The Influence of Injection Modes on CO2 Flooding and Storage in Low-Permeability Reservoirs
Abstract
1. Introduction
2. CO2 Flooding and Storage Experiments
2.1. Experimental Samples and Equipment
2.1.1. Core Samples
2.1.2. Experimental Fluids
2.1.3. Experimental Equipment
2.2. Experimental Methods
- (1)
- Preparation of simulated oil and simulated formation water based on the composition of the reservoir crude oil and formation water.
- (2)
- The long core was placed into the core holder and vacuumed to saturate the simulated formation water, followed by oil flooding to establish irreducible water saturation. The system was then aged at constant temperature for 24 h.
- (3)
- Conducting CO2 flooding and storage experiments under different schemes:
- ①
- For immiscible, near-miscible, and miscible flooding: Back pressures were set at 20 MPa, 25 MPa, and 30 MPa, respectively. CO2 was injected at a rate of 0.05 mL/min until oil production ceased at the core outlet.
- ②
- For miscible WAG flooding: The back pressure was set at 30 MPa. CO2 and water slugs were injected alternately at a rate of 0.05 mL/min with an interval of 0.1 pore volume (PV) until oil production ceased at the core outlet.
3. Results and Discussion
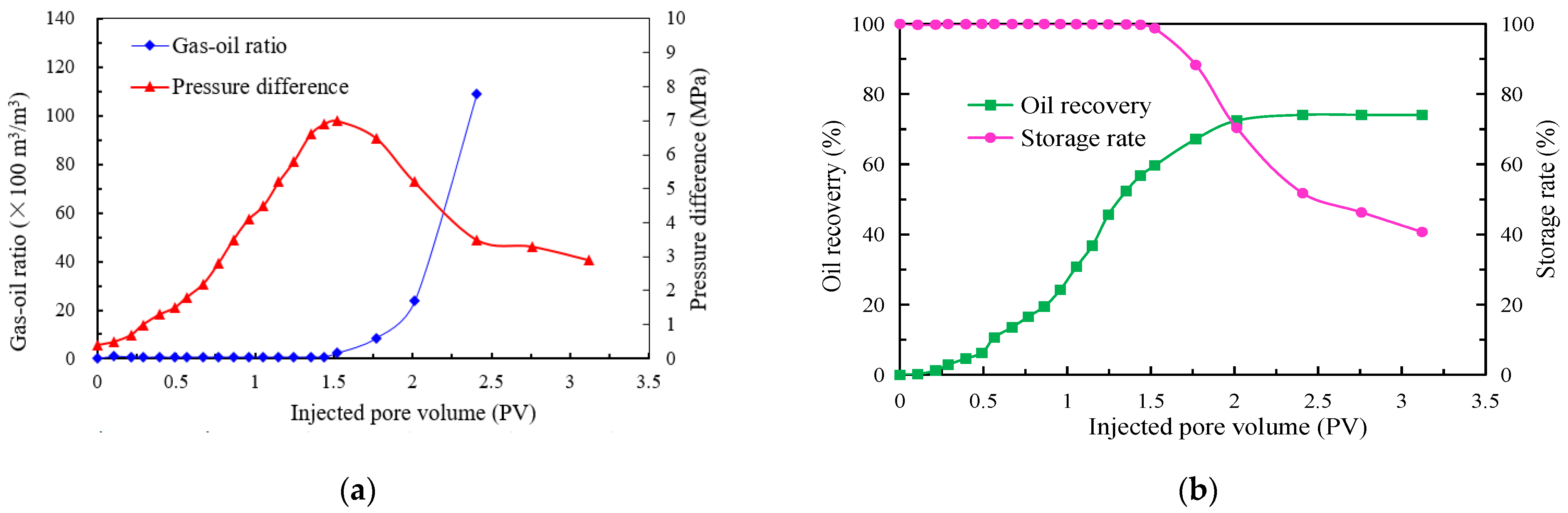
3.1. CO2 Immiscible Flooding and Storage
3.2. CO2 Near-Miscible Flooding and Storage
3.3. CO2 Miscible Flooding and Storage
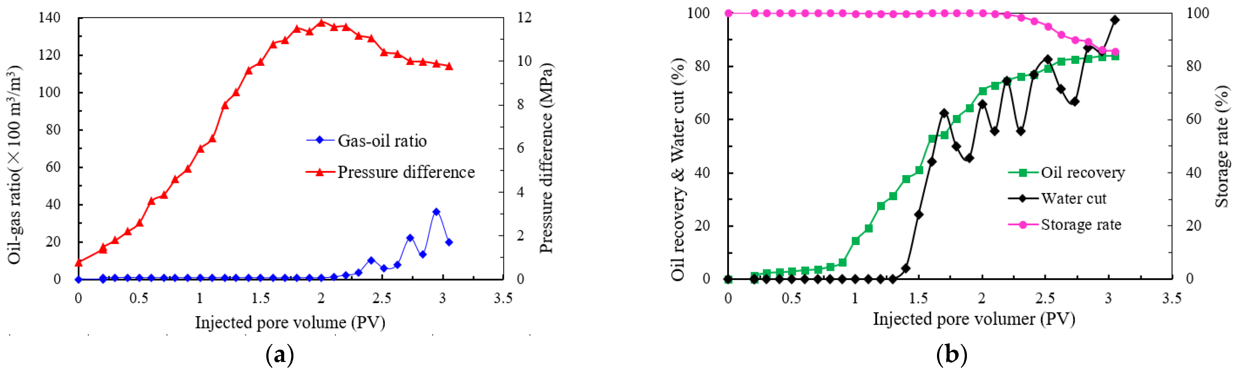
3.4. CO2 Water-Alternating-Gas Miscible Flooding and Storage
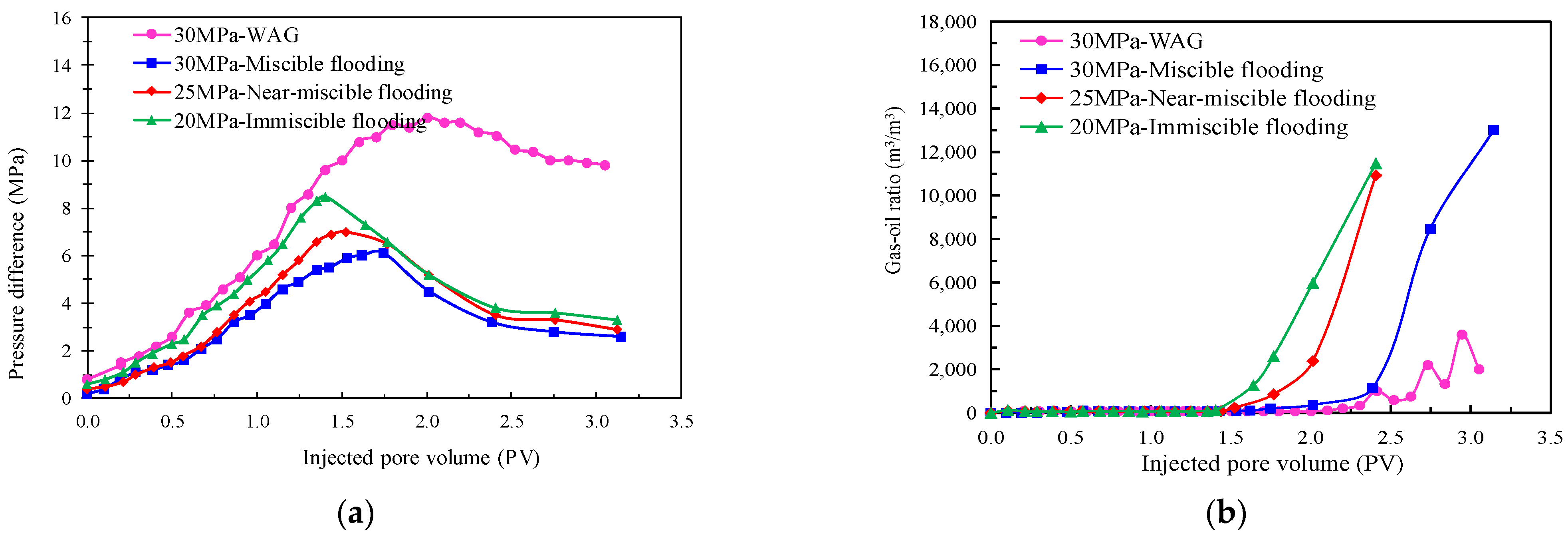
3.5. Comparative Analysis of CO2 Flooding and Storage Under Different Injection Modes
3.5.1. Influence on Production Characteristic Parameters
3.5.2. Influence on Oil Displacement Efficiency
3.5.3. Influence on Storage Rate
4. Conclusions
- (1)
- The injection modes significantly impact CO2 flooding efficiency. Miscible WAG injection achieved the highest oil recovery (83.8%), followed by miscible flooding (79.0%), near-miscible flooding (74.9%), and immiscible flooding (62.1%). WAG injection effectively enhanced oil displacement both before and after CO2 breakthrough by homogenizing the displacement front and suppressing gas channeling.
- (2)
- CO2 storage rate is closely related to the injection modes and CO2 breakthrough time. Miscible WAG injection, with water slugs effectively inhibiting CO2 channeling, achieved the highest storage rate (89.1%). In contrast, high-pressure miscible flooding yielded the greatest absolute storage capacity (5916 cm3) due to a larger cumulative injected volume. For continuous gas injection, higher pressure and later breakthrough correlate with higher storage rate.
- (3)
- Production performance characteristics vary distinctly. Under continuous gas injection, higher pressure reduces interfacial tension between CO2 and crude oil, leading to lower flow resistance and a consequently lower maximum displacement pressure differential (6.1 MPa for miscible vs. 8.5 MPa for immiscible). WAG injection exhibited the highest flow resistance and maintained a higher displacement pressure differential due to multiple gas–liquid interfaces formed, enabling the mobilization of oil from smaller pores.
- (4)
- Controlling gas channeling is crucial for optimizing both oil recovery and storage. For all injection modes, the incremental oil recovery after CO2 breakthrough was significantly lower than the cumulative recovery before CO2 breakthrough. Both WAG injection and high-pressure miscible flooding substantially improved pre-breakthrough displacement efficiency by delaying CO2 breakthrough (to 1.90 PV and 1.75 PV, respectively), laying a foundation for subsequent storage.
Funding
Data Availability Statement
Conflicts of Interest
References
- Dou, L.; Wen, Z.; Wang, J.; Wang, Z.; He, Z.; Liu, X.; Zhang, N. Analysis of the World Oil and Gas Exploration Situation in 2021. Pet. Explor. Dev. 2022, 49, 1195–1209. [Google Scholar] [CrossRef]
- Li, N.; Zhu, S.; Li, Y.; Zhao, J.; Long, B.; Chen, F.; Wang, E.; Feng, W.; Hu, Y.; Wang, S.; et al. Fracturing-Flooding Technology for Low Permeability Reservoirs: A Review. Petroleum 2024, 10, 202–215. [Google Scholar] [CrossRef]
- Zhao, L.; Li, D.; Guo, X.; Xue, J.; Wang, C.; Sun, W. Cooperation Risk of Oil and Gas Resources Between China and the Countries Along the Belt and Road. Energy 2021, 227, 120445. [Google Scholar] [CrossRef]
- Yuan, S.; Ma, D.; Li, J.; Zhou, T.; Ji, Z.; Han, H. Progress and Prospects of Carbon Dioxide Capture, EOR-Utilization and Storage Industrialization. Pet. Explor. Dev. 2022, 49, 955–962. [Google Scholar] [CrossRef]
- Chowdhury, S.; Shrivastava, S.; Kakati, A.; Sangwai, J.S. Comprehensive Review on the Role of Surfactants in the Chemical Enhanced Oil Recovery Process. Ind. Eng. Chem. Res. 2022, 61, 21–64. [Google Scholar] [CrossRef]
- Wang, L.; Ma, C. Experimental Study on CO2 Foam Flooding System in High Temperature and Low-Permeability Reservoirs. ACS Omega 2025, 10, 34801–34810. [Google Scholar] [CrossRef]
- Li, X.; Yang, Z.; Li, S.; Huang, W.; Zhan, J.; Lin, W. Reservoir Characteristics and Effective Development Technology in Typical Low-Permeability to Ultralow-Permeability Reservoirs of China National Petroleum Corporation. Energy Explor. Exploit. 2021, 39, 1713–1726. [Google Scholar] [CrossRef]
- Wang, M.; Yang, S.; Li, M.; Wang, S.; Yu, P.; Zhang, Y.; Chen, H. Influence of Heterogeneity on Nitrogen Foam Flooding in Low-Permeability Light Oil Reservoirs. Energy Fuels 2021, 35, 4296–4312. [Google Scholar] [CrossRef]
- Chen, Z.; Su, Y.-L.; Li, L.; Meng, F.-K.; Zhou, X.-M. Characteristics and Mechanisms of Supercritical CO2 Flooding Under Different Factors in Low-Permeability Reservoirs. Pet. Sci. 2022, 19, 1174–1184. [Google Scholar] [CrossRef]
- Wakerley, D.; Lamaison, S.; Wicks, J.; Clemens, A.; Feaster, J.; Corral, D.; Jaffer, S.A.; Sarkar, A.; Fontecave, M.; Duoss, E.B.; et al. Gas Diffusion Electrodes, Reactor Designs and Key Metrics of Low-Temperature CO2 Electrolysers. Nat. Energy 2022, 7, 130–143. [Google Scholar] [CrossRef]
- Bai, G.; Su, J.; Zhang, Z.; Lan, A.; Zhou, X.; Gao, F.; Zhou, J. Effect of CO2 Injection on CH4 Desorption Rate in Poor Permeability Coal Seams: An Experimental Study. Energy 2022, 238, 121674. [Google Scholar] [CrossRef]
- Chen, H.; Liu, X.; Zhang, C.; Tan, X.; Yang, R.; Yang, S.; Yang, J. Effects of Miscible Degree and Pore Scale on Seepage Characteristics of Unconventional Reservoirs Fluids due to Supercritical CO2 Injection. Energy 2022, 239, 122287. [Google Scholar] [CrossRef]
- Niu, Q.; Cao, L.; Sang, S.; Wang, W.; Zhou, X.; Yuan, W.; Ji, Z.; Chang, J.; Li, M. Experimental Study on the Softening Effect and Mechanism of Anthracite with CO2 Injection. Int. J. Rock Mech. Min. Sci. 2021, 138, 104614. [Google Scholar] [CrossRef]
- Wang, Z.; Fu, X.; Pan, J.; Deng, Z. Effect of N2/CO2 Injection and Alternate Injection on Volume Swelling/Shrinkage Strain of Coal. Energy 2023, 275, 127377. [Google Scholar] [CrossRef]
- Liu, J.; Pi, Y.; Liu, L.; Gu, X.; Li, Z.; Dai, Z. Effect of Water Saturation on CO 2 Minimum Miscibility Pressure and Oil Displacement Performance. J. Dispers. Sci. Technol. 2024, 45, 1793–1803. [Google Scholar] [CrossRef]
- Hartono, K.F.; Permadi, A.K.; Siagian, U.W.R.; Hakim, A.L.L.; Paryoto, S.; Resha, A.H.; Adinugraha, Y.; Pratama, E.A. The Impacts of CO2 Flooding on Crude Oil Stability and Recovery Performance. J. Pet. Explor. Prod. Technol. 2024, 14, 107–123. [Google Scholar] [CrossRef]
- Kumar, N.; Sampaio, M.A.; Ojha, K.; Hoteit, H.; Mandal, A. Fundamental Aspects, Mechanisms and Emerging Possibilities of CO2 Miscible Flooding in Enhanced Oil Recovery: A Review. Fuel 2022, 330, 125633. [Google Scholar] [CrossRef]
- Liu, B.; Lei, X.; Feng, D.; Ahmadi, M.; Wei, Z.; Chen, Z.; Jiang, L. Nanoconfinement Effect on the Miscible Behaviors of CO2/Shale Oil/Surfactant Systems in Nanopores: Implications for CO2 Sequestration and Enhanced Oil Recovery. Sep. Purif. Technol. 2025, 356, 129826. [Google Scholar] [CrossRef]
- Lv, Q.; Zheng, R.; Guo, X.; Larestani, A.; Hadavimoghaddam, F.; Riazi, M.; Hemmati-Sarapardeh, A.; Wang, K.; Li, J. Modelling Minimum Miscibility Pressure of CO2-Crude Oil Systems Using Deep Learning, Tree-Based, and Thermodynamic Models: Application to CO2 Sequestration and Enhanced Oil Recovery. Sep. Purif. Technol. 2023, 310, 123086. [Google Scholar] [CrossRef]
- Liu, Y.; Rui, Z. A Storage-Driven CO2 EOR for a Net-Zero Emission Target. Engineering 2022, 18, 79–87. [Google Scholar] [CrossRef]
- Chen, X.; Zhang, Q.; Trivedi, J.; Li, Y.; Liu, J.; Liu, Z.; Liu, S. Investigation on Enhanced Oil Recovery and CO2 Storage Efficiency of Temperature-Resistant CO2 Foam Flooding. Fuel 2024, 364, 130870. [Google Scholar] [CrossRef]
- Phukan, R.; Saha, R. Low Salinity Surfactant Alternating Gas/CO2 Flooding for Enhanced Oil Recovery in Sandstone Reservoirs. J. Pet. Sci. Eng. 2022, 212, 110253. [Google Scholar] [CrossRef]
- Zhu, D.; Li, B.; Chen, L.; Zhang, C.; Zheng, L.; Chen, W.; Li, Z. Experimental Investigation of CO2 Foam Flooding-Enhanced Oil Recovery in Fractured Low-Permeability Reservoirs: Core-Scale to Pore-Scale. Fuel 2024, 362, 130792. [Google Scholar] [CrossRef]
- Kong, D.; Gao, Y.; Sarma, H.; Li, Y.; Guo, H.; Zhu, W. Experimental Investigation of Immiscible Water-Alternating-Gas Injection in Ultra-High Water-Cut Stage Reservoir. Adv. Geo-Energy Res. 2021, 5, 139–152. [Google Scholar] [CrossRef]
- Massarweh, O.; Abushaikha, A.S. A Review of Recent Developments in CO2 Mobility Control in Enhanced Oil Recovery. Petroleum 2022, 8, 291–317. [Google Scholar] [CrossRef]
- Li, L.; Chen, Z.; Su, Y.-L.; Fan, L.-Y.; Tang, M.-R.; Tu, J.-W. Experimental Investigation on Enhanced-Oil-Recovery Mechanisms of Using Supercritical Carbon Dioxide as Prefracturing Energized Fluid in Tight Oil Reservoir. SPE J. 2021, 26, 3300–3315. [Google Scholar] [CrossRef]
- Eyinla, D.S.; Leggett, S.; Badrouchi, F.; Emadi, H.; Adamolekun, O.J.; Akinsanpe, O.T. A Comprehensive Review of the Potential of Rock Properties Alteration During CO2 Injection for EOR and Storage. Fuel 2023, 353, 129219. [Google Scholar] [CrossRef]
- Kudapa, V.K.; Krishna, K.S. Heavy Oil Recovery Using Gas Injection Methods and Its Challenges and Opportunities. Mater. Today Proc. 2024, 102, 247–256. [Google Scholar] [CrossRef]
- Tang, X.-C.; Li, Y.-Q.; Liu, Z.-Y.; Zhang, N. Nanoparticle-Reinforced Foam System for Enhanced Oil Recovery (EOR): Mechanistic Review and Perspective. Pet. Sci. 2023, 20, 2282–2304. [Google Scholar] [CrossRef]
- Tian, C.; Pang, Z.; Liu, D.; Wang, X.; Hong, Q.; Chen, J.; Zhang, Y.; Wang, H. Micro-Action Mechanism and Macro-Prediction Analysis in the Process of CO2 Huff-N-Puff in Ultra-Heavy Oil Reservoirs. J. Pet. Sci. Eng. 2022, 211, 110171. [Google Scholar] [CrossRef]
- Fang, P.; Zhang, Q.; Zhou, C.; Yang, Z.; Yu, H.; Du, M.; Chen, X.; Song, Y.; Wang, S.; Gao, Y.; et al. Chemical-Assisted CO2 Water-Alternating-Gas Injection for Enhanced Sweep Efficiency in CO2-EOR. Molecules 2024, 29, 3978. [Google Scholar] [CrossRef]
- Chen, B.; Reynolds, A.C. Ensemble-Based Optimization of the Water-Alternating-Gas-Injection Process. SPE J. 2016, 21, 786–798. [Google Scholar] [CrossRef]
- Kulkarni, M.M.; Rao, D.N. Experimental investigation of miscible and immiscible Water-Alternating-Gas (WAG) process performance. J. Pet. Sci. Eng. 2005, 48, 1–20. [Google Scholar] [CrossRef]
- Han, X.; Song, Z.; Deng, S.; Li, B.; Li, P.; Lan, Y.; Song, Y.; Zhang, L.; Zhang, K.; Zhang, Y. Multiphase Behavior and Fluid Flow of oil–CO2–Water in Shale Oil Reservoirs: Implication for CO2-Water-Alternating-Gas Huff-N-Puff. Phys. Fluids 2024, 36, 063310. [Google Scholar] [CrossRef]
- Yang, Y.; Zhang, S.; Cao, X.; Lyu, Q.; Lyu, G.; Zhang, C.; Li, Z.; Zhang, D.; Zheng, W. CO2 High-Pressure Miscible Flooding and Storage Technology and Its Application in Shengli Oilfield, China. Pet. Explor. Dev. 2024, 51, 1247–1260. [Google Scholar] [CrossRef]
- Perera, M.S.A.; Gamage, R.P.; Rathnaweera, T.D.; Ranathunga, A.S.; Koay, A.; Choi, X. A Review of CO2-Enhanced Oil Recovery with a Simulated Sensitivity Analysis. Energies 2016, 9, 481. [Google Scholar] [CrossRef]
- Zhang, J.; Zhang, H.X.; Ma, L.Y.; Liu, Y.; Zhang, L. Performance Evaluation and Mechanism with Different CO2 Flooding Modes in Tight Oil Reservoir with Fractures. J. Pet. Sci. Eng. 2020, 188, 106950. [Google Scholar] [CrossRef]
- Han, L.; Gu, Y. Optimization of Miscible CO2 Water-Alternating-Gas Injection in the Bakken Formation. Energy Fuels 2014, 28, 6811–6819. [Google Scholar] [CrossRef]
- Al-Ghnemi, M.; Ozkan, E.; Amini, K.; Kazemi, H. Numerical Modeling Assessment of CO2-EOR and Sequestration Potential in a Light-Oil Carbonate Reservoir. In Proceedings of the SPE Improved Oil Recovery Conference, Tulsa, OK, USA, 22–25 April 2024. [Google Scholar]
- Dutta, R.; Kundu, G.; Mirkalaei, S.M.M.; Chakraborty, R.; Yomdo, S.; Mandal, A. Evaluation of Potential of CO2-Enhanced Oil Recovery (EOR) and Assessment of Capacity for Geological Storage in a Mature Oil Reservoir within Upper Assam Basin, India. Energy Fuels 2024, 38, 14096–14118. [Google Scholar] [CrossRef]
- Ji, M.; Kwon, S.; Choi, S.; Kim, M.; Choi, B.; Min, B. Numerical Investigation of CO2-Carbonated Water-Alternating-Gas on Enhanced Oil Recovery and Geological Carbon Storage. J. CO2 Util. 2023, 74, 102544. [Google Scholar] [CrossRef]
- Li, Z.; Su, Y.; Li, L.; Hao, Y.; Wang, W.; Meng, Y.; Zhao, A. Evaluation of CO2 Storage of Water Alternating Gas Flooding Using Experimental and Numerical Simulation Methods. Fuel 2022, 311, 122489. [Google Scholar] [CrossRef]
- Wei, G.; Zhang, R.; Yu, C.; Zhang, K.; Wang, K. Coupled Relationships Between Overburden Stress and Ultra-Deep Sandstone Brittle Deformation Properties Based on in Situ CT Scanning. J. Struct. Geol. 2023, 173, 104905. [Google Scholar] [CrossRef]
- Liu, W.; Xu, S.; Lai, H.; Liu, W.; He, F.; Zhu, X. Near-Infrared All-Fused-Ring Nonfullerene Acceptors Achieving an Optimal Efficiency-Cost-Stability Balance in Organic Solar Cells. CCS Chem. 2023, 5, 654–668. [Google Scholar] [CrossRef]
- Zhao, Y.; Yang, F.; Zhang, W.; Li, Q.; Wang, X.; Su, L.; Hu, X.; Wang, Y.; Wang, Z.; Zhuang, L.; et al. High-Performance Ru 2 P Anodic Catalyst for Alkaline Polymer Electrolyte Fuel Cells. CCS Chem. 2022, 4, 1732–1744. [Google Scholar] [CrossRef]
- Kou, Z.; Wang, H.; Alvarado, V.; McLaughlin, J.F.; Quillinan, S.A. Impact of Sub-Core Scale Heterogeneity on CO2/Brine Multiphase Flow for Geological Carbon Storage in the Upper Minnelusa Sandstones. J. Hydrol. 2021, 599, 126481. [Google Scholar] [CrossRef]
- Radwan, A.A.; Abdelwahhab, M.A.; Nabawy, B.S.; Mahfouz, K.H.; Ahmed, M.S. Facies Analysis-Constrained Geophysical 3D-Static Reservoir Modeling of Cenomanian Units in the Aghar Oilfield (Western Desert, Egypt): Insights into Paleoenvironment and Petroleum Geology of Fluviomarine Systems. Mar. Pet. Geol. 2022, 136, 105436. [Google Scholar] [CrossRef]
- Niu, Y.-B.; Cheng, M.-Y.; Zhang, L.-J.; Zhong, J.-H.; Liu, S.-X.; Wei, D.; Xu, Z.-L.; Wang, P.-J. Bioturbation Enhanced Petrophysical Properties in the Ordovician Carbonate Reservoir of the Tahe oilfield, Tarim Basin, NW China. J. Palaeogeogr. 2022, 11, 31–51. [Google Scholar] [CrossRef]
- Wang, H.; Shi, K.; Ma, Y.; Liu, B.; Song, X.; Ge, Y.; Liu, H.; Hoffmann, R.; Immenhauser, A. Control of Depositional and Diagenetic Processes on the Reservoir Properties of the Mishrif Formation in the AD oilfield, Central Mesopotamian Basin, Iraq. Mar. Pet. Geol. 2021, 132, 105202. [Google Scholar] [CrossRef]
- Zhao, W.-B.; Hu, S.-Y.; Deng, X.-Q.; Bai, B.; Tao, S.-Z.; Sun, B.; Wang, Q.-R.; Cheng, D.-X. Physical Property and Hydrocarbon Enrichment Characteristics of Tight Oil Reservoir in Chang 7 Division of Yanchang Formation, Xin’anbian oilfield, Ordos Basin, China. Pet. Sci. 2021, 18, 1294–1304. [Google Scholar] [CrossRef]
- Fang, Y.; Yang, E.; Guo, S.; Cui, C.; Zhou, C. Study on Micro Remaining Oil Distribution of Polymer Flooding in Class-II B Oil Layer of Daqing Oilfield. Energy 2022, 254, 124479. [Google Scholar] [CrossRef]
- Zhong, H.; He, Y.; Yang, E.; Bi, Y.; Yang, T. Modeling of Microflow During Viscoelastic Polymer Flooding in Heterogenous Reservoirs of Daqing Oilfield. J. Pet. Sci. Eng. 2022, 210, 110091. [Google Scholar] [CrossRef]
- Ramadhan, R.; Promneewat, K.; Thanasaksukthawee, V.; Tosuai, T.; Babaei, M.; Hosseini, S.A.; Puttiwongrak, A.; Leelasukseree, C.; Tangparitkul, S. Geomechanics Contribution to CO2 Storage Containment and Trapping Mechanisms in Tight Sandstone Complexes: A Case Study on Mae Moh Basin. Sci. Total. Environ. 2024, 928, 172326. [Google Scholar] [CrossRef]
- Yue, P.; Liu, F.; Yang, K.; Han, C.; Ren, C.; Zhou, J.; Wang, X.; Fang, Q.; Li, X.; Dou, L. Micro-Displacement and Storage Mechanism of CO2 in Tight Sandstone Reservoirs Based on CT Scanning. Energies 2022, 15, 6201. [Google Scholar] [CrossRef]
- Zhao, E.; Jin, Z.; Li, G.; Zhang, K.; Zeng, Y. Numerical Simulation of CO2 Storage with Enhanced Gas Recovery in Depleted Tight Sandstone Gas Reservoirs. Fuel 2024, 371, 131948. [Google Scholar] [CrossRef]
- Lei, Y.; Wang, C.; Xu, S.; Shi, L.; Jin, X.; Fu, W. A Study on the Miscibility Mechanisms and Patterns of High CO2 Content Associated Gas Reinjection. Sci. Rep. 2025, 15, 30336. [Google Scholar] [CrossRef]








| Core No. | Length (cm) | Diameter (cm) | Porosity (%) | Permeability (mD) |
|---|---|---|---|---|
| F1 | 4.21 | 2.526 | 16.30 | 17.71 |
| F2 | 4.19 | 2.522 | 16.68 | 16.96 |
| F3 | 3.28 | 2.526 | 16.98 | 15.58 |
| F4 | 4.41 | 2.526 | 15.75 | 15.21 |
| F5 | 3.75 | 2.524 | 16.63 | 11.45 |
| Ions | Na+ + K+ | Ca2+ | Mg2+ | HCO3− | SO42− | Cl− | Total |
|---|---|---|---|---|---|---|---|
| Composition/(mg/L) | 13,130.13 | 8987.94 | 729.30 | 610.20 | 90.06 | 37,842.88 | 61,390.50 |
Disclaimer/Publisher’s Note: The statements, opinions and data contained in all publications are solely those of the individual author(s) and contributor(s) and not of MDPI and/or the editor(s). MDPI and/or the editor(s) disclaim responsibility for any injury to people or property resulting from any ideas, methods, instructions or products referred to in the content. |
© 2026 by the author. Licensee MDPI, Basel, Switzerland. This article is an open access article distributed under the terms and conditions of the Creative Commons Attribution (CC BY) license.
Share and Cite
Han, W. The Influence of Injection Modes on CO2 Flooding and Storage in Low-Permeability Reservoirs. Energies 2026, 19, 480. https://doi.org/10.3390/en19020480
Han W. The Influence of Injection Modes on CO2 Flooding and Storage in Low-Permeability Reservoirs. Energies. 2026; 19(2):480. https://doi.org/10.3390/en19020480
Chicago/Turabian StyleHan, Wencheng. 2026. "The Influence of Injection Modes on CO2 Flooding and Storage in Low-Permeability Reservoirs" Energies 19, no. 2: 480. https://doi.org/10.3390/en19020480
APA StyleHan, W. (2026). The Influence of Injection Modes on CO2 Flooding and Storage in Low-Permeability Reservoirs. Energies, 19(2), 480. https://doi.org/10.3390/en19020480

