A Distributed Energy Storage-Based Planning Method for Enhancing Distribution Network Resilience
Abstract
1. Introduction
1.1. Motivation
1.2. Literature Review and Research Gaps
1.3. Contributions and Paper Structure
2. Evaluation Framework for Highly Resilient Active Distribution Networks
3. Methods for Grid Resilience Enhancement Using Distributed Energy Storage
3.1. Construction of a Set of Demand Indicators
3.1.1. Efficiency Indicators
3.1.2. High-Quality Performance Indicators
3.2. Calculation Extraction of Typical Scenic Output Scenes Based on Improved GMM Algorithm
- (a)
- GMM clustering model
- (b)
- Parameter initialisation
- (c)
- Optimal number of clusters determined
3.3. Construction of Priority Indices
3.4. Case Studies
3.4.1. Basic Overview
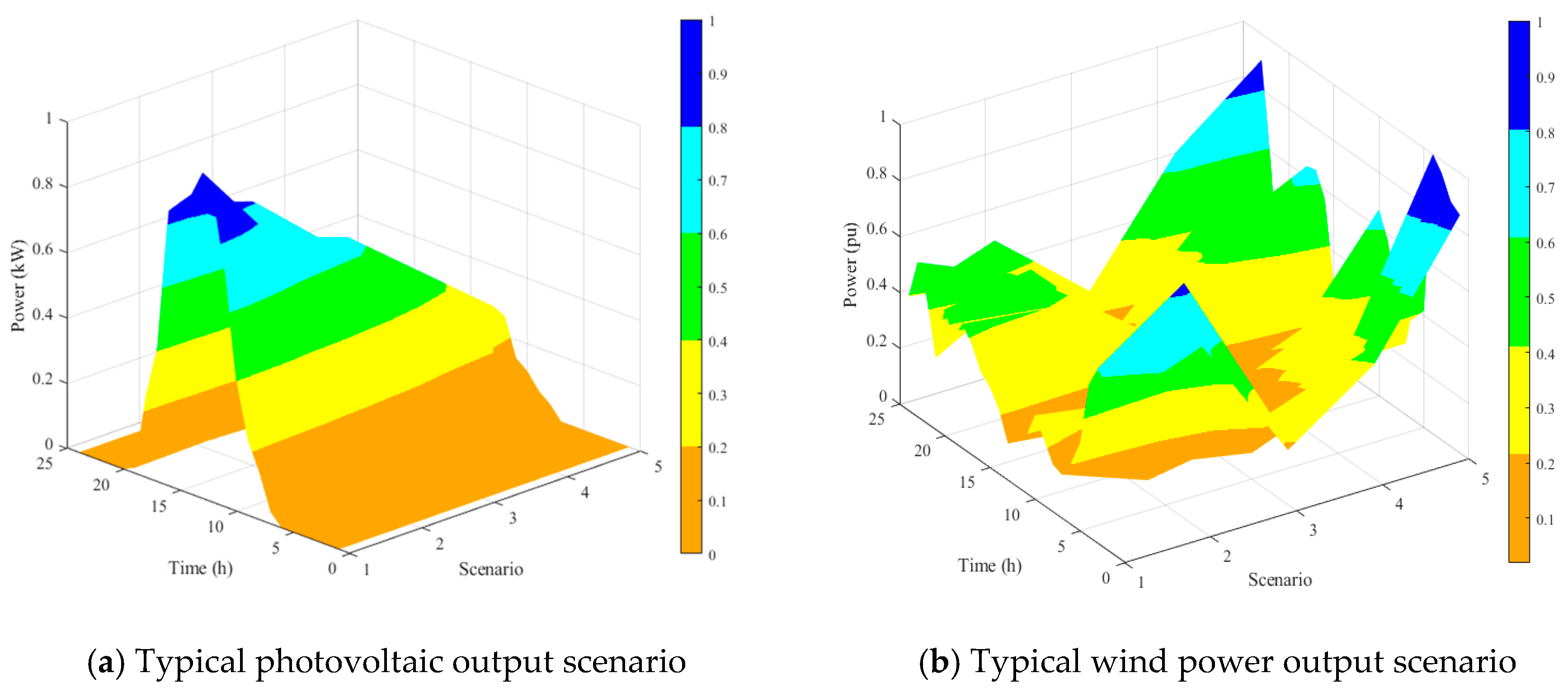
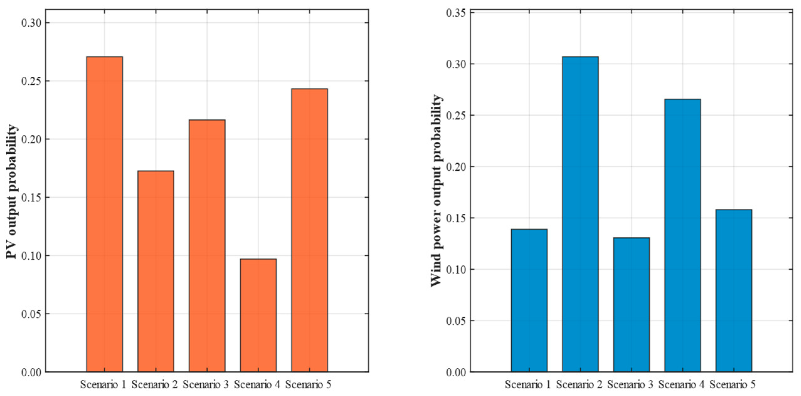
3.4.2. Typical Scenario Generation for Wind and Solar Power Output
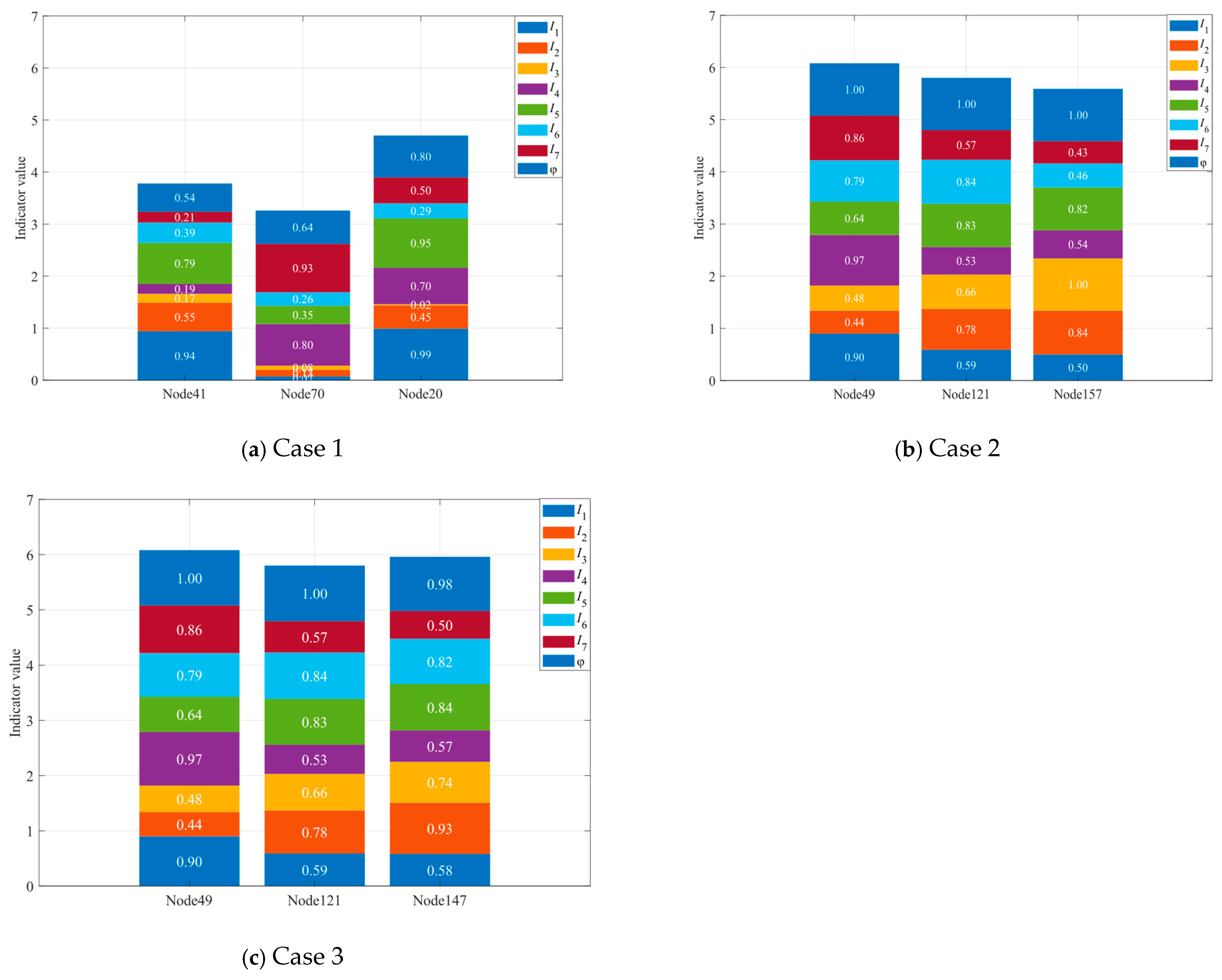
3.4.3. Priority Index Construction Results
3.4.4. Matching Results for Each Block
4. Multi-Objective Energy Storage Planning Based on Sequential Optimisation
4.1. DESS Sequential Planning Solution Process
4.2. DESS Multi-Objective Capacity Allocation Model
4.2.1. Objective Function
4.2.2. Constraint Conditions
4.3. Case Settings and Results
5. Multi-Dimensional Evaluation for Distribution Network Performance Enhancement
Case Settings and Results
6. Conclusions
Author Contributions
Funding
Data Availability Statement
Conflicts of Interest
References
- Wang, Z.; Liu, G.; Pang, D.; Wang, Y.; Yu, B.; Wang, Z. Optimal operation of flexible interconnected distribution grids based on improved virtual synchronous control techniques. Front. Energy Res. 2024, 12, 1356227. [Google Scholar] [CrossRef]
- Jiang, L.; Wang, C.; Qiu, W.; Xiao, H.; Hu, W. Research on Power Supply Restoration in Flexible Interconnected Distribution Networks Considering Wind–Solar Uncertainties. Energies 2025, 18, 6051. [Google Scholar] [CrossRef]
- Jia, Y.; Wan, C.; Cui, W.; Song, Y.; Ju, P. Peer-to-peer energy trading using prediction intervals of renewable energy generation. IEEE Trans. Smart Grid 2023, 14, 1454–1465. [Google Scholar]
- Zhao, C.; Duan, Q.; Lu, J.; Wang, H.; Sha, G.; Jia, J.; Zhou, Q. Coordinated Optimization Method for Distributed Energy Storage and Dynamic Reconfiguration to Enhance the Economy and Reliability of Distribution Network. Energies 2024, 17, 6040. [Google Scholar] [CrossRef]
- Fang, J.; Pei, Z.; Chen, T.; Peng, Z.; Kong, S.; Chen, J.; Huang, S. Economic benefit evaluation model of distributed energy storage system considering custom power services. Front. Energy Res. 2023, 10, 1029479. [Google Scholar] [CrossRef]
- Ding, Q.; Zeng, P.; Sun, Y.; Xu, C.; Xu, Z. A planning method for the placement and sizing of distributed energy storage system considering the uncertainty of renewable energy sources. Energy Storage Sci. Technol. 2020, 9, 162–169. [Google Scholar]
- Lei, Y.; Ji, L.; Wang, W. Spatial structure and influencing factors of China’s energy storage technology transfer network. J. Energy Storage 2025, 107, 114791. [Google Scholar]
- Li, J.; Ma, H.; Hui, D. Present development condition and trends of energy storage technology in the integration of distributed renewable energy. Trans. China Electrotechn. Soc. 2016, 31, 1–10. [Google Scholar]
- Li, J.; Zhao, T.; Sun, D.; Ma, J.; Yu, H.; Yan, G.; Zhu, X.; Li, C. Multi-layer optimization method for siting and sizing of distributed energy storage in distribution networks based on cluster partition. J. Clean. Prod. 2025, 501, 145260. [Google Scholar] [CrossRef]
- Shi, J.; Zhou, J.; Zhang, Z.; Liu, Q.; Cheng, Q.; Cheng, S.; Ren, L.; Yang, Z. Energy storage system configuration in power distribution network considering partitioned resource coordination. Electr. Power Syst. Res. 2025, 248, 111961. [Google Scholar] [CrossRef]
- Ma, C.; Xiong, W.; Tang, Z.; Li, Z.; Xiong, Y.; Wang, Q. A Hierarchical Voltage Control Strategy for Distribution Networks Using Distributed Energy Storage. Electronics 2025, 14, 1888. [Google Scholar] [CrossRef]
- Zhao, B.; Ren, J.; Chen, J.; Lin, D.; Qin, R. Tri-level robust planning-operation co-optimization of distributed energy storage in distribution networks with high PV penetration. Appl. Energy 2020, 279, 115768. [Google Scholar] [CrossRef]
- Xu, Z.; Tang, Z.; Chen, Y.; Liu, Y.; Gao, H.; Xu, X. Optimal robust allocation of distributed modular energy storage systems in active low-voltage distribution networks for voltage regulation. Appl. Energy 2025, 359, 122012. [Google Scholar]
- Shi, B.; Xiao, C.L.; Peng, K.; Feng, L.; Chen, J.J.; Zhang, X.H. Bi-level joint expansion planning strategy for distribution network with source-storage systems based on cluster partition. Autom. Electr. Power Syst. 2023, 47, 43–51. [Google Scholar]
- Su, X.; Chen, S.; Mi, Y.; Fu, Y.; Shahnia, F. A chronological sensitivity-based approach for BESSs placement in unbalanced distribution feeders. In Proceedings of the 2019 IEEE Power & Energy Society General Meeting (PESGM), Atlanta, GA, USA, 4–8 August 2019; pp. 1–5. [Google Scholar]
- Chen, C.; Hong, L.; Chen, Y.; Tan, Q.; Li, L.; Wang, W. Optimal configuration of distributed energy storage considering intending island recovery in faulty distribution networks. Int. J. Electr. Power Energy Syst. 2024, 158, 109982. [Google Scholar] [CrossRef]
- Hong, L.; Li, Y.; Gu, Y.; Ji, G. A New Sequential Optimal Placement Method for Distributed Grid Energy Storage Systems. Int. Trans. Electr. Energy Syst. 2021, 31, e13130. [Google Scholar] [CrossRef]
- Su, X.; Chen, S.; Mi, Y.; Fu, Y. Sequential and optimal placement of distributed battery energy storage systems within unbalanced distribution networks hosting high renewable penetrations. Power Syst. Technol. 2019, 43, 3698–3707. [Google Scholar]
- Du, P.; Mi, Z.; Jia, Y.; Lin, L. Optimal placement and capacity of distributed energy storage in distribution system based on the sensitivity variance of network loss. Power Syst. Prot. Control 2019, 47, 103–109. [Google Scholar]
- Zhang, Y.; Liu, X.; Wang, J.; Chen, H. Staged Siting and Sizing of Distributed Energy Storage Systems Based on Integrated Power-Flow Sensitivity Variance. Energies 2024, 17, 6325. [Google Scholar]
- Zheng, K.; Sun, Z.; Song, Y.; Zhang, C.; Zhang, C.; Chang, F.; Yang, D.; Fu, X. Stochastic scenario generation methods for uncertainty in wind and photovoltaic power outputs: A comprehensive review. Energies 2025, 18, 503. [Google Scholar] [CrossRef]
- Peng, K.; Tan, X.; Wang, Z.; Wu, Y.; Cai, Y. Photovoltaic power prediction based on feature selection and GMM clustering. J. Phys. Conf. Ser. 2024, 2683, 012012. [Google Scholar] [CrossRef]
- Ren, S.; Yang, T.; Luo, J.; Wu, G.; Mao, K.; Liu, B. Performance Evaluation of Photovoltaic Scenario Generation. Front. Phys. 2025, 13, 1534629. [Google Scholar] [CrossRef]
- Huang, W.; Chen, G.; Jiang, X.; Xiao, X.; Chen, Y.; Liu, C. A Fault Recovery Scheme for Active Distribution Networks Based on the Chaotic Binary Sparrow Search Algorithm Considering Operational Risks. Processes 2025, 13, 2128. [Google Scholar] [CrossRef]
- Muros, F.J.; Saracho, D.; Maestre, J.M. Improving supply quality in distribution power networks: A game-theoretic planning approach. Electr. Power Syst. Res. 2022, 213, 108666. [Google Scholar] [CrossRef]
- Jiang, L.; Wang, C.; Qiu, W.; Xiao, H.; Hu, W. A Flexible Interconnected Distribution Network Power Supply Restoration Method Based on E-SOP. Energies 2025, 18, 954. [Google Scholar] [CrossRef]
- Zhou, K.; Fei, Z.; Lu, X. Optimal Energy Management of Internet Data Center with Distributed Energy Resources. IEEE Trans. Cloud Comput. 2023, 11, 2285–2295. [Google Scholar] [CrossRef]
- Mitra, P.; Vittal, V.; Pourbeik, P.; Gaikwad, A. Load Sensitivity Studies in Power Systems With Non-Smooth Load Behavior. IEEE Trans. Power Syst. 2017, 32, 705–714. [Google Scholar] [CrossRef]
- Wang, Y.; Xiao, J.; Cao, Y. Analysis on accommodation capability of intermittent distributed generation in flexible distribution network. Autom. Electr. Power Syst. 2022, 46, 74–83. [Google Scholar]
- Savina, N.V.; Myasoedov, Y.V.; Myasoedova, L.A. Influence of Quality of the Electric Energy on Reliability of Electrical Supply Systems. In Proceedings of the 2018 International Multi-Conference on Industrial Engineering and Modern Technologies (FarEastCon), Vladivostok, Russia, 2–4 October 2018; pp. 1–5. [Google Scholar] [CrossRef]
- Drouineau, M.; Maïzi, N.; Mazauric, V. Impacts of intermittent sources on the quality of power supply: The key role of reliability indicators. Appl. Energy 2014, 116, 333–343. [Google Scholar] [CrossRef]
- Sudta, P.; Singh, J.G. An approach to prosumer modeling and financial assessment with load clustering algorithm in an active power distribution network. Sustain. Energy Grids Netw. 2024, 38, 101249. [Google Scholar] [CrossRef]
- Li, H.; Ren, Z.; Hu, B.; Wang, Q.; Li, W. A sequential generative adversarial network based monthly scenario analysis method for wind and photovoltaic power. Proc. CSEE 2022, 42, 537–548. [Google Scholar]
- Yu, H.; Gao, Y.H.; Pan, X.X.; Xu, Y.H.; Li, X.S.; Sun, Y.H. Substation load clustering algorithm based on improved Gaussian mixture model. Glob. Energy Interconn. 2024, 7, 591–601. [Google Scholar]
- Alkan, N. Evaluation of sustainable development and utilization-oriented renewable energy systems based on CRITIC-SWARA-CODAS method using interval valued picture fuzzy sets. Sustain. Energy Grids Netw. 2024, 38, 101263. [Google Scholar] [CrossRef]
- DL/T 5729-2023; Guide for Distribution Network Planning and Design. National Energy Administration of China: Beijing, China, 2023.
- Li, Y.; Wang, W.; Kou, Y.; Zhu, S. Economic operation of integrated energy system considering green certificate-carbon joint trading and demand response. Acta Energiae Solaris Sin. 2023, 44, 538–546. [Google Scholar]
















| Ref. | Network Scale/Structure | Node Priority Evaluation | Planning Strategy | Considered Objectives | Renewable Uncertainty Modeling | System-Level Evaluation |
|---|---|---|---|---|---|---|
| [8,9] | Cluster-based DN | No | Bi-level/two-tier planning | Cost, power complementarity | No | No |
| [10,11] | DN with high RES | No | DESS-based coordinated voltage regulation | Voltage regulation | No | No |
| [12] | System-level DN with DG–DESS | No | Bi-level coordinated expansion planning | Investment and operation cost | No | Yes |
| [13,14,15] | Unbalanced DN | Yes (voltage sensitivity) | Sequential placement | Voltage/loss | No | No |
| [16,17,18] | DN with high DG | Yes (loss sensitivity variance) | Sequential optimization | Loss, capacity | No | No |
| [19,20,21,22] | Wind/PV uncertainty modeling | No | Scenario generation and evaluation | Uncertainty characterization | Yes | No |
| This paper | Grid–block–node DN | Yes (multi-dimensional priority index) | Priority-guided sequential allocation | Economy, resilience, RES integration | Yes | Yes |
| Quality Demand Indicators | Indicator Name | Meaning of Indicators |
|---|---|---|
| Reliability of power supply needs | I1: Expectation of power supply reliability | The difference between the actual power supply reliability and the expected reliability within the statistical time |
| I2: Primary load share | During the statistical period, the proportion of primary load in the supply area to the total load. | |
| I3: Value of loss per unit of electricity shortage | During the statistical period, the ratio of GDP to total electricity consumption in the supply area | |
| Electricity quality needs | I4: Frequency nonconformance rate | The ratio of time when the power supply frequency exceeds the allowable range to the total statistical time. |
| I5: Voltage deviation | The ratio of actual voltage to rated voltage within the specified time period. | |
| I6: Peak-to-valley difference | The ratio of the peak-to-valley difference to the maximum load over the statistical time period | |
| Quality service needs | I7: Number of complaints | Total number of reliability-related customer complaints in the supply area during the statistical period, including outage complaints, power quality complaints |
| Stage | Input | Method/Tool | Output | Related Section |
|---|---|---|---|---|
| Demand evaluation framework | Grid security, reliability, power quality, efficiency requirements | Node–block–grid evaluation framework | Demand dimensions and indicator categories | Section 2 |
| Priority evaluation | Demand indicators | Priority index model (Critic-based weighting) | Priority indices | Section 3 |
| DESS planning | Priority indices | Multi-objective optimization (Python, Gurobi) | DESS locations and capacities | Section 4.2/Table 4 |
| Electrical evaluation | DESS configuration | Power system simulation | P–V, frequency, voltage metrics | Table 5 |
| Case comparison | Planning results | Comparative analysis | Case-level insights | Section 4.3 |
| Parameter | Numerical Value |
|---|---|
| Cost per unit capacity/(CNY·(kW)-1) | 2000 |
| Unit power cost/(CNY·(kW)-1) | 600 |
| Annual O&M cost per unit of capacity/(CNY·(kW)-1) | 10 |
| Annual O&M cost per unit of power/(CNY·(kW)-1) | 90 |
| Charge and discharge efficiency | 0.95 |
| Energy storage upper limit factor and lower limit factor | 0.9, 0.2 |
| Service life/year | 12 |
| Case | 1 | 2 | 3 |
|---|---|---|---|
| Average primary load share | 0.33 | 0.60 | 0.62 |
| Maintenance cost/(CNY/year) | 443,400 | 732,600 | 762,600 |
| Economic benefits/(CNY/year) | 136,300 | 455,900 | 865,200 |
| Configure energy storage nodes | 20,41,70 | 49,121,157 | 49,121,147 |
| Installation capacity/(kW·h) | 632,605,498 | 733,1166,1076 | 733,1166,1176 |
| Belonging Block | 7,20,32 | 26,21 | 26,21,15 |
| Case | Block | Load Type | Node | Original P–V (%) | Current P–V (%) | Freq. Violation (%) | Voltage Deviation (%) |
|---|---|---|---|---|---|---|---|
| 1 | 7 | Residential | 20 | 70.9 | 21.9 | 7.960 | 3.490 |
| 20 | Residential | 41 | 75.2 | 24.1 | 1.900 | 7.810 | |
| 32 | Residential | 70 | 72.0 | 30.6 | 6.950 | 9.490 | |
| 2 | 26 | Residential | 49 | 74.9 | 36.9 | 9.700 | 6.330 |
| 21 | Industrial | 121 | 79.2 | 43.0 | 5.340 | 8.230 | |
| 21 | Commercial | 157 | 77.3 | 34.0 | 5.410 | 8.140 | |
| 3 | 26 | Residential | 49 | 74.9 | 36.9 | 9.700 | 6.330 |
| 21 | Industrial | 121 | 79.2 | 43.0 | 5.340 | 8.230 | |
| 15 | Commercial | 147 | 75.1 | 38.2 | 6.030 | 8.540 |
Disclaimer/Publisher’s Note: The statements, opinions and data contained in all publications are solely those of the individual author(s) and contributor(s) and not of MDPI and/or the editor(s). MDPI and/or the editor(s) disclaim responsibility for any injury to people or property resulting from any ideas, methods, instructions or products referred to in the content. |
© 2026 by the authors. Licensee MDPI, Basel, Switzerland. This article is an open access article distributed under the terms and conditions of the Creative Commons Attribution (CC BY) license.
Share and Cite
Chen, Y.; Shi, Q.; Tang, B.; Zhang, Y.; Wang, H. A Distributed Energy Storage-Based Planning Method for Enhancing Distribution Network Resilience. Energies 2026, 19, 574. https://doi.org/10.3390/en19020574
Chen Y, Shi Q, Tang B, Zhang Y, Wang H. A Distributed Energy Storage-Based Planning Method for Enhancing Distribution Network Resilience. Energies. 2026; 19(2):574. https://doi.org/10.3390/en19020574
Chicago/Turabian StyleChen, Yitong, Qinlin Shi, Bo Tang, Yu Zhang, and Haojing Wang. 2026. "A Distributed Energy Storage-Based Planning Method for Enhancing Distribution Network Resilience" Energies 19, no. 2: 574. https://doi.org/10.3390/en19020574
APA StyleChen, Y., Shi, Q., Tang, B., Zhang, Y., & Wang, H. (2026). A Distributed Energy Storage-Based Planning Method for Enhancing Distribution Network Resilience. Energies, 19(2), 574. https://doi.org/10.3390/en19020574
