Three-Dimensional Solar Harvesting with Transparent Spectral Selective Photovoltaics in Agrivoltaics
Abstract
1. Introduction
1.1. Three-Dimensional Solar Harvesting via Multiple Transparent Photovoltaic Solar Cells: A New Concept
1.2. 3D-Solar Applications in Agrivoltaics
1.3. Enabling Ideas
1.4. Spectral Tunable Photovoltaics (PVs)
1.5. Transparent Organic Photovoltaics (TOPVs)
1.6. Transparent Porphyrin-Based Dye-Sensitized Solar Cells (DSSCs)
1.7. Transparent Porphyrin Thin Films
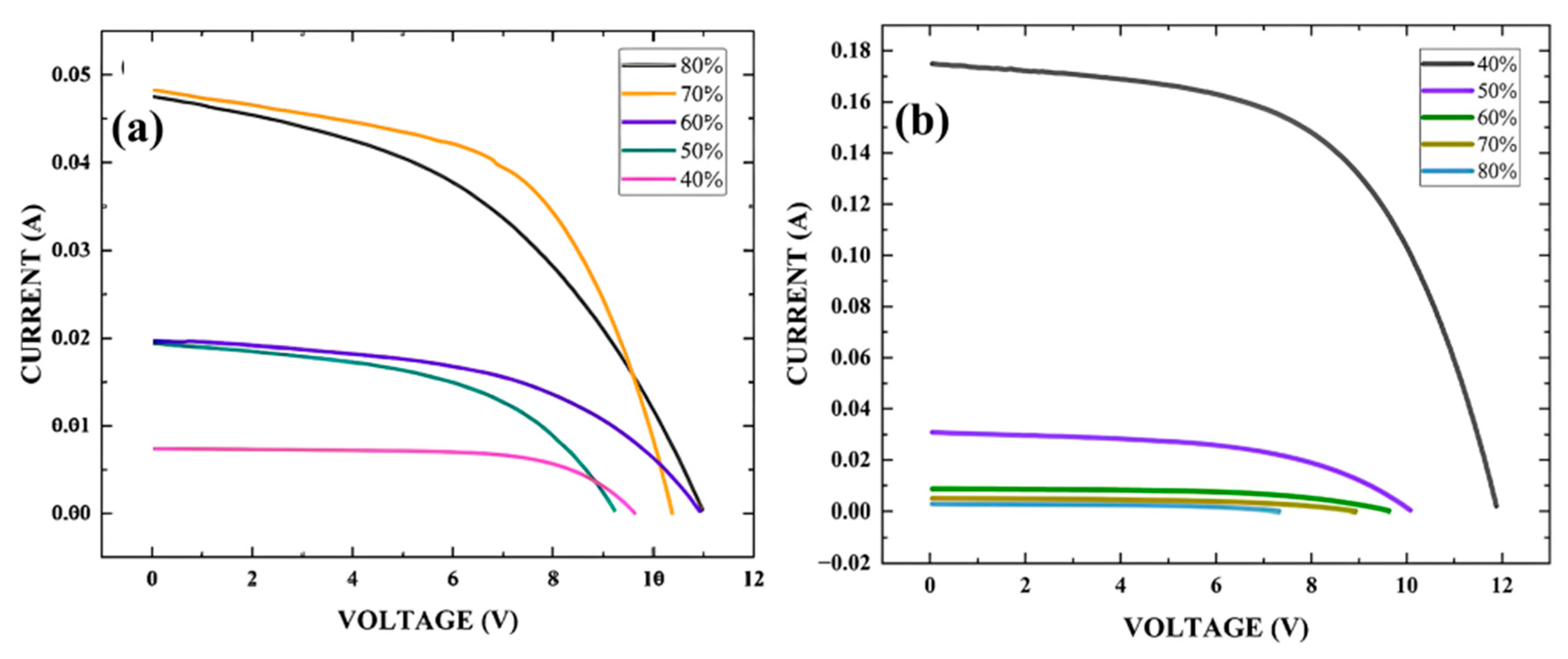
1.8. Solar Harvesting Through Multiple Semitransparent Cadmium Telluride Photovoltaic Module
1.9. Transparent Porphyrin-Based DSSC
1.10. Fundamental Photonic Base for Spectral Tuning of Photosensitizers
1.11. Strategy for Tuning Optical Spectrum
1.12. Development of Nano Hybrid for Ideal Absorption
1.13. Raman Study of the Spectral Selective Hybrids
1.14. Correlations Between the Hybrid Structures and Optical Absorptions
1.15. Design of Multiplayer 3D-Solar
1.16. Preliminary Experiments on a 3D-Solar with DSSCs
1.17. Design of 3D-Solar System Design for Agrivoltaics
1.18. System Design of 3D-Solar for Agrivoltaics
1.19. Challenges and Future Research
2. Summary
Funding
Data Availability Statement
Conflicts of Interest
References
- Nayak, P.K.; Mahesh, S.; Snaith, H.J.; Cahen, D. Photovoltaic solar cell technologies: Analysing the state of the art. Nat. Rev. Mater. 2019, 4, 269–285. [Google Scholar] [CrossRef]
- He, Z.; Zhong, C.; Su, S.; Xu, M.; Wu, H.; Cao, Y. Enhanced power-conversion efficiency in polymer solar cells using an inverted device structure. Nat. Photonics 2012, 6, 591–595. [Google Scholar] [CrossRef]
- You, J.; Dou, L.; Yoshimura, K.; Kato, T.; Ohya, K.; Moriarty, T.; Emery, K.; Chen, C.-C.; Gao, J.; Li, G.; et al. A polymer tandem solar cell with 10.6% power conversion efficiency. Nat. Commun. 2013, 4, 1446. [Google Scholar] [CrossRef] [PubMed]
- Andreani, L.C.; Bozzola, A.; Kowalczewski, P.; Liscidini, M.; Redorici, L. Silicon solar cells: Toward the efficiency limits. Adv. Phys. X 2018, 4, 1548305. [Google Scholar] [CrossRef]
- Tonui, P.; Oseni, S.O.; Sharma, G.; Yan, Q.; Mola, G.T. Perovskites photovoltaic solar cells: An overview of current status. Renew. Sustain. Energy Rev. 2018, 91, 1025–1044. [Google Scholar] [CrossRef]
- Available online: https://elements.visualcapitalist.com/how-much-land-power-us-solar/ (accessed on 11 August 2019).
- Al-Ezzi, A.S.; Ansari, M.N.M. Photovoltaic Solar Cells: A Review. Appl. Syst. Innov. 2022, 5, 67. [Google Scholar] [CrossRef]
- Jäger-Waldau, A.; Szabó, M.; Monforti-Ferrario, F.; Bloem, H.; Huld, T.; Arantegui, R.L. Renewable energy snapshots 2011. Available online: https://www.jrc.ec.europa.eu/ (accessed on 11 October 2022).
- Yamaguchi, M.; Yamada, H.; Katsumata, Y.; Lee, K.H.; Araki, K.; Kojima, N. Efficiency potential and recent activities of high-efficiency solar cells. J. Mater. Res. 2017, 32, 3445–3457. [Google Scholar] [CrossRef]
- Masuko, K.; Shigematsu, M.; Hashiguchi, T.; Fujishima, D.; Kai, M.; Yoshimura, N.; Yamaguchi, T.; Ichihashi, Y.; Mishima, T.; Matsybara, N.; et al. Achievement of more than 25% conversion efficiency with crystalline silicon heterojunction solar cell. IEEE J. Photovolt. 2014, 4, 1433–1435. [Google Scholar] [CrossRef]
- Firdaus, Y.; Le Corre, V.M.; Khan, J.I.; Kan, Z.; Laquai, F.; Beaujuge, P.M.; Anthopoulos, T.D. Key Parameters Requirements for Non-Fullerene-Based Organic Solar Cells with Power Conversion Efficiency >20%. Adv. Sci. 2019, 6, 1802028. [Google Scholar] [CrossRef]
- Cui, Y.; Yao, H.; Hong, L.; Zhang, T.; Tang, Y.; Lin, B.; Xian, K.; Gao, B.; An, C.; Bi, P.; et al. Organic photovoltaic cell with 17% efficiency and superior processability. Natl. Sci. Rev. 2019, 7, 1239–1246. [Google Scholar] [CrossRef]
- Ryuzaki, S.; Onoe, J. Basic aspects for improving the energy conversion efficiency of hetero-junction organic photovoltaic cells. Nano Rev. 2013, 4, 29055. [Google Scholar] [CrossRef]
- Cui, Y.; Yao, H.; Zhang, J.; Xian, K.; Zhang, T.; Hong, L.; Wang, Y.; Xu, Y.; Ma, K.; An, C.; et al. Single-Junction Organic Photovoltaic Cells with Approaching 18% Efficiency. Adv. Mater. 2020, 32, 1908205. [Google Scholar] [CrossRef]
- Bolinger, M.; Bolinger, G. Land Requirements for Utility-Scale PV: An Empirical Update on Power and Energy Density. IEEE J. Photovolt. 2022, 12, 589–594. [Google Scholar] [CrossRef]
- Nazir, G.; Lee, S.Y.; Lee, J.H.; Rehman, A.; Lee, J.K.; Seok, S.I.; Park, S.J. Stabilization of Perovskite Solar Cells: Recent Developments and Future Perspectives. Adv. Mater. 2022, 34, 2204380. [Google Scholar]
- Lekesi, L.P.; Koao, L.F.; Motloung, S.V.; Motaung, T.E.; Malevu, T. Developments on Perovskite Solar Cells (PSCs): A Critical Review. Appl. Sci. 2022, 12, 672. [Google Scholar] [CrossRef]
- Hu, Z.; Ran, C.; Zhang, H.; Chao, L.; Chen, Y.; Huang, W. The Current Status and Development Trend of Perovskite Solar Cells. Engineering 2022, 21, 15–19. [Google Scholar] [CrossRef]
- Fu, Q.; Jen, A.K. Perovskite solar cell developments, whatʼs next? Next Energy 2023, 1, 100004. [Google Scholar] [CrossRef]
- Rahman, S.; Haleem, A.; Siddiq, M.; Hussain, M.K.; Qamar, S.; Hameed, S.; Waris, M. Research on dye sensitized solar cells: Recent advancement toward the various constituents of dye sensitized solar cells for efficiency enhancement and future prospects. RSC Adv. 2023, 13, 19508–19529. [Google Scholar]
- Prajapat, K.; Dhonde, M.; Sahu, K.; Bhojane, P.; Murty, V.; Shirage, P.M. The evolution of organic materials for efficient dye-sensitized solar cells. J. Photochem. Photobiol. C Photochem. Rev. 2023, 55, 100586. [Google Scholar] [CrossRef]
- Sasikumar, R.; Thirumalaisamy, S.; Kim, B.; Hwang, B. Dye-sensitized solar cells: Insights and research divergence towards alternatives. Renew. Sustain. Energy Rev. 2024, 199, 114549. [Google Scholar] [CrossRef]
- Miao, J.; Wang, Y.; Liu, J.; Wang, L. Organoboron molecules and polymers for organic solar cell applications. Chem. Soc. Rev. 2022, 51, 153–187. [Google Scholar] [CrossRef] [PubMed]
- Wang, J.; Cui, Y.; Xu, Y.; Xian, K.; Bi, P.; Chen, Z.; Zhou, K.; Ma, L.; Zhang, T.; Yang, Y.; et al. A New Polymer Donor Enables Binary All-Polymer Organic Photovoltaic Cells with 18% Efficiency and Excellent Mechanical Robustness. Adv. Mater. 2022, 34, 2205009. [Google Scholar] [CrossRef] [PubMed]
- Yuan, X.; Zhao, Y.; Xie, D.; Pan, L.; Liu, X.; Duan, C.; Huang, F.; Cao, Y. Polythiophenes for organic solar cells with efficiency surpassing 17%. Joule 2022, 6, 647–661. [Google Scholar] [CrossRef]
- Brudermann, T.; Reinsberger, K.; Orthofer, A.; Kislinger, M.; Posch, A. Photovoltaics in agriculture: A case study on decision making of farmers. Energy Policy 2013, 61, 96–103. [Google Scholar] [CrossRef]
- Muñoz-García, M.A.; Hernández-Callejo, L. Photovoltaics and Electrification in Agriculture. Agronomy 2022, 12, 44. [Google Scholar] [CrossRef]
- Meitzner, R.; Schubert, U.S.; Hoppe, H. Agrivoltaics—The Perfect Fit for the Future of Organic Photovoltaics. Adv. Energy Mater. 2020, 11, 2002551. [Google Scholar] [CrossRef]
- Katepalli, A.; Wang, Y.; Shi, D. Solar harvesting through multiple semi-transparent cadmium telluride solar panels for collective energy generation. Sol. Energy 2023, 264, 112047. [Google Scholar] [CrossRef]
- Liu, J.; van Iersel, M.W. Photosynthetic Physiology of Blue, Green, and Red Light: Light Intensity Effects and Underlying Mechanisms. Front. Plant Sci. 2021, 12, 619987. [Google Scholar] [CrossRef]
- Lin, J.; Wang, Y.; Lyu, M.; Deng, Z.; Shi, D. Transparent porphyrin-based hybrid films for spectral selective solar harvesting and energy generation. Sol. Energy Mater. Sol. Cells 2022, 243, 15. [Google Scholar]
- D’souza, F.; Ito, O. Supramolecular donor–acceptor hybrids of porphyrins/phthalocyanines with fullerenes/carbon nanotubes: Electron transfer, sensing, switching, and catalytic applications. Chem. Commun. 2009, 33, 4913–4928. [Google Scholar] [CrossRef]
- Gust, D.; Moore, T.A.; Moore, A.L. Solar fuels via artificial photosynthesis. Accounts Chem. Res. 2009, 42, 1890–1898. [Google Scholar] [CrossRef]
- Imahori, H.; Fukuzumi, S. Porphyrin-and fullerene-based molecular photovoltaic devices. Adv. Funct. Mater. 2004, 14, 525–536. [Google Scholar] [CrossRef]
- Shipman, L.L.; Cotton, T.M.; Norris, J.R.; Katz, J.J. An analysis of the visible absorption spectrum of chlorophyll a monomer, dimer, and oligomers in solution. J. Am. Chem. Soc. 1976, 98, 8222–8230. [Google Scholar] [CrossRef]
- Li, X.; Tang, C.; Zhang, L.; Song, M.; Zhang, Y.; Wang, S. Porphyrin-Based Covalent Organic Frameworks: Design, Synthesis, Photoelectric Conversion Mechanism, and Applications. Biomimetics 2023, 8, 171. [Google Scholar] [CrossRef]
- Chang, S.Y.; Cheng, P.; Li, G.; Yang, Y. Transparent polymer photovoltaics for solar energy harvesting and beyond. Joule 2018, 2, 1039–1054. [Google Scholar] [CrossRef]
- Chen, C.C.; Dou, L.; Zhu, R.; Chung, C.H.; Song, T.B.; Zheng, Y.B.; Hawks, S.; Li, G.; Weiss, P.S.; Yang, Y. Visibly transparent polymer solar cells produced by solution processing. ACS Nano 2012, 6, 7185–7190. [Google Scholar] [CrossRef]
- Yu, H.; Wang, J.; Zhou, Q.; Qin, J.; Wang, Y.; Lu, X.; Cheng, P. Semi-transparent organic photovoltaics. Chem. Soc. Rev. 2023, 52, 4132–4148. [Google Scholar] [CrossRef]
- Song, W.; Ge, J.; Xie, L.; Chen, Z.; Ye, Q.; Sun, D.; Shi, J.; Tong, X.; Zhang, X.; Ge, Z. Semi-transparent organic photovoltaics for agrivoltaic applications. Nano Energy 2023, 116, 108805. [Google Scholar] [CrossRef]
- Emmott, C.J.; Röhr, J.A.; Campoy-Quiles, M.; Kirchartz, T.; Urbina, A.; Ekins-Daukes, N.J.; Nelson, J. Organic photovoltaic greenhouses: A unique application for semi-transparent PV? Energy Environ. Sci. 2015, 8, 1317–1328. [Google Scholar] [CrossRef]
- Liu, T.; Zheng, Y.; Xu, Y.; Liu, X.; Wang, C.; Yu, L.; Fahlman, M.; Li, X.; Murto, P.; Chen, J.; et al. Semitransparent polymer solar cell/triboelectric nanogenerator hybrid systems: Synergistic solar and raindrop energy conversion for window-integrated applications. Nano Energy 2022, 103, 107776. [Google Scholar] [CrossRef]
- Sun, S.; Zha, W.; Tian, C.; Wei, Z.; Luo, Q.; Ma, C.; Liu, W.; Zhu, X. Solution Processed Semi-Transparent Organic Solar Cells Over 50% Visible Transmittance Enabled by Silver Nanowire Electrode with Sandwich Structure. Adv. Mat. 2023, 35, 2305092. [Google Scholar] [CrossRef]
- Zhao, Y.; Zhu, Y.; Cheng, H.-W.; Zheng, R.; Meng, D.; Yang, Y. A review on semitransparent solar cells for agricultural application. Mater. Today Energy 2021, 22, 100852. [Google Scholar] [CrossRef]
- Gorjian, S.; Bousi, E.; Özdemir, Ö.E.; Trommsdorff, M.; Kumar, N.M.; Anand, A.; Kant, K.; Chopra, S.S. Progress and challenges of crop production and electricity generation in agrivoltaic systems using semi-transparent photovoltaic technology. Renew. Sustain. Energy Rev. 2022, 158, 112126. [Google Scholar] [CrossRef]
- Setyawati, H.; Darmokoesoemo, H.; Ningtyas, A.T.A.; Kadmi, Y.; Elmsellem, H.; Kusuma, H.S. Effect of Metal Ion Fe(III) on the Performance of Chlorophyll as Photosensitizers on Dye Sensitized Solar Cell. Results Phys. 2017, 7, 2907–2918. [Google Scholar]
- Lin, J.; Krupczak, J.; Shi, D. Solar harvesting and energy generating building skins with photothermal–photovoltaic dual-modality based on porphyrin thin films. MRS Commun. 2022, 12, 1225–1234. [Google Scholar] [CrossRef]
- Lin, J.; Lyu, M.; Shi, D. 3D Solar Harvesting and Energy Generation via Multilayers of Transparent Porphyrin and Iron Oxide Thin Films. Energies 2023, 16, 3173. [Google Scholar] [CrossRef]
- Lyu, M.; Lin, J.; Krupczak, J.; Shi, D. Solar harvesting through multilayer spectral selective iron oxide and porphyrin transparent thin films for photothermal energy generation. Adv. Sustain. Syst. 2021, 5, 2100006. [Google Scholar] [CrossRef]
- Lin, J.; Shi, D. Photothermal and photovoltaic properties of transparent thin films of porphyrin compounds for energy applications. Appl. Phys. Rev. 2021, 8, 011302. [Google Scholar]
- Zhao, Y.; Dunn, A.W.; Shi, D. Effective reduction of building heat loss without insulation materials via the photothermal effect of a chlorophyll thin film coated “Green Window”. MRS Commun. 2019, 9, 675–681. [Google Scholar] [CrossRef]
- Zhao, Y.; Lin, J.; Kundrat, D.M.; Bonmarin, M.; Krupczak, J.; Thomas, S.V.; Lyu, M.; Shi, D. Photonically-Activated Molecular Excitations for Thermal Energy Conversion in Porphyrinic Compounds. Phys. Chem. C 2019, 124, 1575–1584. [Google Scholar] [CrossRef]
- Lyu, M.; Lin, J.; Krupczak, J., Jr.; Shi, D. Light angle dependence of photothermal properties in oxide and porphyrin thin films for energy-efficient window applications. MRS Commun. 2020, 10, 439–448. [Google Scholar] [CrossRef]
- Grätzel, M. Dye-Sensitized Solar Cells. J. Photochem. Photobiol. C Photochem. Rev. 2003, 4, 145–153. [Google Scholar] [CrossRef]
- Wu, C.; Chen, J.; Liu, Y.; Hou, J. Dye-sensitized solar cells: Recent advances and challenges. J. Mater. Chem. A 2016, 4, 7548–7564. [Google Scholar]
- Wang, X.; Grätzel, M. Dye-sensitized solar cells: From basics to the state of the art. Energy Environ. Sci. 2013, 6, 242–269. [Google Scholar]
- O’Regan, S.; Grätzel, M. A low-cost, high-efficiency solar cell based on dye-sensitized colloidal TiO2 films. Nature 1991, 353, 737–740. [Google Scholar] [CrossRef]
- Kim, J.; Lee, Y.; Kim, H. Dye-Sensitized Solar Cells: A Review on Materials, Devices, and Applications. Adv. Mater. 2010, 22, 1834–1850. [Google Scholar]
- Prince, R.; Grunwaldt, J. Dye-sensitized solar cells: Materials, devices, and future perspectives. Chem. Soc. Rev. 2015, 44, 123–142. [Google Scholar]
- De Angelis, F.; Di Carlo, A.; Filippetti, A.; Fontanesi, C. Porphyrin-Based Dye-Sensitized Solar Cells: A First-Principles Study. J. Phys. Chem. C 2007, 111, 11558–11564. [Google Scholar]
- Birel, Ö.; Nadeem, S.; Duman, H. Porphyrin-Based Dye-Sensitized Solar Cells (DSSCs): A Review. J. Fluoresc. 2017, 27, 1075–1085. [Google Scholar] [CrossRef]
- Yella, A.; Lee, H.W.; Tsao, H.N.; Yi, C.; Chandiran, A.K.; Nazeeruddin, M.K.; Diau, E.W.G.; Yeh, C.Y.; Zakeeruddin, S.M.; Grätzel, M. Porphyrin-sensitized solar cells with cobalt (II/III)-based redox electrolyte exceed 12 percent efficiency. Science 2011, 334, 629–634. [Google Scholar] [CrossRef]
- Hupp, J.T.; Niemczyk, M.P. Porphyrins as materials platforms for molecular solar cells. J. Mater. Chem. A 2013, 1, 12773–12783. [Google Scholar]
- Mathew, S.; Yella, A.; Gao, P.; Humphry-Baker, R.; Curchod, B.F.E.; Ashari-Astani, N.; Tavernelli, I.; Rothlisberger, U.; Nazeeruddin, K.; Grätzel, M. Dye-sensitized solar cells with 13% efficiency achieved through the molecular engineering of porphyrin sensitizers. Nat. Chem. 2014, 6, 242–247. [Google Scholar] [PubMed]
- Li, L.L.; Diau, E.W.G. Porphyrin-sensitized solar cells. Chem. Soc. Rev. 2013, 42, 291–304. [Google Scholar] [CrossRef] [PubMed]
- Wu, H.; Mayer, M.T.; Yang, J. Efficient dye-sensitized solar cells using an organic redox couple. J. Am. Chem. Soc. 2009, 131, 15617–15624. [Google Scholar]
- Kay, A.; Graetzel, M. Artificial photosynthesis. 1. photosensitization of titania solar cells with chlorophyll derivatives and related natural porphyrins. J. Phys. Chem. 1993, 97, 6272–6277. [Google Scholar]
- Sanusi, K.; Atewolara-Odule, O.C.; Sanyaolu, N.O.; Ibikunle, A.A.; Khoza, P.B.; Fatomi, N.O.; Fasanya, S.A.; Abuka, H.E.; Jesugbile, E.O.; Yilmaz, Y.; et al. Effects of solvents and substituents on the adsorptive and photovoltaic properties of porphyrins for dye-sensitized solar cell application: A theoretical consideration. Struct. Chem. 2023, 34, 891–904. [Google Scholar] [CrossRef]
- Dos Santos, T.; Morandeira, A.; Koops, S.; Mozer, A.J.; Tsekouras, G.; Dong, Y.; Wagner, P.; Wallace, G.; Earles, J.C.; Gordon, K.C.; et al. Injection limitations in a series of porphyrin dye-sensitized solar cells. J. Phys. Chem. C 2010, 114, 3276–3279. [Google Scholar]
- Bessho, T.; Zakeeruddin, S.M.; Yeh, C.; Diau, E.W.; Grätzel, M. Highly efficient mesoscopic dye-sensitized solar cells based on donor-acceptor-substituted porphyrins. Angew. Chem. Int. Ed. 2010, 49, 6646–6649. [Google Scholar] [CrossRef]
- Singh, J. (Ed.) Optical Properties of Condensed Matter and Applications; John Wiley & Sons: Hoboken, NJ, USA, 2006; Volume 6. [Google Scholar]
- Najm, A.S.; Alwash, S.A.; Sulaiman, N.H.; Chowdhury, M.S.; TechatoKim, K.; Kim, T.H.; Kim, C.H. N719 dye as a sensitizer for dye-sensitized solar cells (DSSCs): A review of its functions and certain rudimentary principles. Environ. Prog. Sustain. Energy 2022. [Google Scholar] [CrossRef]
- Sharma, G.; Dawo, C.; Mulchandani, K.; Kumawat, U.K.; Singhal, R.; Lal, C. Revealing the photophysics of N719 dye based dye-sensitized solar cell. Opt. Mater. 2023, 142, 114113. [Google Scholar] [CrossRef]
- Wu, Y.; Liu, J.-C.; Li, R.-Z.; Ci, C.-G. Different metal upper porphyrin based self-assembly sensitizers for application in efficient dye-sensitized solar cells. Polyhedron 2022, 211, 115573. [Google Scholar] [CrossRef]
- Mehboob, S.; AlMasoud, N.; Alomar, T.S.; Bhatti, M.H.; Khan, J.; Asif, H.M.; Khan, M.A.; El-Bahy, Z.M. Synthesis of donor-acceptor type 2D porphyrin based cyclic imides as an efficient photo catalysts in DSSC solar cell. Opt. Mater. 2024, 150, 115291. [Google Scholar] [CrossRef]
- Roy, P.; Ghosh, A.; Barclay, F.; Khare, A.; Cuce, E. Perovskite Solar Cells: A Review of the Recent Advances, Priyanka Roy, Aritra Ghosh, Fraser Barclay, Ayush Khare and Erdem Cuce. Coatings 2022, 12, 1089. [Google Scholar] [CrossRef]
- Basumatary, P.; Agarwal, P. A short review on progress in perovskite solar cells. Mater. Res. Bull. 2022, 149, 111700. [Google Scholar] [CrossRef]
- Allam, Z.; Boudaoud, C.; Bouchachia, B.; Soufi, A. Simulation of CdTe/CdS heterostructure with graphene contact. Mater. Today Proc. 2022, 51, 2152–2156. [Google Scholar] [CrossRef]
- Preet, S.; Smith, S.T. A comprehensive review on the recycling technology of silicon based photovoltaic solar panels: Challenges and future outlook. J. Clean. Prod. 2024, 448, 141661. [Google Scholar] [CrossRef]
- Okil, M.; Salem, M.S.; Abdolkader, T.M.; Shaker, A. From Crystalline to Low-cost Silicon-based Solar Cells: A Review. Silicon 2021, 14, 1895–1911. [Google Scholar] [CrossRef]













| Solar Panel | AVT | Light Power Density ) |
|---|---|---|
| Descending | ||
| Panel 1 | 80% | 55.40 |
| Panel 2 | 70% | 44.32 |
| Panel 3 | 60% | 31.02 |
| Panel 4 | 50% | 18.61 |
| Panel 5 | 40% | 9.30 |
| Ascending | ||
| Panel 1 | 40% | 55.40 |
| Panel 2 | 50% | 22.16 |
| Panel 3 | 60% | 11.08 |
| Panel 4 | 70% | 6.64 |
| Panel 5 | 80% | 4.65 |
| Solar Panel | AVT | FF | PCE | Light Power Density ) | |||
|---|---|---|---|---|---|---|---|
| Descending | |||||||
| Panel 1 | 80% | 10.977 | 0.047 | 0.305 | 0.452 | 1.89% | 55.40 |
| Panel 2 | 70% | 10.928 | 0.048 | 0.302 | 0.575 | 3.02% | 44.32 |
| Panel 3 | 60% | 10.927 | 0.019 | 0.110 | 0.511 | 1.57% | 31.02 |
| Panel 4 | 50% | 9.230 | 0.019 | 0.090 | 0.508 | 2.16% | 18.61 |
| Panel 5 | 40% | 9.624 | 0.007 | 0.047 | 0.664 | 2.24% | 9.30 |
| Ascending | |||||||
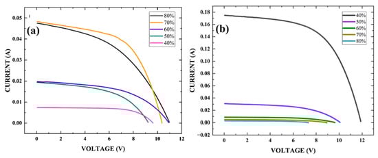
| Panel 1 | 40% | 11.880 | 0.174 | 1.197 | 0.576 | 9.60% | 55.40 |
| Panel 2 | 50% | 10.075 | 0.030 | 0.162 | 0.522 | 3.25% | 22.16 |
| Panel 3 | 60% | 9.624 | 0.008 | 0.046 | 0.557 | 1.87% | 11.08 |
| Panel 4 | 70% | 8.922 | 0.005 | 0.022 | 0.505 | 1.52% | 6.64 |
| Panel 5 | 80% | 7.319 | 0.002 | 0.011 | 0.538 | 1.05% | 4.65 |
| Solar Panel AVT | PCE Ascending | Solar Panel AVT | PCE Descending |
|---|---|---|---|
| 40% | 9.60% | 80% | 1.89% |
| 50% | 3.25% | 70% | 3.02% |
| 60% | 1.87% | 60% | 1.57% |
| 70% | 1.52% | 50% | 2.16% |
| 80% | 1.05% | 40% | 2.24% |
| NET PCE | 11.53% | 6.3% |
| # of PV | Voc (V) | Isc (mA) | Pmax (mW) | F.F. | Light Density (W/cm2) | Efficiency (%) |
|---|---|---|---|---|---|---|
| 1st layer | 0.689 | 13.245 | 4.880 | 0.535 | 0.100 | 4.880 |
| 2nd layer | 0.629 | 1.406 | 0.643 | 0.727 | 0.017 | 3.897 |
| 3rd layer | 0.574 | 0.428 | 0.269 | 1.098 | 0.012 | 2.187 |
| 4th layer | 0.550 | 0.396 | 0.136 | 0.625 | 0.010 | 1.317 |
| 5th layer | 0.519 | 0.241 | 0.082 | 0.658 | 0.006 | 1.395 |
| Technology | AVT (%) | PCE (%) | Stability | Cost | Adaptability | References |
|---|---|---|---|---|---|---|
| DSSC | 20–50 | 5–10 | Moderate | Low | High | [66,67,73,74,75] |
| Perovskite | 30–70 | 10–20 | Moderate | Moderate | High | [76,77] |
| OPV | 40–80 | 5–15 | Moderate | Low | Moderate | [12,13,14,15] |
| CdTe | 30–80 | 10–18 | High | Low | Toxicity | [78,79] |
| Si-based PV | 0–10 | 15–26 | Very High | Moderate | Low | [7,80] |
Disclaimer/Publisher’s Note: The statements, opinions and data contained in all publications are solely those of the individual author(s) and contributor(s) and not of MDPI and/or the editor(s). MDPI and/or the editor(s) disclaim responsibility for any injury to people or property resulting from any ideas, methods, instructions or products referred to in the content. |
© 2025 by the author. Licensee MDPI, Basel, Switzerland. This article is an open access article distributed under the terms and conditions of the Creative Commons Attribution (CC BY) license (https://creativecommons.org/licenses/by/4.0/).
Share and Cite
Shi, D. Three-Dimensional Solar Harvesting with Transparent Spectral Selective Photovoltaics in Agrivoltaics. Energies 2025, 18, 1788. https://doi.org/10.3390/en18071788
Shi D. Three-Dimensional Solar Harvesting with Transparent Spectral Selective Photovoltaics in Agrivoltaics. Energies. 2025; 18(7):1788. https://doi.org/10.3390/en18071788
Chicago/Turabian StyleShi, Donglu. 2025. "Three-Dimensional Solar Harvesting with Transparent Spectral Selective Photovoltaics in Agrivoltaics" Energies 18, no. 7: 1788. https://doi.org/10.3390/en18071788
APA StyleShi, D. (2025). Three-Dimensional Solar Harvesting with Transparent Spectral Selective Photovoltaics in Agrivoltaics. Energies, 18(7), 1788. https://doi.org/10.3390/en18071788
