Abstract
As a key energy storage component in high-voltage circuit breakers, closing springs are susceptible to stress relaxation, resulting in a decline in closing performance due to high operational loads, prolonged usage, and environmental factors. In this work, the 60Si2CrVA alloy steel springs used in 110 kV high-voltage circuit breakers were utilized to study their mechanical behaviors under various temperatures, salt spray corrosion, and repeated closing operations. It is found that the conditions of salt spray corrosion, and repeated closing operations demonstrate a slight impact on its stress loss, while the operation temperature above 70 °C will result in an apparent increase in the stress loss rate. A threshold for closing failure related to the spring’s stress loss rate was established, and a life prediction method based on an improved Arrhenius acceleration model was proposed. The results indicate that the calculated service life of the spring is approximately 27.09 years based on the stress loss rate threshold of 4.5%. This work provides a novel method to evaluate the long-term operational state and service life of closing springs in high-voltage circuit breakers.
1. Introduction
High-voltage circuit breakers are utilized to control electric current breaking of electrical circuits in power systems, and their performance reliability directly affects the stability and safety of the entire power grid [1,2,3]. Under normal operating conditions, circuit breakers typically remain in a static state, but they must switch swiftly to connect or disconnect power sources during operations or fault events. Currently, spring-operated mechanisms have become the main priority for high-voltage circuit breakers in power systems due to their simple structure, rapid response, low pollution, and compact size. These mechanisms mainly contain hydraulic-operated springs, pneumatic-operated springs, and fully operated springs. The performance of the closing and opening springs directly determines the response speed and reliability of the circuit breaker during operation.
Faults of high-voltage circuit breakers are generally categorized into insulation breakdown, electricity interruption, and mechanical failure. Specifically, over 60% of circuit breaker failures in China stem from the mechanical failure during their operating process [4,5]. Instability of opening and closing operations often signifies the potential failure risk for circuit breakers. Under the rated operating conditions, the closing springs of circuit breakers generally work in a compression state for a long period, inevitably leading to issues such as strength degradation and stress relaxation [6]. These problems will affect the closing performance of the circuit breaker, and even result in spring damage, potentially inducing a power grid accident.
Recently, the characteristics of springs in high-voltage circuit breakers have been widely studied. Wang et al. proposed the non-contact detection of the spring deformation based on the computer vision technology, and evaluated the energy-storing property of the spring [7]. Li et al. [8] established a simulation model of high-voltage circuit breakers with the dynamic simulation software of ADAMS, and analyzed the impact of stress relaxation in springs on the dynamic contact time and displacement of high-voltage circuit breakers.
Huang et al. [9] proposed a detection method for anomalies in the operating mechanism of circuit breaker by combining local mean decomposition with a support vector machine (SVM), which effectively identifies fault types caused by abnormal energy states in the springs. Ding et al. [10] analyzed the fatigue life of the spring operating mechanism in high-voltage circuit breakers in detail by using the local stress strain method combined with an impact dynamics experiment. Pal et al. [11] found that surface defects, particularly those resembling ‘crow’s foot’ shapes in hydraulic valves, can easily lead to fatigue fractures of springs.
In practical applications, high-voltage circuit breakers are typically installed in outdoor substations, which are generally exposed to fluctuating temperatures, humidity, salt spray (especially in coastal areas), and occasional mechanical vibrations. The closing springs usually operate under long-term compression, particularly in standby conditions, which may lead to stress relaxation and mechanical fatigue over time. These environmental and operational factors collectively contribute to the degradation of spring performance and directly affect the long-term reliability of the circuit breaker mechanism. However, most existing studies have focused on fault feature analysis and state detection, while the degradation of closing springs under realistic operational environments remains insufficiently explored. Therefore, in this work, the degradation characteristics of closing springs in high-voltage circuit breakers were investigated from two perspectives: (1) performance degradation and lifespan prediction under long-term energy storage conditions, and (2) fatigue characteristics during prolonged closing operations. This study provides a new method to evaluate the long-term operational reliability of circuit breaker springs under complex environmental conditions.
2. Materials and Methods
2.1. Test Object
In this study, the energy-storage spring (using for closing) used in the 110 kV CT-26 operating mechanism (ZF-126, Taikai High voltage switchgear Co., Ltd., Tai’an, China) was selected. The spring is made of 60Si2CrVA alloy steel and manufactured using a hot-coiling process, followed by heavy compression and surface shot peening treatments. Detailed parameters of the spring are provided in Table 1.
Table 1.
Parameters of 110 kV closing spring.
2.2. Test and Equipment
The energy storage spring is an essential component for storing elastic potential energy in circuit breakers. Under normal operating conditions, the spring remains tightly compressed within the circuit breaker, ready for activation. When a trigger signal is received, the spring quickly releases its stored potential energy, allowing the circuit breaker to open or close rapidly and perform its switching function. The performance degradation analysis of high-voltage circuit breaker springs can be approached from two main perspectives: the degradation occurring under long-term energy storage conditions or an extended closing operation.
To investigate the degradation of the closing spring under long-term energy storage, the spring is compressed at the preset stress and fixed through a set of pressure plates. Afterwards, the setup is placed in an environmental simulation chamber, as shown in Figure 1. This equipment can accurately simulate temperature conditions ranging from −20 °C to 150 °C and relative humidity levels from 5% to 90%.
Figure 1.
Spring environment simulation chamber.
Circuit breaker equipment in coastal areas may also be affected by salt spray corrosion. Therefore, the test chamber is equipped with a salt spray generator, which allows for adjustable salt spray concentration (1–10% NaCl) and spray frequency. The selection of this concentration range is based on the industry standard GB/T 2423.17-2008 [12] for salt spray testing of power equipment, which specifies 3–5% NaCl as the typical concentration for simulating coastal environmental conditions. To assess the corrosion effects under both moderate and extreme conditions, we extended the testing range to 1–10% NaCl. During the testing period, the spring’s stress and closing behaviors are measured at a regular interval (every half-month or month) to monitor its performance degradation.
In order to analyze the mechanical response of the spring under the long-term working condition, the repeated closing and opening operation is generally required to evaluate the spring’s elastic recovery capability and mechanical properties under varying operation cycles. In Figure 2, an accelerated test was carried out using the tension compression testing machine (Model: SDS-1000, Changchun Institute of Mechanical Science Co., Ltd., Changchun, China) at a fixed frequency of 0.1 Hz (i.e., 360 cycles per hour). The machine was operated continuously for 17 h per day over a 5-day period, reaching a total of approximately 30,000 cycles. In every cycle, the spring was compressed to its standard working height (from H1 to H2) and then released, simulating the complete energy storage and release process that occurs during a typical closing operation of the circuit breaker. Meanwhile, the displacement and pressure sensors were also installed in the accelerated test machine to ensure the accuracy and reliability of the measurements.
Figure 2.
The tension–compression testing machine.
2.3. Stress Loss Rate and Failure Thresholds of the Spring
The stress loss rate of the spring refers to the loss of its original load-bearing capacity under a long-term or repeated loading, which represents the decrease in the spring’s initial stiffness. The stress loss rate (δ) of the spring is defined using Equation (1) [13,14]:
where F is the original load of a spring and Fi is the load of a used or aged spring.
In this work, a stress loss rate of 4.5% is adopted as a conservative threshold for assessing the degradation of spring performance in high-voltage circuit breakers. This value was selected based on operational requirements, and the acceptable closing time was suggested to be maintained within 50–80 ms (Table 1). When the spring’s stress loss exceeds 4.5%, the closing time tends to surpass this limit, indicating that the spring is severely degraded. The experimental validation is provided in Section 5, where the relationship between closing time and stress loss rate is further discussed.
3. Degradation of Springs in the Long-Term Energy Storage State
3.1. Temperature Factor
The degradation of seven groups of spring samples was studied at different temperatures of −10 °C, 10 °C, 30 °C, 50 °C, 70 °C, 90 °C, and 110 °C. The spring samples were compressed and fixed using pressure plates to maintain their energy-storage state, and then placed inside an environmental simulation chamber with a temperature control device. In the initial experimental stage (the initial 4 months), the mechanical parameters such as spring stress, stress loss rate, and closing time of the springs were tested every half month, while these parameters were tested every month in the second stage (4 to 11 months).
As shown in Figure 3, the stress relaxation process of high-voltage circuit breaker springs at different temperatures can be divided into two stages. In the first stage (the initial 4 months), the slope of the stress curve is relatively large, indicating a rapid decay in stress, while in the second stage (4 to 11 months), the slope of the curve gradually decreases, suggesting a slower rate of stress decay. Moreover, when the temperature is between −10 °C and 70 °C, the effect of temperature on the stress change of the spring is very small, but when the temperature exceeds this range, it can be clearly seen that the stress change of the spring becomes larger with the increase in temperature.
Figure 3.
Spring stress curves at different temperatures.
Figure 4 presents the variation in stress loss rate of the circuit breaker spring operating in the temperature range of −10 °C to 110 °C. It can be observed that, within the temperature range of −10 °C to 50 °C, the stress loss rate of the spring after 11 months of degradation falls within the interval of 2.33% to 2.64%. When the temperature increases to the extreme condition of 110 °C, the stress loss rate of the spring reaches 5.21%.
Figure 4.
Spring stress loss rates at different temperatures.
3.2. Effect of Salt Spray Corrosion
For 60Si2CrVA alloy steel springs, prolonged exposure to an environment with varying humidity or salt spray concentrations can lead to surface and internal corrosion, subsequently affecting their mechanical properties. In this study, the springs were subjected to varying concentrations of salt spray (1 wt%–10 wt% NaCl solution) at 30 °C for a period of 11 months, after which their final rate of stress loss was determined. The experiment involved two groups of different springs. In Group 1, springs were produced under normal manufacturing conditions, while in Group 2, the used springs with damaged electrophoretic paint on the surface were adopted. The results of the experiment are shown in Figure 5 and Figure 6.
Figure 5.
Variation in stress loss rate of two groups of springs after 11 months in different salt spray environments.
Figure 6.
Surface corrosion of springs in a 4% NaCl environment.
The surface of the springs in Group 1 coated with electrophoretic paint remained intact and presented effective corrosion resistance. Consequently, the stress loss rate of these springs does not show any obvious variation across the different salt spray concentrations. In contrast, the surface of the springs in Group 2 was significantly corroded after exposing to the salt spray environment, and the stress loss rate was also increased with the increase in the salt spray concentration. However, the stress loss rate of the corroded spring samples was only marginally higher (by approximately 0.01–0.03) than that in Group 1, which would not affect the mechanical properties of the springs. The reason for this minimal impact can be attributed to a specific corrosion process for the springs in Group 2. In the initial corrosion stage, the salt spray is in direct contact with the spring surface, resulting in a chemical reaction that produces a layer of red rust. This rust covers the spring surface to create a protective layer, which hinders further reaction between the salt spray solution and the metal substrate and thereby slows down the penetration of corrosion into the internal structure of the spring [15,16]. Moreover, the results showed that stress loss rate of springs of Group 2 was obviously corroded by the salt spray condition. However, in real working conditions, normal springs are almost fully coated with electrophoretic paint, and are hardly affected by salt spray corrosion [17].
4. Characteristics of Springs Under Long-Term Closing Operation
In general, the operational spring of a high-voltage circuit breaker possesses a service life spanning for several decades, during which it undergoes numerous opening and closing operations. During the closing process, the operational spring is initially in an energy-storage state. Upon receiving the closing command, the spring rapidly releases its stored energy, driving the operating mechanism and completing the closing operation. Then, the spring returns to its uncompressed state, ready for the next energy-storage cycle.
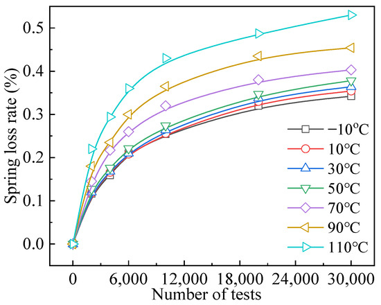
Therefore, the closing operation of the spring refers to compressing the spring for store energy and subsequently releasing the energy. In Figure 7, the effect of the closing operations on spring performance was studied. A spring tension–compression testing machine was used to drive the closing spring for 30,000 cycles of compression over 5 days. The compression range was set between the spring’s standard operating heights, H1 and H2, which are the spring closing parameters listed in Table 1, to simulate the energy storage and release process during the closing operation.
Figure 7.
Effect of closing operation on spring stress loss rate.
As shown in Figure 7, the power function curve illustrates the relationship between the stress loss rate of the spring and the number of closing operations. With rising temperature, the stress loss rate exhibits an upward trend. Especially, when the temperature exceeds 70 °C, the stress loss rate of the spring increases significantly, and the curve displays a more pronounced upward slope. After 30,000 simulated closing operations, the stress loss rates of the springs at temperatures of −10 °C, 10 °C, 30 °C, 50 °C, 70 °C, 90 °C, and 110 °C reach 0.342%, 0.354%, 0.36%, 0.387%, 0.414%, 0.454%, and 0.53%, respectively, which are all lower than the 4.5% stress loss rate threshold. This indicates that the stress loss rate during long-term spring closing operations exhibits minimal variation across different operating temperatures. By fitting the spring stress loss rate using the data tested at 30 °C, the following equation was derived:
where δ is the stress loss rate of the spring, and x is the number of closing operations. The fitting results are illustrated in Figure 8.
Figure 8.
Fitting relationship chart between spring stress loss rate and number of closing tests.
When the number of closing operations reaches 200,000 cycles, the calculated stress loss rate is only 0.92%, which is still below the 4.5% safety threshold. Under actual working conditions, 110 kV circuit breakers are primarily used for the protection and control of transmission systems. They are just operated during system maintenance, fault isolation, or load regulation. Most of the time, the circuit breaker remains in the closed position. Based on the aforementioned test results and analysis, it can be concluded that the closing spring maintains good performance under long-term closing operation and meets the requirements for stable long-term operation of high-voltage circuit breakers.
5. Performance Degradation Assessment and Lifetime Prediction
From the above experiments, it is evident that the stress loss of high-voltage circuit breaker springs is primarily influenced by the duration of the energy storage state. The long-term energy storage state at different temperatures leads to varying rates of stress decay, thereby affecting the closing speed. Figure 9 illustrates the relationship between stress loss rate and closing time. The results show that the closing time of the circuit breaker exhibits an exponential increase with the increased stress loss rate. When the spring’s stress loss rate exceeds 4.5%, the closing time fails to meet the operational requirements of the operating mechanism (50–80 ms). Furthermore, when the spring’s stress loss rate surpasses 6%, the mechanism is unable to complete the closing operation due to the insufficient pre-tightening force in the closing spring [18]. To ensure the safe operation of circuit breaker spring closing, a stress loss rate threshold of 4.5% can be conservatively established to assess the spring’s closing performance.
Figure 9.
The relationship between spring stress loss and closing time.
In engineering practice, the Arrhenius acceleration model was widely used to describe the degradation process of the spring [19,20,21,22] and evaluate the effect of temperature on lifespan of materials. The Arrhenius equation is given in Equation (3).
where k the spring stress loss rate, A is the Arrhenius constant, Ea is the activation energy, T is the absolute temperature, and R is the universal gas constant.
The Arrhenius Equation (3) can be transformed into a linear Equation (4) using the natural logarithm, as shown below:
In addition, as shown in Figure 4, a nonlinear relationship can be found between the spring’s stress loss rate (δ, in %) and time (t), which can be expressed as
In Equation (5), k is the spring stress loss rate, and c is a constant. This equation shows that the stress loss rate δ is linearly dependent on time t under different temperatures. The linear relationships under various temperatures are obtained as summarized in Table 2.
Table 2.
Linear regression equation between stress loss rate and logarithm of time at different temperatures.
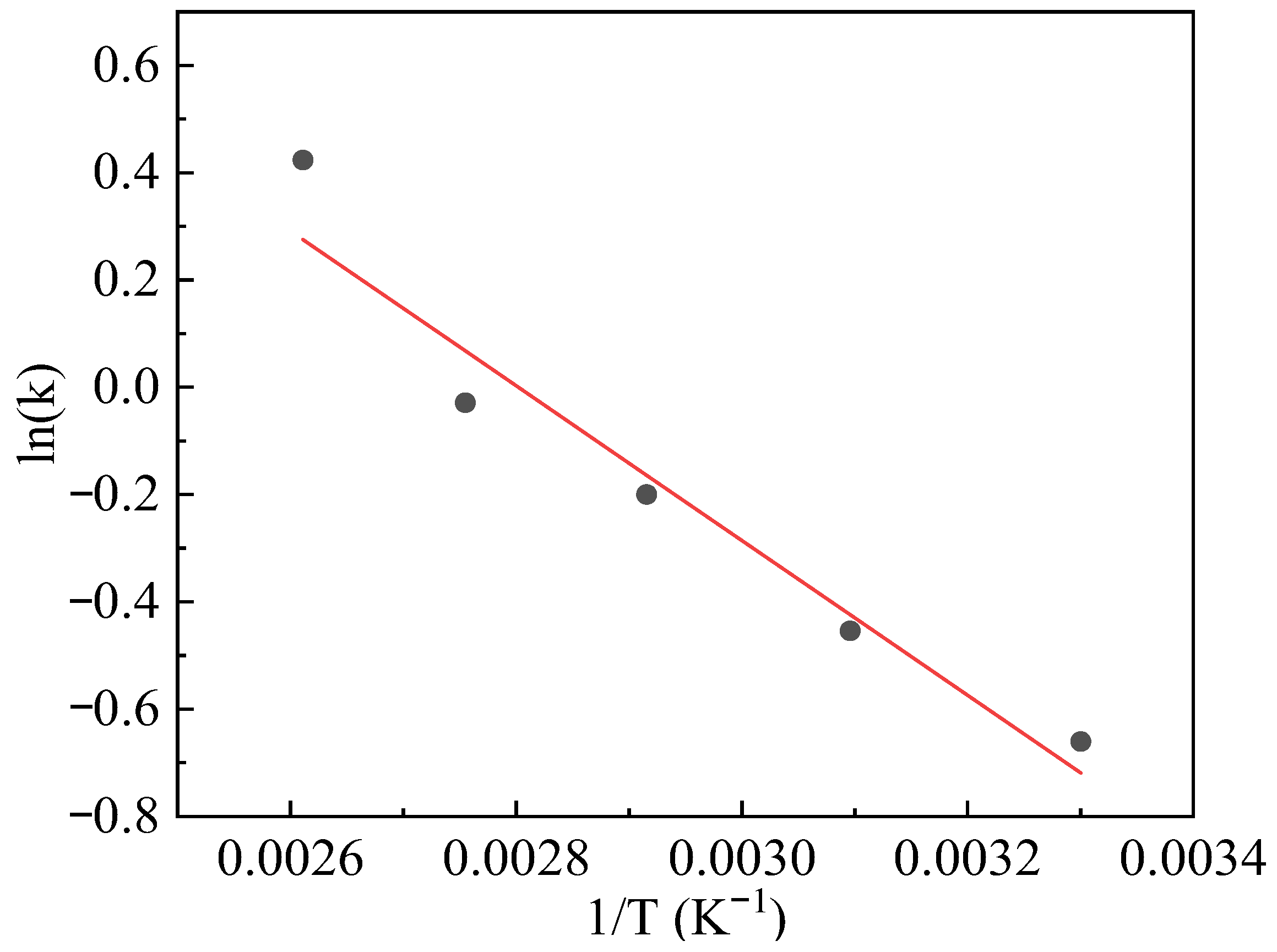
In Table 2, the coefficient of determination (0 ≤ r2 ≤ 1) is an important statistical indicator that was used to evaluate the fitting goodness of the regression model. A high R2 value indicates good linear fitting between the stress loss rate and the logarithmic time. In practical engineering applications, the operating temperature of high-voltage circuit breaker springs does not exceed 70 °C. According to Equation (4), the slope e = −Ea/R and the intercept b = ln(A) of the linear equation can be obtained by fitting ln(k) and 1/T at this temperature. The fitting results are illustrated in Figure 10.
Figure 10.
Fitted relationship between logarithm of stress loss rate and inverse of temperature.
The fitting result is given by Equation (6).
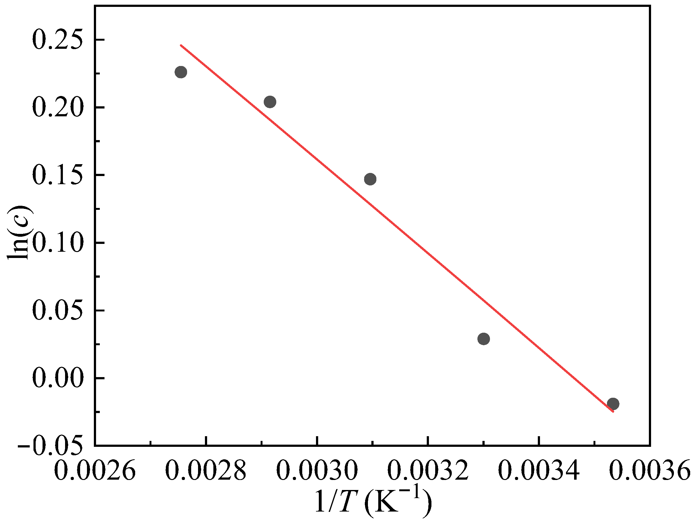
For Equation (5), when t = 1 month, δ = c. This means that c represents the stress loss rate after one month. By substituting c into Equation (3), the following relationship is obtained:
Taking the natural logarithm of both sides,
Here, e and f are constants. Using the data in Table 2, a linear regression of Equation (8) is performed and the fitting result is shown in Figure 11.
Figure 11.
Fitting relationship between logarithm of the constant of integration and the temperature inverse.
The fitting result is given by Equation (9).
In the classical Arrhenius acceleration model, a constant degradation rate k is adopted under isothermal conditions, while the improved model introduces time-dependent degradation behavior expressed as δ = kt + c, where the constant c represents the initial nonlinear degradation at the early stage of spring stress relaxation. This improvement allows the model to better describe the full degradation profile over time and provides a more accurate estimation for the service life of the spring under varying thermal environments.
With the spring stress loss rate threshold set at 4.5% and the room temperature of 25 °C, the stress loss rate k can be calculated using Equations (6) and (9). Substituting these into the linear regression model of Equation (5), the estimation of the service life of the spring under long-term energy storage conditions can be described as Equation (10).
By solving this equation, the maximum stress loss rate of 4.5% under the condition of 25 °C corresponds to a service life of the spring of t = 325.14 months, or approximately 27.09 years.
6. Conclusions
In summary, the degradation characteristics of 60Si2CrVA alloy steel springs used in 110 kV high-voltage circuit breakers were studied under long-term energy storage and repeated closing operations. It was found that the stress loss rate of the spring is significantly enhanced when the operation temperature exceeds 70 °C, while other factors such as the closing operations and salt spray corrosion show a minimal impact on its stress loss. The threshold of stress loss rate related with closing failure was determined, and a lifetime prediction method for the springs was proposed based on the Arrhenius accelerated model. At room temperature, the calculated service life of the spring is approximately 27.09 years. This study provides an experimental basis and theoretical support for the long-term operational reliability of closing springs in high-voltage circuit breakers under complex working conditions, which is of great significance for ensuring the stable operation of power systems.
Author Contributions
Conceptualization, M.Y. and P.Q.; data curation, M.Y. and K.Y.; methodology, L.W. and X.H.; validation, Z.P. and F.Z.; writing—original draft, L.W., G.H. and Y.Z.; writing—review and editing, X.Z. and J.L. All authors have read and agreed to the published version of the manuscript.
Funding
This work was supported by the Innovation Project of China Southern Power Grid Co., Ltd. (Grant No. YNKJXM20222318).
Data Availability Statement
The data presented in this study are available on request from the corresponding author.
Conflicts of Interest
Authors Mingkun Yang, Pengfeng Qiu, Guangfu Hu, Kun Yang, Xiaohui He, Zhaoyu Peng and, Fangrong Zhou were employed by the company Yunnan Electric Power Research Institute. Authors Yun Zhang and Jie Luo were employed by the company Yunnan Power Grid. The remaining authors declare that the research was conducted in the absence of any commercial or financial relationships that could be construed as a potential conflict of interest. The authors declare that this study received funding from China Southern Power Grid. The funder was not involved in the study design, collection, analysis, interpretation of data, the writing of this article or the decision to submit it for publication.
References
- Liu, Y.; Zhang, G.; Zhao, C.; Lei, S.; Qin, H.; Yang, J. Mechanical condition identification and prediction of spring operating mechanism of high voltage circuit breaker. IEEE Access 2020, 8, 210328–210338. [Google Scholar] [CrossRef]
- Jiang, J.; Lin, H.; Fang, S. Multi-Objective Optimization of a Permanent Magnet Actuator for High Voltage Vacuum Circuit Breaker Based on Adaptive Surrogate Modeling Technique. Energies 2019, 12, 4695. [Google Scholar] [CrossRef]
- Ma, H.; Qian, G.; Zhang, J.; Chen, J.; Zhou, F.; Qiu, P.; Zhang, A.; Wang, T.; Yao, X.; Liu, Z. Fatigue Life Estimation of Critical Components in a Motor-Energized Spring Operating Mechanism Based on Theory of Reliability. Energies 2024, 17, 1623. [Google Scholar] [CrossRef]
- Fu, R.; Zhao, L.; Rong, Q. Study on mechanical characteristics of operating mechanism of high voltage circuit breaker. High Volt. Appar. 2017, 53, 56–62. [Google Scholar]
- Tahvilzadeh, M.; Aliyari-Shoorehdeli, M.; Razi-Kazemi, A.A. Model-Aided Approach for Intelligent Fault Detection System for SF6 High-Voltage Circuit Breaker with Spring Operating Mechanism. IEEE Trans. Power Deliv. 2023, 38, 3356–3365. [Google Scholar]
- Sun, T. Intelligent Diagnosis Technology for Mechanical Faults of High Voltage Circuit Breakers Based on Weighted Evidence Theory. Master’s Thesis, Southeast University, Nanjing, China, 2017. [Google Scholar]
- Wang, K. Research on Evaluation Method of Performance State of Circuit Breaker Energy Storage Spring. Master’s Thesis, North China Electric Power University, Beijing, China, 2020. [Google Scholar]
- Li, X.; Wu, S.; Li, X.; Zhao, D.; Li, Q.; Li, X. Kinetic characteristics of high voltage circuit breakers based on spring stress relaxation. J. Cent. South Univ. Sci. Technol. 2019, 7, 1575–1583. [Google Scholar]
- Huang, H.; Wang, F.; Su, Y.; Lu, Y.; Xia, X. Research on detection method for abnormal state of spring operating mechanism in high voltage circuit breaker based on LMD and SVM. High Volt. Appar. 2020, 5, 243–248. [Google Scholar]
- Ding, G.; Zhu, Y.; Wu, J.; Guan, T.; Dong, H. Fatigue life analysis of key components of spring operating mechanism based on local stress-strain method. CSEE J. Power Energy Syst. 2023, 20, 8161–8170. [Google Scholar]
- Pal, U.; Mukhopadhyay, G.; Bhattacharya, S. Failure analysis of spring of hydraulic operated valve. Eng. Fail. Anal. 2019, 95, 191–198. [Google Scholar]
- GB/T 2423.17-2008; Environmental Testing for Electric and Electronic Products-Part 2: Test Method-Test Ka: Salt Mist. Standards Press of China: Beijing, China, 2009.
- Yang, C.; Gu, X.; Pan, S. Reliability evaluation of coil spring for fuse with multiple performance parameters. J. Natl. Univ. Def. Technol. 2023, 45, 200–207. [Google Scholar]
- Zhang, Y.; Liu, H.; Wang, D. (Eds.) Spring Handbook, 3rd ed.; Mechanical Industry Press: South Norwalk, CT, USA, 2017; pp. 297–333. [Google Scholar]
- Zuo, M.; Chen, Y.; Mi, Z.; Wang, Y.; Jiang, H. Effects of Cr content on corrosion behaviour and corrosion products of spring steels. J. Iron Steel Res. Int. 2019, 26, 1000–1010. [Google Scholar] [CrossRef]
- Wang, X.; Chen, Y.; Niu, G. The study on corrosion resistance of high-strength spring steel. Corros. Eng. Sci. Technol. 2018, 53, 54–64. [Google Scholar] [CrossRef]
- Huang, J. Study on Fatigue Crack Propagation Rate and Corrosion Mechanism of 60Si2Mn Spring Steel Under Salt Spray Environment. Master’s Thesis, Kunming University of Science and Technology, Kunming, China, 2023. [Google Scholar]
- Wang, K.; Shi, J.; Jin, P. Experimental analysis and application of stress relaxation characteristics of helical compression spring. Chin. J. Appl. Mech. 2021, 38, 158–165. [Google Scholar]
- Su, Y.; Xie, Z.; Wang, J.; Lu, Y.; Jiang, Z. Fatigue characteristics test and life prediction on closing spring of 12 kV vacuum circuit breaker. High Volt. Appar. 2022, 58, 165–171. [Google Scholar]
- Xu, Z.; Cheng, Y.; Weng, D.; Pan, Q.; Xie, P.; Chen, K.; Chen, S.; Lin, J.; Chen, J.; Wang, W. Research on the failure and fracture factors of spring in high voltage circuit breakers. In Proceedings of the Fourth International Conference on Mechanical Engineering, Intelligent Manufacturing, and Automation Technology (MEMAT 2023), Guilin, China, 1–3 December 2023. [Google Scholar]
- Zhang, X.; Liu, H.; Ma, S.; Yang, P. Thermal air aging and lifespan prediction of PVC-P geomembranes: An Arrhenius equation-based approach. Power Eng. Eng. Thermophys. 2023, 2, 199–211. [Google Scholar]
- Qin, Z.; Jiang, H.; Yuan, H.; Yao, J.; Zhou, B.; Nong, W.; Liu, L. Stress relaxation characteristics analysis and storage life prediction of butt separation pusher spring. In Proceedings of the 13th International Workshop of Advanced Manufacturing and Automation, Shanghai, China, 16–17 October 2023. [Google Scholar]
Disclaimer/Publisher’s Note: The statements, opinions and data contained in all publications are solely those of the individual author(s) and contributor(s) and not of MDPI and/or the editor(s). MDPI and/or the editor(s) disclaim responsibility for any injury to people or property resulting from any ideas, methods, instructions or products referred to in the content. |
© 2025 by the authors. Licensee MDPI, Basel, Switzerland. This article is an open access article distributed under the terms and conditions of the Creative Commons Attribution (CC BY) license (https://creativecommons.org/licenses/by/4.0/).










