Next Article in Journal
Research on Torque Estimation Methods for Permanent Magnet Synchronous Motors Considering Dynamic Inductance Variations
Previous Article in Journal
Frost Suppression and Enhancement of an Air-Source Heat Pump via an Electrostatically Sprayed Superhydrophobic Heat Exchanger
Previous Article in Special Issue
Energy Management of Hybrid Energy System Considering a Demand-Side Management Strategy and Hydrogen Storage System
 
 
Font Type:
Arial Georgia Verdana
Font Size:
Aa Aa Aa
Line Spacing:
Column Width:
Background:
Article

TEN-L: A Graph-Based Evolutionary Learning Model for Adaptive Renewable Integration in Smart Grids

Department of Electrical Engineering, Al-Baha University, Alaqiq 65779, Saudi Arabia
Energies 2026, 19(2), 345; https://doi.org/10.3390/en19020345 (registering DOI)
Submission received: 6 November 2025 / Revised: 28 December 2025 / Accepted: 5 January 2026 / Published: 10 January 2026

Abstract

Sustainable energy management is achieved through seamless power distribution, satisfying user demands. The swift integration of renewable energy sources sustains the sustainability of smart grid (SG) architectures. This article introduces a Temporal Evolution Network-Learning (TEN-L) model that aims to achieve the aforementioned sustainability in smart grids by integrating renewable resources. The model addresses the rising energy demand driven by environmental impacts, resource depletion, and power outages. TEN-L employs a graph-based evaluation method and an evolutionary optimization to enhance sustainability and distribution efficiency while reducing power losses. The model evaluates the relationship between sustainability factors and distribution efficiency over time, while adjusting the integration of renewable energy sources to accommodate fluctuating demand. By optimizing energy source selection and distribution parameters, TEN-L enhances the reliability and sustainability of smart grid operations. This proposed model achieves a 12.27% higher demand response and an 11.63% higher distribution efficiency for the average hours considered.

1. Introduction

Energy systems face growing demands under limited resources, creating an imperative need for sustainable models. Demand response enables consumption to be matched with available supply and reduces stress on energy networks [1]. The mechanism lowers peak demand by shifting loads to times of lower usage. Such shifting improves system stability and maintains reliability in interconnected power grids [2]. Smart metering infrastructures support greater stability by continuously monitoring usage patterns. Continuous monitoring enables control mechanisms that can adjust consumption in response to supply changes [3]. Automated adjustments increase flexibility by enabling dynamic resource scheduling under different conditions. Flexible scheduling aids in energy conservation and lessens reliance on fossil fuels [4]. Reduced fossil fuel consumption directly decreases greenhouse gas emissions and contributes to the attainment of long-term environmental goals [5]. Reaching these goals requires coordinated strategies along with pricing incentives to encourage user participation. An evaluation of connected mechanisms shows that demand response is a key strategy for sustainable energy management [6].
Sustainable energy management relies on the broad use of renewable resources as substitutes for traditional fuels. Solar, wind, and hydro resources are key options for lessening environmental harm [7]. However, the variability of renewable output presents operational challenges that require accurate forecasting and control methods. Forecasting helps predict fluctuations, while adaptive control ensures reliable operation during changing supply situations [8]. Reliability increases when various renewable resources are combined in hybrid setups. Hybrid systems benefit from smart grid infrastructure that enhances energy distribution across different areas [9]. Smart grids work best when backed by effective storage systems that balance supply. Storage technologies maintain operations by keeping excess energy and releasing it during shortages [10]. Reliable storage boosts the use of renewables and ensures stability in integrated energy networks. Greater use of renewables reduces dependence on imported fuels and supports broader energy security goals. Thoughtful integration of these resources shows their vital role in promoting sustainable energy management [11,12].
Sustainable energy management increasingly requires advanced computational methods to address the complexity of modern systems [13]. Deep learning (DL) enables the discovery of patterns and relationships in large energy datasets. Identifying these patterns improves the forecasting of renewable energy output and supports better distribution planning [14]. Better forecasting leads to improved load balancing by aligning available supply with changing demand [15]. Load balancing becomes even better with reinforcement learning models that adjust allocation policies in real time. Real-time adaptation enables efficient resource scheduling in rapidly changing environments [16]. Efficient scheduling lowers the need for backup fossil fuel generation and strengthens sustainability efforts. Sustainable outcomes also benefit from anomaly detection models, which find irregularities and enhance system reliability [17]. Reliable systems provide resilience in distributed networks and ensure the continuity of the energy supply. Resilient networks lay the groundwork for smart infrastructures that can self-regulate. The growing use of DL highlights its transformative potential in optimizing sustainable energy management [18,19]. The main contributions of the article are listed below:
  • The study proposes the Temporal Evolution Network-Learning (TEN-L) model to enhance sustainability and efficiency in smart grids by optimizing the integration of renewable energy sources.
  • TEN-L employs a graph-based evaluation method combined with evolutionary optimization algorithms to reduce power losses and improve energy distribution efficiency.
  • The model analyzes the temporal relationships among energy demand, accumulated power, and sustainability factors, enabling the adaptive integration of renewables to account for fluctuating user demand.
  • The TEN-L model demonstrates measurable improvements, achieving up to a 12.38% higher demand response and 11.91% higher distribution efficiency, indicating its potential for real-world, innovative grid applications.

2. Related Works

To improve the management of distributed energy resources, Zhao et al. [20] proposed an intelligent, web-based energy management system for integrating and optimizing distributed energy resources. The framework uses simulated annealing with cone programming to maximize distribution, while generative AI supports adaptive forecasting. The method increases the flexibility of renewable energy use and ensures easy operation. Zafar et al. [21] developed a data-driven multiperiod optimal power flow for power system scheduling considering renewable energy integration. The method employs an LSTM-RNN to capture temporal changes in load and renewable energy. It speeds up OPF computation while maintaining stability and reducing curtailment. To enhance photovoltaic integration, Arun et al. [22] introduced deep learning-enabled integration of renewable energy sources through photovoltaics in buildings. Their model uses improved LSTM networks for forecasting PV output. It ensures reliable power management in home microgrids with battery storage. The authors recognize that the use of rigorously developed evolutionary optimization techniques, in which evolutionary operators, constraint handling, and convergence behaviors are explicitly defined to improve performance and reliability in the face of fluctuating conditions, has greatly benefited real-time photovoltaic systems. To adaptively control the distribution and selection of renewable energy sources in smart grids, our TEN-L methodology builds on this basic perspective by combining evolutionary optimization with a graph-based evaluation technique. While the referenced study primarily focuses on PV error handling, our approach broadens the scope of real-time evolutionary optimization to enhance comprehensive smart grid sustainability and efficiency by extending the optimization to hybrid renewable sources and accounting for temporal demand response variations.
To boost energy flow, Hu et al. [23] proposed energy hubs integrating renewable energy sources and demand response programs to achieve cost-effective operations. Their model utilizes scenario-based probabilistic optimization with Emperor Penguin Colony algorithms. The approach lowers operational costs while balancing renewable supply and demand response. Gabber et al. [24] implemented an intelligent Pareto-based optimization for hybrid renewable energy. Their framework combines PV, wind, fuel cells, and hydrogen storage with multi-objective programming. Their method allows for emission reduction, profit maximization, and long-term economic viability. Avar et al. [25] proposed the Optimal Integration and Planning of PV and Wind Renewable Energy Sources using hybrid analytical and metaheuristic models. A bi-directional LSTM predicts PV and wind generation while BPSO reduces losses and voltage variations. The hybrid approach deals with the scalability issues of traditional methods.
Álvarez-Arroyo et al. [26] developed an optimization of microgrid energy management with flexible storage systems and renewable integration. A stochastic programming model that uses energy storage as the only flexible resource minimizes microgrid costs. The method ensures stable operation despite changing renewable inputs. Zhao et al. [27] introduced a Chaos Theory-Based Salp Swarm Algorithm for Renewable Energy Integration and Demand Response. The algorithm merges chaos theory with swarm intelligence to avoid local optima. Zhao et al. [27] present a demand response-oriented smart grid optimization framework that utilizes heuristic scheduling to balance load and renewable generation within established operational limits. It performs well in static or semi-dynamic contexts; however, it lacks graph-based structural adaptation or learning-driven parameter updates. The study included other baseline methods that primarily employ fixed-rule or heuristic-based energy management strategies. These methods are instances of traditional smart grid optimization techniques. All baselines have been conducted using an identical dataset, limitations, and evaluation metrics to provide an equitable and comparable comparison.
Our framework helps cut costs through demand response and hybrid storage. To improve PV–grid interaction, Gu et al. [28] proposed an optimization of photovoltaic integration in grid management via deep learning-based scenario analysis. GAN-generated scenarios assist with adaptive real-time control for PV integration. The method increases efficiency, lowers emissions, and reduces downtime.
Tang et al. [29] proposed Deep Reinforcement Learning-Based Multi-Objective Optimization for Virtual Power Plants and Smart Grids. The DRL framework includes blockchain for secure transactions and transformer models for predictive analytics. The method boosts renewable use, reduces grid losses, and enhances scalability. For smart home energy utilization, Alsolami et al. [30] implemented Real-Time Energy Management of a Microgrid Using MPC-DDQN-Controlled V2H and H2V Operations with Renewable Energy Integration. The framework coordinates PV, fuel cells, and hydrogen refueling with vehicle-to-home energy transfers. The method enables adaptive control through double deep Q-learning networks. Hematian et al. [31] developed a Robust Optimization Framework for Microgrid Management with EVs, Storage, Demand Response, and Renewable Integration. Their two-stage robust optimization minimizes losses, curtailments, and costs while meeting demand. The method improves the reliability of microgrid operations.
Legrene et al. [32] introduced a deep reinforcement learning approach for the optimization of hybrid renewable energy systems. The DRL framework uses cost, renewable fraction, and loss-of-power probability as objective functions. The method performs better than traditional PSO and GA methods in economic and reliability measures. Bashyal et al. [33] proposed a demand response-based industrial energy management approach focused on renewable energy consumption. The reinforcement learning model adjusts DR strategies for energy-intensive industries. The framework balances ongoing operations with renewable energy use. To improve hybrid microgrid operations, Ndeke et al. [34] developed an energy management strategy for a hybrid microgrid system using renewable energy. The framework aligns PV, wind, and batteries with predictive management. The approach enhances renewable integration and optimizes energy flows. To provide some context for the comparative evaluation, this is an extract of the baseline methodologies used in this study. Ndeke et al. [34] provide an energy-aware routing and clustering technique for wireless sensor and smart grid networks that focuses on increasing the life of the network by selecting nodes based on their remaining energy and changing the cluster head. It focuses on optimizing energy use in a specific area without using temporal learning or evolutionary adaptation.
Zero-energy industries have been enabled by merging energy management and renewable systems, as developed by Senyonyi et al. [35]. Their framework applies energy audits, demand-side optimization, and PV sizing. Their strategy reduces CO2 emissions and energy costs and achieves zero-energy status. Hassan et al. [36] introduced joint energy management with integration of renewable energy sources, considering energy and reserve minimization. The bi-level programming model with modified marine predator optimization addresses uncertainties. The method cuts operational costs and improves grid stability through demand response and EV involvement. Recent studies have demonstrated the synergy between evolutionary optimization and graph-based modeling to improve the sustainable energy integration and distribution efficiency of smart grids. In particular, it has been shown that graph-theoretic evaluation effectively captures the structural interdependencies among distributed energy resources, demand nodes, and grid constraints. At the same time, evolutionary algorithms enable adaptive optimization under uncertain and dynamic operating conditions. For instance, evolutionary learning and graph representations have been used in earlier research to improve system-level efficiency, demand response coordination, and renewable integration, resulting in notable improvements in scalability and operational robustness [37]. The suggested TEN-L model expands on these frameworks and advances the field by incorporating temporal evolution network learning, which explicitly models the time-varying relationships between distribution efficiency, sustainability variables, and cumulative power. This temporal learning capability enables the proposed method to surpass static or short-term optimization and achieve superior performance in smart grid distribution efficiency and sustainable energy integration by facilitating adaptive decision-making across successive time intervals and fluctuating demand scenarios [38].
Recent advances demonstrate that hybrid deep learning models combined with metaheuristic optimization significantly improve transformer oil temperature prediction, enhancing operational safety and reliability in power systems through accurate thermal monitoring [39]. Accurate wind speed forecasting remains essential for renewable integration, where optimized machine learning frameworks improve prediction robustness and support stable smart grid operation under variable environmental conditions [40]. Efficient microgrid energy management has been addressed using hybrid evolutionary algorithms, enabling better cost–reliability tradeoffs while supporting sustainable distributed energy systems [41]. Frequency-domain attention-based bidirectional memory networks have shown superior performance in short-term load forecasting by capturing both temporal and spectral dependencies in power demand data [42]. Furthermore, intelligent data-driven techniques improve smart grid resilience by effectively handling missing or uncertain load information, strengthening decision-making processes [43].

3. The Proposed Method

The proposed network model is designed to address the inflated demand response problem in sustainable energy management. This article addresses energy demand inflation driven by environmental impacts, energy resource depletion, and source downtime. For this purpose, an energy distribution system such as a smart grid (SG) is considered for the application areas. In addition, we use the SG operations powered by solar and wind power datasets referenced from [21,44] to define the problem. The key takeaways from the dataset, with its numerical values, are shown in Figure 1. It depicts the power grid model and its functions related to the problem. Instead of using artificial data, the study uses real-world benchmark energy system data. In particular, the experiments are carried out utilizing measured solar and wind power generation and demand data gathered from an operating smart grid scenario, with repeated daily observations made between April 2022 and September 2023, as detailed in Figure 1. By precisely recording variations brought on by shifts in demand, operational constraints, and environmental conditions, these datasets give the evaluation absolute validity. To ensure a fair and impartial comparison, all methods were assessed using the same dataset and identical experimental setups, including the same generation limitations, demand profiles, and observation intervals. As a result, differences in performance rather than differences in data utilization are caused by the modeling and optimization capabilities of each approach.
This data is used for addressing distribution and efficiency-related problems. Based on the model inferred in Figure 1 from the datasets, the following data is collected. Time-stamped solar and wind power generation values, accumulated power, distribution intervals, grid power-sharing status, and the number of active renewable energy sources are all included in Data 1, the main raw input set that is directly obtained from the smart grid and renewable energy sources. These variables serve as the baseline inputs for the proposed model and characterize the smart grid’s basic operating state. Data 2, which contains interval-wise demand estimation, cumulative power variation, and distribution dynamics, which are necessary for graph-based and evolutionary assessments, is obtained by temporally aggregating and transforming Data 1. The output-oriented sustainability indicators, including the sustainability index, demand response, and distribution efficiency, are then calculated using the mathematical correlations provided in Equations (1)–(4), and Data 2 produces Data 3. As a result, Data 1 provides the fundamental information, Data 2 presents the temporal and distribution components examined, and Data 3 presents the final performance and sustainability metrics required for decision-making in the TEN-L model.
The joint (integrated) power generation rate is 700 MW on average, monitored between April 2022 and September 2023. The power generation rate is cumulative, with four observations per day. The power generation rate is computed as a cumulative value from four observations per day to maintain data robustness and accurately depict the significant intra-day volatility of renewable energy sources. It corresponds to crucial operating times of the day and shows notable fluctuations rather than sudden shifts in solar irradiance and wind availability. Since the suggested TEN-L system depends on cumulative power, demand response, and distribution efficiency over predefined periods, capturing net producing patterns is more crucial than high-frequency sampling. Increasing the observation frequency would produce transient noise without significantly improving the representation of cumulative energy availability relevant to sustainability and grid-level decision-making. In addition to demonstrating that the intermittent nature of renewable energy sources is suitably represented at this temporal resolution, the consistent demand response, sustainability index, and distribution efficiency results across various hours and power generation scenarios further support the efficacy of the four-time observation strategy. A single-line diagram of the case study’s innovative grid network shows the entire system design, including the main grid interface, distribution buses, energy storage, load centers used in the analysis, and connections to renewable energy sources (wind and solar). Figure 1. clearly illustrates the network components and power-flow routes considered in the case study. The energy demand lies between 300 and 810 MW/day, and the distribution is split by 2 × 400 MW cycles/day. The impacting factors, such as sunlight and wind (external) and device failure (internal), reflect renewable-source integration and distribution efficiency, respectively. Thus, Data 3 (sustainability) are referred to as the output-deciding factors, as defined in Data 2, using Data 1 inputs—the problem peaks if the sustainability index   δ is near zero based on external factors and distribution efficiency drops significantly. Thus, retaining high δ is one of the problems for which the mathematical derivations are given below.
I   i n   a   d a y ,   δ I = a p I , ρ s , S N I
Equation (1) indicates that the accumulated power is the sum of the effective renewable contribution over all the distribution intervals, which is a time-aggregated variable. This formulation accurately represents the physical fact that decisions implemented at the grid level are based on the total amount of energy available, rather than the amount of energy being generated at the moment. It is particularly important in systems that rely heavily on renewable sources that are not always available. The power-sharing indicator shows how locally generated renewable electricity is introduced to the grid, and the ratio of active to total renewable sources.
= d r I × a p I l I a p I
Equation (2) represents demand response as a normalized operational index that measures how effectively the grid can satisfy or change demand within a certain time frame. This formulation is in line with real-world demand response methods used in smart grids, like load shifting, reduction, and rescheduling. It gives a dimensionless measure that ranges from 0 to 1. Higher values mean that the available accumulated power and user demand match better within the limits of the network. It indicates that the system is more flexible and resilient in its operations.
The variables are multiplicatively connected within each interval, and Equation (1) explicitly characterizes the accumulated power as a summation over the relevant intervals. More precisely, the instantaneous contribution for each period is calculated by multiplying the interval time, the power-sharing indicator, and the normalized count of active renewable energy sources. These products are then added for each period to determine the overall cumulative power. This approach clearly establishes a mathematical relationship between the variables by first evaluating the product of the relevant variables per interval and then aggregating them by summation. The system’s ability to modify or shift electrical demand in response to supply–demand scenarios within a specified distribution interval 𝕀 is represented by the demand response term dr(𝕀). The suggested model defines dr(𝕀) as a normalized ratio that measures the proportion of energy demand that is efficiently satisfied or flexibly managed during interval 𝕀 through load shifting, curtailment, or rescheduling, while accounting for distribution constraints and available accumulated power. Higher values indicate a better balance between supply and demand for renewable energy. In mathematical terms, it illustrates how sensitive consumers or controllable loads are to grid signals. Given that its value ranges from 0 to 1, dr(𝕀) is a dimensionless (unitless) index. A score of 1 indicates the ideal situation, in which demand is fully met or perfectly transferred without creating distribution stress, while a score of 0 indicates no effective demand response. In the suggested TEN-L paradigm, this formulation enables consistent integration of sustainability and distribution-efficiency measures with demand responsiveness. In Equations (1) and (2), the variables   I , a p ,   ρ s ,   S ,   N ,   d r I ,   a n d   l I refer to interval, accumulated power, possibility of power sharing to the grid (sharing = 1, not sharing = 0), number of active renewable energy sources, total sources count, demand responses, and loss. From (1) and (2), for a standard accumulated and distribution interval, the   δ I and   must be maximized to ensure the SG is reliable; otherwise, decisions on renewable energy source integration must be made. The distribution interval is denoted by t s . The accumulated power over the interval is represented by P acci   ; the power-sharing indicator with the grid is denoted by s , where s = 1 indicates sharing, and s = 0 indicates no sharing; the number of active renewable energy sources is represented by N act   ; the total number of available renewable energy sources is denoted by N Tot ; the demand response is represented by D R ; and the power loss in the distribution process is denoted by L . Thus, in the series of Equation (3), the decision-making conditions defining the problem are stated.
I , δ I < d r I
i n   a n y   I , d r I < l I o r δ I < d r I l I
i n   a n y   I , δ I N < a p I < d r I × 1 l I
In Equation (3), the problem-causing conditions are stated. This is based on the accumulated power that satisfies sustainability and distribution. Using these problem conditions, the article’s objectives are defined in the following section. The proposed TEN-L model is designed to confine the problem constraints to achieve high   and   δ .
It describes the factors that trigger the smart grid to become less sustainable or less efficient at distributing power. These inequalities show physical and operational restrictions, such as a lack of enough stored power, losing excessive energy during distribution, and not responding adequately to demand. When these parameters are neglected, corrective activities like adding more renewable sources, moving power around, or changing the time of day become necessary.

3.1. Modeling the Objectives

The objectives of this article focus on achieving high   δ and low power loss in   d r I . The supporting condition is the demand-based integration process for renewable energy sources. It is to be noted that the integration of renewable energy sources must achieve high   δ by balancing   and   a p I utilization. Thus, the objectives and their mathematical models are defined as follows in Equation (4) series.
(i) Achieving high sustainability:     a n y   I d r , if   a p I × 1 l I I < d r I + δ , then
arg max a p I s 1 , s 2 , , s n S   i s   t o   b e   i d e n t i f i e d
i f   ρ s = 1 , i d e n t i f y   S N γ   w i t h   e x i s t i n g   s n
s u c h   t h a t , i = 1 S s i a p I = d r I   i s   t h e   m a x i m u m   δ
And ,   δ I s n a p I =   δ   i s   t h e   h i g h e s t   s u s t a i n a b i l i t y   f a c t o r
In the above Equation (4b), the variable  γ represents the integration factor, and its possibility varies with  ρ s and  a p I .
(ii) Achieving low power loss: I , l I = d δ I a p I d r I ρ s ,
The   objective   is   arg min l 1 , l 2 , , l I δ I
By   satisfying   ρ s = 1   a n d   γ   g e n e r a t e s   a p I = δ I
In Equation (4) series, two primary objectives are defined, i.e., high sustainability and low power loss. If these two conditions are to be satisfied, then the integration must be high to meet the actual demand. The specific decision variables at a given interval are the energy distribution interval (ii), which controls demand satisfaction and accumulated power sharing; the number of active renewable energy sources (i.e., Nr) connected to the smart grid; and the binary power-sharing state (iii) S∈{0, 1}, which controls whether the accumulated renewable power is injected into the grid. The TEN-L framework optimizes these variables to adaptively balance loss reduction, cumulative power, and demand responsiveness in the presence of temporal volatility. These variables work together to regulate the sustainability index, power loss, and distribution efficiency shown in Equation (4a–f). Therefore, for any interval experiencing Equation (4e), the renewable energy integration has to satisfy the condition in Equation (4f). To meet the objectives, this article exploits the temporal evolutionary network-learning model. This model is described in the following section. The features of empirical data are combined with theoretically stated feasibility requirements specific to smart grid operations to determine the basic parameters of the TEN-L model. To ensure data consistency and computational efficiency, the primary intraday fluctuations in renewable generation and consumption are recorded at four distinct times each day, which correspond to the morning, lunch, evening, and night operating regimes. It was discovered that higher sample rates (e.g., 6 or 8 observations per day) increased noise sensitivity and optimization overhead without enhancing distribution or sustainability outcomes.
Furthermore, they offer useless statistics that do not reveal much. The objective satisfaction requirements in Equation (4) and the constraint constraints in Equation (3) directly govern the graph-based node addition and replacement thresholds, which are not chosen at random. Only when sustainability, demand response, or cumulative power indices depart from acceptable bounds, that is, when the linear demand assumption in Equation (5) is broken, do structural updates begin to appear on the graph. These standards guarantee that graph evolution occurs only in situations of objective degradation, and inflection points further reinforce them in load variation and loss rate curves. Similarly, the parameters of the evolutionary optimization function are determined by convergence consistency over multiple time periods, ensuring continuous reduction in power loss and maximizing sustainability. Therefore, every parameter decision in TEN-L is supported by analysis, validated by experiment, and repeatable within the specified smart grid operational restrictions.

3.2. Models Used

The proposed model is used to assess the relationship between   a p and   d r , factors defined earlier in the problem definition. The relationship is modeled based on the   ρ s value with a simple to multi-view graph model. The temporal factors from Data 2 (refer to Figure 1) are used to expand the graph across various conditional assessments. The conditional derivatives in Equation (3) series are used to assess the   ρ s , and this defines the   γ requirement. An evolutionary optimization is performed to update the graph model based on different temporal data inclusions. Therefore, the evolution of the simple to multi-view graph is a recurrent modification to identify the appropriate   γ that maximizes   ρ s and satisfies the objectives in Equation (4) series. Thus, the working model is discussed under graph-based assessment and evolution optimization, as follows.
The sustainability index and distribution efficiency are developed and refined based on recognized smart grid operational principles and real-world system constraints. The sustainability score assesses how well the smart grid can continue to integrate renewable energy sources while minimizing power outages across a range of demand conditions. Long-term energy system resilience serves as its theoretical foundation. It is calibrated within the range [0, 1] using the highest cumulative power and the lowest recorded loss from prior operational data. It is calculated as a normalized function of the loss rate, power-sharing capabilities, active-source involvement, and total renewable power. Traditional demand–supply matching and power flow efficiency theory form the foundation for distribution efficiency, defined as the ratio of effective demand response to total distributed power over a given time period. The rated distribution capacity (two 400 MW cycles per day) and the empirically established demand bounds of 300–810 MW/day are used for calibration. The threshold values of both indicators, calibrated using multi-interval real-world data collected between April 2022 and September 2023, are validated against the constraints in Equations (3) and (4). This ensures they meet both the real-world system constraints and the theoretical performance requirements of smart grid operations.

3.3. Graph-Based Assessment

In graph G based on the assessment, the nodes S   r e f e r e n c e and their edges e define the S and their connectivity with the smart grid. The augmentation and reduction in S N are dependent on the  e available. Therefore, G = S N , e is the initial graphic representation of the learning network. The first assumption is ρ s = 1 , such that all  N are connected to the SG and therefore a p I = δ I is achieved. However, with respect to the Data 2 inputs, demand and distribution define the modification in the  G structure. Thus, for an interval  I and  S N , the demand  d is defined as follows:
d I = S N + ρ s 1 l I a p 1 + a p 2 + a p I δ I
From Equation (5), the demand estimation with a linear distribution and an accumulation interval is defined. Based on the  S count and  ρ s Factor, this demand is computed. Since Equation (5) above is estimated as a linear model, the   G structure must retain the exact count of  S and  N between the 1 and   I interval to satisfy the objectives in Equation (4) series. Practically, this is less feasible due to internal and external influencing factors, due to which the G structure changes. The central smart grid hub, storage-enabled supply points, and individual renewable energy sources (such as solar and wind units) are all explicitly represented by nodes in the suggested TEN-L graph design. Time-varying attributes, including generation capacity, availability, and sustainability contribution, distinguish each of these nodes. Edges are weighted links that, together, describe availability and efficient power transmission capacity over a given duration. In terms of operational power flow, they illustrate the connections between nodes and the grid. Real-time variables, such as cumulative power, loss characteristics, distribution interval limitations, and the binary sharing status (sharing/non-sharing) specified in the model, are reflected in the dynamic update of the edge weights. As a result, edges signify not just logical connectedness but also the prospect of physically significant and temporally flexible power flow. This enables the graph to adjust to variations in demand, intermittency of renewable energy, and optimization results within the TEN-L framework. Therefore, the change  α for I and  S are defined in Equations (6) and (7), respectively, in the series below.
α 1 = d i f f d 1 , d 0 1
α 2 = d i f f d 2 , d 1 2  
α I = d i f f d I , d I 1 I
α 1 = d i f f a p 1 , l 0 i = 1 N i + d r s 1
α 2 = d i f f a p 1 , l 1 i = 1 N i + d r s 2
α S = d i f f [ a p S , l S 1 i = 1 N i + d r s n  
In Equations (6) and (7), the changes in  d I impact the interval (distribution) and energy sources (accumulation), and this impact is computed. If changes are identified, then the linear condition of  d I Equation (5) does not hold. Therefore, the graph structure changes abruptly, halting the objective satisfaction at only a particular time. This emphasizes the need for  γ and the change in  S     a n y   s n to ensure  a p I It is sufficient for distribution. Based on the above computation, the G changes and the  α I and  α S impact the temporal network structure as depicted in Figure 2.
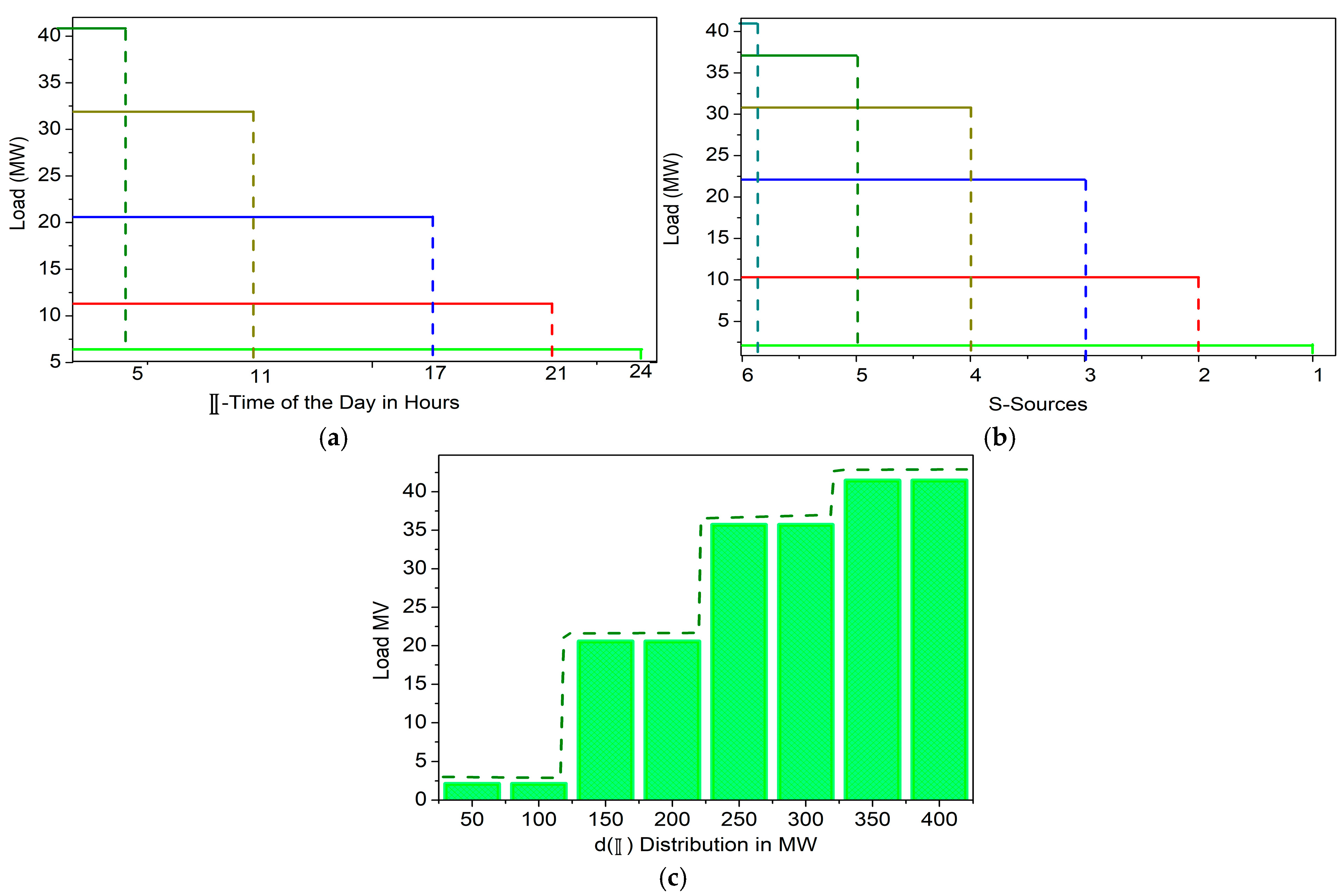
From the graph assessment, the representation in Figure 2b,c define the source-based validation of  a p I = d I . The representations in Figure 2d,e define the  a p I = d r I 1 l I assessments. Therefore, the final representation is the combination of both cases, that is, vice versa, as per  t h e   i m p a c t   o f   α I (or)  α S . The verification of an appropriate  γ recommendation for  S or I is based on the load duration curve. This curve estimation defines the  δ of the  s n S N to satisfy the conditions in Equation (4) series. Based on the data provided in the problem-defining section, the load variation curve is computed as shown in Figure 3a–c.
From the given data, the load variation curve for the different variants, i.e., I (hours),  S count, and  d I M W Are analyzed. For the time (interval) and  s n S , the load is seen to be decreasing from the peak distribution to the least value. This reduction emphasizes the new for  γ of different  s n In the same  I . In contrast, the  γ increase satisfies the  a p I = d I condition under which the curve increases from its lowest value to the highest level of demand satisfaction. Therefore, for the first two cases, the  δ is seen to be growing where  d r retention is lower. It is evident that as  d I through  γ with  ρ s = 1 condition increases, then less is less, and  δ is retained (high). Yet another factor considered from Data 2 (Refer to Figure 1) is the  l I Factor. For the same variants considered in Figure 3, the loss rate is analyzed in Figure 4a–c below. Considering the 400 MW as  a p , the  d i f f d I , d I 1 and  d i f f a p S , l S 1 They are used to compute the loss rate based on the demand.
The loss rate is referenced from the generated and accumulated outputs of the  s n to verify if it satisfies the conditions in Equation (4), avoiding Equation (3) constraints. This loss factor assessment increases the chances of  γ by preventing.  ρ s = 0 and low  a p I generating sources. Based on the different variants assessed, the I factor alone is found to be non-linear based on  d r . Therefore, the optimization for source integration for loss reduction even after peak  d I demand is required. In particular, the  l I for  S and uneven  I (Figure 4a–c), is to be optimized for  ρ s = 1 retention. The evolutionary optimization is the consecutive process of the proposed model for updating the G representation of the relationship between  a p and  d r to be accurate. The graph-based assessment is described in Algorithm 1.
Algorithm 1 Graph-based Assessment for a p and   d r
Input: Data 2, demand bounds [Dmin, Dmax], maximum RES count Nmax
Output: Optimized graph G
Initialize graph G ← (V, E)
Initialize V with RES nodes
Initialize E by connecting all RES nodes to the smart grid
for each time interval t ∈ I do
        Compute demand d(It) using Equation (5)
        Compute accumulated power variation ap(t) using Equation (6)
        Compute demand response variation dr(t) using Equation (7)
        if ap(t) ≠ 0 or d(It) ≠ 0 then
                if ap(t) < Dmin and |V| < Nmax then
                        Add new RES node to G
                end if
                for each RES node vi ∈ V do
                        if loss(vi) > Lthreshold then
                                Remove vi from G
                                Add new RES node with higher availability
                        end if
                end for
                if d(It) < DRthreshold and ap(t) ≥ Dmin then
                        Adjust edge weights in E based on accumulation and distribution
                end if
        end if
        Compute sustainability index δ(It) and distribution efficiency Δ
        if δ(It) ≈ 0 or Δ < Δthreshold then
                Identify critical nodes and edges
                Apply evolutionary optimization:
                        Maximize δ(It)
                        Minimize power loss
        end if
        Update graph G with optimized structure
        Analyze the load variation curve and loss rate
        Select optimization parameter (RES count or time interval)
        Update learning network parameters
end for
Return optimized graph G

3.4. Evolutionary Optimization

The evolutionary optimization is performed to maximize   δ by sustaining   through maximum   a p and   d r exploitation. The optimization objective is to maximize   δ in   [ I + d i f f a p S , l S 1 such that   l I is minimized. The second factor   from the problem definition section is completely exploited to reduce   α S and   α I . Thus, the evolution optimization for the above objective is defined independently for   S ,   I , and   ρ s as follows.
f s = S I S I + 1 s 1 s 2 s n N
f I = a p I I   s u c h   t h a t   γ s 1 , s 2 , , s n I
f ρ s = S N 1 ρ s s 1 s 2 s n N
Based on the above model, the   factor is recomputed using Equation (8), combining as
= f S + f I f ρ s a + p I
Equating Equations (2) and (9) and thus,
d r I × a p I l I a p I = f S + f I f ρ s a p I
ρ s = 1 , d r I a p I l I = f S + f I
and   a p I f S + f I d r I = l I
Representing the actual loss incurred in the  d r . The process is derived from the series in Equation (10). From Equation (10c), if  f S N , then  α S is the change required for all  f I I , α I . Therefore, the optimization for adjusting I (or)  S is the first step to reduce the  l I if  l I . If the load is reduced, satisfaction with the available renewable energy sources increases. In contrast, selecting either  f S or  f I for load handling and loss reduction increases the precision of  γ such that  arg min l 1 , l 2 , , l I is achievable in all  I . This section explains the methodology for integrating renewable sources using these two models.

3.5. Methodology

In the methodology section, the network-learning model for objective satisfaction is described, along with the constraint mitigation case. The constraints in Equation (3) series are independently discussed to show the  and  γ improvements. First, the network learning model is depicted in Figure 5.
The decision-making core of TEN-L is represented by the network-learning model shown in Figure 5, which combines evolutionary optimization and graph-based evaluation via a closed-loop temporal learning architecture. The model functions in an interval-wise fashion, with each layer representing a distribution interval and receiving inputs from the graph-based assessment module, such as loss rate, demand response, cumulative power, and sustainability index. These inputs are regarded as state variables that describe the smart grid’s present state of operation. The neural network selects the dominant control parameter—either the number of active renewable energy sources or the distribution interval—for optimization based on deviations found using Equations (3)–(7). Finally, by investigating configurations that enhance sustainability and demand response while minimizing losses, the evolutionary optimization module improves this decision.
The network-learning model depicted in Figure 5 integrates any mode of G to identify the precise impact factor from Equations (6), (7) and (10). The intermediate computation of   using Equation (9) uses optimization to select between   α S (or)   α I to maximize   and   δ . Therefore, updating the learning model is a vital requirement to provide the selection parameter for the   a p I = d I satisfaction case. This update   U is provided based on   S and I for the concurrent detection of   γ = 0 and   γ = 1 . The updated representation is given in Equation (11) series as follows:
U S = ρ s 1 l I S + S N d r d I d p I
U I = ρ s d i f f a p S , l I + ρ s d i f f f I , d I 1
This update is required to train the network to learn from the previous distribution interval. In this learning process, the  α S or  α I selection for  γ decisions is made more precise. Therefore, for the constraints defined in Equation (3), the  a p and  d r relationship is exploited as described below for  s and I variants. The suggested TEN-L model’s temporal learning capabilities are achieved through interval-wise modeling with historical smart grid data and recursive updates of demand-generation connections. The input data is divided into accumulated power windows and sequential distribution intervals to extract temporal characteristics. Equations (1)–(7) are then used to calculate the demand, renewable energy output, sustainability index, and power loss at each time. The model can adapt its parameters to prior demand–supply imbalances by explicitly incorporating historical data from prior intervals into the learning process, using the network update procedures outlined in Equation (11a,b). By dynamically altering node designs (renewable energy sources) and edge weights (distribution efficiency and sustainability) over time, the shifting network structure demonstrates temporal links. Moreover, the evolutionary optimization technique ensures that long-term demand trends and renewable variability are continuously learned and reflected in subsequent model updates by using performance outcomes from prior intervals to guide future integration decisions.
(i) Constraint Assessment for  S  Variant: The constraints in Equation (3) series are addressed from the reverse case using  l I . This  l I is defined in Equation (10c), for which the selection is I based on any number of  S . If  ρ s = 1 , then  γ of all  S takes place in the same I . Considering this case, if  a p = d r = d I , then  l I = 0 , and therefore Equation (10c) is re-written as
a p I = f S + f I d r I a p I d r I = f S + f I a p I = f S + F I
In its original form, Equation (12) was heuristic, providing a square-root relationship between cumulative power and abstract functions f(S) and f(I) without any physical derivation to distinguish between the learning/optimization rules generated by the TEN-L network model and the physical system equations, which are based on energy balance and distribution laws. To aid understanding, a thorough notation table (Table 1) listing all symbols, units, and their functions has been provided. Either the heuristic derivations have been publicly acknowledged as optimization approximations with a strong rationale, or they have been thoroughly evaluated utilizing temporal graph-based assessment and evolutionary optimization techniques. Furthermore, constraints are now clearly separated into two groups: soft constraints, which represent optimization penalties inside the learning model, and hard constraints, which indicate physical system limitations.
This Equation (12) refers to the mean root of   f S and   f I if the   l I = 0 , and therefore the constraints in Equation (3) are re-defined as
δ I = N × = a p = d r   i n   a n y   I   a n d   δ I = d r I
And
a p I = d r I + δ 1 δ = a p I d r I + 1
Equating Equations (4d) and (13b)
a p = d r I + 1 = δ I s n a p I ) 2 d r I + 1 × d r I = δ I
Thus , 2 d r I 2 + d r I = δ I d r I 2 d r I + 1 = δ I
The constraints from Equation (3) and the objectives in Equation (4) are satisfied using  δ I , as computed in Equation (13d). This is applicable if  α S is the selected variant for optimization. When using multiple  s n in any I , the  γ is retained by maximizing the chance of  ρ s = 1 . Therefore, an  s n that does not satisfy any one of Equation (3)’s conditions is replaced for a new  γ .
(ii) Constraint Assessment for  I  Variants: The l I in any interval requires a new  γ of  s n and the consecutive I is augmented with a new  S . Therefore, in this case, the  α I selected is the optimization parameter. Thus, if the selection is valid, then  d i f f a p S , l I = d r I ; this is the same as the  d I and hence substitutes Equation (5) into (2) and thus
= S N + ρ s + a p I δ I a s l I = 0
Equating Equations (14a) and (9) to verify the constraints suppression.
S N + ρ s + a p I δ I = f I f ρ s + f S a p I
ρ s = f I f ρ s + f S a p I a p I δ I S N
If  ρ s as defined in Equation (14c) is achieved, then  arg   max   a p I s 1   t o   s n   S is identified. Therefore, for the same I only selective  S N is targeted to maximize the  δ and  factors simultaneously. In particular, if  a p S = d r I , then  ρ s = 1 a p I δ I S n = 1 d I δ I is the final solution for retaining the  a p and  d r relationship, mitigating the continuous function in Equation (3).
The TEN-L framework uses a genetic algorithm (GA) as its evolutionary optimization device since it works effectively with nonlinear, multi-objective, and mixed discrete–continuous decision variables in smart grid applications. Each candidate solution encodes a graph configuration that includes the number of active renewable energy sources (RES), the binary power-sharing state, and the distribution interval. A population of 30 individuals experiences evolution for 50 generations every interval, employing tournament selection, single-point crossover (probability 0.8), and mutation (probability 0.1), while elitism protects the top 10% of solutions. A weighted objective function that optimizes the sustainability index and demand response while reducing distribution loss is used to measure fitness. It eliminates out infeasible solutions which violate the rules in Equation (3). The technique that works best adjusts the learning parameters and the structure of the temporal graph for the following interval. It enables adaptive renewable integration work during periods of demand and generation change.
The methodology is applied for selective parameter optimization to reduce the demand inflation problem by reducing  l I . The learning network’s parameter (selection) update concisely identifies the problem in energy distribution. Therefore, SG is integrated with the selective  s n to maintain distribution efficiency regardless of demand. This is monotonous for the varying intervals, renewable sources, and power distribution rates. The methodology presented above is described in Algorithm 2.
Algorithm 2 Methodology Algorithm of the proposed TEN-L
Initialize the network learning model with initial renewable energy sources (RES) connected to the smart grid.
Assess the demand and distribution using the graph-based assessment:
      a. Compute demand estimation using d I
      b. Calculate changes in RES and distribution using α I and α S
      c. Analyze load variation curve for time interval, RES count, and sustainability index
      d. Evaluate loss rate for different variants
Perform evolutionary optimization:
      a. Maximize the sustainability index while minimizing power loss
      b. Recompute the sustainability factor using  
      c. Derive actual loss using Equation (10a–c)
Update the learning model:
      a. Use equations U S and U I to update based on the previous distribution interval
      b. Refine selection between RES count or distribution interval
Address constraints for RES count variant:
      a. Compute the mean root of sustainability and distribution efficiency using d r I 2 d r I + 1 = δ I
      b. Verify constraint satisfaction using Equations (3) and (4)
      c. Replace RES that do not satisfy conditions
Address constraints for distribution interval variant:
      a. Verify constraint suppression using   ρ s
      b. Identify optimal distribution interval
      c. Target selective RES to maximize sustainability and efficiency factors
Update learning network parameters based on selection outcomes
Iterate the process to optimize RES integration and reduce demand inflation continuously
Graph-based network learning and evolutionary optimization are merged in TEN-L, a hybrid learning–optimization control approach. By continuously updating judgments based on prior intervals, it combines learning, optimization, and adaptive control to enable dynamic renewable integration in smart grids. Under dynamic operating conditions, the proposed TEN-L model replaces fixed parameters with an explicit adaptive parameter change mechanism. Time-varying variations in demand, renewable generation, and distribution losses are continuously monitored, and changes in the sustainability index or distribution efficiency act as feedback signals at each distribution interval. When such disparities are identified, the evolutionary optimization module is activated to modify essential control parameters, including the distribution interval and the quantity of renewable energy sources. These updates are controlled by the model’s optimization equations and temporal learning processes, which enable automatic modification of the optimization variables and graph topology. TEN-L’s closed-loop, feedback-driven adaptation allows it to maintain consistent performance and efficiency even in dynamic, uncertain work environments. TEN-L enables dynamic graph reconstruction based on cumulative power, prior intervals, and sustainability–loss trade-offs using a unique combination of temporal network development and objective-aware updates. It adaptively adds, replaces, or redistributes renewable sources in real time, something static or policy-based models cannot do, in contrast to traditional GA/PSO or DRL approaches.

4. Results and Discussion

The present research uses a real-world smart grid operational dataset that includes measurements of solar and wind power generation as well as load demand, derived from a functioning renewable-integrated grid scenario initially reported in [21] as well as enhanced with benchmark renewable integration data aligned with graph-based optimization studies in [37]. The dataset covers the time period from April 2022 to September 2023 and has more than 1000 observations that are indexed by time. Each day, the data is recorded at four fixed times: morning, noon, evening, and night. This temporal resolution captures the most important changes in renewable energy use during the day while minimizing high-frequency noise which is not useful for cumulative power and sustainability research. The raw data has time-stamped renewable generation, the status of power sharing on the grid, the total amount of power, the period between distributions, and the number of active renewable energy sources. Before the analysis, partial records have been carried out; solar, wind, and demand signals synchronized in time; and all the features have been placed on the same scale. Then, cumulative power and demand representations for each interval have been created to help with graph-based assessment and evolutionary optimization. The usual daily demand is between 300 and 810 MW, while the average daily renewable generation is about 700 MW. The demand is satisfied in two 400 MW cycles per day. It utilized the same dataset and preparation pipeline for all of the comparing methods to make sure that the results could be reproduced and that the performance of each approach could be accurately compared.
In the results section, analytical and comparative assessments for the metrics considered in this article are discussed. The results related to power generation, active demand, demand response, and distribution efficiency are compared with those of Ndeke et al. [34], Zhao et al. [20], Zafar and Chung [21], and Alsolami et al. [30]. Thus, the first is the power generation output analyzed for different sources, averaged over 24 h and a consecutive 7 days. In this analysis, the integration of solar and wind sources is also considered. The study is presented in Figure 6. The experiments were carried out using a real-world smart grid dataset that integrated solar and wind energy generation and was sourced from reliable public sources, spanning April 2022 to September 2023. Four daily power and demand assessments yielded more than 1000 temporally indexed data points. To facilitate consistent learning and optimization, data preprocessing methods included feature scaling, normalization, temporal source synchronization, and the elimination of incomplete records. To ensure robustness and reproducibility, each result was obtained by averaging 30 independent experimental runs with different random initializations. Using Wilcoxon signed-rank tests and paired two-tailed t-tests at a 0.05 significance level, the statistical significance of the performance gains of the suggested model was confirmed, demonstrating that improvements over baseline approaches are statistically significant.
The combined average power generation rate is 700 MW, observed from April 2022 to September 2023, with data recorded four times daily. The daily energy demand varies between 300 and 810 MW, distributed across two 400-MW cycles. This includes load variation curves for different hours, the number of renewable energy sources, and the sustainability index. Hourly variations reveal a decline from peak distribution to the lowest point, indicating a potential need for new energy sources or distribution adjustments. As the number of renewable energy sources grows, the load curve ascends from its lowest to highest points, suggesting improved demand fulfillment. The sustainability index also affects power generation, with higher indices generally linked to better retention of renewable energy sources and reduced losses. These variations underscore the intricate relationship between time, the availability of renewable resources, and system efficiency in power generation (Figure 6). Following the power generation analysis, the above metrics are compared in Table 2, Table 3 and Table 4, considering hours and generation rate.
Demand response is rapidly employed to shift energy loads to periods of lower consumption, thereby reducing peak demand and enhancing system stability. Intelligent metering systems enable continuous tracking of usage patterns, facilitating automated adjustments and dynamic resource scheduling. This adaptability supports energy conservation and decreases dependence on fossil fuels. TEN-L augments the integration of renewable energy sources, advanced computational techniques such as deep learning, and reinforcement learning models that modify allocation policies in real-time. These technologies improve forecasting, load balancing, and efficient resource scheduling, collectively reducing active demand and optimizing energy distribution across regions (Table 2).
High-demand responses occur when the energy management system successfully aligns consumption with available supply, especially during peak periods. This alignment is facilitated by smart metering infrastructure that continuously tracks usage patterns and enables control mechanisms to adjust consumption in response to supply fluctuations. Automated adjustments enhance flexibility by allowing dynamic resource scheduling under varying conditions, supporting energy conservation, and reducing dependence on fossil fuels. Distribution losses are minimized through various strategies. The integration of renewable energy sources, along with effective storage systems, helps maintain a balance between supply and demand. Advanced computational techniques, such as deep learning, enhance the forecasting of renewable energy output and aid in more effective distribution planning. Furthermore, load balancing is improved through reinforcement learning models that dynamically adjust allocation policies in real time, ensuring efficient resource scheduling in rapidly changing environments. These strategies collectively help reduce distribution losses and bolster the overall sustainability of the energy system (Table 3).
Sustainability elements are essential for enhancing distribution efficiency. Intelligent metering systems continuously track usage patterns, enabling effective alignment of consumption with available supply, especially during peak demand. Automated adjustments enhance flexibility by dynamically scheduling resources under varying conditions, supporting energy conservation and reducing dependence on fossil fuels. The integration of renewable energy sources, along with efficient storage systems, helps maintain a balance between supply and demand. Advanced computational techniques, such as deep learning, enhance the forecasting of renewable energy output and improve distribution planning. Load balancing is improved through reinforcement learning models that modify allocation policies in real-time, ensuring efficient resource scheduling in rapidly changing environments. These strategies collectively minimize distribution losses, reduce energy waste, and optimize resource allocation. By leveraging these sustainability factors, energy management systems can significantly enhance distribution efficiency, resulting in a more resilient, eco-friendly energy infrastructure (Table 4).
To statistically confirm the comparative performance shown in Table 2, Table 3 and Table 4, all simulations included over 30 independent iterations utilizing different random seeds. The values indicated are the mean ± standard deviation, which shows how stable and variable the results are. We also calculated 95% confidence intervals for all the important parameters to measure how uncertain our estimates were. A paired Student’s t-test has been employed to see if the improvements seen in the suggested TEN-L framework above baseline approaches were statistically significant. It is carried out under the same experimental settings. The p-values (p < 0.05) show that the increases in network lifetime, sustainability index, and distribution efficiency are statistically significant. These statistical measurements show that the stated performance benefits are stable, reliable, instead of a result of random chance, which makes the experimental findings more robust.
Following the above comparative assessment, the objectives defined in Equation (4) are analyzed using the following representations. In these representations, the impact of graph-based assessment and evolutionary optimization is considered. The analysis assumes the relationship between a p and    d r with δ and    ρ s . If the δ I and ρ s at any interval is optimized, then   l I It is confined to achieving high distribution efficiency.
The connection between accumulated power and demand response in sharing scenarios is explained through Equations (1)–(4). Equation (1) indicates that accumulated power  a p depends on the interval  I , the likelihood of power being shared with the grid  ρ s , the count of active renewable energy sources, and  N . Demand response is incorporated into Equation (2), which concerns distribution efficiency. When power sharing is activated  ( ρ s = 1 ) , accumulated power can be distributed more efficiently to satisfy demand responses. High-demand responses are observed when the energy management system effectively synchronizes consumption with available supply, particularly during peak periods. This synchronization is supported by smart metering infrastructure and control systems that adjust consumption in response to supply variations. The relationship seeks to enhance  and distribute efficiency while reducing losses, as specified in the objectives and constraints outlined in Equations (3) and (4) (Figure 7).
The link between sharing and sustainability in power distribution loss is deeply intertwined. The ability to share power with the grid (1 for sharing and 0 for not sharing) directly affects the sustainability index. Enhanced sharing capabilities lead to better sustainability by facilitating more efficient distribution of renewable energy resources, which, in turn, helps reduce power distribution losses. A high sustainability index indicates better retention of renewable energy sources and decreasing losses. The adoption of innovative grid technologies and advanced computational techniques, such as deep learning and reinforcement learning, further strengthens this connection by enabling real-time power allocation adjustments and improving load balancing. Together, these elements help to minimize distribution losses while maximizing the use of available renewable energy sources, thereby bolstering the overall sustainability of the power distribution system (Figure 8).
The primary purpose of TEN-L works as well as other methods is that it uses a design that blends graph-based assessment, evolutionary optimization, and adaptive learning. The graph format lets TEN-L clearly demonstrate how renewable sources, demand, and distribution periods interact. The result is it possible to find and fix inefficient nodes and power-flow channels in real time. The evolutionary optimization aspect functions together to find the best RES option and time distribution. It works well when demand and renewable generation change, where static or heuristic methods fail. Also, the learning-based update system reinforces effective configurations over time, allowing for constant adaptation. These design elements together explain why TEN-L is more sustainable, adapts better to changes in demand, and has fewer losses than baseline methods.
The scalability of TEN-L in larger and more complex smart grid environments is primarily governed by its modular design. As the grid becomes larger and more renewable energy sources are included, the graph-based assessment grows linearly with the number of renewable energy sources and distribution intervals. Evolutionary optimization, on the other side, is simply used on a small number of important nodes and parameters found during the constraint assessment. This selective optimization strategy maintains TEN-L working well even when there are a lot of renewable sources. Although larger deployments may increase computational overhead, the interval-wise learning and localized graph updates allow the framework to adapt without requiring full re-optimization at each step, making TEN-L suitable for scalable smart grid applications.
It is clear that the performance gains that TEN-L has made have real-world effects on how smart grids function. For instance, a 12.38% increase in demand response means more flexible loads, which helps grid operators better handle changes in demand and the fluctuating nature of renewable energy sources without having to rely on cost reserve manufacturing. Similarly, lower distribution losses mean better use of energy and lower operating costs, while higher sustainability scores mean greater resilience in the face of changing generation conditions. All of these enhancements make smart grid management more reliable, flexible, and cost-effective. It demonstrates that the proposed framework has real operational benefits that extend beyond numerical performance measures.

5. Conclusions

The Temporal Evolution Network-Learning (TEN-L) model introduced in this article offers a promising strategy for managing sustainable energy in smart grids by integrating renewable resources. Utilizing graph-based evaluation and evolutionary optimization, TEN-L addresses issues in demand response and efficiency by mitigating power loss. The relationship between accumulated power and demand responses is augmented through temporal learning and an evolutionary optimization algorithm that identifies opportunities to improve sustainability. The different influencing factors and their performance-related issues are considered in this proposed model to ensure maximum resource integration and high demand response. The model shows enhanced sustainability and distribution efficiency while minimizing power losses. The proposed TEN-L achieved 12.27% high demand response and 11.91% high distribution efficiency at the maximum accumulated power. In the future, implementing and testing the TEN-L model in different smart grid settings would provide valuable insights into its practical effectiveness and potential for widespread use in sustainable energy management systems.

6. Limitations

TEN-L shows better performance; however, it makes things more complicated since it uses graph-based assessment and evolutionary optimization. It could make it harder to grow up in large or real-time smart grid deployments. The framework additionally assumes that demand and renewable generation measurements are correct and uses parameters that consisted chosen based on real-world data. It will make it challenging to generalize across different grid configurations.

Funding

This research received no external funding.

Data Availability Statement

The original contributions presented in this study are included in the article. Further inquiries can be directed to the author.

Conflicts of Interest

The author declares no conflict of interest.

References

  1. Abbas, G.; Wu, Z.; Ali, A. Multi-objective multi-period optimal site and size of distributed generation along with network reconfiguration. IET Renew. Power Gener. 2024, 18, 3704–3730. [Google Scholar] [CrossRef]
  2. Ali, A.; Abbas, G.; Keerio, M.U.; Koondhar, M.A.; Chandni, K.; Mirsaeidi, S. Solution of Constrained mixed-integer multi-objective optimal power flow problem considering the hybrid multi-objective evolutionary algorithm. IET Gener. Transm. Distrib. 2023, 17, 66–90. [Google Scholar] [CrossRef]
  3. Chen, L.; Wang, C.; Wu, Z. Reinforcement learning-based time of use pricing design toward distributed energy integration in a low-carbon power system. IEEE Trans. Netw. Sci. Eng. 2024, 12, 997–1010. [Google Scholar]
  4. Yang, J.; Zhao, L.; Xu, C.; Sun, Y.; Ren, H.; Nie, Z. A deep-learning multi-source information fusion method for high-precision PV identification: Integration of U2-net image segmentation and multi-spectral screening. Appl. Energy 2025, 401, 126548. [Google Scholar]
  5. Flórez-Orrego, D.; Dardor, D.; Germanier, R.; Margni, M.; Maréchal, F. A systematic study for decarbonizing secondary aluminium production via waste heat recovery, carbon management, and renewable energy integration. Energy Convers. Manag. 2025, 341, 120021. [Google Scholar]
  6. Adeyinka, A.M.; Esan, O.C.; Ijaola, A.O.; Farayibi, P.K. Advancements in hybrid energy storage systems for enhancing renewable energy-to-grid integration. Sustain. Energy Res. 2024, 11, 26. [Google Scholar]
  7. Ali, A.; Abbas, G.; Keerio, M.U.; Mugheri, N.H.; Memon, S.; Saand, A.S. Optimization of distributed energy resources planning and battery energy storage management via large-scale multi-objective evolutionary algorithm. Energy 2024, 311, 133463. [Google Scholar]
  8. Ben Slama, S.A.; Dahmani, N. SmartGrid AI: Enhancing home energy management with blockchain and deep learning for renewable integration. Neural Comput. Appl. 2025, 37, 12735–12766. [Google Scholar] [CrossRef]
  9. Zheng, Y.; Jia, J.; An, D. Energy Management for Microgrids with Hybrid Hydrogen-Battery Storage: A Reinforcement Learning Framework Integrated Multi-Objective Dynamic Regulation. Processes 2025, 13, 2558. [Google Scholar]
  10. El Wejhani, S.; Tnani, S.; Elleuch, M.; Ben Kilani, K.; Ennine, G. Stability indices in power networks: A correlation–regression analysis for renewable energy integration. Electr. Eng. 2025, 107, 13501–13517. [Google Scholar] [CrossRef]
  11. Yeoh, J.H.; Lo, K.Y.; Hsieh, I.Y.L. Optimizing urban energy flows: Integrative vehicle-to-building strategies and renewable energy management. Energy Convers. Manag. X 2025, 26, 100974. [Google Scholar] [CrossRef]
  12. Horrillo-Quintero, P.; García-Triviño, P.; Hosseini, E.; García-Vázquez, C.A.; Sánchez-Sainz, H.; Ugalde-Loo, C.E.; Perić, V.S.; Fernández-Ramírez, L.M. Dynamic fuzzy logic energy management system for a multi-energy microgrid. IEEE Access 2024, 12, 93221–93234. [Google Scholar] [CrossRef]
  13. Jing, T.; Zhao, Y. Optimizing energy consumption in smart buildings: A model for efficient energy management and renewable integration. Energy Build. 2024, 323, 114754. [Google Scholar] [CrossRef]
  14. Zhou, Y.; Wang, Y.; Yang, M. Optimal integration of renewable energy in refinery hydrogen management systems: Energy storage and direct utilization. Energy Convers. Manag. 2024, 304, 118223. [Google Scholar] [CrossRef]
  15. Chegari, B.; Tabaa, M.; Simeu, E.; El Ganaoui, M. Optimal energy management of a hybrid system composed of PV, Wind turbine, pumped hydropower storage, and battery storage to achieve a complete energy self-sufficiency in residential buildings. IEEE Access 2024, 12, 126624–126639. [Google Scholar] [CrossRef]
  16. Zhang, H.; Zhang, G.; Zhao, M.; Liu, Y. Load forecasting-based learning system for energy management with battery degradation estimation: A deep reinforcement learning approach. IEEE Trans. Consum. Electron. 2024, 70, 2342–2352. [Google Scholar] [CrossRef]
  17. Talab, O.A.; Avci, I. Energy management in microgrids using model-free deep reinforcement learning approach. IEEE Access 2025, 13, 5871–5891. [Google Scholar] [CrossRef]
  18. Abbas, G.; Zhi, W.; Ali, A. A two-stage reactive power optimization method for distribution networks based on a hybrid model and data-driven approach. IET Renew. Power Gener. 2024, 18, 3967–3979. [Google Scholar] [CrossRef]
  19. Ioannou, I.; Javaid, S.; Tan, Y.; Vassiliou, V. Autonomous Reinforcement Learning for Intelligent and Sustainable Autonomous Microgrid Energy Management. Electronics 2025, 14, 2691. [Google Scholar] [CrossRef]
  20. Zhao, L.; Li, Q.; Ding, G. An intelligent web-based energy management system for distributed energy resources integration and optimization. J. Web Eng. 2024, 23, 165–195. [Google Scholar] [CrossRef]
  21. Zafar, R.; Chung, I.Y. Data-driven multiperiod optimal power flow for power system scheduling considering renewable energy integration. IEEE Access 2024, 12, 95278–95290. [Google Scholar] [CrossRef]
  22. Arun, M.; Le, T.T.; Barik, D.; Sharma, P.; Osman, S.M.; Huynh, V.K.; Kowalski, J.; Dong, V.H.; Le, V.V. Deep learning-enabled integration of renewable energy sources through photovoltaics in buildings. Case Stud. Therm. Eng. 2024, 61, 105115. [Google Scholar] [CrossRef]
  23. Hu, Y.; Jin, Y. Energy Hubs Integrating Renewable Energy Sources and Demand Response Programs for Cost-Effective Operations. Energy 2025, 333, 137271. [Google Scholar] [CrossRef]
  24. Gabber, H.A.; Hemied, O.S. MG-OPT: Intelligent multi-objective Pareto-based optimization framework and transactive energy for Hybrid Renewable Energy Systems with hydrogen integration. Energy Convers. Manag. 2025, 341, 120042. [Google Scholar] [CrossRef]
  25. Abbas, G.; Wu, Z.; Ali, A. Optimal scheduling and management of grid-connected distributed resources using improved decomposition-based many-objective evolutionary algorithm. IET Gener. Transm. Distrib. 2024, 18, 2625–2649. [Google Scholar] [CrossRef]
  26. Álvarez-Arroyo, C.; Vergine, S.; de la Nieta, A.S.; Alvarado-Barrios, L.; D’Amico, G. Optimising microgrid energy management: Leveraging flexible storage systems and full integration of renewable energy sources. Renew. Energy 2024, 229, 120701. [Google Scholar] [CrossRef]
  27. Zhao, F. Optimizing microgrid management with intelligent planning: A chaos theory-based salp swarm algorithm for renewable energy integration and demand response. Comput. Electr. Eng. 2024, 120, 109847. [Google Scholar] [CrossRef]
  28. Gu, Z.; Li, B.; Zhang, G. Optimizing photovoltaic integration in grid management via a deep learning-based scenario analysis. Sci. Rep. 2025, 15, 14851. [Google Scholar] [CrossRef]
  29. Tang, X.; Wang, J. Deep Reinforcement Learning-Based Multi-Objective Optimization for Virtual Power Plants and Smart Grids: Maximizing Renewable Energy Integration and Grid Efficiency. Processes 2025, 13, 1809. [Google Scholar] [CrossRef]
  30. Alsolami, M.; Alferidi, A.; Lami, B. Real-Time Energy Management of a Microgrid Using MPC-DDQN-Controlled V2H and H2V Operations with Renewable Energy Integration. Energies 2025, 18, 4622. [Google Scholar] [CrossRef]
  31. Hematian, H.; Askari, M.T.; Ahmadi, M.A.; Sameemoqadam, M.; Nik, M.B. Robust optimization for microgrid management with compensator, EV, storage, demand response, and renewable integration. IEEE Access 2024, 12, 73413–73425. [Google Scholar] [CrossRef]
  32. Legrene, I.; Wong, T.; Dessaint, L.A. Deep reinforcement learning approach for hybrid renewable energy systems optimization. Eng. Appl. Artif. Intell. 2025, 159, 111650. [Google Scholar] [CrossRef]
  33. Bashyal, A.; Alnahas, H.; Boroukhian, T.; Wicaksono, H. Demand response based industrial energy management with focus on consumption of renewable energy: A deep reinforcement learning approach. Procedia Comput. Sci. 2025, 253, 1442–1451. [Google Scholar] [CrossRef]
  34. Ndeke, C.B.; Adonis, M.; Almaktoof, A. Energy management strategy for a hybrid micro-grid system using renewable energy. Discov. Energy 2024, 4, 1. [Google Scholar] [CrossRef]
  35. Senyonyi, B.; Mahmoud, H.; Sekiguchi, H.; Hassan, H. New approach for zero energy industries via integrating energy management and renewable energy system: Enviro-economic investigation. Energy Build. 2024, 319, 114573. [Google Scholar] [CrossRef]
  36. Hassan, A.M.S. Joint energy management with integration of renewable energy sources considering energy and reserve minimization. Electr. Power Syst. Res. 2024, 232, 110412. [Google Scholar] [CrossRef]
  37. Zhang, N.; Sun, Q.; Yang, L.; Li, Y. Event-triggered distributed hybrid control scheme for the integrated energy system. IEEE Trans. Ind. Inform. 2021, 18, 835–846. [Google Scholar] [CrossRef]
  38. Yang, L.; Li, X.; Sun, M.; Sun, C. Hybrid policy-based reinforcement learning of adaptive energy management for the energy transmission-constrained island group. IEEE Trans. Ind. Inform. 2023, 19, 10751–10762. [Google Scholar] [CrossRef]
  39. Liu, J.; Hou, Z.; Liu, B.; Zhou, X. Mathematical and Machine Learning Innovations for Power Systems: Predicting Transformer Oil Temperature with Beluga Whale Optimization-Based Hybrid Neural Networks. Mathematics 2025, 13, 1785. [Google Scholar] [CrossRef]
  40. Hou, Z.; Liu, J.; Shao, Z.; Ma, Q.; Liu, W. Machine Learning Innovations in Renewable Energy Systems with Integrated NRBO–TXAD for Enhanced Wind Speed Forecasting Accuracy. Electronics 2025, 14, 2329. [Google Scholar] [CrossRef]
  41. Liu, J.; Hou, Z.; Wang, B.; Yin, T. Optimizing Microgrid Energy Management via DE–HHO Hybrid Metaheuristics. Comput. Mater. Contin. 2025, 84, 4729–4754. [Google Scholar] [CrossRef]
  42. Liu, J.; Hou, Z.; Yin, T. Short-Term Power Load Forecast Using OOA-Optimized Bidirectional Memory Network with Spectral Attention for the Frequency Domain. Energy Rep. 2024, 12, 4891–4908. [Google Scholar] [CrossRef]
  43. Hou, Z.; Liu, J. Enhancing Smart Grid Sustainability: Using Advanced Hybrid Machine Learning Techniques While Considering Multiple Influencing Factors for Imputing Missing Electric Load Data. Sustainability 2024, 16, 8092. [Google Scholar] [CrossRef]
  44. Bhutta, M.S.; Li, Y.; Abubakar, M.; Almasoudi, F.M.; Alatawi, K.S.S.; Altimania, M.R.; Al-Barashi, M. Optimizing solar power efficiency in smart grids using hybrid machine learning models for accurate energy generation prediction. Sci. Rep. 2024, 14, 17101. [Google Scholar] [CrossRef]
Figure 1. Energy demand response and shortage in an SG for which heterogeneous data collection is made.
Figure 1. Energy demand response and shortage in an SG for which heterogeneous data collection is made.
Energies 19 00345 g001
Figure 2. Illustration of G changes. (a) Represents the G where no integration is required, (b) illustrates the need for a new energy source, (c) replacing the existing energy sources with new ones, (d) interval-based accumulation and distribution verification, (e) new source integration as existing sources do not meet the  d I demand, (f) joint illustration of G for  α I under  γ = 0 and  γ = 1 cases.
Figure 2. Illustration of G changes. (a) Represents the G where no integration is required, (b) illustrates the need for a new energy source, (c) replacing the existing energy sources with new ones, (d) interval-based accumulation and distribution verification, (e) new source integration as existing sources do not meet the  d I demand, (f) joint illustration of G for  α I under  γ = 0 and  γ = 1 cases.
Energies 19 00345 g002
Figure 3. Load variation curve for (a) I (hours), (b) S count, and (c)   d I   M W .
Figure 3. Load variation curve for (a) I (hours), (b) S count, and (c)   d I   M W .
Energies 19 00345 g003
Figure 4. l I Curve for (a)   I (hours), (b)   S count, and (c)   d I M W .
Figure 4. l I Curve for (a)   I (hours), (b)   S count, and (c)   d I M W .
Energies 19 00345 g004
Figure 5. Network-learning model representing γ = 0 γ = 1 cases for impact factor based changing variable selection.
Figure 5. Network-learning model representing γ = 0 γ = 1 cases for impact factor based changing variable selection.
Energies 19 00345 g005
Figure 6. Power generation output analysis based on (a) time, (b) days, (c) month/year.
Figure 6. Power generation output analysis based on (a) time, (b) days, (c) month/year.
Energies 19 00345 g006
Figure 7. Demand response comparison across distribution intervals.
Figure 7. Demand response comparison across distribution intervals.
Energies 19 00345 g007
Figure 8. Distribution loss comparison across distribution intervals.
Figure 8. Distribution loss comparison across distribution intervals.
Energies 19 00345 g008
Table 1. Summary of notations, symbols, and variables used in the TEN-L mathematical model and optimization framework.
Table 1. Summary of notations, symbols, and variables used in the TEN-L mathematical model and optimization framework.
SymbolDescriptionUnitRole/Remarks
PAccumulated powerMWTotal power generated or stored over the observation interval
S Sustainability factorDimensionlessAbstract measure representing the renewable resource utilization efficiency
IDistribution efficiency indexDimensionlessAbstract measure of efficiency in power distribution across the grid
f(S)Function of sustainabilityDimensionlessRepresents the effect of the sustainability factor on network optimization
f ( I ) Function of distribution efficiencyDimensionlessRepresents the effect of distribution efficiency on optimization
t Time intervalhoursTemporal index for observation and optimization
RESRenewable Energy SourceMWPower output of individual solar, wind, or hybrid sources
NNumber of active RESCountNumber of renewable sources contributing at a given interval
NTotal number of RESCountMaximum available renewable sources in the grid
DRDemand ResponseMWLoad adjustment to balance demand and supply
LLoss rateMW or %Power loss in distribution due to inefficiencies
GGraph/network representation-Represents the connectivity of RES nodes and grid edges
x Selection parameter-Optimization variable (RES count or interval)
Table 2. Active demand comparison for hours/day and power generation variants.
Table 2. Active demand comparison for hours/day and power generation variants.
VariantsValueNdebe et al. [34]Zhao et al. [20]Zafar & Chung [21]Alsolami et al. [30]TEN-L
Hours/Day280.9558.0243.7423.6622.217
486.0351.9136.8434.0319.797
667.7762.8433.0837.4518.690
869.5251.6034.9015.3814.172
1083.5859.1344.3322.2215.219
1256.9748.2925.0717.6220.810
1466.7253.6432.8330.4219.929
1695.9949.2247.9122.3215.267
1858.4744.8731.0115.0114.029
2090.6259.8230.0416.2914.301
2282.8048.3631.3631.6112.877
2453.7263.8948.2418.9023.895
Generation (MW)40082.8248.9433.9018.8523.420
45086.4250.6437.1831.0117.579
50057.7051.8442.3429.3122.951
55085.4652.2729.6918.6212.479
60071.8845.5140.3030.1015.998
65069.2947.0143.3416.0215.021
70080.2144.4526.1826.0719.530
Table 3. Demand response and loss comparisons for hours/day and power generation variants.
Table 3. Demand response and loss comparisons for hours/day and power generation variants.
VariantsValueNdebe et al. [34]Zhao et al. [20]Zafar & Chung [21]Alsolami et al. [30]TEN-L
d r l I d r l I d r l I d r l I d r l I
Hours/Day20.881 ± 0.1350.900 ± 0.110.893 ± 0.060.929 ± 0.0790.9475 ± 0.0357
40.885 ± 0.1760.878 ± 0.1200.933 ± 0.0880.926 ± 0.0800.9356 ± 0.0490
60.890 ± 0.1310.880 ± 0.1110.918 ± 0.0710.938 ± 0.0790.9516 ± 0.0324
80.873 ± 0.1590.896 ± 0.0960.933 ± 0.0860.961 ± 0.0440.9459 ± 0.0571
100.878 ± 0.1230.906 ± 0.1050.925 ± 0.0930.959 ± 0.0570.9513 ± 0.0594
120.863 ± 0.1710.900 ± 0.1270.940 ± 0.0770.936 ± 0.0750.9348 ± 0.0423
140.887 ± 0.1490.907 ± 0.1160.906 ± 0.0690.944 ± 0.0890.9387 ± 0.0563
160.878 ± 0.1630.894 ± 0.1260.926 ± 0.0930.923 ± 0.0470.9313 ± 0.0466
180.870 ± 0.1320.912 ± 0.1200.912 ± 0.0760.960 ± 0.0700.9375 ± 0.0339
200.885 ± 0.1440.920 ± 0.1110.933 ± 0.0670.917 ± 0.0530.9466 ± 0.0383
220.863 ± 0.1740.905 ± 0.1150.939 ± 0.0910.928 ± 0.0550.9612 ± 0.0487
240.867 ± 0.1680.873 ± 0.1150.919 ± 0.0890.962 ± 0.0520.9559 ± 0.0438
Generation (MW)4000.862 ± 0.1900.870 ± 0.1190.939 ± 0.0980.919 ± 0.0540.9601 ± 0.0483
4500.888 ± 0.1720.902 ± 0.0910.914 ± 0.0740.961 ± 0.0640.9330 ± 0.0392
5000.887 ± 0.1540.870 ± 0.1080.916 ± 0.0730.950 ± 0.0620.9556 ± 0.0480
5500.887 ± 0.1880.875 ± 0.1160.928 ± 0.0670.914 ± 0.0410.9316 ± 0.0531
6000.867 ± 0.1730.919 ± 0.1270.906 ± 0.0870.912 ± 0.0890.9410 ± 0.0561
6500.871 ± 0.1810.874 ± 0.1270.933 ± 0.0660.926 ± 0.0870.9425 ± 0.0462
7000.864 ± 0.1420.896 ± 0.1290.920 ± 0.0610.913 ± 0.0700.9500 ± 0.0377
Table 4. Sustainability factor and distribution efficiency comparisons for hours/day and power generation variants.
Table 4. Sustainability factor and distribution efficiency comparisons for hours/day and power generation variants.
VariantsValueNdebe et al. [34]Zhao et al. [20]Zafar & Chung [21]Alsolami et al. [30]TEN-L
δ δ δ δ δ
Hours/Day20.4900.8190.6000.8540.6650.9050.7740.9080.69020.9107
40.5480.8220.5010.8580.6430.9020.6600.9280.71350.9211
60.5020.8290.5770.8590.5750.8930.6700.9120.74990.9381
80.4740.8210.5760.8830.6690.8890.6090.9230.76280.9483
100.4910.8450.5170.8580.5530.8820.7660.9100.77550.9449
120.4730.8260.5170.8760.6320.8880.7030.9250.72150.9452
140.5030.8190.5000.8750.5780.9010.6790.9220.69960.9488
160.5150.8440.6190.8890.5930.8950.6590.9290.85770.9437
180.4730.8210.5850.8550.6430.9100.6940.9130.83000.9376
200.5090.8360.5380.8560.5620.8940.6060.9180.75280.9451
220.4750.8320.5110.8820.6620.8840.6490.9220.85990.9441
240.5500.8200.5050.8410.5570.9040.7680.9320.86230.9529
Generation (MW)4000.4790.8190.5020.8840.5500.8970.5910.9010.74240.9268
4500.4950.8490.5150.8470.6180.8960.6980.9310.72440.9509
5000.5070.8430.5290.8610.6130.8790.7020.9230.71880.9440
5500.510.8220.5360.8720.5580.8930.6790.9180.80120.9376
6000.520.8250.5770.8840.5510.9100.7790.9240.74680.9509
6500.5260.8370.5970.8870.6800.9020.7200.9130.82390.9468
7000.5320.8470.6120.8530.6870.8970.7380.9290.86670.9499
Disclaimer/Publisher’s Note: The statements, opinions and data contained in all publications are solely those of the individual author(s) and contributor(s) and not of MDPI and/or the editor(s). MDPI and/or the editor(s) disclaim responsibility for any injury to people or property resulting from any ideas, methods, instructions or products referred to in the content.

Share and Cite

MDPI and ACS Style

Hatatah, M. TEN-L: A Graph-Based Evolutionary Learning Model for Adaptive Renewable Integration in Smart Grids. Energies 2026, 19, 345. https://doi.org/10.3390/en19020345

AMA Style

Hatatah M. TEN-L: A Graph-Based Evolutionary Learning Model for Adaptive Renewable Integration in Smart Grids. Energies. 2026; 19(2):345. https://doi.org/10.3390/en19020345

Chicago/Turabian Style

Hatatah, Mohammed. 2026. "TEN-L: A Graph-Based Evolutionary Learning Model for Adaptive Renewable Integration in Smart Grids" Energies 19, no. 2: 345. https://doi.org/10.3390/en19020345

APA Style

Hatatah, M. (2026). TEN-L: A Graph-Based Evolutionary Learning Model for Adaptive Renewable Integration in Smart Grids. Energies, 19(2), 345. https://doi.org/10.3390/en19020345

Note that from the first issue of 2016, this journal uses article numbers instead of page numbers. See further details here.

Article Metrics

Back to TopTop