Design and Analysis of a Novel Ocean Current Two-Coupled Crossflow Turbine Energy Converter
Abstract
1. Introduction
2. Design of Ocean Current CFT Energy Converters
2.1. Configuration and Features of a Novel Ocean Current CFT Converter
2.2. Configuration and Specifications of the Rotor Blades
2.3. Configuration and Specifications of Guide Vanes
3. Theoretical Power and Efficiency of Ocean Current CFT Converters
4. Numerical Results and Discussion
4.1. Power Comparison Using Empirical Formula and the CFD Method
- Step 1: Specification of Parameters
- Step 2: Construction of 3D Component Geometries
- Step 3: Creation of the CFD Fluid Domain
- Step 4: Mesh Generation of the Fluid Domain
- Step 5: Boundary Layer Mesh Settings
- Near blades and guide vanes:
- ○
- Boundary layer thickness: 0.01 m;
- ○
- Scale factor (relative to base mesh): 0.06;
- ○
- Growth rate: 1.2.
- Near other surfaces:
- ○
- Boundary layer thickness: 0.4 m;
- ○
- Scale factor (relative to base mesh): 0.2;
- ○
- Growth rate: 1.5.
- Step 6: CFD Model Setup
- Reynolds-Averaged Navier–Stokes (RANS) equations;
- Steady-state flow assumption;
- k-ω SST turbulence model;
- Additional y+ based wall treatment for near-wall modeling.
- Step 7: Definition of Boundary Conditions
- Step 8: Numerical Simulation
- Step 9: Grid Independence Verification
4.2. Theoretical Performance Using the Empirical Formula
4.3. Determining the Effect of the Turbine Center Distance Ratio on Energy Converter Performance Using CFD
4.4. Determination of the Effect of Rotating Speed and Blade Number on Turbine Performance Using CFD
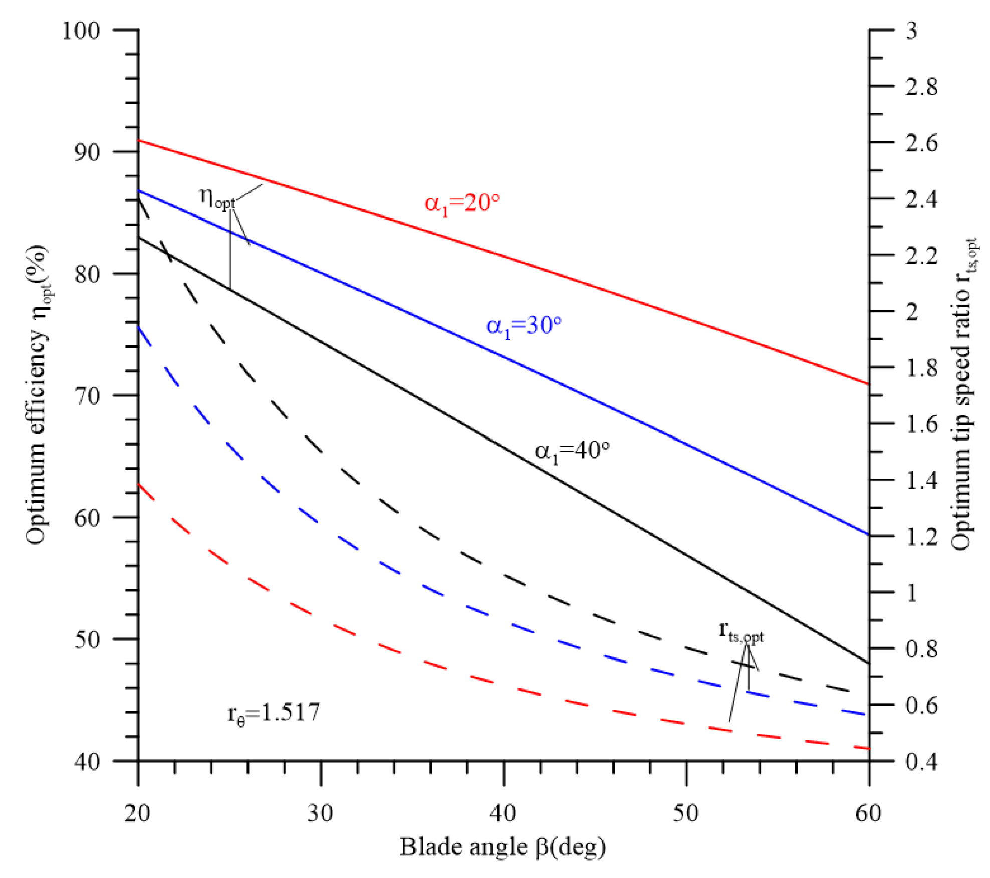
4.5. Determination of the Effect of Blade Angle on Turbine Performance Using CFD
4.6. Determining the Effects of the Setting Angles of Guide Vanes on Turbine Performance Using CFD
4.7. Determining the Effect of the Ratio of Turbine Shaft Length on Turbine Performance Using CFD
4.8. Determination of the Effect of Current Velocity on Turbine Performance Using CFD
5. Conclusions
- (1)
- Considering the relationships of the setting angles of vanes and , if the setting angle γ1 is increased, the incident angle a is decreased, and the power, efficiency η, and power–drag ratio rpower-drag are also increased. The minimum incident angle α1 and the maximum power, efficiency η, and the power–drag ratio are obtained when γ1 =78°. The performance of the converter decreases when the setting angle γ1 is further increased.
- (2)
- If the blade angle β is increased above 30°, the flow rate Q, power, efficiency η, the power–drag ratio rpower-drag, and the incident velocity ratio rV1 are also increased. The optimum performance is obtained when β = 44°; if the blade angle β is further increased, the performance decreases.
- (3)
- If the rotating speed N = 2.6 (Vcur/1.6) rpm is considered, the power, efficiency η, and incident velocity ratio rV1 for any current velocity Vcur are significantly high. Moreover, whatever Vcur is, the corresponding efficiency η is approximately 77.5%.
- (4)
- The performance of each turbine with Nblade = 31 is significantly better than that with Nblade = 23.
- (5)
- If the turbine center distance ratio rL4 = L4/Ro < 1.50, the efficiency η is low. Because the distance between the two turbines is too short, the outlet flows of the two turbines will interfere with each other. When rL4 ≥ 2.50, the efficiency η is significantly high, and the two outlet flows do not interfere with each other.
- (6)
- The optimal ratio of the turbine shaft length is approximately 5.5 < (rshaft = Wshaft/Dtur)opt < 5.7.
Author Contributions
Funding
Data Availability Statement
Conflicts of Interest
Nomenclature
| ci | chords of the ith vane; i = 1, 2, 3 |
| C | coefficient of incident velocity |
| CFD | computational fluid dynamics |
| Dtur | diameter of turbine |
| Fdrag | hydrodynamic drag force |
| g | gravity |
| H | net water head |
| L1 | channel horizontal width |
| L2 | distance from turbine center to channel inlet |
| L3 | distance from turbine center to channel outlet |
| L4 | distance of turbine center |
| m | maximum thickness of rotor blade |
| mi | maximum thickness of ith guide vane |
| mass flow rate | |
| N | rotating speed |
| Nblade | number of rotor blade |
| Ncell | number of cells |
| p | maximum camber position of rotor blade |
| pi | maximum camber position of ith guide vane |
| Power | power |
| Q | flow rate |
| rL4 | ratio of turbine center distance, L4/ |
| rshaft | Ratio of turbine shaft length, Wshaft/Dtur |
| rV1 | incident velocity ratio, V1/Vcur |
| rts | tip speed ratio, Ut/Vcur |
| rθ | ratio of inlet–outlet area, θinlet/θoutlet |
| rpower-drag | power–drag ratio, Power/Fdrag |
| outer radius of rotor | |
| inner radius of rotor | |
| Uβ | relative Flow velocity relative to rotor blade |
| VCUR | ocean current velocity |
| V1 | incident velocity |
| V2 | departing velocity at the outlet |
| Wshaft | length of turbine shaft |
| W0 | channel vertical length |
| α1 | incident angle at the inlet |
| α2 | departing angle at the outlet |
| β | blade angle |
| γi | setting angle of the ith vane, i = 1, 2, 3 |
| ρ | density of sea water |
| η | efficiency |
| ω | angular speed of turbine |
| ψi | directions of three vanes, i = 1, 2, 3 |
| velocity coefficient | |
| θinlet | inlet angles of a turbine |
| θoutlet | outlet angles of a turbine |
| Subscripts: | |
| max | maximum |
| tur | turbine |
References
- Korte, A.; Windt, C.; Goseberg, N. Review and assessment of the German tidal energy resource. J. Ocean Eng. Mar. Energy 2024, 10, 239–261. [Google Scholar] [CrossRef]
- Lin, S.M.; Wang, W.R.; Yuan, H. The Hydrodynamic Similarity between Different Power Levels and a Dynamic Analysis of Ocean Current Energy Converter–Platform Systems with a Novel Pulley–Traction Rope Design for Irregular Typhoon Waves and Currents. J. Mar. Sci. Eng. 2024, 12, 1670. [Google Scholar] [CrossRef]
- Lin, S.M.; Wang, W.R.; Yuan, H. Transient translational-rotational motion of an ocean current converter mooring system with initial conditions. J. Mar. Sci. Eng. 2023, 11, 1533. [Google Scholar] [CrossRef]
- Chen, Y.Y.; Hsu, H.C.; Bai, C.Y.; Yang, Y.; Lee, C.W.; Cheng, H.K.; Shyue, S.W.; Li, M.S. Evaluation of test platform in the open sea and mounting test of KW Kuroshio power-generating pilot facilities. In Proceedings of the 2016 Taiwan Wind Energy Conference, Keelung, Taiwan, 24–25 November 2016. [Google Scholar]
- Zhou, Z.; Benbouzid, M.; Charpentier, J.F.; Scuiller, F.; Tang, T. Developments in large marine current turbine technologies–A review. Renew. Sustain. Energy Rev. 2017, 71, 852–858. [Google Scholar]
- Guillou, S.S.; Eric Bibeau, E. Tidal Turbines. Energies 2023, 16, 3204. [Google Scholar] [CrossRef]
- IHI; NEDO. The Demonstration Experiment of the IHI Ocean Current Turbine Located off the Coast of Kuchinoshima Island, Kagoshima Prefecture, Japan. 14 August 2017. Available online: https://tethys.pnnl.gov/project-sites/ihi-ocean-current-turbine (accessed on 28 August 2021).
- Guo, J.F.; Chiu, F.C.; Tsai, J.F.; Lee, K.Y.; Li, J.H.; Hsin, C.Y. Manufacture and Sea Trial of 20 kW Floating Kuroshio Turbine; NAMR110050; Ocean Affairs Council: Kaohsiung, Taiwan, 2021. (In Chinese) [Google Scholar]
- Zwieten, J.V.; Driscoll, F.R.; Leonessa, A.; Deane, G. Design of a prototype ocean current turbine—Part I: Mathematical modeling and dynamics simulation. Ocean Eng. 2006, 33, 1485–1521. [Google Scholar]
- Yan, J.; Deng, X.; Korobenko, A.; Bazilevs, Y. Free-surface flow modeling and simulation of horizontal-axis tidal-stream turbines. Comput. Fluids 2017, 158, 157–166. [Google Scholar] [CrossRef]
- Encarnacion, J.I.; Johnstone, C.; Ordonez-Sanchez, S. Design of a Horizontal Axis Tidal Turbine for Less Energetic Current Velocity Profiles. J. Mar. Sci. Eng. 2019, 7, 197. [Google Scholar] [CrossRef]
- Kumar, M.; Nam, G.W.; Oh, S.J.; Seo, J.; Samad, A.; Hyun, S. Design Optimization of a Horizontal Axis Tidal Stream Turbine Blade Using CFD. In Proceedings of the Fifth International Symposium on Marine Propulsors SMP’17, Espoo, Finland, 12–15 June 2017. [Google Scholar]
- Jégo, L.; Guillou, S.S. Study of a Bi-Vertical Axis Turbines Farm Using the Actuator Cylinder Method. Energies 2021, 14, 5199. [Google Scholar] [CrossRef]
- Moreau, M.; Germain, G.; Maurice, G. Experimental performance and wake study of a ducted twin vertical axis turbine in ebb and flood tide currents at a 1/20th scale. Renew. Engergy 2023, 214, 318–333. [Google Scholar] [CrossRef]
- Delafin, P.L.; Deniset, F.; Astolfi, J.A.; Hauville, F. Performance improvement of a Darrieus tidal turbine with active variable pitch. Energies 2021, 14, 667. [Google Scholar] [CrossRef]
- Mockmore, C.A.; Merryfield, F. The Banki Water Turbine. In Bullettin Series, Engineering Experiment Station; Oregon State System of Higher Education, Oregon State College: Corvallis, OR, USA, 1949. [Google Scholar]
- Sinagra, M.; Sammartanoa, V.; Aricòa, C.; Collurab, A.; Tucciarellia, T. Cross-Flow turbine design for variable operating conditions. Procedia Eng. 2014, 70, 1539–1548. [Google Scholar] [CrossRef]
- Sinagra, M.; Sammartano, V.; Arico, C.; Collura, A. Experimental and numerical analysis of a cross-flow turbine. J. Hydraul. Eng. 2016, 142, 04015040. [Google Scholar]
- Adanta, D.; Budiarso; Warjito; Siswantara, A.I.; Prakoso, A.P. Performance Comparison of NACA 6509 and 6712 on Pico Hydro Type Cross-Flow Turbine by Numerical Method. J. Adv. Res. Fluid Mech. Therm. Sci. 2018, 45, 116–127. [Google Scholar]
- Sammartano, V.; Aricò, C.; Carravetta, A.; Fecarotta, O.; Tucciarelli, T. Banki-Michell Optimal Design by Computational Fluid Dynamics Testing and Hydrodynamic Analysis. Energies 2013, 6, 2362–2385. [Google Scholar] [CrossRef]
- Woldemariam, E.T.; Lemu, H.G.; Wang, G.G. CFD-Driven Valve Shape Optimization for Performance Improvement of a Micro Cross-Flow Turbine. Energies 2018, 11, 248. [Google Scholar] [CrossRef]
- Picone, C.; Sinagra, M.; Gurnari, L.; Tucciarelli, T.; Filianoti, P.G.F. A New Cross-Flow Type Turbine for Ultra-Low Head in Streams and Channels. Water 2023, 15, 973. [Google Scholar] [CrossRef]
- Acharya, N.; Kim, C.G.; Thapa, B.; Lee, Y.H. Numerical analysis and performance enhancement of a cross-flow hydro turbine. Renew. Energy 2015, 80, 819–826. [Google Scholar] [CrossRef]
- Kaya, M.; Özdemir, Y.H.; Yiğit, K.S. Investigation of a cross-flow turbine under natural conditions. Sadhana 2022, 47, 11. [Google Scholar] [CrossRef]
- “NACA Airfoils”. nasa.gov. NASA. Available online: https://en.wikipedia.org/wiki/NACA_airfoil (accessed on 6 March 2025).
- Lee, M.; Park, G.; Park, C.; Kim, C. Improvement of Grid Independence Test for Computational Fluid Dynamics Model of Building Based on Grid Resolution. Adv. Civ. Eng. 2020, 2020, 8827936. [Google Scholar] [CrossRef]




















| Classification | Parameter | Dimension |
|---|---|---|
| Structure of channel | Channel horizontal width L1 | 37.02 m |
| Distance from turbine center to channel inlet L2 | 8.20 m | |
| Distance from turbine center to channel outlet L3 | 5.09 m | |
| Distance between two turbine centers L4 | - | |
| Channel vertical length W0 | 54.213 m | |
| Turbine rotor | Outer radius of rotor Ro | 4.20 m |
| Inner radius of rotor Ri | 2.887 m | |
| length of turbine shaft Wshaft | 50.0 m | |
| Maximum thickness of blade m | 0.2 | |
| Maximum camber position of blade p | 0.4 | |
| Blade angle β | 45° | |
| Number of rotor blades Nblade | 23 | |
| Guide vane | Directions of three vanes ψ1/ψ2/ψ3 | 35°/70°/0° |
| Setting angle of three vanes γ1/γ2/γ3 | 78°/88°/73° | |
| chords of three vanes c1/c2/c3 | 1.9688 m | |
| Maximum thickness of three vanes m1/m2/m3 | 0.05/0.03/0.1 | |
| Maximum camber position of three vanes p1/p2/p3 | 0.4 | |
| Operating parameter | Angle of turbine inlet θinlet | 136.5° |
| Angle of turbine outlet θoutlet | 90° | |
| Ratio of inlet–outlet area | 1.517 | |
| Current velocity Vcur | 1.6 m/s | |
| Rotating speed N | 2.4 rpm |
| L4 (m) | Flow Rate Q (m3/s) (*) | Average Incident Angle α1 (deg) (*) | Tip Speed Ratio rts = Ut/V1 (#) | Average Incident Velocity V1 (m/s) (**) | Power (kW) (CFD) (*) | Power (kW) (***) | Error of Power (%) |
|---|---|---|---|---|---|---|---|
| 5.0 | 629.37 | 32.8 | 0.909 | 1.161 | 594.6 | 595.4 | 0.13 |
| 6.0 | 689.56 | 34.0 | 0.857 | 1.232 | 744.6 | 754.5 | 1.33 |
| 6.5 | 698.05 | 33.4 | 0.833 | 1.267 | 799.0 | 801.0 | 0.25 |
| 7.0 | 706.44 | 30.8 | 0.766 | 1.379 | 914.0 | 916.9 | 0.32 |
| 8.0 | 707.90 | 25.7 | 0.647 | 1.631 | 1133.7 | 1139.3 | 0.49 |
| 9.0 | 714.05 | 23.5 | 0.590 | 1.790 | 1307.5 | 1288.6 | 1.45 |
| 13.0 | 754.73 | 20.0 | 0.491 | 2.148 | 1640.2 | 1652.7 | 0.76 |
| Grid Type | Grid | Ncell,rotating/ Ncell,nonrotating | (kg/s) | εm (%) * | Power (kw) | εpower (%) * | Fx (N) | εFX (%) * |
|---|---|---|---|---|---|---|---|---|
| A | coarse | 6,802,362/ 8,516,028 | 654,652 | 1.34 | 1065.92 | 13.65 | 6,654,329 | 0.10 |
| B | medium | 10,809,792/ 13,204,668 | 656,401 | 1.08 | 1190.20 | 3.59 | 6,759,912 | 1.48 |
| C | fine | 12,788,736/ 15,806,913 | 663,557 | 0 | 1234.47 | 0 | 6,661,119 | 0 |
| Parameter | Dimension |
|---|---|
| Channel horizontal width L1 | 36.69 m |
| Distance from turbine center to channel inlet L2 | 8.47 m |
| Distance of turbine center L4 | 7.875 m |
| Channel vertical length W0 | 55.63 m |
| Length of turbine shaft Wshaft | 51.5 m |
| Setting angle of three blades γ1/γ2/γ3 | 55°/63°/50° |
| Parameter | Dimension |
|---|---|
| Distance from turbine center to channel inlet L2 | 8.56 m |
| Distance from turbine center to channel outlet L3 | 4.66 m |
| Distance of two turbine centers L4 | 8.00 |
| Channel vertical length W0 | - |
| Length of turbine shaft Wshaft | - |
| Blade angle β | 44° |
| Number of rotor blade Nblade | 31 |
Disclaimer/Publisher’s Note: The statements, opinions and data contained in all publications are solely those of the individual author(s) and contributor(s) and not of MDPI and/or the editor(s). MDPI and/or the editor(s) disclaim responsibility for any injury to people or property resulting from any ideas, methods, instructions or products referred to in the content. |
© 2025 by the authors. Licensee MDPI, Basel, Switzerland. This article is an open access article distributed under the terms and conditions of the Creative Commons Attribution (CC BY) license (https://creativecommons.org/licenses/by/4.0/).
Share and Cite
Lin, S.-M.; Huang, W.-L.; Utama, D.W.; Chen, Y.-Y. Design and Analysis of a Novel Ocean Current Two-Coupled Crossflow Turbine Energy Converter. Energies 2025, 18, 2303. https://doi.org/10.3390/en18092303
Lin S-M, Huang W-L, Utama DW, Chen Y-Y. Design and Analysis of a Novel Ocean Current Two-Coupled Crossflow Turbine Energy Converter. Energies. 2025; 18(9):2303. https://doi.org/10.3390/en18092303
Chicago/Turabian StyleLin, Shueei-Muh, Wei-Le Huang, Didi Widya Utama, and Yang-Yih Chen. 2025. "Design and Analysis of a Novel Ocean Current Two-Coupled Crossflow Turbine Energy Converter" Energies 18, no. 9: 2303. https://doi.org/10.3390/en18092303
APA StyleLin, S.-M., Huang, W.-L., Utama, D. W., & Chen, Y.-Y. (2025). Design and Analysis of a Novel Ocean Current Two-Coupled Crossflow Turbine Energy Converter. Energies, 18(9), 2303. https://doi.org/10.3390/en18092303

