Next Article in Journal
Research on a Low-Carbon Economic Dispatch Model and Control Strategy for Multi-Zone Hydrogen Hybrid Integrated Energy Systems
Previous Article in Journal
Comparative Life Cycle Analysis of Battery Electric Vehicle and Fuel Cell Electric Vehicle for Last-Mile Transportation
 
 
Font Type:
Arial Georgia Verdana
Font Size:
Aa Aa Aa
Line Spacing:
Column Width:
Background:
Article

Technical Challenges of AI Data Center Integration into Power Grids—A Survey

1
The Andrew and Erna Viterbi Faculty of Electrical and Computer Engineering, Technion—Israel Institute of Technology, Haifa 3200003, Israel
2
The Department of Software Science, Tallinn University of Technology, 12618 Tallinn, Estonia
*
Authors to whom correspondence should be addressed.
Energies 2026, 19(1), 137; https://doi.org/10.3390/en19010137 (registering DOI)
Submission received: 17 November 2025 / Revised: 11 December 2025 / Accepted: 24 December 2025 / Published: 26 December 2025
(This article belongs to the Section F5: Artificial Intelligence and Smart Energy)

Abstract

The rapid expansion of Artificial Intelligence is fueling the growth of hyperscale data centers, which introduces significant challenges to existing power systems. This paper aims to provide a comprehensive survey of these integration challenges, specifically from the perspective of power grid utility. We find that AI data centers function as a distinct load category, characterized by high power density, rapid and large-scale power transients, and specific power quality profiles. These attributes create difficulties for long-term resource adequacy and transmission planning due to mismatched development timelines. They also strain real-time grid balancing and introduce risks to system stability, such as voltage and frequency deviations and converter-driven instabilities. The analysis further covers the economic and environmental footprints associated with this new type of consumer. The paper concludes that safely integrating these loads requires a coordinated strategy, encompassing data center-side technologies, grid-enhancing solutions, and new policy frameworks.

1. Introduction

The rise of foundational AI models, particularly Large Language Models (LLMs), is fueling significant growth in the size and scale of data centers worldwide. This expansion is necessary to house the specialized computing infrastructure required for AI workloads. In recent years, the number of operational hyperscale facilities, which are central to this trend, has nearly tripled to over 1100 [1,2].
Training foundational AI models incurs an exceptionally high computational cost [3]. The process involves intensive pre-training on vast datasets, often spanning several months and requiring the synchronized operation of hundreds of thousands of processors [4,5,6]. This computationally intensive process is required due to the large scale of these new model architectures, now containing hundreds of billions or even trillions of parameters, as detailed in Table 1 based on [4,7], with notable examples including models like GPT-3, with 175 billion parameters, and subsequent models such as Grok-1, with 314 billion parameters.
The unprecedented size and complexity of these models have been previously considered infeasible [5]. This rapid scaling was allowed due to recent technological advancements, both on the software and on the hardware levels, allowing high parallelism during computational phases of the training process. Specifically, the main drivers were advanced parallel computing hardware such as Graphics Processing Units (GPUs) and Tensor Processing Units (TPUs).
This technological shift towards large-scale, general-purpose AI introduces a corresponding challenge related to its substantial energy footprint. The total power demand from data centers, worldwide, is forecasted to increase from roughly 55 GW to over 122 GW by 2030, representing more than a twofold increase [21]. This process is driven by new capacity, with an estimated 10 GW expected to break ground in 2025 alone. The scale of individual projects highlights this trend: for example, the “Stargate” supercomputer is planned to consume 5 GW of power, while Meta is developing its 1 GW “Prometheus” cluster and a future 5 GW “Hyperion” facility [22]. This concentration of demand is already impacting regional systems. Virginia, one of the world’s largest data center hubs, serves as a clear example, where facilities were already drawing over 3 GW of power in 2024 [23]. The rapid expansion of AI is therefore establishing it as a substantial and rapidly growing consumer of energy.
This, in turn, creates unprecedented challenges for the design and operation of power grids, as summarized in several recent reports [5,24,25,26]. A primary issue is the sheer scale and speed of development of data centers, which far outpace grid planning. In ERCOT, for example, the influx of large loads is projected to increase peak demand from 85 GW to 150 GW by 2030, creating significant uncertainty for long-term forecasting [27]. Moreover, the rapid and extreme power oscillations from data centers, which are dominated by power electronics equipment, introduce dynamic stability problems for the electric grid [25]. These oscillations can cause voltage flicker and excite harmful frequency and power angle instabilities that can affect the entire power system. Furthermore, the tendency of data center equipment to trip offline simultaneously during grid faults creates a risk of sudden, large-scale load loss events, such as a recent 1.5 GW trip across 60 data centers in Dominion Energy’s territory [25]. Such an abrupt disconnection can cause nearby generators to lose synchronism, threatening the overall stability and integrity of the power grid [25,26].
The rapid integration of these large-scale data centers introduces unprecedented challenges for power grid design and operation, as highlighted in several recent reports [5,24,25,26]. One major challenge is that the scale and speed of this development far outpace traditional grid planning, a mismatch that creates significant long-term forecasting uncertainty. A notable example may be seen in ERCOT, where the influx of large loads is projected to increase peak demand from 85 GW to 150 GW by 2030 [27]. The challenges posed by these facilities extend beyond long-term planning, and include dynamic stability problems for the electric grid. These dynamic problems arise mainly due to the extensive use of power electronics equipment for the operation of data center facilities [25]. This equipment may cause rapid and extreme power oscillations, which in turn, result in local disturbances such as voltage flicker and harmful frequency or power angle instabilities that may cascade globally across the power system. Furthermore, data center operators usually use protective equipment to ensure the continuous operation of the workloads. As this equipment senses any slight disturbance on the power line, it may disconnect the whole facility, making it trip offline during grid faults, creating a risk of sudden, large-scale load loss. A recent event in Dominion Energy’s territory, where 60 data centers tripped and caused a 1.5 GW load loss, illustrates this vulnerability [25]. Moreover, nearby generators may lose synchronism due to such sudden disconnection of this magnitude, which jeopardizes the continuous and safe operation of the power grid [25,26].
Given the profound and rapidly evolving challenges at the intersection of AI data centers and power grids, a comprehensive survey is needed, representing the utility grid perspective. Existing literature often addresses aspects of data center energy efficiency or the broader implications of AI on energy consumption, as may be seen in [28,29,30,31].
Table 2 delineates the scope of this survey in relation to these prior works. While previous studies provide valuable insights into internal energy optimization, sustainability metrics, and component-level reliability modeling, they predominantly analyze the data center as a static facility or focus on software-level efficiency. This survey extends this line of works by characterizing AI training and inference as distinct, highly dynamic electrical loads. It shifts the analytical perspective from the facility’s interior to the utility connection point, specifically addressing the grid stability risks, power quality disturbances, and transmission planning constraints introduced by the rapid deployment of hyperscale AI infrastructure.
Indeed, in light of previous literature, it is clear that there remains a gap in a broad view of the technical challenges experienced by the utility grid, driven by this unprecedented demand, from operational, economic, and policy standpoints. This survey, as summarized in Figure 1, aims to synthesize the latest research in academia and industry insights to:
  • Characterize the unique power demands of AI workloads: Moving beyond aggregate consumption figures to detail the transient, volatile nature of these loads and their specific impact on grid stability.
  • Systematically analyze grid-side challenges: Providing a detailed breakdown of capacity constraints, interconnection bottlenecks, power quality degradation (voltage, frequency, harmonics), and reliability risks, with real-world examples.
  • Explore the economic and environmental ramifications: Presenting economic considerations imposed on utilities and ratepayers, and assessing the implications for decarbonization efforts and climate goals.
  • Identify and evaluate strategic solutions: Presenting an overview of approaches ranging from internal data center efficiency improvements and demand-side management to on-site generation (renewables, nuclear) and advanced energy storage systems.
  • Examine the evolving regulatory landscape: Analyzing federal and state-level policy responses and proposing recommendations for effective industry-utility-policymaker collaboration.
By focusing specifically on the utility grid’s perspective, this review offers a unique and timely contribution to the discourse, providing critical insights for grid operators, energy policymakers, data center developers, and technology companies. It seeks to bridge the understanding gap between the rapidly advancing digital economy and the foundational energy infrastructure, fostering a more informed and collaborative approach to ensure both digital continuity and grid resilience in an AI-driven future.

2. Background: The AI Data Center as a Dynamic Power Load

To fully understand the grid-side challenges outlined in the introduction, it is essential to first understand why AI data centers behave as such unique and dynamic loads. Unlike traditional data centers with relatively stable and predictable power consumption, AI facilities exhibit highly variable and rapid power fluctuations. This volatility stems from two primary factors: the complex, multi-stage internal power architecture required to feed power-hungry processors, and the distinct operational profiles of AI workloads, particularly the intensive, bursty nature of training and the fluctuating demands of large-scale inference. This section delves into these two aspects, characterizing the internal power delivery chain and the specific power signatures of AI training and inference tasks, which together define the AI data center as an influential dynamic load on the power grid.

2.1. Internal Power Architecture

The power distribution system within a data center, from external sources to the individual GPUs, is characterized by an engineered hierarchy designed for continuous operation, reliability, and efficiency. As seen in Figure 2, the flow of power to the GPUs begins with the utility feed. For enhanced reliability, data centers often receive multiple redundant feeds from different sections of the local power grid to prevent a single point of failure. This incoming high-voltage power first passes through main transformers, which step it down to a lower, more manageable voltage suitable for the data center’s internal infrastructure. Concurrently, the local generators stand ready as a secondary, long-term, high-capacity power source, typically diesel or natural gas-powered, to provide electricity during extended utility outages. This power is managed by switchgear, which acts as the initial point of contact for the utility power. This system distributes the incoming power and includes Automatic Transfer Switches (ATS) that seamlessly switch the data center’s load between the utility grid and the backup generators in the event of a grid disturbance. From the switchgear, power flows to Uninterruptible Power Supply (UPS) systems. These are critical components that provide immediate, short-term backup power, also known as “ride-through” capability, for brief grid fluctuations or until the generators can fully start up, which typically takes about 10–15 s. UPS systems also play a vital role in power conditioning, protecting sensitive IT equipment from voltage fluctuations, sags, swells, and other power quality issues that can lead to equipment malfunction or data corruption.
After conditioning at the UPS level, power is distributed throughout the facility via Power Distribution Units (PDUs). These large units receive power from the UPS or directly from the main switchgear, and distribute it to various sections of the data center, often breaking it down into smaller circuits for more granular management. From the PDUs, power is further distributed to Remote Power Panels (RPPs), which act as localized distribution points within the data center. These RPPs then feed power to rack-mounted PDUs (rPDUs), which are essentially power strips located within each server rack. Finally, within each server, Power Supply Units (PSUs) convert the AC power from the rPDU into the low-voltage DC power required by the server’s internal components, including the CPUs, memory, storage devices, and ultimately, the GPUs. The GPUs then consume this power for their intensive computational tasks, particularly for the training and inference tasks of large foundational models. To perform this task, the GPUs demand high power densities, often exceeding dozens of kW per rack and sometimes reaching 100 kW per rack. The entire system is designed with multiple layers of redundancy to ensure continuous operation and minimize downtime.

2.2. Power Profiles of AI Training and Inference Workloads

The power consumption of an AI data center is primarily determined by its computational function: model training or model inference. These two workloads present fundamentally different energy profiles. AI training is characterized by a sustained, high-utilization power draw over long durations. In contrast, AI inference is defined by high-volume, latency-sensitive transactions that result in a more volatile load profile, in a sense, since the task arrival time is unknown. While this paper focuses on the stability challenges posed by AI training, understanding this dichotomy provides essential context.
The distinct power profile of AI training originates from its computational structure. Training is an offline process that refines a model’s parameters by processing very large datasets. This involves an iterative optimization process, centered on the backpropagation algorithm, which requires both a forward and a subsequent backward pass of data through the neural network. This cycle is repeated millions of times, creating a computationally intensive load that persists for the duration of the training job, which can span from days to weeks. The result is a sustained high-power demand that, while persistent over the job’s duration, is not monolithic. Instead, the profile exhibits significant volatility, with its unpredictability stemming from the workload’s constant cycling between compute-intensive phases, where power draw is near its maximum, and communication-heavy phases, where consumption drops sharply. In this context, the primary operational objective is to maximize throughput to achieve model accuracy, with real-time latency being a secondary concern.
To demonstrate these ideas, a training simulation is designed to profile the power characteristics of a complete deep learning training workload on the Tesla T4 GPU, the code may be viewed here [32]. It utilizes a ResNet50 model and a synthetic dataset to create a consistent and reproducible computational load. The process executes for a predefined number of epochs, processing a fixed quantity of batches within each epoch. To enable granular analysis, the monitoring system precisely captures the constituent phases of each training step. The system logs distinct states for forward pass and backward pass operations. Furthermore, a communication state is explicitly simulated after each optimizer step by synchronizing the CUDA device and introducing a brief, fixed delay. This small pause represents the overhead that might be incurred during gradient synchronization in a distributed training setup, thus providing a more complete profile of the training cycle.
Conversely, the inference workload is an online, operational phase where a trained model makes predictions on new data. Computationally, this process is lighter, requiring only a forward pass through the network for each query. However, inference is highly time-sensitive, as low latency is a requirement for user-facing applications. This results in a volatile and unpredictable power consumption pattern, with sharp peaks corresponding to fluctuating user requests [4]. While the energy consumed per query is small, the cumulative energy footprint of inference over a model’s lifecycle is substantial. This contrast underscores why the sustained, high-power nature of the training workload presents a unique and concentrated challenge to the stability of its dedicated power supply system.
To highlight the discussed behavior, an inference simulation is designed, emulating a service-oriented environment, such as a model endpoint, which responds to asynchronous user requests. This workload processes a specified number of inference queries, where the inter-arrival time between each query is modeled statistically. We selected a Gamma distribution to govern the time between sequential requests, which introduces a realistic, stochastic pattern of query arrivals instead of a uniform or Poisson back-to-back workload [33]. Consequently, the system alternates between two defined states: processing a batch, when the GPU is actively executing the inference, and “waiting for queries” during the idle periods.
Figure 3 and Figure 4 present the results of the integrated analysis of power consumption, that reveals a fundamental dichotomy between AI training and inference behaviors. As illustrated in the power profile comparison, the training workload exhibits a sustained, high-power demand profile, characterized by a mean consumption of 61.2 W and consistent peaks reaching 87.0 W. This behavior reflects the continuous, batch-processing nature of training algorithms (backpropagation), effectively presenting to the grid as a heavy, block-load step change. In contrast, the inference workload demonstrates a highly volatile, stochastic profile. While its mean power consumption is lower (51.5 W), it exhibits aggressive transient behavior with sharp, sub-second ramps from an idle state of 25.7 W to a peak of 91.0 W, notably higher than the training peak. This bursty signature corresponds to the random arrival of user queries, creating rapid load oscillations that pose distinct challenges for power quality regulation compared to the steady capacity demand of training.
The underlying driver for these power variances is evident in the resource utilization and memory metrics. The training phase maintains near-saturation levels of GPU utilization (often hitting 100%) and a static, elevated memory footprint (approximately 30–40%) required to store model parameters, gradients, and batch data. This consistent resource engagement results in a steady thermal ramp-up, as seen in the temperature profile which climbs from 35 °C to over 45 °C without significant fluctuation. Conversely, inference utilization oscillates rapidly between 0% and 80%, causing immediate thermal ripples rather than a smooth ascent. The memory usage for inference remains low and constant, reflecting the lighter computational overhead of processing single queries. These comparative metrics underscore that while training stresses the grid’s energy capacity and thermal management systems through sustained load, inference stresses the grid’s transient stability through rapid, high-magnitude power switching events.
Furthermore, Figure 5, which plots the training and inference power profile over time, visually captures the transition between different states in each type of workload. For the training simulation, the power profile is characterized by a sustained, high-power draw. This signature reflects the rapid and continuous cycling through the defined operational states. The system transitions immediately from forward pass to backward pass, and then to a brief communication phase for each batch. Because these transitions are sequential with almost no idle period, the GPU remains under a constant, heavy computational load, resulting in the observed rapid power consumption transients. Note that sometimes the computational phases were faster than the sampling frequency, thus, part of the forward and backward pass was not recorded.
In contrast, the inference simulation plot displays a highly intermittent and bursty pattern. Here, the transitions between states are visually pronounced. The plot shows sharp ascents to a high-power peak, which corresponds to the active batch processing state. This is followed by an abrupt descent to a low, baseline power level. This low-power state, labeled “waiting for queries”, represents the idle time between stochastic query arrivals and persists until the system transitions back to the active processing state upon receiving the next request.
To validate these power consumption characteristics on additional AI accelerator hardware, a comprehensive monitoring experiment is conducted using Google’s TPU v5e-1. The experimental setup employs again a ResNet50 model implemented in PyTorch 2.9.1 with XLA backend for TPU compatibility, utilizing synthetic datasets to ensure reproducible workload patterns. The monitoring system captures TPU metrics at 50-ms intervals, tracking power consumption, temperature, core utilization, memory usage, and TPU-specific Matrix Unit (MXU) utilization. For training workloads, the experiment processes 14 batches per epoch across 2 epochs with a batch size of 48, while inference workloads handle 20 query batches of size 64 with stochastic inter-arrival times following a Gamma distribution (shape α = 2 , scale β = 0.1 s). The TPU monitoring framework leverages hardware performance counters when available and employs state-based power estimation models calibrated to the v5e-1’s 75 W thermal design power specification.
The experimental results, presented in Figure 6, Figure 7 and Figure 8 demonstrate distinct power consumption patterns and divergent operational metrics between training and inference phases on the TPU v5e-1 architecture. During training, the TPU maintains a sustained mean power consumption of 58.3 W with consistent peaks reaching 71.2 W, reflecting the continuous computational demand of forward and backward propagation passes. The MXU utilization exhibits corresponding stability, averaging 68.4% during training phases with peaks reaching 89.2%, indicating efficient tensor operation scheduling. Temperature measurements show a gradual thermal ramp from 42 °C to 57 °C over the training duration, stabilizing at the elevated level due to consistent workload intensity. Memory utilization remains relatively constant at 41.3% of the available 16 GB HBM, storing model parameters, gradients, and batch data throughout the training process.
The inference phase reveals markedly different behavior, with power consumption oscillating between an idle baseline of 22.4 W and peaks of 68.7 W, driven by the stochastic query arrival pattern. These rapid transitions occur within sub-second intervals, creating power transients of up to 46.3 W that stress the power delivery system. MXU utilization during inference demonstrates similar volatility, dropping to near-zero during idle periods and spiking to 74.8% during query processing. The temperature profile responds to these fluctuations with ripples of ±3 °C around a mean of 48 °C, never reaching the thermal saturation observed during training. This experimental validation on TPU hardware reinforces the fundamental dichotomy between AI workload types, where training presents as a sustained high-power block load while inference manifests as a highly dynamic, transient load with rapid power state transitions that challenge traditional grid integration assumptions.

3. Grid-Side Technical Challenges and Reliability Risks

The integration of multi-gigawatt AI data centers, characterized by their volatile and power-electronic-dense load profiles, presents a spectrum of unprecedented challenges to the power grid. These challenges extend from the decades-long timescales of system planning down to the sub-second dynamics of system stability. This rapid escalation in grid-related concerns is reflected in the recent academic and technical literature, with a significant concentration of reports and papers emerging in 2025. This survey systematically examines these grid-side technical challenges and their associated reliability risks, with a high-level overview of the section’s structure provided in Figure 9. To further contextualize the current research landscape, Figure 10 provides a statistical analysis of recent publications, illustrating the research focus across the subsections of this survey (The reference list includes only those sources cited in the Section 3, rather than an exhaustive list of all publications referenced in this work.). Interestingly, many of these publications are from recent years, indicating the growing interest in this sector. We then move to real-time operational hurdles in balancing supply and demand, followed by an in-depth analysis of critical power system stability risks and power quality degradation. Finally, we assess the cascading economic impacts on utilities and ratepayers, and conclude with a life-cycle perspective on the broader environmental and resource intensity of this rapidly growing consumer.

3.1. Long-Term Planning and Interconnection Challenges

The integration of AI data centers into the power grid introduces significant long-term planning and interconnection challenges. These challenges originate from a fundamental temporal mismatch between the rapid deployment cycles of data center infrastructure and the much longer time horizons required for power system expansion. This disparity affects both the ability to ensure sufficient generation capacity and the development of adequate transmission infrastructure, creating risks to the grid’s long-term reliability.
Resource adequacy, which is the ability of the power system to meet the aggregate electrical demand, is strained by this timeline imbalance. Data center facilities can often be constructed and brought online within 12 to 24 months [25]. In contrast, the planning, approval, and construction of new large-scale generation resources typically span five years or more [25]. Consequently, a region can experience a rapid increase in electricity demand that the existing generation fleet and planned additions are not equipped to handle, leading to potential shortfalls in supply.
A similar and often more pronounced challenge exists for transmission adequacy. The development of new high-voltage transmission lines is a complex process involving lengthy regulatory approvals, permitting, and construction phases. These projects frequently require five to ten years for completion [25]. This extended timeline creates significant interconnection bottlenecks for data centers, leading to long queues for new large loads. As a result, data center developers may prioritize locations based on immediate power availability, which can concentrate new load in areas where the transmission system is already constrained.
Beyond the physical infrastructure delays, long-term planning is further complicated by significant gaps in load forecasting and modeling. Grid planners and operators often lack accurate and validated dynamic models that can properly characterize the behavior of these large, power-electronic-based loads [25]. Unlike traditional aggregated demand, which benefits from the statistical smoothing effect of millions of uncorrelated consumers, AI data centers represent large, single-point loads with highly correlated internal operations [34,35,36,37]. This characteristic diminishes the predictability that is foundational to conventional load forecasting models. The uncertainty is amplified by commercial practices where companies submit interconnection requests in multiple regions to evaluate the most favorable conditions [25]. This makes it difficult for planners to determine which proposed projects are firm commitments, thereby complicating efforts to produce reliable long-term demand forecasts.

3.2. Real-Time Operations and Balancing Challenges

The volatile and massive power consumption profile presented by AI data centers introduces distinct challenges for the real-time management of the power grid. The highly variable and rapid changes in their power demand complicate short-term forecasting, and place significant strain on the system’s ability to balance the generation and load.
Short-term demand forecasting is made more difficult by the stochastic nature of AI training workloads. Unlike traditional loads, the power consumption of a large-scale training cluster does not follow predictable daily or weekly patterns. Instead, it is dictated by the initiation, execution, and completion of training jobs, which can cause large, abrupt changes in power demand [5]. The power profile within a single training iteration consists of compute-heavy phases, where power draw is near maximum, and communication-heavy phases, where power consumption drops significantly [4]. These rapid fluctuations, which can occur on a sub-second timescale, are challenging for grid operators to predict accurately using conventional forecasting models that rely on historical trends and slower-moving variables.
This volatility directly impacts the grid’s balancing and reserve management. A core principle of reliable grid operation is maintaining a continuous balance between electricity generation and demand, since imbalance in active or reactive power significantly impacts the voltage magnitude at a bus. This relationship can be expressed using Voltage Sensitivity Factors (VSF) [38]: Δ V i = S V P , i Δ P i + S V Q , i Δ Q i , where Δ V i is the change in voltage magnitude at bus i, and Δ P i , Δ Q i are column vectors representing the changes in active and reactive power at the arbitrary buses where these changes occur. The matrices S V P , i and S V Q , i are the voltage sensitivity factors, specifically denoting the voltage sensitivity to active power and reactive power respectively. Data centers, with their rapid active power ramps, and dynamic reactive power demands, cause high Δ P and Δ Q values. These rapid changes can lead to significant voltage deviations that conventional grid devices are too slow to compensate [39,40].
The consumed power of the data center directly affects the voltage at the connection point (PCC). For a simplified radial connection from a source, such as an infinite bus, through a line impedance Z l i n e = R l i n e + j X l i n e to the data center load, the approximate voltage drop, Δ V , across the line is given by Δ V ( R l i n e P L , D C + X l i n e Q L , D C ) / | V P C C | , where P L , D C and Q L , D C are the active and reactive power consumed by the data center, and | V P C C | is the voltage magnitude at the PCC. The voltage at the PCC can then be approximated, | V P C C | | V g | Δ V = | V g | ( R l i n e P L , D C + X l i n e Q L , D C ) / | V P C C | , where | V g | is the voltage magnitude of the source. This analysis, although relying on approximated quasi-static models, explains how changes in the active and reactive power consumed by the data center inversely influence the voltage magnitude at the PCC. This is a fundamental challenge, as hyperscale data centers demand exceptionally high active power, leading to significant voltage drops, especially in weak grids or at the end of long distribution lines [41].
To manage such unexpected deviations, system operators maintain various types of operating reserves. However, the ramp rates of AI data centers, which can change by hundreds of megawatts in seconds, are often much faster than the response capabilities of conventional generators, which are typically measured in megawatts per minute [25,42]. As shown in the NERC report, a data center’s load can ramp down by over 400 MW in just 36 s [25]. Such rapid load changes can quickly exhaust the grid’s primary frequency control and balancing reserves. To manage these fast ramps, system operators may need to procure larger amounts of more expensive and faster-acting ancillary services, such as Fast-Frequency Response, which increases operational costs [25]. Without sufficient fast-acting reserves, these sudden load changes can lead to significant frequency deviations, posing a risk to grid stability.

3.3. Power System Stability Risks

The dynamic and unpredictable behavior of AI data center loads poses direct risks to power system stability. The most significant of these risks stems from the protective mechanisms within data centers themselves, which can trigger cascading events across the wider grid.
A primary stability concern is the voltage and frequency ride-through behavior of data centers. To protect sensitive IT equipment and ensure service uptime, data centers are designed with internal protection systems that disconnect them from the grid during voltage or frequency disturbances [25]. While this action preserves the individual facility, the simultaneous disconnection of multiple large data centers can create a severe system-wide disturbance. This phenomenon, where individual reliability measures create a collective vulnerability, can be described as a self-preservation paradox. A notable example of this occurred in July 2024, when a transmission line fault in the Eastern Interconnection caused a voltage disturbance that triggered the simultaneous loss of approximately 1500 MW of load, primarily from data centers transferring to backup power systems [25,43].
Such large-scale, near-instantaneous load shedding events have direct consequences for frequency stability. When a large amount of load is suddenly removed from the system, the generation immediately exceeds the remaining demand. This power surplus causes the rotational speed of synchronous generators across the interconnection to increase, leading to a system-wide over-frequency event [25]. In the July 2024 incident, the loss of 1500 MW of load caused the grid frequency to rise to 60.053 Hz before control actions could restore the balance [25]. Conversely, the sudden start of a large AI training job can create an under-frequency event if the additional load is not anticipated and matched by an equivalent increase in generation.
To demonstrate this concept, we perform a simulation to investigate the system’s dynamic response to a realistic AI workload. The system model formulation includes a power architecture that includes the data center load, a dedicated local power source, and a connection to the external utility grid. The data center’s total power consumption is denoted by P L , D C ( t ) . It is met by the sum of power from its local synchronous generator, P ( t ) , and power drawn from the grid, P g ( t ) . The utility grid is treated as an infinite bus. The behavior of the synchronous generator is governed by the swing equation, which incorporates a standard droop control mechanism to manage the generator’s frequency deviation Δ ω and rotor angle δ . By applying the principle of power conservation at the point of common coupling, the generator’s swing equation is combined with the AC power flow equation describing the grid connection. This process yields a coupled set of first-order differential equations that define the system’s dynamics in terms of the state variables δ and Δ ω as follows
d d t δ = Δ ω , d d t Δ ω = K P ref P L , D C ( t ) + 3 K | E g | | E | X sin ( δ ) K D Δ ω .
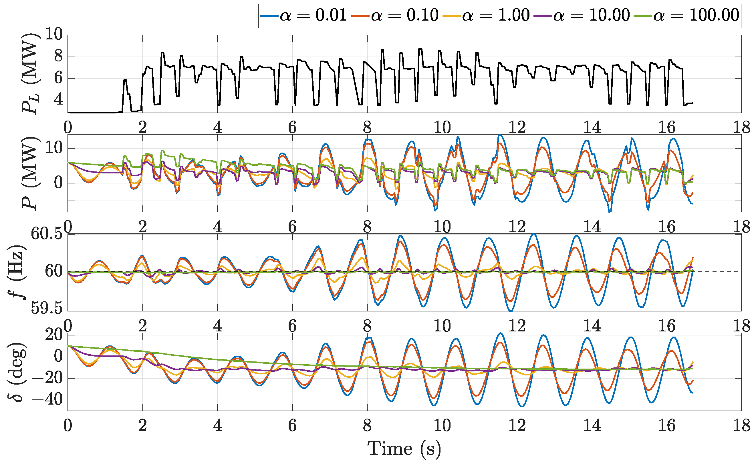
To demonstrate the system’s dynamic behavior under rapid load changes, simulations are performed using MATLAB R2024b and Simulink. The analysis models the characteristic AI load based on data collected during a ResNet50 training process on a Tesla T4 GPU, which is then scaled to represent a 100 × 10 3 GPU cluster, simulating a large-scale data center operation. This load is managed by a system with baseline parameters representing a plausible data center scenario, including a 17.41 MW rated generator and a 17.41 MW grid connection. This configuration provides a power transfer capability twice that of the load step. The nominal system frequency is 60 Hz, and the generator’s reference power P ref is initially set to 3.058 MW, which is half of the applied load increase.
A comprehensive parametric study is then conducted to investigate the system’s sensitivity to key design choices. The damping characteristic α is varied across five values from 0.01 to 100 s−1. The simulations are run for 17.7 s, employing numerical tolerance and step size settings designed to ensure accuracy. The parameters are summarized in Table 3.
The simulation results, presented in Figure 11, demonstrate a fundamental trade-off between system stability and component stress when a generator responds to a sudden load increase. A high damping factor ( α ) effectively suppresses frequency and angle oscillations, allowing the system to stabilize quickly. However, this rapid stabilization demands larger power peaks from the generator, placing significant transient stress on its hardware. Conversely, a lower damping factor reduces these power overshoots and component stress but allows the system to oscillate for a longer, potentially destabilizing, period.
This balance is critical for AI data centers, which produce continuous, high-frequency load fluctuations. In this environment, a high damping setting that seems beneficial for a single event could be detrimental. It might cause the generator to constantly react to the volatile load, leading to excessive mechanical wear and a reduced operational lifespan. Therefore, the damping characteristic must be selected with care to balance the need for a fast transient response with the long-term reliability required to handle the unique, persistently fluctuating load profile of AI training.
To quantify the system performance under these varying damping conditions, Table 4 presents the Root Mean Square Error and Mean Absolute Error for both frequency and rotor angle deviations. A clear inverse relationship exists between the damping coefficient α and the frequency error metrics. Specifically, as α increases from 0.01 to 100.00, the Frequency RMSE decreases from 0.2090 Hz to 0.0073 Hz. Similarly, the Mean Absolute Error for frequency drops from 0.1727 Hz at the lowest damping setting to 0.0064 Hz at the highest setting. These values indicate that higher damping coefficients effectively constrain frequency excursions to a narrow band around the nominal 60 Hz value.
The rotor angle stability exhibits a corresponding trend where increased damping significantly reduces angular deviations from the equilibrium point. The RMSE for the relative angle diminishes from 17.9674 degrees at α equals 0.01 to 6.9838 degrees at α equals 100.00. We observe a similar reduction in the MAE metric, which falls from 14.1121 degrees to 6.3865 degrees across the same range. The intermediate damping value of α equals 1.00 yields an angle RMSE of 11.3524 degrees and represents a transitional state where the system maintains stability without imposing the extreme rigidity associated with the highest damping values. This quantitative reduction in error metrics at higher damping levels confirms that the system creates a stiffer response to the load fluctuations.
To further visualize these stability margins, we analyze the phase plane portraits shown in Figure 12. This plot illustrates the trajectory of the system state, defined by the frequency deviation Δ ω and the relative rotor angle δ δ * , as it converges toward the equilibrium point. The trajectories for low damping values, specifically α = 0.01 and α = 0.10 , exhibit wide, spiraling orbits that span a large area of the state space. These extensive excursions indicate a highly oscillatory response where the generator rotor undergoes significant angular swings and frequency deviations before settling. Such behavior suggests a system with low stability margins, where a subsequent load spike from an AI training batch could easily push the rotor angle beyond its critical limit, resulting in a loss of synchronism.
In contrast, the trajectories for higher damping values, such as α = 10.00 and α = 100.00 , demonstrate a tightly constrained response where the system state moves rapidly and directly toward the equilibrium. While this confinement effectively minimizes the risk of angular instability, it physically represents a scenario where the generator governor aggressively counteracts every deviation. In the context of AI workloads, which are characterized by stochastic and rapid power pulses, this aggressive control logic forces the mechanical components to endure high-frequency stress cycles. Consequently, the phase plane analysis reinforces the conclusion that optimal parameter selection lies in the intermediate range, such as α = 1.00 , which creates a balance by restricting hazardous angular excursions without imposing the excessive rigidity that accelerates equipment degradation.
Voltage stability is also compromised by mass load-tripping events. The sudden disconnection of large loads, which consume both active and reactive power, can lead to a surplus of reactive power on the local transmission system. This excess reactive power can cause a rapid and significant voltage rise, or overvoltage, that can damage other connected equipment and potentially initiate further protective tripping, increasing the risk of cascading outages [25].
Furthermore, the high concentration of power electronic converters within AI data centers introduces risks of converter-driven instability and resonance. These electronic devices lack the physical inertia of traditional electromechanical equipment and are governed by fast-acting control systems. These controls can interact negatively with the electrical characteristics of the grid, potentially reducing the damping of natural system oscillations or creating new, unstable oscillations [25]. For example, an event in 2023 demonstrated that power electronics at a large data center inadvertently perturbed the local system at a 1 Hz frequency. This action repeatedly excited a natural 11 Hz resonant frequency in the grid, producing a persistent forced oscillation that posed a risk to system reliability [25].
To better understand the source of this behavior, we can examine the system in the phasor domain. Naturally, data centers, as non-linear loads, are significant sources of harmonic distortion. The non-sinusoidal current drawn by the data center contains harmonic components. These harmonics are generated by the switching actions of power electronic converters within UPS systems, IT power supplies, and variable frequency drives for cooling. The level of current distortion is quantified by the Total Harmonic Distortion (THD) of the current, with high T H D I indicating significant current distortion. When these harmonic currents flow through the impedance of the grid, Z h , they generate harmonic voltages, V h , across the system. For a specific harmonic frequency ω h = n ω , the harmonic voltage is V h = I D C , h · Z h ( ω h ) , where Z h ( ω h ) is the grid’s impedance at the n-th harmonic frequency, meaning that even if the source voltage is perfectly sinusoidal, the voltage at the point of common coupling with the data center will become distorted due to the harmonic currents.
A critical issue arises when loads with capacitive profile, C p , are connected to one of the buses. Indeed, modern data center IT loads, governed by power electronics, typically present a capacitive load profile. This stems from the fact that the IT equipment itself, namely, the servers, storage, and networking devices, uses switch-mode power supplies that are required to have Power Factor Correction (PFC) circuits. These PFC circuits almost universally use filter capacitors at their input stage, resulting in the capacitive nature of the data center. While the overall data center’s power factor is a complex mix of these capacitive IT loads and the inductive cooling loads [44], the power electronics at the server level are the primary source of the capacitive nature, not an inductive one. This leading power factor from IT loads is a known challenge, as it can interact poorly with the inductive components of the grid and the data center’s own backup UPS systems [45,46].
In this scenario, these capacitors may create a parallel resonance with the grid’s inductive components, L s , at a harmonic frequency ω h . The impedance of such a parallel combination is given by Z h = j ω h L s 1 ω h 2 L s C p . If 1 ω h 2 L s C p 0 , the impedance Z h approaches infinity, leading to an amplification of harmonic voltages, meaning V h , even for small harmonic currents. Although these oscillations may remain within safety margins, they can cause overheating and equipment damage.

3.4. Power Quality

Power quality is a measure of the degree to which voltage and current waveforms comply with established specifications [47]. Recent research works, including [25,48], highlight that large data centers, often reaching hundreds of megawatts and relying on power electronics equipment, introduce new power quality concerns. A key challenge is the rapid fluctuation in power demand, which can produce sudden load ramps within milliseconds and make it difficult to maintain power quality within specified limits. Furthermore, in regions where several centers operate from the same grid node, simultaneous fluctuations can create substantial power quality disturbances.
More specifically, the power electronics systems common in data centers, such as UPS units (Illustrated in Figure 2), and variable-speed drives for cooling, operate with high-frequency switching. This process generates non-linear currents that distort the grid’s voltage waveform. These harmonic distortions, illustrated in Figure 13a, are a primary disturbance. For instance, a recent report [25] documents a data center facility that produced excessive voltage harmonic distortion, which was significant enough to require the installation of a dedicated harmonic mitigation solution. Without such filtering, these non-linear currents can interact with grid components. This interaction poses a risk of parallel resonance, which can amplify harmonic voltages and lead to problems such as transformer overheating, increased equipment losses, and general component stress.
Voltage sags, swells, and short interruptions also pose significant risks (Figure 13b). Data centers are highly sensitive to brief voltage dips that can interrupt servers or cooling systems. When facilities transfer to backup generators, the sudden disconnection of large loads can produce sharp changes in voltage and frequency, similar in impact to a major generation trip.
These power quality issues are further compounded by the limited visibility that grid operators have into data center loads. This lack of data hinders the ability of system operators to accurately forecast load behavior under both normal and disturbance conditions. Many data center operators manage their on-site systems privately, meaning their internal switching protocols and load ramping actions are not fully transparent to utilities.
To conclude, power quality problems in data centers arise from rapid load variations, non-linear current profiles, voltage sensitivity, and unstable reactive power behavior, all of which may degrade overall power quality. Addressing these issues requires coordinated planning between utilities and operators, improved harmonic filtering, and clear interconnection standards.

3.5. Economic Challenges

The costs of training frontier AI models have grown dramatically in recent years, reaching billions of dollars [3]. This section analyzes the financial dimensions of the rapid increase in energy demand driven by AI, including the costs of necessary grid modernization, the contentious debate over who bears these costs, the disruption of wholesale electricity markets, and the complex, often contradictory, socio-economic impacts on local communities.
The scale of investment required to build the physical infrastructure for the AI revolution is immense. A recent analysis [49] projects a global need for $6.7 trillion in data center capital expenditures by 2030, with $5.2 trillion of that dedicated specifically to AI-ready facilities. This figure encompasses land acquisition, construction, and the procurement of servers and networking hardware [26]. The upfront capital required to equip a single frontier training cluster is a significant barrier to entry; the hardware acquisition cost for the system used to train GPT-4, for instance, is estimated at $800 million [49].
This data center buildout necessitates a parallel and equally massive investment in the power grid. The projected load growth far exceeds the capacity of existing infrastructure in many regions. The research presented in [50] estimates that approximately $720 billion in U.S. grid spending will be required through 2030 to support this new demand, covering new power plants, high-voltage transmission lines, and local substation upgrades.
A central economic and political conflict has emerged over a simple question: who pays for these grid upgrades? Historically, the costs of new transmission infrastructure were socialized, or spread across all customers within a utility’s service area. However, this model is being challenged by the unique nature of data center load, where a single customer can necessitate billions of dollars in dedicated upgrades.
A recent report [51] has identified a structural issue within the existing regulatory framework of the PJM Interconnection, the largest grid operator in the U.S. Their analysis found that in 2024 alone, an estimated $4.4 billion in transmission upgrade costs, directly attributable to new data center connections, were passed on to all residential and commercial customers in seven states. In another research analysis, forecasts of a national average increase of 8% by 2030 were presented, due to increasing data center power demand [52].
This situation has triggered a real-time regulatory scramble across the nation, as states independently attempt to reform the application of cost causation principles within century-old utility frameworks. For instance, in Ohio, the Public Utilities Commission (PUCO) ordered AEP Ohio to create a distinct tariff classification for data centers. This move, supported by the Ohio Consumers’ Counsel, is designed to ensure data centers bear the full cost of service and to protect other customers from the risks of stranded assets, which are underused investments made specifically for the data center industry [53]. In Oregon, the legislature passed HB 3546, which mandates that data centers enter into long-term contracts (10 years or more) and that the full cost to serve their load is allocated directly to them, explicitly preventing the socialization of these costs [54]. While in Michigan, a tariff case involving Consumers Energy is exploring similar protective measures, including 15-year minimum contracts and exit fees, to mitigate the financial risk to the public if a data center project is canceled or decommissioned prematurely [55,56]. These state-level actions represent a fundamental re-evaluation of utility ratemaking principles, setting critical precedents for how the substantial cost of the AI energy transition will be distributed between corporations and the public.

3.6. The Environmental Footprint: A Life-Cycle Perspective on AI’s Resource Intensity

A comprehensive evaluation of the environmental impact of AI data centers requires a perspective that extends beyond operational electricity use to include the embodied carbon of hardware and the consumption of water for cooling [7,57]. While efficiency gains are being made, the sheer scale of the industry’s growth, with global data center power demand forecast to more than double by 2030, presents a formidable environmental challenge [2].
To accurately assess energy use, a “full-stack” measurement approach is essential. This methodology accounts for not only the energy consumed by active AI accelerators but also the power drawn by host systems (CPUs, DRAM), the energy used by idle machines provisioned for reliability, and the overhead of the data center’s power and cooling infrastructure, captured by the Power Usage Effectiveness (PUE) metric. As demonstrated in a detailed analysis by Google, narrower approaches that focus solely on the accelerator chip can significantly underestimate the true energy footprint, with their comprehensive measurement being 2.4 times greater than a narrower, existing approach [7].
Applying this comprehensive method, a study by Google found that a median text prompt for its Gemini model consumes 0.24 Wh [7]. This figure is notably lower than many public estimates, which have ranged from 0.3 Wh for a ChatGPT-4o query to as high as 3.0 Wh for older models, demonstrating the significant impact of hardware-software co-design and continuous optimization [7]. The energy consumed during model training is orders of magnitude greater due to the immense computational requirements of training jobs that can span tens of thousands of GPUs [3,57]. For instance, the amortized hardware and energy cost for training a frontier model like GPT-4 is estimated at $40 million. While energy represents a relatively small fraction of this total training cost (2–6%), the absolute expenditure for a single frontier model still amounts to millions of dollars [3].
The carbon footprint of an AI data center is composed of two primary components: operational emissions from electricity consumption and embodied emissions from the manufacturing and deployment of its physical infrastructure.
Operational emissions are the greenhouse gases released from the power plants that generate the electricity consumed by the data center. This footprint is highly dependent on the carbon intensity of the local grid. Major technology companies are among the largest corporate purchasers of renewable energy, often using Power Purchase Agreements (PPAs) and market-based accounting mechanisms to reduce their reported carbon footprint [58]. However, the 24/7 operational requirement of data centers means that they inevitably draw power from fossil fuel-based generation when renewable sources like wind and solar are not available [59].
Embodied emissions represent the carbon associated with the entire supply chain of a data center’s physical assets, including emissions from raw material extraction, manufacturing, transportation, and end-of-life disposal of hardware [57]. This category is distinct from operational carbon, which arises from energy consumption during use. For AI inference systems, while GPUs are the primary source of operational carbon, the host systems—including CPUs, memory, and storage—dominate the embodied carbon, accounting for around 75% of the total [57]. The quantification of these emissions relies on methodologies such as Life Cycle Assessments (LCAs) and data from product environmental reports [57,60]. Recognizing the importance of this impact, leading research now incorporates embodied emissions into a holistic carbon footprint metric, accounting for both the operational and embodied impacts per user prompt [7].
AI data centers consume water primarily for cooling the high-density server racks and associated infrastructure required to manage the heat generated by IT equipment [7]. The efficiency of this water use is benchmarked using the Water Usage Effectiveness (WUE) metric, which measures the liters of water consumed per kilowatt-hour of IT energy. While efficiency varies, Google reports a fleetwide average WUE of 1.15 L/kWh. Based on direct instrumentation of its production environment, a median Gemini Apps text prompt was found to consume 0.26 mL of water [7]. To mitigate the impact on local water supplies, particularly in high-stress locations, strategies include deploying air-cooled technology during normal operations [7].
To conclude, this part of the survey systematically details the technical, operational, and financial challenges of AI data center grid integration. We analyze the full spectrum of issues, from long-term planning mismatches and real-time balancing strains to sub-second stability risks and power quality degradation. The analysis also extends to the significant economic and life-cycle environmental impacts. A high-level overview of these critical challenges and their key findings is presented in Table 5.

4. Mitigation Strategies and Solutions

The formidable technical, economic, and environmental challenges detailed in the previous section necessitate a multi-faceted approach to mitigation. A sustainable integration of AI data centers cannot be achieved through isolated efforts, but rather it requires a concerted strategy involving innovation within the data center, collaborative frameworks between utilities and operators, and proactive grid-side enhancements coupled with supportive policy. This section surveys the landscape of potential solutions, categorizing them into three primary domains: advancements on the data center side, collaborative models for load management, and broader grid-level and policy-driven interventions.

4.1. Data Center-Side Solutions

Mitigation strategies implemented within the data center itself offer direct control over the load’s interaction with the power grid. These solutions, summarized in Figure 14, range from adding supplementary hardware to refining operational software and hardware design principles.
A primary strategy involves the deployment of on-site BESS. These can effectively address several challenges posed by AI data centers. By absorbing and releasing energy, BESS can smooth the rapid power fluctuations inherent in AI training workloads, presenting a more stable load profile to the utility grid [5,26]. This smoothing capability helps mitigate issues related to voltage flicker and frequency deviations. Furthermore, BESS can provide Low Voltage Ride-Through support. During grid voltage sags that might otherwise cause data center UPS systems to disconnect IT load, strategically controlled BESS can inject power or rapidly increase charging to mimic the disconnected load from the grid’s perspective, thereby preventing large, abrupt load drops seen by the utility. BESS also facilitates backup power during outages and can enable load shaping, allowing data centers to manage their consumption patterns to align with grid constraints or participate in flexible interconnection programs. While effective, implementing BESS incurs additional capital costs, requires physical space, and necessitates careful consideration of battery capacity and charge or discharge rates to meet the specific needs of AI workloads.
Complementary or alternative approaches focus on actively managing the power consumption profile of the computational hardware itself. Software-based power smoothing techniques involve monitoring GPU power draw or activity in real-time and dynamically injecting secondary computational workloads (either artificial or low-priority tasks) when the primary workload’s power consumption drops, such as during communication phases [5]. This method aims to maintain a higher, more consistent power floor, reducing the magnitude of power swings. However, challenges include potential performance overhead for the primary workload, the need for fine-grained, low-latency monitoring, ensuring reliability at scale, and the energy potentially wasted on artificial workloads [5].
As an alternative integrated solution, GPU hardware vendors are introducing power smoothing features directly into firmware. These features allow operators to program specific power ramp-up and ramp-down rates, establish a minimum power floor during operation, and define a stop delay before ramping down after workload inactivity [5]. This hardware-level control offers a more reliable and potentially lower-overhead method compared to purely software-based approaches, directly addressing utility specifications in the time domain. Nonetheless, similar to software smoothing, maintaining an elevated power floor inevitably leads to increased energy consumption compared to allowing the hardware to operate at lower power levels during idle or communication periods. A hybrid approach combining BESS with GPU-level smoothing may offer an optimized balance, using smoothing to handle ramps and BESS to manage fluctuations without excessive energy waste [5].
Further advancements in power electronics offer additional solutions. The adoption of grid-forming inverters, potentially integrated with on-site resources like BESS, represents a more sophisticated approach. Grid-forming inverters can actively contribute to grid stability by providing voltage and frequency support, mimicking the behavior of traditional synchronous generators [26,63]. Deploying such technologies within data centers could transform them from passive loads into active grid-supportive assets.
Beyond direct power management, a holistic view encompassing the entire lifecycle and resource utilization offers further mitigation pathways through environmentally-conscious design principles. Such strategies include reusing typically underutilized host CPU resources within AI servers for less time-sensitive tasks, thereby increasing overall compute capacity without adding hardware. Another approach involves rightsizing by provisioning a heterogeneous mix of GPUs and tailoring their allocation based on the specific compute, memory, and energy characteristics of different AI workload phases and service level objectives. Additionally, reducing the environmental impact involves optimizing host system configurations by minimizing overprovisioned resources like DRAM and SSD storage, which contribute significantly to embodied carbon. Finally, recycling principles can be applied through asymmetric hardware refresh cycles, extending the lifetime of host systems (which have slower efficiency gains and high embodied carbon) while potentially upgrading accelerators more frequently to capture operational energy efficiency improvements. These design philosophies aim to minimize both operational and embodied environmental impacts [57].
Additional data center-centric strategies focus on optimizing energy sourcing and utilization within the facility itself. Integrating on-site renewable energy generation, such as rooftop solar panels, allows data centers to directly consume clean energy, reducing reliance on grid power, particularly during peak generation times. Intelligent workload scheduling can further enhance this synergy by temporally shifting deferrable computational tasks, like AI model training or batch processing, to align with periods of high on-site renewable generation or low grid carbon intensity. Spatially shifting workloads between geographically distributed data centers based on real-time grid carbon intensity or renewable availability represents another avenue for optimization. Furthermore, exploring the potential for waste heat recovery and utilization, for example, for district heating or other industrial processes, can improve the overall energy efficiency and sustainability profile of the data center operation [64].
Finally, continuous improvements in the internal energy efficiency of the data center remain crucial. This includes optimizing cooling systems, which can account for a substantial portion of total energy use, through techniques like advanced thermal management, automation, and adjustments based on workload intensity. Enhancing server utilization and employing power management techniques such as Dynamic Voltage and Frequency Scaling for both CPUs and GPUs can also contribute to reducing the overall energy demand and associated grid impact [65]. The internal strategies explored in this subsection are summarized in Figure 14.

4.2. Collaborative Solutions

When it comes to power consumption, AI workloads are more flexible than most other data center tasks. Operators can pause and resume, or move the training and inference of AI models, which allows them to participate in curtailment programs. These programs enable data centers to operate at full capacity for most of the year, then reduce their power usage for short periods when the electrical grid is under stress, such as during peak summer demand events. This flexibility is a significant advantage because the grid is built to handle peak demand, not average demand. As a result, a substantial amount of power generation and transmission capacity sits idle for most of the year. By participating in these programs, tech companies can access large amounts of available power without building new infrastructure.
For years, the design of data centers focused on maximizing uptime—the percentage of time a facility is fully operational. This focus on reliability has been the bedrock of the industry, as it allows providers to guarantee consistent service and charge higher rates. Based on their uptime, data centers are categorized into tiers based on their reliability, with higher tiers being more expensive to build and operate. For example, a common Tier 3 data center offers 99.982% uptime, which translates to about 1.6 h of downtime per year.
The emphasis on continuous uptime is best exemplified by Tier 4 data centers. These facilities boast an impressive 99.995% uptime, with only 26 min of downtime annually. However, achieving this last 0.013% of performance costs nearly twice as much. Even the lowest-grade Tier 1 data centers are built to maintain a robust 99.671% annual uptime. This relentless pursuit of reliability shows that customers have always demanded—and paid a premium for—uninterrupted service [66,67].
Unlike traditional cloud computing, the new priority for AI companies is speed to market and scale, not ultra-high uptime. This focus on speed creates a strong flywheel effect: the faster a company can secure power, the faster it can build infrastructure, train and deploy new AI models, and gather the data needed to develop the next generation of AI.
This virtuous cycle makes speed a major competitive advantage that focuses not on reliability but rather on scale and speed of deployment. In fact, many current AI services are already running at uptime levels similar to the lowest-tier traditional data centers, which shows the shift in the industry’s priorities [68,69].
As mentioned, The flexibility of AI comes from two main processes, the first being the training process. This process can be paused and resumed using checkpoints, meaning training can stop during a power shortage and either restart later or be redirected to another data center.
The other one is the inference stage. Unlike traditional websites, which require near-instant loading times, AI responses can take several seconds to generate. This makes network latency, even across continents, irrelevant. As a result, companies can move inference tasks to data centers with cheaper or more available power without affecting the user experience.
This is a significant shift from the millisecond response time of the early internet. Traditional web applications taught us to expect instant responses, as even a tenth of a second delay could impact sales. AI changes this entirely. A ChatGPT response, for example, can take 20 s to generate. A delay, even of hundreds of milliseconds, is completely unnoticeable when considering AI inference, compared with traditional web applications. This tolerance is even more pronounced with agentic AI, which performs complex, multi-step tasks that can run for tens of minutes. The rise of these agents is shifting user expectations from constant, real-time attention to a different, more latency-tolerant model.
A study presented in [62] quantifies this potential, finding that curtailment could add 76 GW of new load capacity with just a 0.25% reduction in uptime. This could be as high as 126 GW with a 1% reduction, effectively adding 10% to the nation’s power capacity without any new construction. These curtailment events are typically short—around 1.7 to 2.5 h—and still maintain at least 50% of normal capacity. Ultimately, this approach means AI companies will not have to wait for new energy infrastructure to come online to meet every new demand. This ability to use curtailment offers a significant advantage in a world where backlogs for grid interconnection have surged to over a decade. Building new power plants to power data centers is no longer a quick fix, as major turbine manufacturers have backlogs stretching to 2029 or beyond. Curtailment offers a far faster path to access power.
The financial upside is equally compelling. The Duke University study, which projected the potential to unlock 100 GW of capacity, suggests that this represents roughly $150 billion in usable power infrastructure that is currently sitting idle. This means that with curtailment programs, AI companies do not need to wait for new energy projects to be built. From a wider perspective, the US power grid currently operates at about 53% of its capacity, with billions in assets sitting idle. By using flexible AI workloads to increase grid utilization, utilities can spread their fixed costs over a larger load. This reduces per-unit costs for all ratepayers and increases revenue for investors without adding strain during peak times. Ultimately, curtailment presents a new vision for AI’s relationship with the grid: instead of being a source of crisis, AI becomes a shock absorber that helps the system run more efficiently [42]. These collaborative strategies discussed in this subsection are summarized in Figure 15.

4.3. Grid-Side and Policy Solutions

Addressing the grid integration challenges of AI data centers necessitates solutions that extend beyond the facility boundary, involving grid operators, utilities, policymakers, and regulators. These solutions focus on improving grid infrastructure, operational practices, market mechanisms, and regulatory frameworks.
Enhanced coordination and data sharing between data center operators and grid entities are fundamental. Grid planners and operators require timely and accurate information regarding projected load growth, expected operational profiles (including potential ramp rates and variability), and the voltage or frequency ride-through capabilities of data center equipment. Lack of visibility into these characteristics hinders accurate forecasting, operational planning, and stability analysis [25]. Establishing standardized data reporting requirements and secure communication channels can improve situational awareness and enable more effective grid management.
The significant temporal mismatch between rapid data center deployment and lengthy grid infrastructure development necessitates reforms in permitting and interconnection processes [25,26]. Current procedures often create bottlenecks, delaying the connection of new loads and potentially exacerbating grid constraints [26]. Streamlining siting, permitting, and grid interconnection studies, while ensuring necessary reliability assessments are performed, is crucial. This could involve expedited reviews for projects meeting certain criteria, better coordination between involved agencies, and incorporating more flexible interconnection options.
Policy and regulatory levers play an important role in guiding sustainable integration. A key area is modernizing rate design and cost allocation principles. The traditional practice of socializing the costs of grid upgrades across all ratepayers is increasingly contentious when substantial investments are driven by a single large load, potentially leading to significant increases in electricity bills for residential and commercial customers [25,61]. Transitioning towards “causation pays” models, where the entity directly causing the need for upgrades bears a larger, proportionate share of the costs, is gaining traction in several jurisdictions [61]. Designing appropriate tariffs can also incentivize grid-friendly behavior. For instance, dynamic pricing mechanisms, such as time-of-use (TOU) rates or real-time pricing exposure, can encourage data centers to shift flexible workloads to off-peak hours or periods of high renewable generation. Interruptible service tariffs, potentially combined with flexible connection agreements, offer reduced electricity rates in exchange for the data center agreeing to curtail load during grid stress events [26]. In addition, financial incentives, such as tax credits or grants for investing in on-site BESS or energy efficiency measures, can further steer data center development. Establishing environmental standards, potentially through carbon pricing mechanisms, emissions limits, or certifications for green data centers, can promote the adoption of cleaner energy sources and more efficient operations [64].
Decentralizing power supply through on-site generation and microgrids offers another pathway, as illustrated in Figure 16. Integrating significant renewable resources directly at the data center site reduces dependence on the main grid [64]. The potential use of small modular reactors (SMRs) is also being explored by some developers for dedicated, reliable, carbon-free power [70]. Microgrids, combining local generation (renewables, potentially backup generators) and energy storage, can allow data centers to operate independently during grid outages, enhancing resilience and potentially providing grid support services when interconnected.
Maximizing the efficiency of the existing transmission network through Grid-Enhancing Technologies (GETs) can help accommodate new loads more quickly and cost-effectively. Dynamic Line Ratings allow transmission lines to operate closer to their true thermal limits based on real-time weather conditions, often unlocking significant latent capacity compared to conservative static ratings. Advanced power flow control devices can actively manage power flows across transmission lines, redirecting power from congested lines to underutilized ones, thereby increasing overall grid transfer capability [71]. Topology optimization involves strategically reconfiguring the grid network by opening or closing circuit breakers to optimize power flows and alleviate congestion [71]. Deploying GETs can often defer or avoid the need for expensive and time-consuming traditional transmission upgrades.
Finally, integrating these solutions requires a shift towards more proactive grid planning and potential market reforms. Planning processes need to better account for the uncertainty and speed associated with large load growth, potentially employing scenario-based analysis and adaptive planning frameworks [25]. Crucially, effectively analyzing the grid impact of these facilities requires evolving how they are represented in power system models. AI data centers represent a historically distinct category of load, characterized by high concentrations of power electronic interfaces, highly correlated internal operations that diminish statistical smoothing effects, and the potential for extremely rapid power fluctuations [25,72]. These characteristics challenge the assumptions underlying traditional load models, which often represent aggregate demand as relatively slow-varying and predictable based on the Law of Large Numbers. Consequently, standard analytical models may fail to capture the fast transient behaviors and potential instabilities introduced by these large computational loads. Solutions involve developing and validating new dynamic load models. For instance, limitations have been identified in the standard Composite Load Model (CMLD) parameters to accurately represent data center disconnection behavior, particularly regarding delayed tripping or ramped reconnection logic [26]. Emerging approaches adapt models originally developed for other power electronic loads, such as Electric Vehicle (EV) chargers, which offer more granular parameters to represent voltage or frequency ride-through characteristics, trip delays, and controlled reconnection ramps, providing a potential pathway for more accurate stability assessments [26]. Adopting and standardizing such advanced models is essential for reliable grid planning and operation in an era increasingly shaped by large, dynamic computational loads. The proposed solutions in this subsection are outlined in Figure 17.
In summary, this section explores a three-pronged approach to mitigation, spanning data center internal hardware and software, collaborative load flexibility models, and systemic grid and policy reforms. A high-level overview of these interconnected solution categories is provided in Table 6.

5. Future Work

Looking ahead, focused research efforts can contribute to addressing the grid integration challenges of AI data centers. Key areas offering promising avenues for investigation include advancing load modeling techniques, assessing mitigation strategies through simulation, and developing frameworks for market and policy analysis, as discussed in the following subsections.

5.1. Advancing Load Modeling and Simulation Frameworks

A major step is the development, validation, and standardization of accurate dynamic models specifically for AI data centers. Current models, such as the standard CMLD, often fail to capture the nuanced behavior, particularly the fast transients and specific ride-through logic, exhibited by these power-electronic-intensive loads [26]. Future research can focus on comparative studies evaluating the fidelity of existing models against real-world measurement data (where available) or detailed component-level simulations. A practical avenue involves adapting and refining models initially developed for other power electronic loads, such as EV chargers, which include parameters for trip delays and ramped reconnections, to better represent AI data center responses [25,26]. Furthermore, research comparing the trade-offs between detailed component-level models (representing UPS, PDUs, PSUs individually) and computationally efficient aggregated models under various grid conditions (for instance, weak and strong grid, and different fault types) would provide valuable guidance for industry practitioners. Developing open-source benchmark models and validation datasets would significantly accelerate progress in this area. Investigating complex electromagnetic transient (EMT) interactions, such as sub-synchronous resonance and harmonic propagation, through detailed EMT simulations is another important research direction [5].

5.2. Simulation-Based Assessment of Mitigation Strategies

Quantitative assessment of various mitigation strategies can be effectively conducted using power system simulation tools, offering valuable insights without requiring large-scale hardware deployment. Future research can focus on parametric studies to optimize the sizing, placement, and control algorithms for on-site BESS specifically tailored to smooth AI workload fluctuations and enhance ride-through performance under different grid scenarios. Comparative analyses evaluating the grid-wide impact, costs, and benefits of deploying GETs such as Dynamic Line Ratings or advanced power flow controllers versus conventional transmission upgrades to accommodate data center clusters represent another important area. Furthermore, simulation can be used to rigorously evaluate the energy consumption implications and grid stability effects of different software and hardware-based power smoothing techniques, quantifying the trade-offs between mitigating power swings and increasing operational energy use. These simulation-based studies can provide essential data to inform investment decisions and operational guidelines for both data center operators and utilities.

5.3. Developing Frameworks for Market Integration and Policy Analysis

Research is needed to explore and develop frameworks that facilitate the integration of AI data centers into electricity markets and inform effective policy design. This includes creating simulation platforms to test innovative market mechanisms and tariff structures (for example, dynamic pricing, interruptible rates, ancillary service products) designed to incentivize and effectively harness the potential load flexibility of AI data centers. Economic modeling studies can quantify the grid-wide benefits of utilizing this flexibility and compare different approaches for compensating data centers for providing grid services. Policy analysis research can focus on developing and evaluating frameworks for equitable cost allocation of grid upgrades, balancing the “causation pays” principle with broader system benefits. Furthermore, future research can contribute by developing methodologies to analyze the potential contribution of data centers, especially those with on-site resources like BESS or microgrids, to overall grid resilience, including their potential roles during system restoration events. Such analytical and simulation-based frameworks can provide valuable, evidence-based insights for regulators and policymakers navigating the complex economic and regulatory landscape surrounding AI data center integration. Refining lifecycle assessment methodologies to better quantify the embodied environmental impacts of AI hardware also remains an important, data-driven research task.
In conclusion, this section outlines key research directions, from foundational load modeling and simulation-based assessments to the development of new market and policy frameworks, as summarized in Table 7. Addressing these research questions through rigorous analysis and simulation, leveraging collaboration between industry, academia, and policymakers, will be crucial for ensuring that the power grid can reliably, affordably, and sustainably support the ongoing AI advancements.

6. Conclusions

The rapid proliferation and increasing scale of large AI data centers introduce significant challenges to power systems globally, demanding urgent attention from utilities, regulators, and technology developers. This survey details the unique electrical characteristics intrinsic to these facilities. Their high power density concentrates substantial demand geographically, while rapid load variability, driven by the computational patterns of AI workloads, introduces fast power swings that deviate from the more predictable, statistically smoothed behavior of traditional aggregated loads. Furthermore, the inherent voltage sensitivity of their power electronic-intensive equipment adds another layer of complexity, as the facility’s defense system may often cause substantial load tripping offline. These distinguishing characteristics collectively create substantial hurdles for conventional grid planning and operation.
Difficulties arise in ensuring long-term resource and transmission adequacy, as the swift deployment cycles of data centers often outpace the multi-year timelines required for grid infrastructure upgrades. Real-time grid balancing and reserve management face increased strain due to the magnitude and speed of load fluctuations, potentially requiring more costly, faster-responding grid services. Concurrently, these operational dynamics heighten risks to power system stability, encompassing potential deviations in frequency following large load changes, localized voltage issues stemming from reactive power dynamics, and complex instabilities driven by the interaction of numerous power electronic converters with the grid network. Beyond these core operational and stability concerns, the successful integration of AI data centers necessitates careful consideration of power quality impacts such as harmonics and voltage flicker, the resolution of complex economic questions regarding equitable allocation of grid upgrade costs, and diligent management of the significant environmental footprint, which stems not only from substantial operational energy consumption but also from the embodied carbon embedded in the hardware lifecycle and considerable water usage for cooling.
Addressing these interconnected and multifaceted challenges effectively necessitates a coordinated, multi-pronged strategy that spans technological innovation, operational adaptation, and forward-thinking policy development. Solutions cannot reside solely within one domain; rather, they require parallel efforts involving actions implemented directly within data centers, corresponding adaptations on the grid side, and the establishment of supportive, guiding policy frameworks. Within the data center itself, proactive measures such as the deployment of BESS to buffer power fluctuations and enhance ride-through capabilities, the implementation of advanced software or hardware-based power smoothing and ramp-rate controls to manage demand profiles, the adoption of grid-supportive power electronic interfaces such as grid-forming inverters capable of contributing to system stability, and the application of comprehensive lifecycle-aware design principles focusing on both operational efficiency and embodied environmental impacts, all offer direct means to mitigate adverse grid interactions at the source.
Concurrently, essential grid-side and policy initiatives must focus on improving communication and coordination between load operators and grid managers, reforming often lengthy interconnection processes while maintaining reliability standards, modernizing rate structures and cost allocation mechanisms to accurately reflect system impacts and incentivize beneficial load behaviors, accelerating the deployment of GETs to maximize existing infrastructure capacity, and instituting proactive, adaptive planning processes capable of handling the unique uncertainties presented by this rapidly evolving load category. Furthermore, collaborative models that recognize and leverage the potential flexibility inherent in certain AI workloads, such as deferrable training tasks, through well-designed demand response or curtailment programs present significant opportunities to optimize overall grid resource utilization and defer costly infrastructure investments.
Ultimately, the challenge posed by integrating AI data centers extends beyond simply accommodating an incremental increase in electricity demand. It signifies a potential fundamental shift towards a power grid increasingly influenced by large, geographically concentrated, and highly dynamic loads. This transformation disrupts long-held assumptions about load predictability and behavior, demanding a holistic evolution across multiple dimensions of the power system - encompassing not just technological upgrades but also fundamental adjustments in grid architecture, market design, operational protocols, and regulatory approaches. Successfully navigating this complex transition is therefore essential. It requires a forward-looking perspective that balances the need to reliably and sustainably power the ongoing AI revolution with the imperative to maintain grid stability, ensure equitable cost distribution, and uphold environmental responsibility for the broader energy system.

Author Contributions

Conceptualization, Y.L. and E.G.-G.; methodology, E.G.-G.; software, E.G.-G. and Z.K.; validation, P.L. and R.M.; formal analysis, E.G.-G. and Z.K.; investigation, E.G.-G., P.L., R.M. and Z.K.; data curation, Z.K. and P.L.; writing—original draft preparation, E.G.-G. and R.M.; writing—review and editing, Y.L., E.G.-G., J.B. and R.M.; visualization, E.G.-G., R.M. and J.B.; supervision, Y.L.; project administration Y.L.; funding acquisition, Y.L. All authors have read and agreed to the published version of the manuscript.

Funding

This research received no external funding.

Institutional Review Board Statement

Not applicable.

Informed Consent Statement

Not applicable.

Data Availability Statement

The data presented in this study are openly available in [DataCenterSurvey] at [https://github.com/ElinorG11/DataCenterSurvey].

Conflicts of Interest

The authors declare no conflicts of interest.

Abbreviations

The following abbreviations are used in this manuscript:
AIArtificial Intelligence
ATSAutomatic Transfer Switch
BESSBattery Energy Storage System
CMLDComposite Load Model
CPUCentral Processing Unit
DVDynamic Voltage
EVElectric Vehicle
FSFrequency Scaling
GETGrid-Enhancing Technology
GPUGraphics Processing Unit
LLMLarge language models
LVRTLow Voltage Ride-Through
MAEMean Absolute Error
MXUMatrix Unit
PDUPower Distribution Units
PFCPower Factor Correction
PSUPower Supply Unit
PUEPower Usage Effectiveness
RMSERoot Mean Square Error
rPDUrack-mounted Power Distribution Units
RPPRemote Power Panels
SMRSmall Modular Reactor
THDTotal Harmonic Distortion
TOUTime-of-Use
TPUTensor Processing Unit
UPSUninterruptible Power Supply
VMVirtual Machine
WUEWater Usage Effectiveness

References

  1. Synergy Research Group. Hyperscale Data Center Count Jumps to 43; Another 132 in the Pipeline. 2019. Available online: https://www.globenewswire.com/news-release/2019/01/10/1686004/0/en/Hyperscale-Data-Center-Count-Jumps-to-43-Another-132-in-the-Pipeline.html (accessed on 14 September 2025).
  2. Synergy Research Group. Hyperscale Data Center Count Hits 1136; Average Size Increases; US Accounts for 54. Available online: https://www.srgresearch.com/articles/hyperscale-data-center-count-hits-1136-average-size-increases-us-accounts-for-54-of-total-capacity (accessed on 14 September 2025).
  3. Cottier, B.; Rahman, R.; Fattorini, L.; Maslej, N.; Besiroglu, T.; Owen, D. The rising costs of training frontier AI models. arXiv 2025, arXiv:2405.21015. [Google Scholar]
  4. Patel, P.; Choukse, E.; Zhang, C.; Goiri, I.n.; Warrier, B.; Mahalingam, N.; Bianchini, R. Characterizing Power Management Opportunities for LLMs in the Cloud. In Proceedings of the ACM International Conference on Architectural Support for Programming Languages and Operating Systems, La Jolla, CA, USA, 27 April–1 May 2024; Volume 3, pp. 207–222. [Google Scholar] [CrossRef]
  5. Choukse, E.; Warrier, B.; Heath, S.; Belmont, L.; Zhao, A.; Khan, H.A.; Harry, B.; Kappel, M.; Hewett, R.J.; Datta, K.; et al. Power Stabilization for AI Training Datacenters. arXiv 2025, arXiv:2508.14318. [Google Scholar] [CrossRef]
  6. Lu, J.; Liu, A.; Dong, F.; Gu, F.; Gama, J.; Zhang, G. Learning under Concept Drift: A Review. IEEE Trans. Knowl. Data Eng. 2019, 31, 2346–2363. [Google Scholar] [CrossRef]
  7. Elsworth, C.; Huang, K.; Patterson, D.; Schneider, I.; Sedivy, R.; Goodman, S.; Townsend, B.; Ranganathan, P.; Dean, J.; Vahdat, A.; et al. Measuring the Environmental Impact of Delivering AI at Google Scale. 2025. Available online: https://services.google.com/fh/files/misc/measuring_the_environmental_impact_of_delivering_ai_at_google_scale.pdf (accessed on 21 October 2025).
  8. Liu, Y.; Ott, M.; Goyal, N.; Du, J.; Joshi, M.; Chen, D.; Levy, O.; Lewis, M.; Zettlemoyer, L.; Stoyanov, V. RoBERTa: A Robustly Optimized BERT Pretraining Approach. arXiv 2019, arXiv:1907.11692. [Google Scholar]
  9. xAI. Announcing Grok. 2023. Available online: https://x.ai/ (accessed on 27 October 2025).
  10. Meta AI. The Llama 3 Herd of Models. 2024. Available online: https://ai.meta.com/blog/meta-llama-3-1/ (accessed on 27 October 2025).
  11. Touvron, H.; Martin, L.; Stone, K.; Albert, P.; Almahairi, A.; Babaei, Y.; Bashlykov, N.; Batra, S.; Bhargava, P.; Bhosale, S.; et al. Llama 2: Open Foundation and Fine-Tuned Chat Models. arXiv 2023, arXiv:2307.09288. [Google Scholar] [CrossRef]
  12. OpenAI. OpenAI API. 2020. Available online: https://openai.com/blog/openai-api (accessed on 27 October 2025).
  13. OpenAI. Hello GPT-4o. 2024. Available online: https://openai.com/index/hello-gpt-4o/ (accessed on 27 October 2025).
  14. Black, S.; Biderman, S.; Hallahan, E.; Anthony, Q.; Gao, L.; Golding, L.; He, H.; Leahy, C.; McDonell, K.; Phang, J.; et al. GPT-NeoX-20B: An Open-Source Autoregressive Language Model. arXiv 2022, arXiv:2204.06745. [Google Scholar]
  15. Zhang, S.; Roller, S.; Goyal, N.; Artetxe, M.; Chen, M.; Chen, S.; Dewan, C.; Diab, M.; Li, X.; Lin, X.V.; et al. OPT: Open Pre-trained Transformer Language Models. arXiv 2022, arXiv:2205.01068. [Google Scholar] [CrossRef]
  16. Scao, T.L.; Fan, A.; Akiki, C.; Pavlick, E.; Ilić, S.; Hesslow, D.; Castagné, R.; Luccioni, A.S.; Yvon, F.; Gallé, M.; et al. BLOOM: A 176B-Parameter Open-Access Multilingual Language Model. arXiv 2023, arXiv:2211.05100. [Google Scholar]
  17. Chung, H.W.; Hou, L.; Longpre, S.; Zoph, B.; Tay, Y.; Fedus, W.; Li, Y.; Wang, X.; Dehghani, M.; Brahma, S.; et al. Scaling Instruction-Finetuned Language Models. arXiv 2022, arXiv:2210.11416. [Google Scholar] [CrossRef]
  18. Wikipedia Contributors. Wu Dao. 2021. Available online: https://en.wikipedia.org/wiki/Wu_Dao (accessed on 27 October 2025).
  19. Beijing Academy of Artificial Intelligence (BAAI). WuDao 2.0: China’s Largest Pre-Trained Model. 2021. Available online: http://www.china.org.cn/business/2021-06/03/content_77546375.htm (accessed on 27 October 2025).
  20. NVIDIA; Microsoft. Using DeepSpeed and Megatron to Train Megatron-Turing NLG 530B, the World’s Largest and Most Powerful Generative Language Model. 2021. Available online: https://developer.nvidia.com/blog/using-deepspeed-and-megatron-to-train-megatron-turing-nlg-530b-the-worlds-largest-and-most-powerful-generative-language-model/ (accessed on 27 October 2025).
  21. International Energy Agency (IEA). Electricity 2024. Available online: https://www.iea.org/reports/electricity-2024 (accessed on 12 September 2025).
  22. Data Center Dynamics. Meta Plans 5GW ‘Hyperion’ AI Data Center Cluster. 2024. Available online: https://www.datacenterdynamics.com/en/news/meta-to-invest-hundreds-of-billions-of-dollars-into-compute-to-build-superintelligence-with-several-multi-gw-data-center-clusters/ (accessed on 12 September 2025).
  23. Dominion Energy. Dominion Energy Virginia IRP Filing. 2024. Available online: https://www.dominionenergy.com/about/our-company/irp (accessed on 12 September 2025).
  24. Gan, H.; Ranganathan, P. Balance of Power: A Full-Stack Approach to Power and Thermal Fluctuations in ML Infrastructure. 2025. Available online: https://cloud.google.com/blog/topics/systems/mitigating-power-and-thermal-fluctuations-in-ml-infrastructure (accessed on 27 October 2025).
  25. NERC. Characteristics and Risks of Emerging Large Loads. 2025. Available online: https://tinyurl.com/3jw5xyyh (accessed on 12 September 2025).
  26. NERC Large Loads Task Force. LLTF April Meeting & Technical Workshop Presentations. 2025. Available online: https://www.nerc.com/comm/RSTC/LLTF/LLTF_April_Meeting_&_Technical_Workshop_Presentations_.pdf (accessed on 12 September 2025).
  27. Potomac Economics. 2023 State of the Market Report for the ERCOT Electricity Markets. 2024. Available online: https://tinyurl.com/ye22wmdw (accessed on 12 September 2025).
  28. Khosravi, A.; Sandoval, O.R.; Taslimi, M.S.; Sahrakorpi, T.; Amorim, G.; Garcia Pabon, J.J. Review of energy efficiency and technological advancements in data center power systems. Energy Build. 2024, 323, 114834. [Google Scholar] [CrossRef]
  29. Mytton, D.; Ashtine, M. Sources of data center energy estimates: A comprehensive review. Joule 2022, 6, 2032–2056. [Google Scholar] [CrossRef]
  30. Bharany, S.; Sharma, S.; Khalaf, O.I.; Abdulsahib, G.M.; Al Humaimeedy, A.S.; Aldhyani, T.H.H.; Maashi, M.; Alkahtani, H. A Systematic Survey on Energy-Efficient Techniques in Sustainable Cloud Computing. Sustainability 2022, 14, 6256. [Google Scholar] [CrossRef]
  31. Ahmed, K.M.U.; Bollen, M.H.J.; Alvarez, M. A Review of Data Centers Energy Consumption and Reliability Modeling. IEEE Access 2021, 9, 152536–152563. [Google Scholar] [CrossRef]
  32. Elinor Ginzburg-Ganz. Git AI Data Center Power Grid Integration Analysis. 2025. Available online: https://github.com/ElinorG11/DataCenterSurvey/tree/main (accessed on 29 October 2025).
  33. Xiang, Y.; Li, X.; Qian, K.; Yu, W.; Zhai, E.; Jin, X. ServeGen: Workload Characterization and Generation of Large Language Model Serving in Production. arXiv 2025, arXiv:2505.09999. [Google Scholar] [CrossRef]
  34. Ye, Z.; Gao, W.; Hu, Q.; Sun, P.; Wang, X.; Luo, Y.; Zhang, T.; Wen, Y. Deep Learning Workload Scheduling in GPU Datacenters: A Survey. ACM Comput. Surv. 2024, 56, 146. [Google Scholar] [CrossRef]
  35. Wesolowski, L.; Acun, B.; Andrei, V.; Aziz, A.; Dankel, G.; Gregg, C.; Meng, X.; Meurillon, C.; Sheahan, D.; Tian, L.; et al. Datacenter-Scale Analysis and Optimization of GPU Machine Learning Workloads. IEEE Micro 2021, 41, 101–112. [Google Scholar] [CrossRef]
  36. Wang, X.; Wang, X.; Zheng, K.; Yao, Y.; Cao, Q. Correlation-Aware Traffic Consolidation for Power Optimization of Data Center Networks. IEEE Trans. Parallel Distrib. Syst. 2016, 27, 992–1006. [Google Scholar] [CrossRef]
  37. Zheng, K.; Wang, X.; Li, L.; Wang, X. Joint power optimization of data center network and servers with correlation analysis. In Proceedings of the IEEE INFOCOM 2014—IEEE Conference on Computer Communications, Toronto, ON, Canada, 27 April–2 May 2014; pp. 2598–2606. [Google Scholar] [CrossRef]
  38. Trinh, P.H.; Chung, I.Y. Integrated Active and Reactive Power Control Methods for Distributed Energy Resources in Distribution Systems for Enhancing Hosting Capacity. Energies 2024, 17, 1642. [Google Scholar] [CrossRef]
  39. Jeremie Eliahou Ontiveros, A.P.; Patel, D. AI Training Load Fluctuations at Gigawatt-Scale-Risk of Power Grid Blackout? 2025. Available online: https://semianalysis.com/2025/06/25/ai-training-load-fluctuations-at-gigawatt-scale-risk-of-power-grid-blackout/ (accessed on 23 July 2025).
  40. Chen, Y.; Zhang, B. Voltage Issues Caused by Volatile Data Center Power Demand. arXiv 2025, arXiv:2507.06416. [Google Scholar]
  41. Özcan, M.; Wiesner, P.; Weiß, P.; Kao, O. Quantifying the Energy Consumption and Carbon Emissions of LLM Inference via Simulations. 2025. Available online: https://arxiv.org/html/2507.11417v1 (accessed on 23 July 2025).
  42. Long, F.; Lee, G. Bridging the Gap: How Smart Demand Management Can Forestall the AI Energy Crisis. 2025. Available online: https://www.goldmansachs.com/what-we-do/goldman-sachs-global-institute/articles/smart-demand-management-can-forestall-the-ai-energy-crisis (accessed on 16 August 2025).
  43. NERC. Incident Review—Considering Simultaneous Voltage-Sensitive Load Reductions. 2025. Available online: https://www.nerc.com/pa/rrm/ea/Documents/Incident_Review_Large_Load_Loss.pdf (accessed on 18 October 2025).
  44. ABB. Why PUE Tells Only Part of the Data Center Energy Efficiency Story. 2023. Available online: https://new.abb.com/drives/highlights-and-references/why-pue-tells-only-part-of-the-data-center-energy-efficiency-story (accessed on 19 October 2025).
  45. Sun, J.; Xu, M.; Cespedes, M.; Kauffman, M. Data Center Power System Stability—Part I: Power Supply Impedance Modeling. CSEE J. Power Energy Syst. 2022, 8, 403–419. [Google Scholar] [CrossRef]
  46. Zhu, T.; Wang, X.; Zhao, F.; Torrico-Bascopé, G.V. Impedance-Based Aggregation of Paralleled Power Factor Correction Converters in Data Centers. IEEE Trans. Power Electron. 2023, 38, 5254–5265. [Google Scholar] [CrossRef]
  47. Bollen, M.H. Understanding Power Quality Problems; IEEE Press: New York, NY, USA, 2000; Volume 3. [Google Scholar]
  48. Ahrabi, R.R.; Mousavi, A.; Mohammadi, E.; Wu, R.; Chen, A.K. AI-Driven Data Center Energy Profile, Power Quality, Sustainable Sitting, and Energy Management: A Comprehensive Survey. In Proceedings of the 2025 IEEE Conference on Technologies for Sustainability (SusTech), Los Angeles, CA, USA, 20–23 April 2025; pp. 1–8. [Google Scholar] [CrossRef]
  49. McKinsey Quarterly. The Cost of Compute: A $7 Trillion Race to Scale Data Centers. 2025. Available online: https://tinyurl.com/vw2hsue2 (accessed on 19 October 2025).
  50. Goldman Sachs. AI to Drive 165% Increase in Data Center Power Demand by 2030. 2025. Available online: https://www.goldmansachs.com/insights/articles/ai-to-drive-165-increase-in-data-center-power-demand-by-2030 (accessed on 19 October 2025).
  51. Union of Concerned Scientists (UCS). Loophole Costs Customers Over $4 Billion to Connect Data Centers to Power Grid. 2025. Available online: https://www.ucs.org/sites/default/files/2025-09/PJM%20Data%20Center%20Issue%20Brief%20-%20Sep%202025.pdf (accessed on 19 October 2025).
  52. Carnegie Mellon University. Data Center Growth Could Increase Electricity Bills 8% Nationally and as Much as 25% in Some Regional Markets. 2025. Available online: https://www.cmu.edu/work-that-matters/energy-innovation/data-center-growth-could-increase-electricity-bills (accessed on 19 October 2025).
  53. Office of the Ohio Consumers’ Counsel. Data Center Costs–Who Should Pay the Costs of Serving These Power-Hungry Consumers? 2025. Available online: https://www.occ.ohio.gov/content/data-center-costs-24-0508-el-ata (accessed on 19 October 2025).
  54. Pacific Gas; Electric Company. OREGON HOUSE BILL 3546. 2025. Available online: https://docs.cpuc.ca.gov/PublishedDocs/SupDoc/A2411007/8565/580323859.pdf (accessed on 19 October 2025).
  55. michigan EIBC. Newsletter: Data Center Tariff Case, More Conference Photos and More. 2025. Available online: https://www.mieibc.org/16914-2/ (accessed on 19 October 2025).
  56. Michigan Public Service Commission. MPSC Takes Action to Strengthen Power Grid and Maximize Customer Value from Distributed Energy Resources. 2025. Available online: https://www.michigan.gov/mpsc/commission/news-releases/2025/03/13/mpsc-takes-action-to-strengthen-power-grid-and-maximize-customer-value (accessed on 19 October 2025).
  57. Li, Y.; Hu, Z.; Choukse, E.; Fonseca, R.; Suh, G.E.; Gupta, U. EcoServe: Designing Carbon-Aware AI Inference Systems. arXiv 2025, arXiv:2502.05043. [Google Scholar]
  58. Data Centre Dynamics Ltd. (DCD). Amazon Signs 159MW Offshore Wind PPA with Iberdrola in the UK. 2024. Available online: https://www.datacenterdynamics.com/en/news/amazon-signs-159mw-offshore-wind-ppa-with-iberdrola-in-the-uk/ (accessed on 21 October 2025).
  59. Data Centre Dynamics Ltd. (DCD). Microsoft Granted Permission to Run Its Dublin Data Center on Gas. 2023. Available online: https://tinyurl.com/n5n45csr (accessed on 17 October 2025).
  60. Shi, Y.; Cao, X.; Yang, X. Assessment and reduction of embodied carbon emissions in buildings: A systematic literature review of recent advances. Energy Build. 2025, 345, 116058. [Google Scholar] [CrossRef]
  61. Bloomberg. AI Data Centers Are Sending Power Bills Soaring. 2024. Available online: https://www.bloomberg.com/graphics/2025-ai-data-centers-electricity-prices/?embedded-checkout=true (accessed on 25 October 2025).
  62. Nicholas Institute for Energy, Environment & Sustainability. Rethinking Load Growth: Assessing the Potential for Integration of Large Flexible Loads in US Power Systems, 2025. Available online: https://nicholasinstitute.duke.edu/publications/rethinking-load-growth (accessed on 18 August 2025).
  63. Unruh, P.; Nuschke, M.; Strauß, P.; Welck, F. Overview on Grid-Forming Inverter Control Methods. Energies 2020, 13, 2589. [Google Scholar] [CrossRef]
  64. Han, T.; Wang, Y.; Mi, Z.; Han, K.; Tian, J.; Wei, Y.M. Designing and regulating clean energy data centres. Nat. Rev. Clean Technol. 2025, 1, 373–374. [Google Scholar] [CrossRef]
  65. Zidar, J.; Matic, T.; Aleksi, I.; Hocenski, Z. Dynamic Voltage and Frequency Scaling as a Method for Reducing Energy Consumption in Ultra-Low-Power Embedded Systems. Electronics 2024, 13, 826. [Google Scholar] [CrossRef]
  66. Hewlett Packard Enterprise. What Is Data Center Tiers. 2025. Available online: https://www.hpe.com/us/en/what-is/data-center-tiers.html (accessed on 18 August 2025).
  67. Google Cloud. Spanner Instance Configurations. 2025. Available online: https://cloud.google.com/spanner/docs/instance-configurations (accessed on 18 August 2025).
  68. OpenAI. OpenAI Status API. 2025. Available online: https://status.openai.com/ (accessed on 18 August 2025).
  69. Anthropic. Claude Status API. 2025. Available online: https://status.anthropic.com (accessed on 18 August 2025).
  70. World Nuclear Association. Small Nuclear Power Reactors. 2025. Available online: https://world-nuclear.org/information-library/nuclear-fuel-cycle/nuclear-power-reactors/small-nuclear-power-reactors (accessed on 25 October 2025).
  71. Grid Strategies. Advanced Transmission Technologies: Entergy Regional State Committee Working Group. 2021. Available online: https://cdn.misoenergy.org/20240927%20ERSC%20Working%20Group%20Item%2004%20Advanced%20Transmission%20Technologies650072.pdf (accessed on 25 October 2025).
  72. Belikov, J.; Levron, Y. Uses and Misuses of Quasi-Static Time-Varying Phasor Models in Power Systems. IEEE Trans. Power Deliv. 2018, 33, 3263–3266. [Google Scholar] [CrossRef]
Figure 1. Overview of the paper’s contributions, emphasizing the introduction of a grid-centric perspective alongside a consolidated survey of technical, operational, environmental, and economic challenges.
Figure 1. Overview of the paper’s contributions, emphasizing the introduction of a grid-centric perspective alongside a consolidated survey of technical, operational, environmental, and economic challenges.
Energies 19 00137 g001
Figure 2. Illustration of the data center power distribution architecture.
Figure 2. Illustration of the data center power distribution architecture.
Energies 19 00137 g002
Figure 3. Comparison of the rhythmic, high-mean power profile of the training phase against the highly volatile, stochastic load profile of the inference phase due to sporadic arrivals, highlighting the distinct transient behaviors and peak-to-idle transitions imposed on the power supply for the Tesla T4 GPU.
Figure 3. Comparison of the rhythmic, high-mean power profile of the training phase against the highly volatile, stochastic load profile of the inference phase due to sporadic arrivals, highlighting the distinct transient behaviors and peak-to-idle transitions imposed on the power supply for the Tesla T4 GPU.
Energies 19 00137 g003
Figure 4. Comparison of GPU temperature, utilization, and memory usage between training and inference processes for the Tesla T4 GPU.
Figure 4. Comparison of GPU temperature, utilization, and memory usage between training and inference processes for the Tesla T4 GPU.
Energies 19 00137 g004
Figure 5. Tesla T4 GPU state transitions in time during an AI training and inference simulation. Note: The gray plus signs denote initiation and completion of the training process.
Figure 5. Tesla T4 GPU state transitions in time during an AI training and inference simulation. Note: The gray plus signs denote initiation and completion of the training process.
Energies 19 00137 g005
Figure 6. Comparison of the rhythmic, high-mean power profile of the training phase against the highly volatile, stochastic load profile of the inference phase due to sporadic arrivals, highlighting the distinct transient behaviors and peak-to-idle transitions imposed on the power supply for Google’s TPU v5e-1.
Figure 6. Comparison of the rhythmic, high-mean power profile of the training phase against the highly volatile, stochastic load profile of the inference phase due to sporadic arrivals, highlighting the distinct transient behaviors and peak-to-idle transitions imposed on the power supply for Google’s TPU v5e-1.
Energies 19 00137 g006
Figure 7. Comparison of TPU temperature, utilization, and memory usage between training and inference processes for Google’s TPU v5e-1.
Figure 7. Comparison of TPU temperature, utilization, and memory usage between training and inference processes for Google’s TPU v5e-1.
Energies 19 00137 g007
Figure 8. Temporal analysis of MXU utilization for Training vs. Inference phases for Google’s TPU v5e-1.
Figure 8. Temporal analysis of MXU utilization for Training vs. Inference phases for Google’s TPU v5e-1.
Energies 19 00137 g008
Figure 9. Grid-side technical challenges summary (organized from top-left to bottom-right).
Figure 9. Grid-side technical challenges summary (organized from top-left to bottom-right).
Energies 19 00137 g009
Figure 10. Distribution of papers across different categories.
Figure 10. Distribution of papers across different categories.
Energies 19 00137 g010
Figure 11. Impact of varying droop constants on the power (P), frequency (f), and rotor angle ( δ ) of a synchronous generator and grid system during a fluctuating AI training workload.
Figure 11. Impact of varying droop constants on the power (P), frequency (f), and rotor angle ( δ ) of a synchronous generator and grid system during a fluctuating AI training workload.
Energies 19 00137 g011
Figure 12. Phase plane portrait showing systems stability trajectories of the rotor angle relative to its equilibrium point ( δ δ * in [deg]) of a synchronous generator as a function of the grid’s frequency relative to the nominal frequency ( Δ ω in [rad/s]), for a fluctuating AI training workload consumption profile.
Figure 12. Phase plane portrait showing systems stability trajectories of the rotor angle relative to its equilibrium point ( δ δ * in [deg]) of a synchronous generator as a function of the grid’s frequency relative to the nominal frequency ( Δ ω in [rad/s]), for a fluctuating AI training workload consumption profile.
Energies 19 00137 g012
Figure 13. Examples of grid-side voltage disturbances observed at the point of common coupling (PCC) of a data center: (a) harmonic distortion from power-electronic loads (THD ≈ 8–10%) such as UPS rectifiers, power supplies, and cooling drives; and (b) voltage sag (0.8 p.u., 3 cycles) and swell (1.1 p.u., 2 cycles) caused by fast load steps such as GPU-cluster activation or cooling ramp-up.
Figure 13. Examples of grid-side voltage disturbances observed at the point of common coupling (PCC) of a data center: (a) harmonic distortion from power-electronic loads (THD ≈ 8–10%) such as UPS rectifiers, power supplies, and cooling drives; and (b) voltage sag (0.8 p.u., 3 cycles) and swell (1.1 p.u., 2 cycles) caused by fast load steps such as GPU-cluster activation or cooling ramp-up.
Energies 19 00137 g013
Figure 14. Data center-side solutions for AI workload power management and sustainability.
Figure 14. Data center-side solutions for AI workload power management and sustainability.
Energies 19 00137 g014
Figure 15. Collaborative solutions between data centers and grid operators for power management.
Figure 15. Collaborative solutions between data centers and grid operators for power management.
Energies 19 00137 g015
Figure 16. Illustration of the data center’s integrated ecosystem, interacting with the electrical grid, local power plants, and renewable energy sources. The data center also relies on ancillary systems, such as energy storage devices, and implicitly interacts with other load units.
Figure 16. Illustration of the data center’s integrated ecosystem, interacting with the electrical grid, local power plants, and renewable energy sources. The data center also relies on ancillary systems, such as energy storage devices, and implicitly interacts with other load units.
Energies 19 00137 g016
Figure 17. Grid-side and policy solutions for integrating AI data centers with power grids.
Figure 17. Grid-side and policy solutions for integrating AI data centers with power grids.
Energies 19 00137 g017
Table 1. LLM workloads characterized for inference analysis, based on [4,7].
Table 1. LLM workloads characterized for inference analysis, based on [4,7].
ModelParametersRelease Date
RoBERTa [8]355 MJuly 2019
Grok-1 [9]314 BMarch 2024
Llama-3.1 [10]70 BJuly 2024
Llama-3.1 [10]405 BJuly 2024
Llama 2 [11]13 BJuly 2023
Llama 2 [11]70 BJuly 2023
GPT-3 [12]175 BJune 2020
GPT-4o [13]200 BMay 2024
GPT-NeoX [14]20 BFebruary 2022
OPT [15]30 BMay 2022
BLOOM [16]176 BJuly 2022
Flan-T5 XXL [17]11 BDecember 2022
WuDao 1.0 [18]January 2021
WuDao 2.0 [19]1.75 TJune 2021
Megatron-Turing NLG [20]530 BOctober 2021
Table 2. Comparison with related works.
Table 2. Comparison with related works.
WorkEnergy EfficiencySustainabilityLoad ModelingAI Workload SpecificsGrid Stability RisksUtility Perspective
[28]
[30]
[29]
[31]
This Work
Table 3. Summary of Simulation Parameters.
Table 3. Summary of Simulation Parameters.
VariableValueUnitsExplanation
P L , D C 50 × 106[W]The maximal power drawn by the data center
Px75–200 × 106[W]The expression ( 3 | E g | | E | ) / X
Prt100 × 106[W]The rated power of the generator
fs60[Hz]Nominal electrical frequency
ws 2 π · 60[rad/s]Nominal electrical frequency
K0.5–4 × Kbase[1/(W·s2)]Generator’s inertia constant
Pref12.5–50 × 106[W]3 phase generator’s reference power
α 0.01–100[1/s]The fraction K/D, where D is the generator’s droop constant
SimTime10[s]Simulation time
RelTol *1 × 10−4-Simulation accuracy
MaxStep1 × 10−3[s]Simulation max step size
* This solver parameter ensures the error scales in proportion to the calculated value.
Table 4. Error Metrics: RMSE and MAE Analysis.
Table 4. Error Metrics: RMSE and MAE Analysis.
RMSEMAE
Metric α = 0.01 α = 0.10 α = 1.00 α = 10.00 α = 100.00 α = 0.01 α = 0.10 α = 1.00 α = 10.00 α = 100.00
Frequency (f [Hz])0.20900.17770.07350.02480.00730.17270.14860.06020.01900.0064
Rel. Angle ( δ [deg])17.967416.124911.352410.16076.983814.112112.882010.15809.33126.3865
Reference values: f s = 60 Hz (nominal frequency), δ n = 0 deg.
Table 5. Summary of surveyed grid integration challenges.
Table 5. Summary of surveyed grid integration challenges.
Survey DomainSpecific ChallengeSummary of Findings from LiteratureKey Refs.
Load CharacterizationAI Workload ProfilesAI training loads are a distinct category, characterized by high power density, sustained high utilization, and rapid power fluctuations (ramp rates) that differ from traditional IT loads.[4,5]
Long-Term PlanningResource & Transmission AdequacyA fundamental temporal mismatch exists. Data center deployment (1–2 years) is significantly faster than grid infrastructure planning and construction (5–10 years), straining resource adequacy.[25,26]
Real-Time OperationsBalancing & Voltage ControlRapid and large-scale load ramps (e.g., 400 MW in 36 s) are faster than conventional generation reserves, straining balancing services and causing local voltage deviations.[25,39,40]
Power System StabilityCoordinated Load TrippingProtective settings on data centers can trigger a simultaneous disconnection of large loads (e.g., 1.5 GW event in 2024) during a grid fault, causing system-wide over-frequency events.[25,43]
Power System StabilityHarmonics & ResonancePower electronic converters in UPS and server PSUs introduce harmonic distortion. These harmonics can interact with grid impedance and data center capacitors, creating resonance.[25,45,46]
Economic & PolicyCost AllocationSubstantial grid upgrade costs raise a policy debate over cost allocation, with a regulatory trend moving away from socializing costs and towards “causation pays” models.[51,53,61]
Mitigation StrategiesLoad-Side & Collaborative SolutionsOn-site Battery Energy Storage (BESS), hardware-level power smoothing, and collaborative load curtailment programs are identified as key strategies to manage volatility and support the grid.[5,26,42,62]
Table 6. Summary of mitigation strategies and solutions.
Table 6. Summary of mitigation strategies and solutions.
Strategy CategorySpecific SolutionMechanism / DescriptionKey Refs.
Data Center-SideBattery Energy StorageOn-site batteries absorb and release energy to smooth rapid power fluctuations and provide ride-through support during grid sags.[5,26]
Data Center-SidePower Smoothing (HW/SW)Software injects secondary tasks or hardware firmware controls ramp rates to establish a more consistent power floor, reducing volatility.[5]
Data Center-SideGrid-Forming InvertersAdvanced power electronics that can actively provide voltage and frequency support to the grid, mimicking synchronous generators.[26,63]
CollaborativeLoad Curtailment ProgramsLeverages the flexibility of AI training, which can be paused and resumed, to reduce demand during periods of grid stress.[42,68]
CollaborativeGeographical Load ShiftingMoves latency-tolerant workloads (e.g., inference) between geographically distributed data centers to utilize available power.[N/A]
Grid-Side & PolicyCost Allocation ReformRegulatory shift towards “causation pays” models, requiring data centers to bear the costs of the grid upgrades they necessitate.[25,51,53,61]
Grid-Side & PolicyGrid-Enhancing Tech. (GETs)Deploying Dynamic Line Ratings (DLR) and power flow controllers to maximize the capacity of existing transmission infrastructure.[71]
Grid-Side & PolicyAdvanced Load ModelingDeveloping and standardizing new dynamic models that accurately capture the fast transient behavior of power-electronic-based loads.[25,26,72]
Table 7. Summary of future work and research directions.
Table 7. Summary of future work and research directions.
Research AreaIdentified Gap/ObjectiveProposed Research Action/MethodologyKey Refs.
Load Modeling & SimulationCurrent models (e.g., CMLD) do not accurately capture the fast transient behavior and ride-through logic of AI data centers.Develop, validate, and standardize new dynamic models. Adapt models from other power electronic loads (e.g., EV chargers).[26]
Mitigation Strategy AssessmentNeed for quantitative assessment of mitigation strategies before costly, large-scale hardware deployment.Use power system simulation (e.g., parametric studies) to optimize BESS sizing, control, and to compare GETs vs. traditional upgrades.[N/A]
Market Integration & PolicyLack of frameworks to incentivize load flexibility and determine equitable cost allocation for grid upgrades.Develop simulation platforms to test new market mechanisms (e.g., dynamic pricing, ancillary services) and policy frameworks.[N/A]
Disclaimer/Publisher’s Note: The statements, opinions and data contained in all publications are solely those of the individual author(s) and contributor(s) and not of MDPI and/or the editor(s). MDPI and/or the editor(s) disclaim responsibility for any injury to people or property resulting from any ideas, methods, instructions or products referred to in the content.

Share and Cite

MDPI and ACS Style

Ginzburg-Ganz, E.; Lifshits, P.; Machlev, R.; Belikov, J.; Krieger, Z.; Levron, Y. Technical Challenges of AI Data Center Integration into Power Grids—A Survey. Energies 2026, 19, 137. https://doi.org/10.3390/en19010137

AMA Style

Ginzburg-Ganz E, Lifshits P, Machlev R, Belikov J, Krieger Z, Levron Y. Technical Challenges of AI Data Center Integration into Power Grids—A Survey. Energies. 2026; 19(1):137. https://doi.org/10.3390/en19010137

Chicago/Turabian Style

Ginzburg-Ganz, Elinor, Pavel Lifshits, Ram Machlev, Juri Belikov, Ziv Krieger, and Yoash Levron. 2026. "Technical Challenges of AI Data Center Integration into Power Grids—A Survey" Energies 19, no. 1: 137. https://doi.org/10.3390/en19010137

APA Style

Ginzburg-Ganz, E., Lifshits, P., Machlev, R., Belikov, J., Krieger, Z., & Levron, Y. (2026). Technical Challenges of AI Data Center Integration into Power Grids—A Survey. Energies, 19(1), 137. https://doi.org/10.3390/en19010137

Note that from the first issue of 2016, this journal uses article numbers instead of page numbers. See further details here.

Article Metrics

Article metric data becomes available approximately 24 hours after publication online.
Back to TopTop