Quantitative Classification of Shale Lithofacies and Gas Enrichment in Deep-Marine Shale of the Late Ordovician Wufeng Formation and Early Silurian Longyi1 Submember, Sichuan Basin, China
Abstract
1. Introduction
2. Geological Setting


3. Samples and Methods
3.1. Shale Samples
3.2. Experimental Methods
4. Results
4.1. Characteristics of Deep-Marine Shale Gas Reservoirs
4.1.1. Geochemical Characteristics
4.1.2. Characteristics of the Mineral Compositions
4.2. Classification Scheme and Lithofacies Types
4.2.1. Lithofacies Classification Scheme
4.2.2. Lithofacies Types
4.3. Reservoir Spatial Characteristics
4.3.1. Organic Pores
4.3.2. Inorganic Pores
4.3.3. Microfractures
4.4. Low-Pressure N2 and CO2 Adsorption Experiments
4.4.1. Low-Pressure N2 and CO2 Adsorption Isotherms
4.4.2. Pore Diameter Distribution
5. Discussion
5.1. Comparison of Global Marine Shales
| Country | Shale Name | Depth | Ro | TOC | Carbonate Mineral | Clay Mineral | Felsic Mineral | Lithofacies (a) | Main Pore Types (b) | Data Sources |
|---|---|---|---|---|---|---|---|---|---|---|
| (m) | (%) | (%) | (%) | (%) | (%) | |||||
| America | Barnett shale | 799–2484 | 1–1.4 | 5.3 | 0.4 | 37.4 | 55.3 | S1 | Intergranular pores, organic pores, clay mineral interlaminar pores | [5,26,58,61,63] |
| Eagle Ford shale | 232–3962 | 0.67–1.76 | 1.8 | 81 | 5 | 11 | C3 | Intergranular pores, dissolution pores | ||
| Canada | Poker Chip shale | 1081 | 0.5–1.2 | 2.2 | 1.8 | 75.7 | 21.8 | CM2 | Clay mineral interlaminar pores | [56,59,60] |
| North Africa | Hot shale | 1245–2140 | 0.35–0.9 | 5.72 | 24 | 41 | 16 | M1 | Clay mineral interlaminar pores, microfractures | [8] |
| China | Longmaxi shale | 3612–4125 | 2.13–2.48 | 3 | 15.9 | 27.2 | 56.9 | S1 | Organic pores, intergranular pores, dissolution pores, microfractures | Experimental data |
| Wufeng shale | 3616–4128 | 2.41–2.49 | 1.66 | 24.9 | 30.8 | 44.3 | M3 | Clay mineral interlaminar pores, intergranular pores |
5.2. Evaluation of Fractal Dimensions and Pore Structure Parameters
5.2.1. Fractal Dimensions
5.2.2. Pore Structure Parameters
5.3. Evaluation of Gas Content
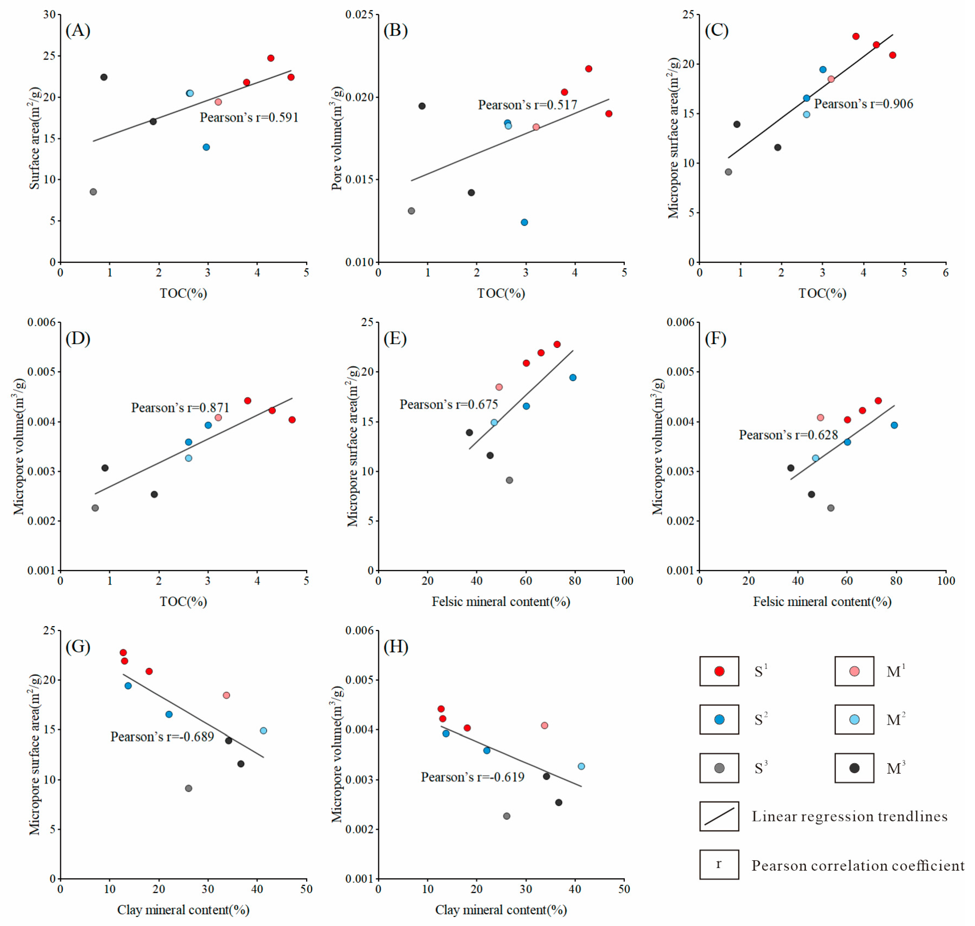
5.4. Main Controlling Factors of Gas Enrichment and Advantageous Shale Lithofacies
6. Conclusions
- (1)
- A suitable lithofacies classification scheme for deep-marine shale was established using the three-quartile statistical analysis method and mineralogical ternary diagrams. Based on this scheme, six main lithofacies have been identified in deep-marine shale, namely, organic-rich siliceous shale (S1), organic-rich mixed shale (M1), medium-organic siliceous shale (S2), medium-organic mixed shale (M2), organic-lean siliceous shale (S3), and organic-lean mixed shale (M3).
- (2)
- Through comparisons with various global marine shale formations, it was found that deep-marine shales exhibit greater burial depths, higher thermal maturity, and more intense tectonic activity. The increase in burial depth and compaction, coupled with intense tectonic activity, has resulted in a greater diversity of pore types in deep-marine shales, characterized by well-developed organic pores and microfractures, while intergranular pores are relatively small.
- (3)
- The development degree of the micropores is the main factor controlling the gas content of deep-marine shale, and the shale gas is mainly adsorbed in the organic micropores. The development of micropores in deep-marine shale reservoirs is jointly controlled by the TOC content, felsic mineral content, and clay mineral content. The degree of micropore development is directly controlled by the TOC content, whereas the felsic and clay mineral contents controlled the preservation and destruction of micropores in the process of deep burial.
- (4)
- Based on the investigation of the felsic mineral content, total gas content, and TOC content, it is concluded that the large-scale reproduction and accumulation of siliceous organisms during the Late Ordovician Wufeng period to the early Silurian Longmaxi period had an important influence on the formation of S1.
- (5)
- By comparing the pore structure parameters and gas contents of the different lithofacies, it is concluded that S1 has a high TOC content and felsic mineral content, well-developed organic pores, a large micropore specific surface area, a large micropore volume, and a high total gas content, making it an excellent advantageous lithofacies for deep-marine shale gas exploration. In contrast, the TOC content of S2 is relatively low, but the felsic mineral content is high. Organic pores are relatively developed, with a relatively large specific surface area and micropore volume and high total gas content, so S2 is assumed to be a moderately advantageous lithofacies. The TOC content, micropore specific surface area, micropore volume, and total gas content of the organic-lean shale (including S3 and M3) are relatively low, resulting in poor development potential. Therefore, in deep-marine shale with similar geological environments worldwide, S1 is considered the best choice for shale gas exploration, followed by S2.
Author Contributions
Funding
Data Availability Statement
Acknowledgments
Conflicts of Interest
References
- Loucks, R.G.; Ruppel, S.C. Mississippian Barnett Shale: Lithofacies and depositional setting of a deep-water shale-gas succession in the Fort Worth Basin, Texas. AAPG Bull. 2007, 91, 579–601. [Google Scholar] [CrossRef]
- Xu, S.; Gou, Q.Y.; Hao, F.; Zhang, B.Q.; Shu, Z.G.; Lu, Y.B.; Wang, Y.X. Shale pore structure characteristics of the high and low productivity wells, Jiaoshiba shale gas field, Sichuan Basin, China: Dominated by lithofacies or preservation condition? Mar. Pet. Geol. 2020, 114, 104211. [Google Scholar] [CrossRef]
- Wang, Y.; Liu, L.F.; Cheng, H.F. Gas adsorption characterization of pore structure of organic-rich shale: Insights into contribution of organic matter to shale pore network. Nat. Resour. Res. 2021, 30, 2377–2395. [Google Scholar] [CrossRef]
- Zhang, L.H.; He, X.; Li, X.G.; Li, K.C.; He, J.; Zhang, Z.; Guo, J.J.; Chen, Y.N.; Liu, W.S. Shale gas exploration and development in the Sichuan Basin: Progress, challenge and countermeasures. Nat. Gas Ind. B 2022, 9, 176–186. [Google Scholar] [CrossRef]
- McMahon, T.P.; Larson, T.E.; Zhang, T.; Shuster, M. Geologic characteristics, exploration and production progress of shale oil and gas in the United States: An overview. Pet. Explor. Dev. 2024, 51, 925–948. [Google Scholar] [CrossRef]
- Ma, X.H.; Wang, H.Y.; Zhou, S.W.; Shi, Z.S.; Zhang, L.F. Deep shale gas in China: Geological characteristics and development strategies. Energy Rep. 2021, 7, 1903–1914. [Google Scholar] [CrossRef]
- Gao, P.; Xiao, X.M.; Hu, D.F.; Lash, G.G.; Liu, R.B.; Cai, Y.D.; Wang, Z.H.; Zhang, B.Y.; Yuan, T.; Liu, S.Y. Effect of silica diagenesis on porosity evolution of deep gas shale reservoir of the Lower Paleozoic Wufeng-Longmaxi formations, Sichuan Basin. Mar. Pet. Geol. 2022, 145, 105873. [Google Scholar] [CrossRef]
- Arfaoui, I.; Hamdi, O.; Boulvain, F. Geochemical and mineralogical characterizations of Silurian “Hot” shales: Implications for shale gas/oil reservoir potential in Jeffara basin-southeastern Tunisia, North Africa. J. Afr. Earth Sci. 2024, 212, 105213. [Google Scholar] [CrossRef]
- Zou, C.N.; Dong, D.Z.; Wang, Y.M.; Li, X.J.; Huang, J.L.; Wang, S.F.; Guan, Q.Z.; Zhang, C.C.; Wang, H.Y.; Liu, H.L.; et al. Shale gas in China: Characteristics, challenges and prospects (I). Pet. Explor. Dev. 2015, 42, 753–767. [Google Scholar] [CrossRef]
- Chen, K.F.; Yang, R.; Bao, H.Y.; Dong, T.; Jia, A.Q.; Hu, Q.H.; Guo, X.W.; He, S. Depositional-diagenetic process and their implications for pore development of Wufeng-Longmaxi shales in the Jiangdong block, Fuling shale gas field, SW China. Mar. Pet. Geol. 2023, 151, 106177. [Google Scholar] [CrossRef]
- Xiang, K.M.; Shi, H.L.; Wang, X.M.; Zhao, Y.; Dong, X.X.; Pang, H.Q.; Zhang, Y.Y. Reservoir characteristics and main controlling factors of gas content of deep shale gas in southern Sichuan Basin. J. N. Pet. Univ. 2023, 47, 44–55. [Google Scholar] [CrossRef]
- Ma, X.H.; Wang, H.Y.; Zhou, S.W.; Feng, Z.Q.; Liu, H.L.; Guo, W. Insights into NMR response characteristics of shales and its application in shale gas reservoir evaluation. J. Nat. Gas Sci. Eng. 2020, 84, 103674. [Google Scholar] [CrossRef]
- Liu, S.G.; Jiao, K.; Zhang, J.C.; Ye, Y.H.; Xie, G.L.; Deng, B.; Ran, B.; Li, Z.W.; Wu, J.; Li, J.X.; et al. Research progress on the pore characteristics of deep shale gas reservoirs: An example from the Lower Paleozoic marine shale in the Sichuan Basin. Nat. Gas Ind. 2021, 41, 29–41. [Google Scholar] [CrossRef]
- Guo, T.L.; Meng, X.H.; Lei, W.; Liu, M.M.; Huang, L. Characteristics and governing factors of pore structure and methane sorption in deep-marine shales: A case study of the Wufeng–Longmaxi Formations, Weirong shale gas field, Sichuan Basin. Nat. Resour. Res. 2023, 32, 1733–1759. [Google Scholar] [CrossRef]
- Wu, L.Y.; Hu, D.F.; Lu, Y.C.; Liu, R.B.; Liu, X.F. Advantageous shale lithofacies of Wufeng Formation-Longmaxi Formation in Fuling gas field of Sichuan Basin, SW China. Pet. Explor. Dev. 2016, 43, 208–217. [Google Scholar] [CrossRef]
- Wang, Z.Y.; Chen, L.; Chen, D.X.; Lai, J.; Deng, G.S.; Liu, Z.Y.; Wang, C. Characterization and evaluation of shale lithofacies within the lowermost Longmaxi-Wufeng Formation in the southeast Sichuan Basin. J. Pet. Sci. Eng. 2020, 193, 107353. [Google Scholar] [CrossRef]
- Mustafa, A.; Abouelresh, M.O.; Abdulraheem, A. Control of Lithofacies and Geomechanical Characteristics on Natural Fracture Systems in Qusaiba Shale, Rub’ Al-Khali Basin, Saudi Arabia. Arab. J. Sci. Eng. 2021, 46, 5817–5834. [Google Scholar] [CrossRef]
- Lv, J.H.; Jiang, F.J.; Hu, T.; Zhang, C.X.; Huang, R.D.; Hu, M.L.; Xue, J.; Huang, L.L.; Wu, Y.P. Control of complex lithofacies on the shale oil potential in ancient alkaline lacustrine basins: The Fengcheng Formation, Mahu Sag, Junggar Basin. Geoenergy Sci. Eng. 2023, 224, 211501. [Google Scholar] [CrossRef]
- Yao, Y.L.; Xiao, F.; Li, S.C.; Yang, J.G.; Huang, Y.M.; Ye, C.L. Enrichment model of tight shale oil in the first Member of Cretaceous Qingshankou Formation in the southern Qijia sag, Songliao basin. Acta Geol. Sin. 2024, 98, 3393–3407. [Google Scholar] [CrossRef]
- Wang, E.Z.; Guo, T.L.; Li, M.W.; Li, C.R.; Dong, X.X.; Zhang, N.X.; Feng, Y. Exploration potential of different lithofacies of deep marine shale gas systems: Insight into organic matter accumulation and pore formation mechanisms. J. Nat. Gas Sci. Eng. 2022, 102, 104563. [Google Scholar] [CrossRef]
- Han, H.; Pang, P.; Zhong, N.N.; Luo, Q.Y.; Ma, Y.; Gao, Y. The pore characteristics and gas potential of the Jurassic continental shales in the middle-small basins, northwest China. J. Pet. Sci. Eng. 2020, 188, 106873. [Google Scholar] [CrossRef]
- Miao, F.; Wu, D.; Liu, X.Y.; Xiao, X.C.; Zhai, W.B.; Geng, Y.Y. Methane adsorption on shale under in situ conditions: Gas-in-place estimation considering in situ stress. Fuel 2022, 308, 121991. [Google Scholar] [CrossRef]
- Klaver, J.; Desbois, G.; Littke, R.; Urai, J.L. BIB-SEM characterization of pore space morphology and distribution in postmature to overmature samples from the Haynesville and Bossier Shales. Mar. Pet. Geol. 2015, 59, 451–466. [Google Scholar] [CrossRef]
- Gou, Q.Y.; Xu, S.; Hao, F.; Yang, F.; Zhang, B.Q.; Shu, Z.G.; Zhang, A.H.; Wang, Y.X.; Lu, Y.B.; Cheng, X.; et al. Full-scale pores and micro-fractures characterization using FE-SEM, gas adsorption, nano-CT and micro-CT: A case study of the Silurian Longmaxi Formation shale in the Fuling area, Sichuan Basin, China. Fuel 2019, 253, 167–179. [Google Scholar] [CrossRef]
- Jiang, T.; Jin, Z.J.; Liu, G.X.; Hu, Z.Q.; Chen, X.H.; Liu, Z.B.; Wang, G.P. Investigating the pore structure characteristics and reservoir capacities of lower Jurassic continental shale reservoirs in the northeastern Sichuan Basin, China. Front. Earth Sci. 2022, 10, 886907. [Google Scholar] [CrossRef]
- Slatt, R.M.; O’Brien, N.R. Pore types in the Barnett and Woodford gas shales: Contribution to understanding gas storage and migration pathways in fine-grained rocks. AAPG Bull. 2011, 95, 2017–2030. [Google Scholar] [CrossRef]
- Zhou, S.W.; Ning, Y.; Wang, H.Y.; Liu, H.L.; Xue, H.Q. Investigation of methane adsorption mechanism on Longmaxi shale by combining the micropore filling and monolayer coverage theories. Adv. Geo-Energy Res. 2018, 2, 269–281. [Google Scholar] [CrossRef]
- He, J.; Zhu, S.Y.; Shi, X.W.; Zhao, S.X.; Cao, L.Y.; Pan, S.L.; Wu, F.; Wang, M. Characteristics of lithofacies in deep shale gas reservoirs in the southeast Sichuan Basin and their influence on pore structure. Front. Earth Sci. 2022, 10, 857343. [Google Scholar] [CrossRef]
- Feng, Y.; Xiao, X.M.; Gao, P.; Wang, E.Z.; Hu, D.F.; Liu, R.B.; Li, G.; Lu, C.G. Restoration of sedimentary environment and geochemical features of deep marine Longmaxi shale and its significance for shale gas: A case study of the Dingshan area in the Sichuan Basin, South China. Mar. Pet. Geol. 2023, 151, 106186. [Google Scholar] [CrossRef]
- Wu, J.F.; Zhang, C.L.; Zhao, S.X.; Zhang, J.; Feng, J.R.; Xia, Z.Q.; Fang, Y.; Li, B.; Yin, M.X.; Zhang, D.K. Typical types of shale gas reservoirs in southern Sichuan Basin and enlightenment of exploration and development. Nat. Gas Geosci. 2023, 34, 1385–1400. [Google Scholar]
- Zhang, K.; Song, Y.; Jia, C.Z.; Jiang, Z.X.; Han, F.L.; Wang, P.F.; Yuan, X.J.; Yang, Y.M.; Zeng, Y.; Li, Y.; et al. Formation mechanism of the sealing capacity of the roof and floor strata of marine organic-rich shale and shale itself, and its influence on the characteristics of shale gas and organic matter pore development. Mar. Pet. Geol. 2022, 140, 105647. [Google Scholar] [CrossRef]
- Li, J.; Li, H.; Yang, C.; Wu, Y.J.; Gao, Z.; Jiang, S.L. Geological characteristics and controlling factors of deep shale gas enrichment of the Wufeng-Longmaxi Formation in the southern Sichuan Basin, China. Lithosphere 2022, 2022, 4737801. [Google Scholar] [CrossRef]
- The Standard Map Service Network. Available online: http://bzdt.ch.mnr.gov.cn/ (accessed on 3 February 2025).
- Zhu, H.J.; Lu, Y.J.; Pan, Y.Y.; Qiao, P.; Raza, A.; Liu, W. Nanoscale mineralogy and organic structure characterization of shales: Insights via AFM-IR spectroscopy. Adv. Geo-Energy Res. 2024, 13, 231–236. [Google Scholar] [CrossRef]
- Yang, R.; He, S.; Yi, J.Z.; Hu, Q.H. Nano-scale pore structure and fractal dimension of organic-rich Wufeng-Longmaxi shale from Jiaoshiba area, Sichuan Basin: Investigations using FE-SEM, gas adsorption and helium pycnometry. Mar. Pet. Geol. 2016, 70, 27–45. [Google Scholar] [CrossRef]
- Liu, K.Q.; Ostadhassan, M.; Zhou, J.; Gentzis, T.; Rezaee, R. Nanoscale pore structure characterization of the Bakken shale in the USA. Fuel 2017, 209, 567–578. [Google Scholar] [CrossRef]
- Bardestani, R.; Patience, G.S.; Kaliaguine, S. Experimental methods in chemical engineering: Specific surface area and pore size distribution measurements—BET, BJH, and DFT. Can. J. Chem. Eng. 2019, 97, 2781–2791. [Google Scholar] [CrossRef]
- Turlapati, V.Y.; Prusty, B.K.; Yarlagadda, D.K.; Pal, S.K.; Raja, E. Analysis of micropore size distribution using Dubinin’s theory of volume filling—Effect of particle size on pore characterization of organic-rich Indian shales. J. Nat. Gas Sci. Eng. 2022, 106, 104746. [Google Scholar] [CrossRef]
- Baldovino-Medrano, V.G.; Niño-Celis, V.; Isaacs Giraldo, R. Systematic Analysis of the Nitrogen Adsorption–Desorption Isotherms Recorded for a Series of Materials Based on Microporous–Mesoporous Amorphous Aluminosilicates Using Classical Methods. J. Chem. Eng. Data 2023, 68, 2512–2528. [Google Scholar] [CrossRef]
- Song, Z.Z.; Abid, A.; Lyu, M.Y.; Zhang, Y.Q.; Jiang, F.J.; Liu, Z.Y.; Zheng, W.; Wang, X.Y. Quantitative analysis of nitrogen adsorption hysteresis loop looping and its indicative significance in pore structure characterization: A case study of Section 7 of the Upper Triassic Extension Formation in Ordos Basin. Oil Gas Geol. 2023, 44, 495–509. [Google Scholar] [CrossRef]
- Zhang, J.C.; Wang, X.Z.; Li, Z.M.; Liu, S.G.; Niu, J.L.; Yuan, T.S.; Li, X.Q.; Tang, X. Technological progress and trend in shale gas on-site testing: A critical review. Earth Sci. Front. 2024, 31, 315–326. [Google Scholar]
- Rouquerol, J.; Avnir, D.; Fairbridge, C.W.; Everett, D.H.; Haynes, J.M.; Pernicone, N.; Ramsay, J.D.F.; Sing, K.S.W.; Unger, K.K. Recommendations for the characterization of porous solids (Technical Report). Pure Appl. Chem. 1994, 66, 1739–1758. [Google Scholar] [CrossRef]
- Suárez-Ruiz, I.; Juliao, T.; Suárez-García, F.; Marquez, R.; Ruiz, B. Porosity development and the influence of pore size on the CH4 adsorption capacity of a shale oil reservoir (Upper Cretaceous) from Colombia. Role of solid bitumen. Int. J. Coal Geol. 2016, 159, 1–17. [Google Scholar] [CrossRef]
- Hu, G.; Pang, Q.; Jiao, K.; Hu, C.W.; Liao, Z.W. Development of organic pores in the Longmaxi Formation overmature shales: Combined effects of thermal maturity and organic matter composition. Mar. Pet. Geol. 2020, 116, 104314. [Google Scholar] [CrossRef]
- Li, Q.W.; Liu, Z.B.; Chen, F.R.; Liu, G.X.; Zhang, D.W.; Li, P.; Wang, P.W. Lithofacies types and reservoir characteristics of Jurassic shale in the Sichuan Basin revealed by the Da’anzhai Member, Well Y2, Yuanba area. Oil Gas Geol. 2022, 43, 1127–1140. [Google Scholar] [CrossRef]
- Li, Y.J.; Liu, H.; Zhang, L.H.; Lu, Z.G.; Li, Q.R.; Huang, Y.B. Lower limits of evaluation parameters for the lower Paleozoic Longmaxi shale gas in southern Sichuan Province. Sci. China Earth Sci. 2013, 56, 710–717. [Google Scholar] [CrossRef]
- Burnaman, M.D.; Shelton, J. Shale gas play screening and evaluation criteria. China Pet. Explor. 2009, 14, 51. [Google Scholar]
- Hu, Z.Q.; Du, W.; Zhu, T.; Liu, Z.Q. Sequence stratigraphy and lithofacies characteristics of fine-grained deposits of Wufeng-Longmaxi Formations in the Sichuan Basin and on its periphery. Oil Gas Geol. 2022, 43, 1024–1038. [Google Scholar] [CrossRef]
- Zhao, S.X.; Xia, Z.Q.; Li, H.; Wang, G.X.; Qiu, Z.; Liu, S.J.; Zhang, C.L.; Li, B.; Yin, X.M.; Yang, L.C. Quantitative evaluation and main controlling factors of natural fractures in a shale reservoir: A case study of the deep shale of the Wufeng Formation-Longmaxi Formation in Luzhou. Acta Sedimentol. Sin. 2025, 43, 212–225. [Google Scholar] [CrossRef]
- Guo, X.S.; Li, Y.P.; Borjigen, T.G.; Wang, Q.; Yuan, T.; Shen, B.J.; Ma, Z.L.; Wei, F.B. Hydrocarbon generation and storage mechanisms of deep-water shelf shales of Ordovician Wufeng Formation–Silurian Longmaxi Formation in Sichuan Basin, China. Pet. Explor. Dev. 2020, 47, 193–201. [Google Scholar] [CrossRef]
- Guan, Q.Z.; Dong, D.Z.; Zhang, H.L.; Sun, S.S.; Zhang, S.R.; Guo, W. Types of biogenic quartz and its coupling storage mechanism in organic-rich shales: A case study of the Upper Ordovician Wufeng Formation to Lower Silurian Longmaxi Formation in the Sichuan Basin, SW China. Pet. Explor. Dev. 2021, 48, 700–709. [Google Scholar] [CrossRef]
- Li, Y.; Shi, X.W.; Luo, C.; Wu, W.; Yang, X.; Zhu, Y.Q.; Tian, C.; Zhong, K.S.; Li, Y.Y.; Xu, H.; et al. Impact of different diagenetic minerals on shale reservoirs in Wufeng-Longmaxi Formation in southern Sichuan Basin. J. Chengdu Univ. Technol. Sci. Technol. Ed. 2024, 51, 745–757+771. [Google Scholar]
- Borjigin, T.; Shen, B.J.; Yu, L.J.; Yang, Y.F.; Zhang, W.T.; Tao, C.; Xi, B.B.; Zhang, Q.Z.; Bao, F.; Qin, J.Z. Mechanisms of shale gas generation and accumulation in the Ordovician Wufeng-Longmaxi Formation, Sichuan Basin, SW China. Pet. Explor. Dev. 2017, 44, 69–78. [Google Scholar] [CrossRef]
- Panahi, H.; Kobchenko, M.; Meakin, P.; Dysthe, D.K.; Renard, F. In-situ imaging of fracture development during maturation of an organic-rich shale: Effects of heating rate and confinement. Mar. Pet. Geol. 2018, 95, 314–327. [Google Scholar] [CrossRef]
- Liu, H.; Wu, S.H.; Jiang, X.M.; Wang, G.Z.; Cao, Q.X.; Qiu, P.H.; Qin, Y.K. The configuration analysis of the adsorption isotherm of nitrogen in low temperature with the lignite char produced under fast pyrolysis. J. China Coal Soc. 2005, 30, 507–510. [Google Scholar] [CrossRef]
- Chen, L.; Jiang, Z.X.; Liu, K.Y.; Wang, P.F.; Ji, W.M.; Gao, F.L.; Li, P.; Hu, T.; Zhang, B.; Huang, H.X. Effect of lithofacies on gas storage capacity of marine and continental shales in the Sichuan Basin, China. J. Nat. Gas Sci. Eng. 2016, 36, 773–785. [Google Scholar] [CrossRef]
- Chen, S.B.; Zhu, Y.M.; Wang, H.Y.; Liu, H.L.; Wei, W.; Fang, J.H. Structure characteristics and accumulation significance of nanopores in Longmaxi shale gas reservoir in the southern Sichuan Basin. J. China Coal Soc. 2012, 37, 438–444. [Google Scholar] [CrossRef]
- Zhao, H.; Givens, N.B.; Curtis, B. Thermal maturity of the Barnett Shale determined from well-log analysis. AAPG Bull. 2007, 91, 535–549. [Google Scholar] [CrossRef]
- Riediger, C.L. Hydrocarbon source rock potential and comments on correlation of the Lower Jurassic Poker Chip Shale, west-central Alberta. Bull. Can. Pet. Geol. 2002, 50, 263–276. [Google Scholar] [CrossRef]
- Ross, D.J.K.; Bustin, R.M. Shale gas potential of the Lower Jurassic Gordondale Member, northeastern British Columbia, Canada. Bull. Can. Pet. Geol. 2007, 55, 51–75. [Google Scholar] [CrossRef]
- Sun, X.; Zhang, T.; Walters, C.C. Geochemistry of oils and condensates from the lower Eagle Ford Formation, south Texas. Part 2: Molecular characterization. Mar. Pet. Geol. 2022, 141, 105710. [Google Scholar] [CrossRef]
- Liu, W.; Wu, J.; Jiang, H.; Zhou, Z.; Luo, C.; Wu, W.; Li, X.J.; Liu, S.G.; Deng, B. Cenozoic exhumation and shale-gas enrichment of the Wufeng-Longmaxi formation in the southern Sichuan basin, western China. Mar. Pet. Geol. 2021, 125, 104865. [Google Scholar] [CrossRef]
- Heller, R.; Zoback, M. Adsorption of methane and carbon dioxide on gas shale and pure mineral samples. J. Unconv. Oil Gas Resour. 2014, 8, 14–24. [Google Scholar] [CrossRef]
- Qiu, H.Y.; Jiang, Z.X.; Liu, Z.J.; Chang, J.Q.; Su, Z.F.; Yang, Z.W.; Zhou, W. Difference in pore structure characteristics between condensate and dry shale gas reservoirs: Insights from the pore contribution of different matrix components. J. Nat. Gas Sci. Eng. 2021, 96, 104283. [Google Scholar] [CrossRef]
- Liang, Z.K.; Jiang, Z.X.; Li, Z.; Gao, F.L.; Liu, X.Q. Investigation into the pore structure and multifractal characteristics of shale reservoirs through N2 adsorption: An application in the Triassic Yanchang Formation, Ordos Basin, China. Geofluids 2021, 2021, 9949379. [Google Scholar] [CrossRef]
- Huo, J.F.; Gao, J.; Guo, X.W.; Yi, J.Z.; Shu, Z.G.; Bao, H.Y.; Yang, R.; Luo, T.; He, S. Characteristics and controlling factors of pore structures of various lithofacies in shales of Longmaxi Formation, eastern Sichuan Basin. Oil Gas Geol. 2020, 41, 1162–1175. [Google Scholar] [CrossRef]
- Wang, S.F.; Zou, C.N.; Dong, D.Z.; Wang, Y.M.; Huang, J.L.; Guo, Z.J. Biogenic silica of organic-rich shale in Sichuan Basin and its significance for shale gas. Acta Sci. Nat. Univ. Pekin. 2014, 50, 476–486. [Google Scholar] [CrossRef]
- Xu, L.F.; Deng, J.M.; Du, J.; Li, Y.; Wu, P.; Wu, X.; Hu, W.Q.; Zhao, F.; Zheng, W.; Jiang, Z.X. Lithofacies types and reservoir differences of marine continental transitional shale in Linxing area, eastern margin of Ordos Basin. J. China Coal Soc. 2021, 46, 862–876. [Google Scholar] [CrossRef]
- Zhang, W.T.; Hu, W.X.; Borjigin, T.; Zhu, F. Pore characteristics of different organic matter in black shale: A case study of the Wufeng-Longmaxi Formation in the southeast Sichuan Basin, China. Mar. Pet. Geol. 2020, 111, 33–43. [Google Scholar] [CrossRef]












| Well | Depth (m) | Strata | Macerals Composition Percentage (%) | TI | Organic Matter Type | Rb (%) (a) | Ero (%) (b) | |||
|---|---|---|---|---|---|---|---|---|---|---|
| Sapropelinite | Exinite | Vitrinite | Inertinite | |||||||
| H204 | 3581.4 | Sublayer 4 | 96 | 0 | 4 | 0 | 93 | Type I | 3.24 | 2.40 |
| H204 | 3599.92 | Sublayer 4 | 98 | 0 | 2 | 0 | 96.5 | Type I | 3.28 | 2.43 |
| H204 | 3610.4 | O3w | 95 | 0 | 5 | 0 | 91.3 | Type I | 3.25 | 2.41 |
| H207 | 4232.1 | Sublayer 4 | 98 | 0 | 2 | 0 | 96.5 | Type I | 3.34 | 2.46 |
| H207 | 4242.6 | Sublayer 4 | 95 | 0 | 5 | 0 | 91.3 | Type I | 3.36 | 2.48 |
| H207 | 4252.4 | Sublayer 3 | 94 | 0 | 6 | 0 | 89.5 | Type I | 3.35 | 2.47 |
| H207 | 4262.4 | O3w | 96 | 0 | 4 | 0 | 93 | Type I | 3.38 | 2.49 |
| H202 | 4072.32 | Sublayer 4 | / | / | / | / | / | / | 2.8 | 2.13 |
| H202 | 4075.01 | Sublayer 3 | 99 | 0 | 1 | 0 | 98.3 | Type I | / | / |
| R203 | 4330.9 | Sublayer 2 | / | / | / | / | / | / | 2.88 | 2.18 |
| R203 | 4335.77 | Sublayer 1 | 99 | 0 | 0 | 1 | 98 | Type I | / | / |
| Lithofacies | Main Developmental Sublayers | TOC (%) | Mineral Composition Percentage (%) | ||
|---|---|---|---|---|---|
| Felsic Minerals | Carbonate Minerals | Clay Minerals | |||
| S1 | O3w, Sublayer 1, Sublayer 2 | ||||
| M1 | Sublayer 1, Sublayer 2 | ||||
| S2 | O3w, Sublayer 3, Sublayer 4 | ||||
| M2 | O3w, Sublayer 2, Sublayer 4 | ||||
| S3 | O3w, Sublayer 3, Sublayer 4 | ||||
| M3 | O3w, Sublayer 4 | ||||
| Sample ID | Depth | TOC | Carbonate Mineral | Clay Mineral | Felsic Mineral | Surface Area | Total Pore Volume | Average Pore Diameter | Micropore Surface Area | Micropore Volume | Total Gas Content | D1 | D2 | Lithofacies |
|---|---|---|---|---|---|---|---|---|---|---|---|---|---|---|
| (m) | (%) | (%) | (%) | (%) | (m²/g) | (m3/g) | (nm) | (m²/g) | (m3/g) | (m3/t) | ||||
| H204-07 | 3607.34 | 4.3 | 15 | 13 | 66 | 24.717 | 0.0217 | 5.34 | 21.944 | 0.00423 | 2.74 | 2.6782 | 2.8243 | S1 |
| H207-06 | 4255.96 | 4.7 | 12 | 18 | 60 | 22.42 | 0.019 | 5.713 | 20.922 | 0.00404 | 1.62 | 2.6495 | 2.8573 | S1 |
| H202-8 | 4075.01 | 3.8 | 6.6 | 12.7 | 72.5 | 21.786 | 0.0203 | 6.458 | 22.808 | 0.00442 | 4.69 | 2.6853 | 2.8791 | S1 |
| H207-04 | 4258.64 | 3.2 | 17.3 | 33.7 | 49 | 19.431 | 0.0182 | 5.988 | 18.500 | 0.00409 | 1.35 | 2.6681 | 2.8584 | M1 |
| H204-11 | 3600.73 | 2.6 | 13 | 22 | 60 | 20.499 | 0.0185 | 6.118 | 16.584 | 0.00359 | 3.02 | 2.636 | 2.858 | S2 |
| R203-5 | 4343.19 | 3 | 5.8 | 13.7 | 79 | 13.947 | 0.0124 | 7.92 | 19.456 | 0.00393 | 4.2 | 2.7322 | 2.8728 | S2 |
| H204-15 | 3594.73 | 2.6 | 7.7 | 41.2 | 47 | 20.477 | 0.0183 | 6.015 | 14.935 | 0.00327 | 2.01 | 2.633 | 2.8466 | M2 |
| H202-3 | 4085.6 | 0.7 | 19.9 | 26 | 53.2 | 8.578 | 0.0131 | 10.242 | 9.129 | 0.00227 | 0.61 | 2.6678 | 2.7732 | S3 |
| H207-25 | 4224.39 | 1.9 | 12.5 | 36.6 | 45.3 | 17.067 | 0.0142 | 5.007 | 11.614 | 0.00254 | 0.3 | 2.6218 | 2.8822 | M3 |
| H204-01 | 3617.71 | 0.9 | 24.2 | 34.1 | 36.9 | 22.425 | 0.0195 | 4.95 | 13.936 | 0.00307 | 2.16 | 2.5982 | 2.883 | M3 |
Disclaimer/Publisher’s Note: The statements, opinions and data contained in all publications are solely those of the individual author(s) and contributor(s) and not of MDPI and/or the editor(s). MDPI and/or the editor(s) disclaim responsibility for any injury to people or property resulting from any ideas, methods, instructions or products referred to in the content. |
© 2025 by the authors. Licensee MDPI, Basel, Switzerland. This article is an open access article distributed under the terms and conditions of the Creative Commons Attribution (CC BY) license (https://creativecommons.org/licenses/by/4.0/).
Share and Cite
Fang, L.; Xu, F.; Xu, G.; Liu, J.; Liang, H.; Gong, X. Quantitative Classification of Shale Lithofacies and Gas Enrichment in Deep-Marine Shale of the Late Ordovician Wufeng Formation and Early Silurian Longyi1 Submember, Sichuan Basin, China. Energies 2025, 18, 1835. https://doi.org/10.3390/en18071835
Fang L, Xu F, Xu G, Liu J, Liang H, Gong X. Quantitative Classification of Shale Lithofacies and Gas Enrichment in Deep-Marine Shale of the Late Ordovician Wufeng Formation and Early Silurian Longyi1 Submember, Sichuan Basin, China. Energies. 2025; 18(7):1835. https://doi.org/10.3390/en18071835
Chicago/Turabian StyleFang, Liyu, Fanghao Xu, Guosheng Xu, Jiaxin Liu, Haoran Liang, and Xin Gong. 2025. "Quantitative Classification of Shale Lithofacies and Gas Enrichment in Deep-Marine Shale of the Late Ordovician Wufeng Formation and Early Silurian Longyi1 Submember, Sichuan Basin, China" Energies 18, no. 7: 1835. https://doi.org/10.3390/en18071835
APA StyleFang, L., Xu, F., Xu, G., Liu, J., Liang, H., & Gong, X. (2025). Quantitative Classification of Shale Lithofacies and Gas Enrichment in Deep-Marine Shale of the Late Ordovician Wufeng Formation and Early Silurian Longyi1 Submember, Sichuan Basin, China. Energies, 18(7), 1835. https://doi.org/10.3390/en18071835
