent to an economic difference of roughly USD 674 million.
These results indicate that, in low-flow-capacity carbonate systems, even moderate formation damage can substantially compromise injectivity and oil recovery, leading to significant financial losses. Conversely, stimulation treatments that effectively reduce the skin factor can yield large gains in both cumulative recovery and project value, highlighting the economic justification for acidizing operations in low-flow-capacity intervals.

3.2. Model Q—Intermediate-Flow-Capacity System (61,168 mD·m)

Figure 6 presents the cumulative oil production for the different skin factor scenarios in model Q during the 30-year simulation. In contrast to the behavior observed in model N, the oil recovery profiles for cases with skin factors ranging from −3 to +10 showed almost complete overlap, indicating minimal sensitivity of production to the skin factor within this flow capacity range. After 30 years, the cumulative oil production remained between 11.8 × 106 m3 and 11.9 × 106 m3, corresponding to a difference of less than 1%, which is within the numerical uncertainty of the simulation.
Only the cases with severe formation damage (S = +20) or initial damage (variable skin) presented notable deviation, with cumulative production around 9.7 × 106 m3, representing an 18% reduction compared with the undamaged case (S = 0). This behavior suggests that for reservoirs with intermediate flow capacity, small improvements or moderate damage near the wellbore do not substantially affect the global reservoir performance.
The limited variation among the production curves can be attributed to the higher flow capacity of this system, which prevents the injector from reaching the maximum bottom-hole pressure constraint during the project lifetime. Consequently, injection remained stable even in slightly damaged conditions, maintaining efficient displacement and high sweep effectiveness. Only extreme positive skin values restricted injectivity enough to influence recovery.
The corresponding economic results are shown in Figure 7, which depicts the evolution of the Net Present Value (NPV) over time. The cases between S = −3 and S = +10 displayed nearly identical NPV trajectories, differing by less than USD 10 million—equivalent to 0.02% of the project value. In contrast, the highly damaged case (S = +20) exhibited an NPV reduction of approximately USD 180 million compared with the undamaged case. Interestingly, the stimulated case (S = −3) presented a slightly lower NPV (around USD 6 million) relative to S = 0, suggesting that in formations of this flow capacity range, stimulation may not generate measurable economic benefits.
The results for model Q indicate that in intermediate-flow-capacity carbonate systems, the impact of the skin factor on both recovery and project economics is minor unless the formation experiences severe damage. Under such conditions, performing stimulation treatments might not be economically justified, as the reservoir’s natural productivity and injectivity are already sufficient to sustain efficient long-term performance.

3.3. Model E—High-Flow-Capacity System (128,577 mD·m)

Figure 8 presents the cumulative oil production for the different skin factor scenarios in model E over a 30-year period. In this high-flow-capacity system, the results reveal an almost complete overlap among all simulated curves, regardless of the applied skin factor. The cumulative oil production after 30 years shows a difference of only 0.03% between the analyzed cases, confirming that the skin factor has negligible influence on reservoir performance under such favorable flow conditions.
Even the case representing initial damage (variable skin) exhibited no significant deviation from the others, and the small variation observed was within the numerical uncertainty margin of the simulation. It is noteworthy that all cases, from S = −3 to S = +20, whether representing stimulated or damaged wells, achieved nearly identical cumulative oil production over the 30-year period.
In economic terms, the results follow the same trend. As shown in Figure 9, the maximum difference in Net Present Value (NPV) among all cases at the end of the simulation was approximately USD 0.36 million, equivalent to just 0.03% of the total project value. This minimal variation demonstrates that, for systems with high flow capacity, changes in skin factor (positive or negative) do not translate into meaningful economic impacts.
Although these results may appear counterintuitive from a theoretical standpoint, they highlight an important practical implication: as reservoir flow capacity increases, the sensitivity of production performance to skin effects diminishes drastically. Consequently, stimulation treatments in such systems would likely provide no tangible production benefit, and any additional intervention cost would merely reduce the project profitability.

3.4. Comparative Analysis of Reservoirs with Different Flow Capacities

Figure 10 presents the variation in the Net Present Value (ΔNPV) after 30 years as a function of the skin factor for all simulated reservoirs, grouped according to their flow capacities (k·h). This unified representation highlights the transition in stimulation effectiveness across different flow capacity regimes. The horizontal axis was inverted, so movement to the right indicates increasing stimulation intensity (i.e., lower skin values).
For low-flow-capacity systems (k·h < 10,000 mD·m), ΔNPV exhibits a strong dependence on the skin factor. Reducing skin values significantly improves project economics, with gains exceeding USD 600 million compared with damaged conditions (S ≥ +5). This response reflects the high sensitivity of injectivity and productivity to near-wellbore improvements in tight formations, where small permeability enhancements yield large production and economic benefits.
As k·h increases (approximately 10,000–40,000 mD·m), the response to stimulation becomes progressively less pronounced. The ΔNPV curves flatten, indicating that the economic benefit of stimulation falls within the margin of uncertainty (typically below ±5%). In this intermediate regime, stimulation remains technically viable but economically marginal, suggesting that treatment decisions should consider operational risks and cost variability.
For high-flow-capacity reservoirs (k·h > 60,000 mD·m), the ΔNPV approaches zero across all skin values, indicating negligible production and economic impact. These reservoirs already possess sufficient injectivity and productivity to sustain efficient pressure support without near-wellbore enhancement.
Figure 10 highlights that the economic impact of stimulation progressively decreases with increasing reservoir flow capacity. Acidizing provides significant gains in tight formations, becomes marginal in intermediate systems, and shows no measurable benefit in highly transmissible reservoirs, reinforcing the role of flow capacity as a key screening parameter for stimulation design and candidate selection in pre-salt carbonate developments.
Figure 11 summarizes the overall relationship between reservoir flow capacity, the economic impact of stimulation, and the corresponding optimum skin factor for each modeled case. The results indicate a sharp decrease in ΔNPV as flow capacity increases, with stimulation providing substantial economic gains only for low-permeability systems (k·h < 10,000 mD·m). In this range, acidizing yields the highest incremental NPV and the most negative optimum skin values, confirming that production and economic performance are strongly constrained by near-wellbore damage.
As flow capacity increases to intermediate values (10,000 < k·h < 40,000 mD·m), ΔNPV rapidly converges toward zero, and the optimum skin approaches neutral values. For high-flow-capacity systems (k·h > 60,000 mD·m), both ΔNPV and the optimum skin remain close to zero, indicating that further changes in skin have negligible impact on production or economic performance.
It is important to note that these results are derived from deterministic simulations based on synthetic layer-cake reservoir models representative of pre-salt carbonate systems. Field-scale geological complexity, including fracture networks and heterogeneity, may introduce additional variability in optimum skin behavior. Therefore, the trends identified in this study should be interpreted as screening-level guidance rather than direct predictive thresholds for field applications. Nonetheless, the overall trend indicates that, at sufficiently high flow capacity, well performance becomes largely insensitive to the skin factor, making stimulation economically unjustified under these conditions.

3.5. Model Limitations and Applicability

The results presented in this study are subject to limitations associated with the adopted modeling framework. The reservoir description is based on synthetic layer-cake models constructed from well-derived petrophysical data, which allow controlled evaluation of flow capacity and skin effects but do not fully represent the geological complexity typically observed in field-scale carbonate reservoirs. In addition, a uniform skin factor was applied along the wellbore to isolate first-order stimulation effects, whereas actual reservoirs may exhibit depth-dependent skin variations associated with facies heterogeneity, fracture distribution, and completion efficiency.
The economic analysis was intentionally simplified and based exclusively on production revenue, without explicit consideration of stimulation, completion, and operational costs. Furthermore, the evaluation was performed using a single oil price and discount rate, which introduces uncertainty in long-term economic projections. Although this approach provides consistent comparison among cases, future studies incorporating cost modeling and economic sensitivity analysis are recommended to enhance decision-making applicability.
The simulations conducted in this study do not explicitly model reactive transport processes associated with wormhole formation, nor do they account for temporal variations in skin factor during production. The inclusion of these mechanisms could improve the physical representation of stimulation behavior and provide a more realistic assessment of long-term reservoir performance. However, it is important to recognize that wormhole formation occurs at a near-wellbore scale, involving complex reactive flow dynamics that differ significantly from reservoir-scale displacement processes. Coupling reactive acidizing models with full-field reservoir simulations remains numerically challenging due to the strong scale contrast and computational requirements. Therefore, future research integrating reactive flow modeling and time-dependent skin evolution is recommended to strengthen the predictive capability of stimulation performance analyses. Despite these simplifications, the study provides robust first-order screening trends demonstrating the dominant role of flow capacity in controlling stimulation effectiveness. The results should therefore be interpreted as guidance for candidate selection rather than direct quantitative prediction of field performance.

4. Conclusions

This study investigated the influence of the skin factor on oil recovery and economic performance using synthetic reservoir models constructed from well-log data representative of Brazilian pre-salt carbonate formations. Ten models were generated, covering a range of flow capacities (k·h) from 3000 to 130,000 mD·m and skin factors between −3 and +20, simulating 30 years of water injection under deepwater production conditions.
The results demonstrate that the effectiveness of acid stimulation is strongly controlled by reservoir flow capacity. In low-flow-capacity systems (k·h < 10,000 mD·m), stimulation increased cumulative oil recovery by up to 35% and improved the net present value (NPV) by more than 100% relative to untreated or damaged wells. For intermediate flow capacity (10,000 < k·h < 40,000 mD·m), the incremental gains became marginal, typically within ±5%, while at high flow capacity (k·h > 60,000 mD·m), the NPV difference was below 0.03%, indicating that stimulation provides no measurable technical or economic advantage under such favorable flow conditions.
In summary, the simulations reveal a consistent trend in which both the necessity and the effectiveness of stimulation diminish as reservoir flow capacity increases. These findings highlight flow capacity (k·h) as a robust and practical screening criterion for assessing the technical and economic viability of acidizing operations in carbonate reservoirs. The integrated reservoir–economic evaluation framework developed in this work provides a quantitative and reproducible basis for optimizing stimulation strategies in deepwater carbonate systems representative of pre-salt environments.

Author Contributions

E.d.A.A.: conceptualization, methodology, simulations, data curation, and writing—original draft preparation. M.P.S.: conceptualization, methodology, supervision, project administration, and writing—original draft preparation, review, and editing. R.J.L.: conceptualization, methodology, simulations, data curation, and writing—original draft preparation. L.C.B.A.: Simulations, data curation, writing—review and editing. P.T.P.A.: conceptualization, supervision, writing—review and editing, project administration, and funding acquisition. All authors have read and agreed to the published version of the manuscript.

Funding

This research received funding from CENPES/Petrobras (Grant No. 2024/00404-9). P.T.P.A. also acknowledges support from the Brazilian National Council for Scientific and Technological Development (CNPq) under Grants No. 316057/2023-1 and 421302/2025-9.

Data Availability Statement

The data that support the findings of this study are available from the corresponding author, upon request.

Acknowledgments

The authors thank the Science and Petroleum Engineering Lab (LCPetro/UFPA) for the use of their infrastructure, the Federal University of Campina Grande (UFCG) and Petrobras for financial support and CMG (Computer Modelling Group) software (version 2020) and technical support.

Conflicts of Interest

The authors declare no conflicts of interest.

Abbreviations

The following abbreviations are used in this manuscript:
BHPBottom-Hole Pressure
BHFBottom-Hole Flow (rate constraint)
DWADrawdown Pressure
HClHydrochloric Acid
kPermeability
k·hFlow Capacity (permeability–thickness product)
mDMillidarcy
mD·mMillidarcy meter
MMmillion
NPVNet Present Value
SSkin Factor
STWSurface Total Water rate
USDUnited States Dollar

References

  1. Cao, J.; Zhang, N.; Johansen, T.E. Applications of Fully Coupled Well/near-Well Modeling to Reservoir Heterogeneity and Formation Damage Effects. J. Pet. Sci. Eng. 2019, 176, 640–652. [Google Scholar] [CrossRef]
  2. Liu, X.; Civan, F. Formation Damage and Skin Factor Due to Filter Cake Formation and Fines Migration in the Near-Wellbore Region. In Proceedings of the SPE International Symposium on Formation Damage Control, Lafayette, LA, USA, 7–10 February 1994; pp. 259–273. [Google Scholar] [CrossRef]
  3. Fredd, C.N. Dynamic Model of Wormhole Formation Demonstrates Conditions for Effective Skin Reduction During Carbonate Matrix Acidizing. In Proceedings of the SPE Permian Basin Oil and Gas Recovery Conference, Midland, TX, USA, 21 March 2000. [Google Scholar] [CrossRef]
  4. Xu, N.; Wang, Y. Effect of Nanomaterials on Improving the Apparent Viscosity of Heavy Oil and the Environmental Evaluation of Reservoir Environment. Reserv. Sci. 2026, 2, 1–15. [Google Scholar] [CrossRef]
  5. Wang, F.; Kobina, F. The Influence of Geological Factors and Transmission Fluids on the Exploitation of Reservoir Geothermal Resources: Factor Discussion and Mechanism Analysis. Reserv. Sci. 2025, 1, 3–18. [Google Scholar] [CrossRef]
  6. de Freitas, V.A.; dos Vital, J.C.S.; Rodrigues, B.R.; Rodrigues, R. Source Rock Potential, Main Depocenters, and CO2 Occurrence in the Pre-Salt Section of Santos Basin, Southeast Brazil. J. S. Am. Earth Sci. 2022, 115, 103760. [Google Scholar] [CrossRef]
  7. Pepin, A.; Bize-Forest, N.; Padilla, S.J.M.; Abad, C.; Schlicht, P.; De Castro Machado, A.; Lima, I.; De Paiva Teles, A.; Lopes, R.T. Pre-Salt Carbonate Reservoir Analog Selection for Stimulation Optimization. In Society of Petroleum Engineers—International Petroleum Technology Conference 2014, IPTC 2014—Innovation and Collaboration: Keys to Affordable Energy; IPTC: London, UK, 2014; Volume 4, pp. 2804–2825. [Google Scholar] [CrossRef]
  8. Schnitzler, E.; Gonçalez, L.F.; Roman, R.S.; da Silva Filho, D.A.S.; Marques, M.; Esquassante, R.C.; Denadai, N.J.; da Silva, M.F.; Gutterres, F.R.; Gozzi, D.S. 100th Intelligent Completion Installation: A Milestone in Brazilian Pre-Salt Development. In Proceedings—SPE Annual Technical Conference and Exhibition; SPE: Richardson, TX, USA, 2019; Volume 2019. [Google Scholar] [CrossRef]
  9. Ceia, M.; Missagia, R.; Archilha, N.; Baggieri, R.; Santos, V.; Fidelis, S.; Oliveira, L.; Lima Neto, I. Petrophysical Characterization of Lagoa Salgada’ Stromatolites—A Brazilian Pre-Salt Analog. J. Pet. Sci. Eng. 2022, 218, 111012. [Google Scholar] [CrossRef]
  10. Gavidia, J.C.R.; Chinelatto, G.F.; Basso, M.; Souza, J.P.d.P.; Soltanmohammadi, R.; Vidal, A.C.; Goldstein, R.H.; Mohammadizadeh, S. Utilizing integrated artificial intelligence for characterizing mineralogy and facies in a pre-salt carbonate reservoir, Santos Basin, Brazil, using cores, wireline logs, and multi-mineral petrophysical evaluation. Geoenergy Sci. Eng. 2023, 231, 212303. [Google Scholar] [CrossRef]
  11. Herlinger, R.; Zambonato, E.E.; De Ros, L.F. Influence of Diagenesis on the Quality of Lower Cretaceous Pre-Salt Lacustrine Carbonate Reservoirs from Northern Campos Basin, Offshore Brazil. J. Sediment. Res. 2017, 87, 1285–1313. [Google Scholar] [CrossRef]
  12. Parandeh, M.; Dehkohneh, H.Z.; Soulgani, B.S. Experimental Investigation of the Acidizing Effects on the Mechanical Properties of Carbonated Rocks. Geoenergy Sci. Eng. 2023, 222, 211447. [Google Scholar] [CrossRef]
  13. dos Lucas, C.R.S.; Neyra, J.R.; Araújo, E.A.; da Silva, D.N.N.; Lima, M.A.; Miranda Ribeiro, D.A.; Pandava Aum, P.T. Carbonate Acidizing—A Review on Influencing Parameters of Wormholes Formation. J. Pet. Sci. Eng. 2023, 220, 111168. [Google Scholar] [CrossRef]
  14. Galvao, M.S.; Guimaraes, C.S. A New Method For Calculating Individual Layer Permeability and Skin in a Multilayered Reservoir Using Production Logging Data: The Delta Transient Method. In Proceedings of the SPE Latin America and Caribbean Mature Fields Symposium, Salvador, BA, Brazil, 15–16 March 2017; SPE: Richardson, TX, USA, 2017. [Google Scholar]
  15. de Araújo, E.A.; Schwalbert, M.P.; Leitão, R.J.; Aum, P.T.P. Influence of Matrix-Acidizing Design on Oil Recovery and Economics in Carbonate Reservoirs Undergoing Waterflooding Offshore in Brazil. Energies 2024, 17, 883. [Google Scholar] [CrossRef]
  16. Barillas, J.L.M.; Dutra, T.V.; Mata, W. Reservoir and Operational Parameters Influence in SAGD Process. J. Pet. Sci. Eng. 2006, 54, 34–42. [Google Scholar] [CrossRef]
  17. Fernandes, G.M.D.; Araújo, E.A.; Aum, P.T.P.; Diniz, A.A.R.; Barillas, J.L.M. Analysis of different oil-well configurations in the sagd process considering pressure drop and heat loss in the injection well. Braz. J. Pet. Gas 2019, 13, 103–109. [Google Scholar] [CrossRef]
  18. Bautista, E.V.; Barillas, J.L.M.; Dutra, T.V.; da Mata, W. Capillary, Viscous and Gravity Forces in Gas-Assisted Gravity Drainage. J. Pet. Sci. Eng. 2014, 122, 754–760. [Google Scholar] [CrossRef]
Figure 1. Reservoir model A used in the numerical simulations. Injetor—injector; produtor—producer.
Figure 1. Reservoir model A used in the numerical simulations. Injetor—injector; produtor—producer.
Energies 19 01039 g001
Figure 2. Grid configuration and vertical permeability distribution for the representative reservoir models used in the simulations: (a) model N (3760 mD·m), (b) model Q (61,168 mD·m), and (c) model E (128,577 mD·m). The color scale represents the vertical permeability (mD), increasing from blue (low permeability) to red (high permeability). Injetor—injector; produtor—producer.
Figure 2. Grid configuration and vertical permeability distribution for the representative reservoir models used in the simulations: (a) model N (3760 mD·m), (b) model Q (61,168 mD·m), and (c) model E (128,577 mD·m). The color scale represents the vertical permeability (mD), increasing from blue (low permeability) to red (high permeability). Injetor—injector; produtor—producer.
Energies 19 01039 g002
Figure 3. Cumulative oil production for the different skin factor cases in model N over a 30-year period.
Figure 3. Cumulative oil production for the different skin factor cases in model N over a 30-year period.
Energies 19 01039 g003
Figure 4. Water injection rate evolution for model N, highlighting injectivity constraints under different skin conditions.
Figure 4. Water injection rate evolution for model N, highlighting injectivity constraints under different skin conditions.
Energies 19 01039 g004
Figure 5. Net present value (NPV) as a function of time for model N (discount rate = 9% per year, oil price = USD 55/bbl).
Figure 5. Net present value (NPV) as a function of time for model N (discount rate = 9% per year, oil price = USD 55/bbl).
Energies 19 01039 g005
Figure 6. Cumulative oil production for model Q under different skin factor scenarios over 30 years.
Figure 6. Cumulative oil production for model Q under different skin factor scenarios over 30 years.
Energies 19 01039 g006
Figure 7. Net Present Value (NPV) evolution for model Q, assuming an oil price of USD 55/bbl and a 9% annual discount rate.
Figure 7. Net Present Value (NPV) evolution for model Q, assuming an oil price of USD 55/bbl and a 9% annual discount rate.
Energies 19 01039 g007
Figure 8. Accumulated oil production from well E over a period of 30 years.
Figure 8. Accumulated oil production from well E over a period of 30 years.
Energies 19 01039 g008
Figure 9. Difference between cases with negative skin versus case with zero skin (revenue only) for cases studied in well E (interest rate = 9% year; USD 55/barrel).
Figure 9. Difference between cases with negative skin versus case with zero skin (revenue only) for cases studied in well E (interest rate = 9% year; USD 55/barrel).
Energies 19 01039 g009
Figure 10. Variation in the Net Present Value (ΔNPV in MM USD/m) after 30 years as a function of the skin factor for reservoirs with different flow capacity (k·h): (a) low-to-intermediate (3000–15,000 mD·m) and (b) high (40,000–130,000 mD·m).
Figure 10. Variation in the Net Present Value (ΔNPV in MM USD/m) after 30 years as a function of the skin factor for reservoirs with different flow capacity (k·h): (a) low-to-intermediate (3000–15,000 mD·m) and (b) high (40,000–130,000 mD·m).
Energies 19 01039 g010
Figure 11. Relationship between reservoir flow capacity (k·h), ΔNPV (USD MM) after 30 years, and optimum skin factor for each model.
Figure 11. Relationship between reservoir flow capacity (k·h), ΔNPV (USD MM) after 30 years, and optimum skin factor for each model.
Energies 19 01039 g011
Table 1. Characteristics of the reservoir intervals used in the simulation study.
Table 1. Characteristics of the reservoir intervals used in the simulation study.
N.Reservoir Modelk·h (mD·m)h (m)No. of LayersOriginal SkinAverage
Porosity (%)
Average
Permeability (md)
1A3221733011.62157
2N3760615917.0724
3F91522603818.01144
4H12,2011167619.9829
5L13,145504626.9711
6C15,0851104419.21130
7J42,0391256027.414936
8Q61,168925634.013286
9B92,4021395329.8142132
10E128,557773946.4151790
Disclaimer/Publisher’s Note: The statements, opinions and data contained in all publications are solely those of the individual author(s) and contributor(s) and not of MDPI and/or the editor(s). MDPI and/or the editor(s) disclaim responsibility for any injury to people or property resulting from any ideas, methods, instructions or products referred to in the content.

Share and Cite

MDPI and ACS Style

Araújo, E.d.A.; Schwalbert, M.P.; Leitão, R.J.; Aum, L.C.B.; Aum, P.T.P. Influence of Skin Factor on Oil Recovery and Economic Performance in Synthetic Layered Carbonate Models Based on Pre-Salt Well Profiles. Energies 2026, 19, 1039. https://doi.org/10.3390/en19041039

AMA Style

Araújo EdA, Schwalbert MP, Leitão RJ, Aum LCB, Aum PTP. Influence of Skin Factor on Oil Recovery and Economic Performance in Synthetic Layered Carbonate Models Based on Pre-Salt Well Profiles. Energies. 2026; 19(4):1039. https://doi.org/10.3390/en19041039

Chicago/Turabian Style

Araújo, Edson de Andrade, Mateus Palharini Schwalbert, Rafael Japiassú Leitão, Lorena Cardoso Batista Aum, and Pedro Tupã Pandava Aum. 2026. "Influence of Skin Factor on Oil Recovery and Economic Performance in Synthetic Layered Carbonate Models Based on Pre-Salt Well Profiles" Energies 19, no. 4: 1039. https://doi.org/10.3390/en19041039

APA Style

Araújo, E. d. A., Schwalbert, M. P., Leitão, R. J., Aum, L. C. B., & Aum, P. T. P. (2026). Influence of Skin Factor on Oil Recovery and Economic Performance in Synthetic Layered Carbonate Models Based on Pre-Salt Well Profiles. Energies, 19(4), 1039. https://doi.org/10.3390/en19041039

Note that from the first issue of 2016, this journal uses article numbers instead of page numbers. See further details here.

Article Metrics

Back to TopTop