A Semi-Analytical Model for Pressure Transient Analysis of Multiple Fractured Horizontal Wells in Irregular Heterogeneous Reservoirs
Abstract
1. Introduction
2. Methodology
2.1. Physical Model
- (1)
- Each region is assumed to be homogeneous with the same layer thickness.
- (2)
- Because the reservoir is fully penetrated by the hydraulic fractures and the reservoir length is significantly greater than its thickness, the flow pattern can be simplified as a 2D flow.
- (3)
- The flux distribution along the hydraulic fracture is non-uniform.
- (4)
- The well flow is produced at a constant rate, and the fluid enters the well only through the hydraulic fracture. It is worth noting that the assumption of a constant production rate is a simplification, as actual production rates often vary due to pressure depletion and operational constraints.
- (5)
- The flow conductivity of the wellbore is infinite, meaning pressure loss along the wellbore is ignored.
- (6)
- The effects of gravity and capillary forces are negligible.
2.2. Mathematical Model
2.2.1. Fluid Flow Within the Fracture System
2.2.2. Fluid Flow Within the Matrix System
2.2.3. Solution of the Mathematical Model
3. Model Validation
4. Results and Discussion
4.1. Flow Regimes Analysis
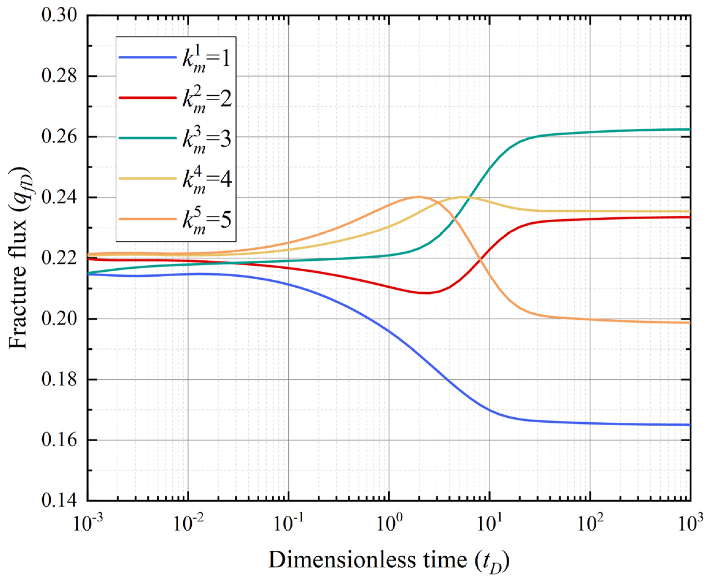
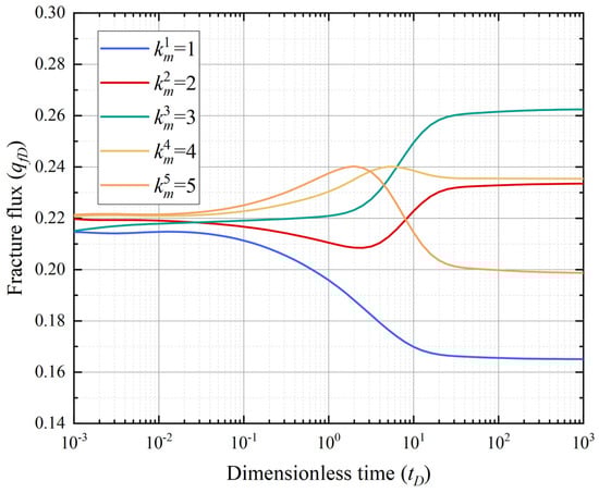
4.2. Different Permeability Ratios
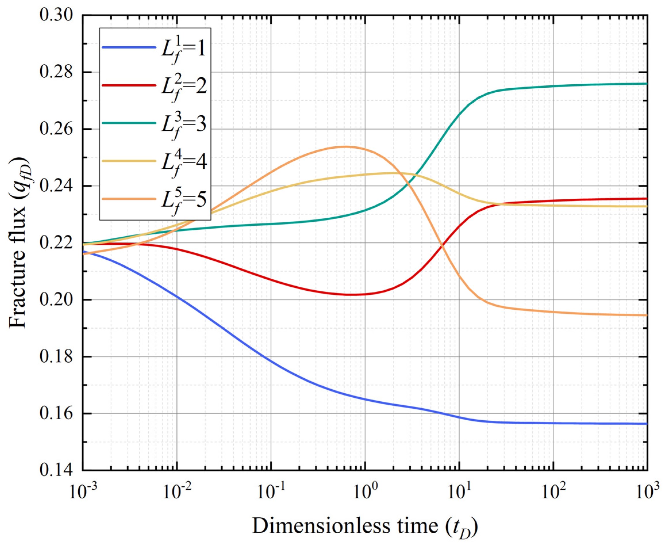
4.3. Fracture Length
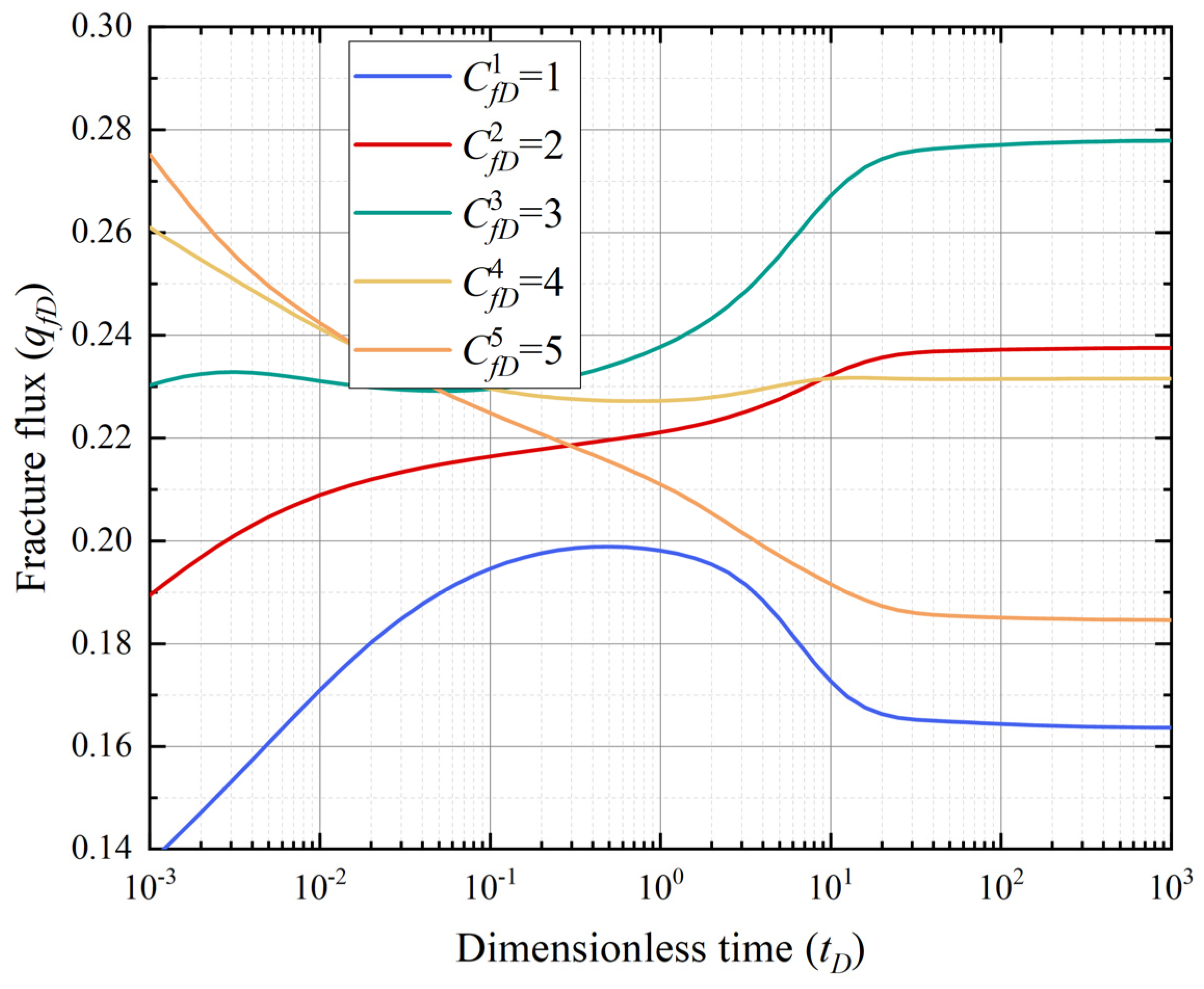
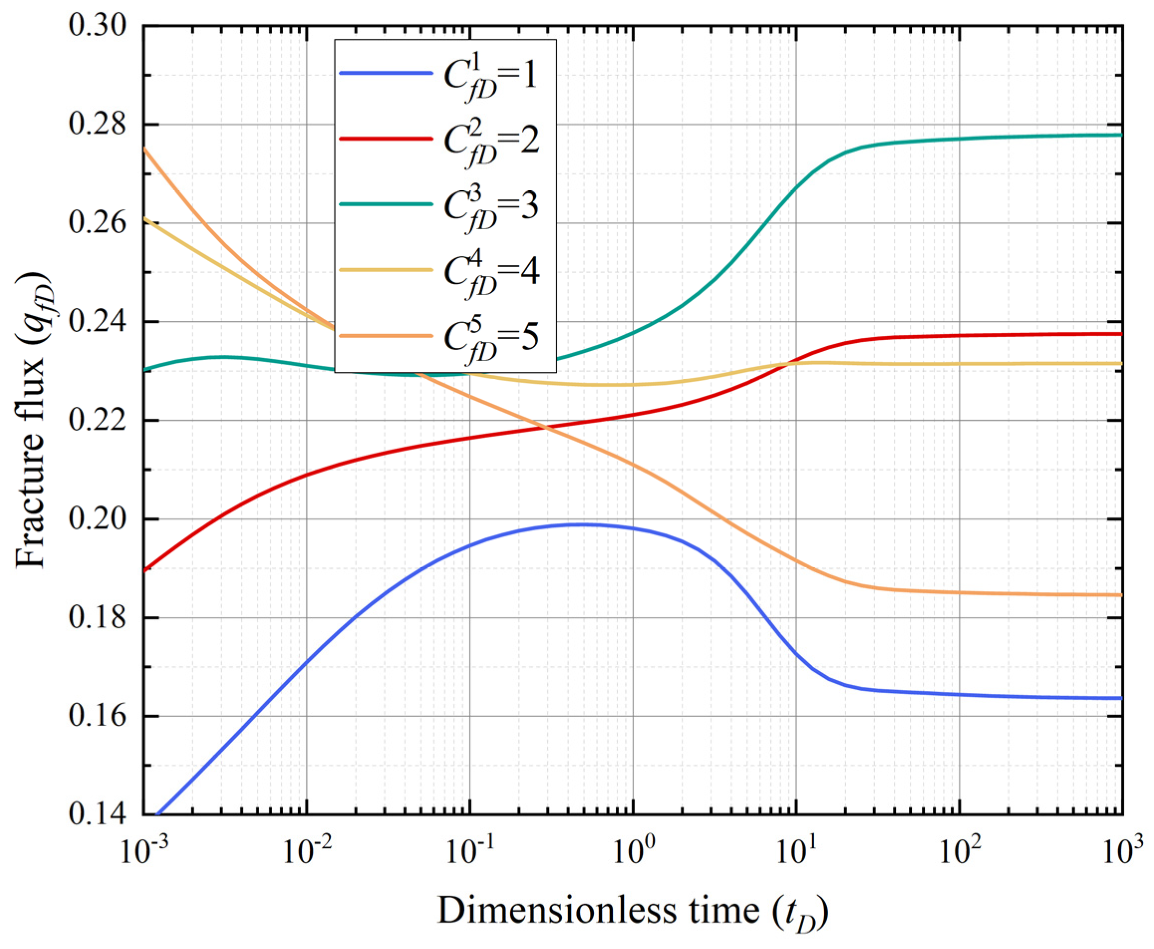
4.4. Fracture Conductivity
5. Conclusions
- (1)
- The proposed model successfully captures the transitions between bilinear, elliptical, and boundary-dominated flow, offering a robust framework for interpreting pressure transient data.
- (2)
- Permeability heterogeneity significantly impacts pressure transient behavior and fracture flux. A higher heterogeneity prolongs elliptical flow, but a smaller drainage area limits flux at high permeability ratios, preventing further increases.
- (3)
- Fracture length primarily affects bilinear flow duration and fracture flux. A longer fracture leads to a prolonged duration of bilinear flow and increases fracture flux due to the greater contact area.
- (4)
- Higher fracture conductivity reduces pressure drop and enhances early-stage fracture flux by enabling easier fluid flow. However, in later stages, drainage area limitations restrict fluid availability, causing flux to decline despite increased conductivity.
Author Contributions
Funding
Data Availability Statement
Acknowledgments
Conflicts of Interest
Nomenclature
| A, a, b | parameters defined in Equation (5) |
| A, B, C, D G, Pf, qf | matrices defined in Equation (8) |
| Gf, Ge | matrices defined in Equations (17) and (18) |
| Cf | fracture conductivity, md⋅m |
| ctf | fracture total compressibility, MPa−1 |
| ctm | matrix total compressibility, MPa−1 |
| G | two-dimensional linear source function |
| h | formation thickness, m |
| kf | fracture permeability, md |
| km | matrix permeability, md |
| Lf | fracture half-length, m |
| lf | spatial position along the fracture, m |
| m | fracture segment |
| n | interface segment |
| Pf | fracture pressure, MPa |
| Pw | bottomhole pressure, MPa |
| Pwp | pressure of the wellbore, MPa |
| qe | flow rate at the interface between the blocks, m3/d |
| qf | flow rate from the matrix to the fracture, m3/d |
| qw | production ratio of oil well, m3/d |
| s | Laplace parameter |
| t | time, days |
| w | fracture width, m |
| x, y | location of point source, m |
| xe, ye | block dimension, m |
| β | unit conversion factor that is equal to 0.0853 |
| µ | oil viscosity, mPa⋅s |
| ϕm | matrix porosity |
| ϕf | fracture porosity |
| Δlf | length of the fracture segment, m |
| Δle | length of the interface segment, m |
References
- Wang, H.; Ma, F.; Tong, X.; Liu, Z.; Zhang, X.; Wu, Z.; Li, D.; Wang, B.; Xie, Y.; Yang, L. Assessment of global unconventional oil and gas resources. Pet. Explor. Dev. 2016, 43, 925–940. [Google Scholar]
- Noorollahi, Y.; Naseer, M.N.; Siddiqi, M.M. (Eds.) Utilization of Thermal Potential of Abandoned Wells: Fundamentals, Applications and Research; Academic Press: Cambridge, MA, USA, 2022. [Google Scholar]
- Hosseinzadeh, M.; Tavakoli, V. Analyzing the impact of geological features on reservoir heterogeneity using heterogeneity logs: A case study of Permian reservoirs in the Persian Gulf. Geoenergy Sci. Eng. 2024, 237, 212810. [Google Scholar]
- Shen, X.; Liu, H.; Mu, L.; Lyu, X.; Zhang, Y.; Zhang, W. A semi-analytical model for multi-well leakage in a depleted gas reservoir with irregular boundaries. Gas Sci. Eng. 2023, 114, 204979. [Google Scholar]
- Liang, Y.Z.; Teng, B.L.; Luo, W.J. Study of the pressure transient behavior of directional wells considering the effect of non-uniform flux distribution. Pet. Sci. 2024, 21, 1765–1779. [Google Scholar]
- Peaceman, D.W. Fundamentals of Numerical Reservoir Simulation; Elsevier: Amsterdam, The Netherlands, 1977. [Google Scholar]
- Chen, Z.; Huan, G.; Ma, Y. Computational Methods for Multiphase Flows in Porous Media; Society for Industrial and Applied Mathematics: Philadelphia, PA, USA, 2006. [Google Scholar]
- Correia, M.G.; Maschio, C.; Schiozer, D.J. Integration of multiscale carbonate reservoir heterogeneities in reservoir simulation. J. Pet. Sci. Eng. 2015, 131, 34–50. [Google Scholar]
- Li, H.; Yu, H.; Cao, N.; Cheng, S.; Tian, H.; Di, S. Three-Dimensional Numerical Simulation of Multiscale Fractures and Multiphase Flow in Heterogeneous Unconventional Reservoirs with Coupled Fractal Characteristics. Geofluids 2021, 2021, 8265962. [Google Scholar]
- Khadivi, K. A numerical approach for permeability estimation in radially heterogeneous reservoirs. J. Porous Media 2022, 25, 1–15. [Google Scholar]
- Luo, J.; Hou, Z.; Feng, G.; Liao, J.; Haris, M.; Xiong, Y. Effect of reservoir heterogeneity on CO2 flooding in tight oil reservoirs. Energies 2022, 15, 3015. [Google Scholar] [CrossRef]
- Zhang, C.; Wang, X.; Jiang, C.; Zhang, H. Numerical simulation of geothermal energy production from hot dry rocks under the interplay between the heterogeneous fracture and stimulated reservoir volume. J. Clean. Prod. 2023, 414, 137724. [Google Scholar]
- Brown, M.; Ozkan, E.; Raghavan, R.; Kazemi, H. Practical solutions for pressure-transient responses of fractured horizontal wells in unconventional shale reservoirs. SPE Reserv. Eval. Eng. 2011, 14, 663–676. [Google Scholar]
- Stalgorova, E.; Mattar, L. Practical analytical model to simulate production of horizontal wells with branch fractures. In Proceedings of the SPE Canada Unconventional Resources Conference, Calgary, AB, Canada, 30 October–1 November 2012; SPE: Garden Grove, CA, USA, 2012. Paper Number: SPE-162515. [Google Scholar]
- Shi, J.; Vishal, V.; Leung, J.Y. Uncertainty assessment of vapex performance in heterogeneous reservoirs using a semi-analytical proxy model. J. Pet. Sci. Eng. 2014, 122, 290–303. [Google Scholar]
- Cheng, L.; Fang, S.; Wu, Y.; Lu, X.; Liu, H. A hybrid semi-analytical model for production from heterogeneous tight oil reservoirs with fractured horizontal well. J. Pet. Sci. Eng. 2017, 157, 588–603. [Google Scholar]
- Tian, F.; Wang, X.; Xu, W. A semi-analytical model for multiple-fractured horizontal wells in heterogeneous gas reservoirs. J. Pet. Sci. Eng. 2019, 183, 106369. [Google Scholar]
- Li, Z.; Wu, X.; Han, G.; Zhang, L.; Zhao, R.; Shi, S. A semi-analytical pressure model of horizontal well with complex networks in heterogeneous reservoirs. J. Pet. Sci. Eng. 2021, 202, 108511. [Google Scholar]
- Ren, J.; Wu, Q.; Liu, X.; Zhang, H. Semi-analytical modeling for multi-wing fractured vertical wells in a bilaterally heterogeneous gas reservoir. J. Nat. Gas Sci. Eng. 2021, 95, 104203. [Google Scholar]
- Deng, Q.; Qu, J.; Mi, Z.; Xu, B.; Lv, X.; Huang, K.; Zhang, B.; Nie, R.-S.; Chen, S. Performance of multistage-fractured horizontal wells with secondary discrete fractures in heterogeneous tight reservoirs. J. Pet. Explor. Prod. Technol. 2024, 14, 975–995. [Google Scholar]
- Medeiros, F.; Ozkan, E.; Kazemi, H. A semianalytical approach to model pressure transients in heterogeneous reservoirs. SPE Reserv. Eval. Eng. 2010, 13, 341–358. [Google Scholar]
- Peaceman, D.W. Interpretation of well-block pressures in numerical reservoir simulation with nonsquare grid blocks and anisotropic permeability. Soc. Pet. Eng. J. 1983, 23, 531–543. [Google Scholar]
- Stehfest, H. Remark on algorithm 368: Numerical inversion of Laplace transforms. Commun. ACM 1970, 13, 624. [Google Scholar]
- Teng, B.; Andy Li, H. Pressure-transient behavior of partially penetrating inclined fractures with a finite conductivity. SPE J. 2019, 24, 811–833. [Google Scholar]
- Wang, J.; Wang, X.; Dong, W. Rate decline curves analysis of multiple-fractured horizontal wells in heterogeneous reservoirs. J. Hydrol. 2017, 553, 527–539. [Google Scholar]
- Chen, X.; Liu, P. Pressure transient analysis of a horizontal well intercepted by multiple hydraulic fractures in heterogeneous reservoir with multiple connected regions using boundary element method. J. Hydrol. 2023, 616, 128826. [Google Scholar]











| Parameters | Parameters | ||
|---|---|---|---|
| Reservoir lateral length (m) | 1075 | Fracture permeability (mD) | 3000 |
| Initial pressure (MPa) | 20.29 | Block 1 permeability (mD) | 10 |
| Wellbore radius (m) | 0.1 | Block 2 permeability (mD) | 30 |
| Matrix total compressibility (MPa−1) | 0.02 | Block 3 permeability (mD) | 60 |
| Formation spacing (m) | 268 | Block 4 permeability (mD) | 90 |
| Fracture half-length (m) | 50 | Oil viscosity (mPa·s) | 4 |
| Matrix porosity | 0.125 |
| Parameters | Block 1 | Block2 | Block 3 | Block 4 | Block 5 |
|---|---|---|---|---|---|
| Block width | 4 | 4 | 4 | 4 | 4 |
| Block length | 4 | 7 | 8 | 6 | 5 |
| Block permeability | 0.2 | 0.4 | 0.6 | 0.4 | 0.2 |
| Fracture conductivity | 10 | 10 | 10 | 10 | 10 |
| Fracture length | 2 | 2 | 2 | 2 | 2 |
| Formation thickness | 0.2 | 0.2 | 0.2 | 0.2 | 0.2 |
| Fracture width | 1 × 10−4 | 1 × 10−4 | 1 × 10−4 | 1 × 10−4 | 1 × 10−4 |
Disclaimer/Publisher’s Note: The statements, opinions and data contained in all publications are solely those of the individual author(s) and contributor(s) and not of MDPI and/or the editor(s). MDPI and/or the editor(s) disclaim responsibility for any injury to people or property resulting from any ideas, methods, instructions or products referred to in the content. |
© 2025 by the authors. Licensee MDPI, Basel, Switzerland. This article is an open access article distributed under the terms and conditions of the Creative Commons Attribution (CC BY) license (https://creativecommons.org/licenses/by/4.0/).
Share and Cite
Chang, C.; Yang, X.; Xie, W.; Dai, D.; Chen, Y.; Ji, X.; Liang, Y.; Teng, B. A Semi-Analytical Model for Pressure Transient Analysis of Multiple Fractured Horizontal Wells in Irregular Heterogeneous Reservoirs. Energies 2025, 18, 1861. https://doi.org/10.3390/en18071861
Chang C, Yang X, Xie W, Dai D, Chen Y, Ji X, Liang Y, Teng B. A Semi-Analytical Model for Pressure Transient Analysis of Multiple Fractured Horizontal Wells in Irregular Heterogeneous Reservoirs. Energies. 2025; 18(7):1861. https://doi.org/10.3390/en18071861
Chicago/Turabian StyleChang, Cheng, Xuefeng Yang, Weiyang Xie, Dan Dai, Yizhao Chen, Xiaojing Ji, Yanzhong Liang, and Bailu Teng. 2025. "A Semi-Analytical Model for Pressure Transient Analysis of Multiple Fractured Horizontal Wells in Irregular Heterogeneous Reservoirs" Energies 18, no. 7: 1861. https://doi.org/10.3390/en18071861
APA StyleChang, C., Yang, X., Xie, W., Dai, D., Chen, Y., Ji, X., Liang, Y., & Teng, B. (2025). A Semi-Analytical Model for Pressure Transient Analysis of Multiple Fractured Horizontal Wells in Irregular Heterogeneous Reservoirs. Energies, 18(7), 1861. https://doi.org/10.3390/en18071861

