Economic Analysis of Global CO2 Emissions and Energy Consumption Based on the World Kaya Identity
Abstract
1. Introduction
2. Materials and Methods
2.1. General Methodology
- –
- Data Collection: This study begins by gathering comprehensive datasets on global fossil CO2 emissions, disaggregated by source (coal, oil, natural gas) and region. Data on economic indicators such as GDP, industrial output, energy consumption, and population demographics are collected from reputable international sources such as the World Bank, the International Energy Agency (IEA), and national statistical agencies. Special attention is paid to data specific to European countries to provide a focused analysis from a European perspective. In this article, the authors investigated data on carbon dioxide emissions around the world by using data from 1969 to 2023.
- –
- Econometric Modeling: Econometric models are developed to analyze the relationship between fossil CO2 emissions and various economic factors. Time-series analysis techniques, such as autoregressive integrated moving average (ARIMA) or vector autoregression (VAR), are employed to capture the dynamic nature of the data. Multiple regression models are constructed to assess the impact of economic variables such as GDP, industrial activity, energy consumption, and population size on fossil CO2 emissions. The models are estimated using appropriate statistical software, ensuring robustness and reliability of the results.
- –
- Panel data analyses, such as fixed effects or random effects models, are utilized to account for cross-country heterogeneity and time series variations. Panel regressions are conducted to examine the influence of both time-varying and time-invariant factors on fossil CO2 emissions within the European region. Robustness checks are performed to validate the stability and consistency of the estimated coefficients.
- –
- Scenario analysis is conducted to assess the potential impact of policy interventions and technological advancements on future fossil CO2 emissions [23]. Different scenarios are formulated based on varying assumptions regarding economic growth trajectories, energy transition pathways, and policy measures. Sensitivity analysis is performed to evaluate the resilience of the findings under different scenarios and identify key uncertainties.
- –
- A comparative analysis is undertaken to benchmark the fossil CO2 emissions intensity of European countries against global counterparts. Key drivers of variations in emissions intensity are identified, considering factors such as the industrial structure, energy mix, technological innovation, and policy frameworks. Cross-country comparisons provide valuable insights into best practices and policy lessons for mitigating CO2 emissions while sustaining economic growth.
- –
- Interpretation and Policy Implications: The findings of the econometric analysis and scenario assessments are interpreted in light of their economic implications for European countries. Policy recommendations are formulated based on the empirical evidence, aiming to reconcile economic growth objectives with environmental sustainability goals. This study concludes with insights into the challenges and opportunities associated with reducing fossil CO2 emissions from a European perspective, highlighting avenues for further research and policy action.
2.2. Statistical Analysis of the World Kaya Identity
3. Results and Discussion
3.1. Cointegration Analysis: The Long-Term Relationship
| Test | 10 pct | 5 pct | 1 pct |
| r <= 4|2.65 | 7.52 | 9.24 | 12.97 |
| r <= 3|12.30 | 17.85 | 19.96 | 24.60 |
| r <= 2|31.42 | 32.00 | 34.91 | 41.07 |
| r <= 1|60.47 | 49.65 | 53.12 | 60.16 |
| r = 0|106.22 | 71.86 | 76.07 | 84.45 |
3.2. The Short-Term Effects
3.3. Correlation–Regression Method
3.4. Assessment of Model Adequacy and Hypothesis Testing
- –
- Costs of low-carbon energy technologies: analysis of the costs associated with implementing low-CO2 technologies, such as renewable energy sources, energy efficiency, and carbon capture, is important for assessing the economic efficiency of emissions reduction measures.
- –
- Internal and external costs of carbon permits: analysis of the economic implications of internal carbon permit markets or CO2 emissions trading systems can help determine the effectiveness of these mechanisms in incentivizing emissions reductions.
- –
- Cost of CO2 emissions offsetting: assessing the cost of CO2 emissions offsetting, particularly through offset projects, can help determine the value of carbon credits and their role in incentivizing investments in carbon projects.
- –
- Economic impacts of energy policies and regulations: analysis of the economic impacts of energy policies, such as emission standards or support for renewable energy, allows for an assessment of their impact on competitiveness and economic development.
- –
- Economic risks of carbon assets: analysis of risks associated with declining demand for coal, oil, and gas due to emissions regulation or technological change is important for investors and companies operating in carbon-intensive sectors.
- –
- Impact on employment and social stability: analysis of the economic impact of transitioning to clean energy systems on employment, social stability, and regional development allows for the consideration of social aspects of energy transitions.
- –
- Increase renewable energy usage: Europe can further increase the utilization of renewable energy sources such as solar and wind energy. Extensive investments in renewable energy will help reduce the dependency on coal and other fossil fuels, leading to a decrease in CO2 emissions.
- –
- Stimulation of energy efficiency: European countries can enhance measures to improve energy efficiency in industry, construction, and transportation. Investments in energy-efficient technologies and infrastructure will help reduce energy consumption and CO2 emissions.
- –
- Implementation of carbon targets: introducing carbon targets and an internal carbon market can incentivize companies to reduce CO2 emissions and innovate towards cleaner technologies.
- –
- Transitioning transport models: the proliferation of electric vehicles, the development of public transportation, and the promotion of cycling and walking mobility can help decrease CO2 emissions from transportation.
- –
- Promotion of a circular economy: Implementing circular economy principles can contribute to waste reduction and CO2 emissions, as well as create new opportunities for economic development. The overarching goal for Europe is to achieve carbon neutrality by 2050, requiring a comprehensive approach and cooperation at all levels of society.
4. Conclusions
- The Kaya Identity is an equation that expresses CO2 emissions as the product of four factors: population, GDP per capita, energy intensity (energy use per unit of GDP), and carbon intensity (CO2 emissions per unit of energy). The authors used cointegration analysis, which allowed us to assess the long-term equilibrium relationship between the involved factors and draw conclusions about the short-term effects of each factor. The database used by the authors included data from around the world from 1969 to 2023. Since the variables GDP per capita and energy intensity are available only in 10-year increments up to 1990, the authors linearly interpolated them and found a clear trend towards an increase in global CO2 emissions, GDP per capita, and the population and a slight trend towards a decrease in carbon and energy intensity. The authors logarithmized the Kaya identity to determine the linear relationship between the involved variables, performed the Johansen test for cointegration, and found one cointegration relationship between the variables to enter into the cointegration analysis. Thus, the authors found that the combination of the involved variables leads to a stable long-term equilibrium. The authors included a constant value in the long-run relationship, since all the variables involved show a trend in their original form, and the coefficients normalized to CO2 emissions can be standardized in another way. The smallest coefficient is found to be related to the population and the largest to carbon intensity.
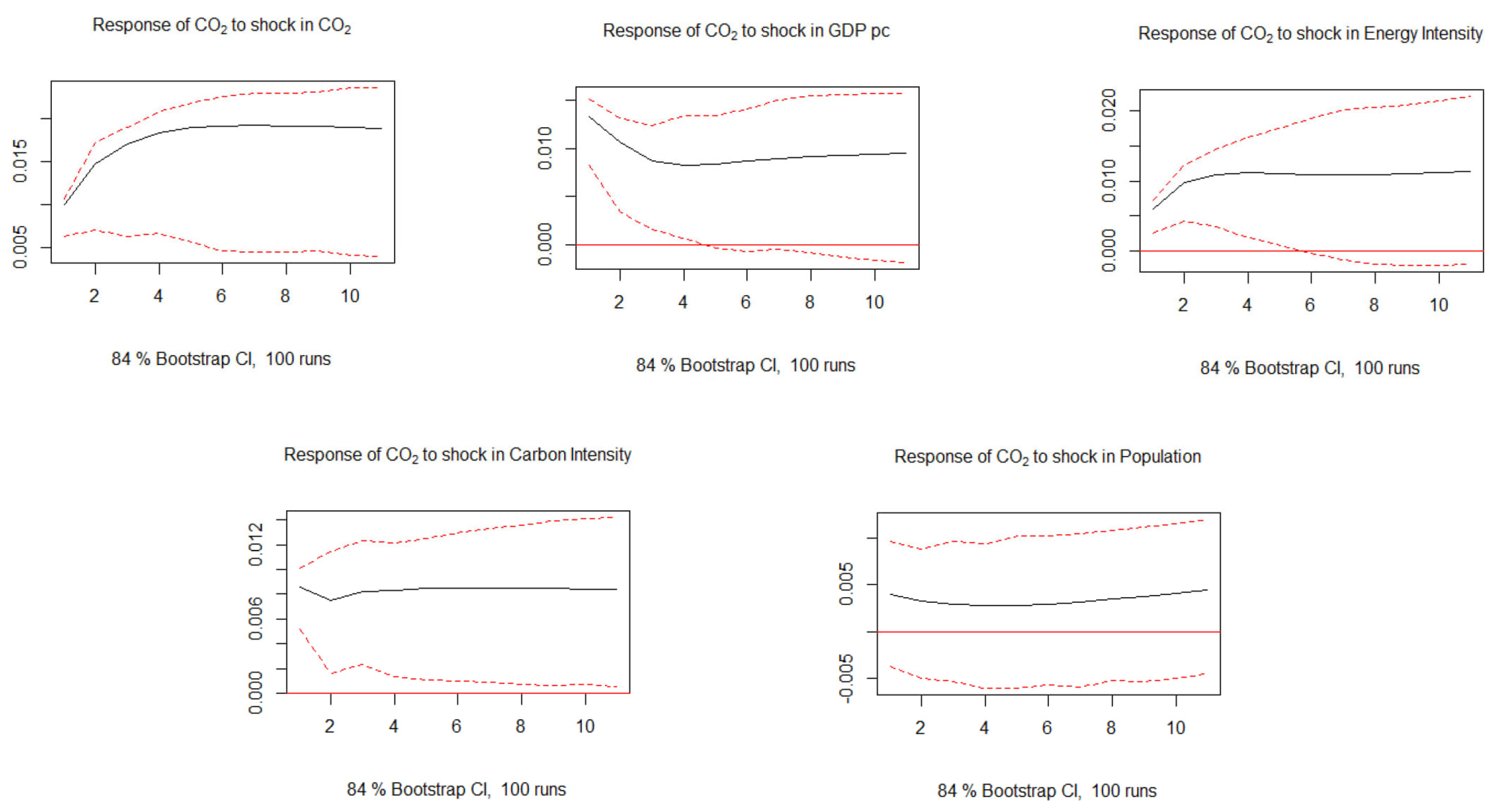
- Since the authors found significant positive effects of GDPpc, energy intensity, and carbon intensity on the impact and insignificant effects on the population, this implies that an unexpected increase in population is unlikely to have a short-term impact on CO2 emissions; that is, the responses to GDPpc and energy intensity diminish over time, while the shock to carbon intensity shows a significant impact even after 10 years. This is reasonable in the sense that both GDP and energy intensity increases can be mitigated by technological progress and thus show only a short-term positive impact on CO2 emissions. Carbon intensity in energy consumption is more important for the long-term change in CO2 emissions. For this reason, the authors examined the decomposition of energy consumption in detail, considering descriptive statistics over time and across sectors and countries. Kaya identification was applied to reveal how changes in the factors involved affect CO2 emissions over time; the authors estimated how CO2 emissions respond to changes in the relevant variables in the short term. After filtering out the long-term relationship, the short-term effects of a shock in one variable on CO2 emissions were determined. To do this, the authors transformed the VECM into a vector autoregressive (VAR) model and calculated impulse response functions. To do this, we applied the standard set up and determined structural relationships using short-term constraints; that is, we assume that the population is ordered first (does not respond to changes in any of the variables), and CO2 emissions are ordered last (respond to changes in all variables). The responses of CO2 emissions to all variables are pooled with 16% and 84% initial confidence intervals.
- The results of this study highlight the complex interplay between population dynamics and fossil CO2 emissions, underscoring the need for multifaceted approaches to address climate change and promote sustainable development. Understanding the drivers and consequences of increasing dependence on fossil fuels allows policymakers to formulate targeted measures to decouple economic growth from carbon emissions and promote a transition to renewable energy sources. The authors see several avenues for Europe to reduce the negative impact of CO2 emissions: increasing the use of renewable energy, promoting energy efficiency, implementing carbon emission targets, shifting to public transport models, and promoting a circular economy. The authors find a strong correlation between the population and fossil CO2 emissions. The calculated correlation coefficient of R = 0.96 indicates a strong positive relationship between the population and fossil CO2 emissions. Certainly, according to the authors’ well-founded claim, demographics have a significant impact on carbon dioxide emissions, underscoring the need for targeted policies to address the environmental impacts of population growth. The calculated correlation coefficient suggests that climate change mitigation efforts must take into account the role of population dynamics in shaping carbon emission trajectories. Strategies to reduce CO2 emissions should not only focus on technological innovation and policy interventions but also include population considerations to effectively address the root causes of emissions growth.
- Policy frameworks should prioritize investments in renewable energy, energy efficiency, and sustainable urban planning while also promoting access to education, healthcare, and family planning services to manage population growth sustainably. Addressing the interplay between population growth, economic development, and environmental sustainability requires integrated approaches that balance socio-economic objectives with environmental conservation goals. Such a study is extremely important for the current state of science, since a clear economic assessment of the negative effects of carbon dioxide is necessary for planning measures and costs in the ecological sphere, further correct (adequate) assessments of the impact on the health of the population, the prospective implementation of preventive measures at all levels (interstate, national, at the level of territorial communities, and at the object level), and financing measures to reduce the negative effects of carbon dioxide.
- Collaborative efforts to share best practices, transfer technology, and mobilize financial resources can facilitate the implementation of effective mitigation strategies and accelerate the transition to a low-carbon economy. Given the global nature of climate change, addressing the nexus between population dynamics and CO2 emissions requires coordinated action at the international level. While the correlation coefficient provides valuable insights into the relationship between population size and CO2 emissions, further research is needed to explore the underlying mechanisms driving this correlation. The author’s future studies will examine the role of socio-economic factors, technological advancements, and policy frameworks in shaping carbon emissions trajectories across different regions and time periods, providing evidence-based guidance for informed decision-making and climate action.
Author Contributions
Funding
Data Availability Statement
Conflicts of Interest
References
- Agenda 2030 for Sustainable Development. 2015. Available online: https://www.ticketforchange.org/become-a-changemaker-mooc (accessed on 1 January 2025).
- Charles, K.; Zack, G. Scenarios for Future Global Growth to 2050. Center for Global Development. Paper 634. 2023. Available online: https://www.cgdev.org/sites/default/files/scenarios-future-global-growth-2050.pdf (accessed on 13 March 2025).
- Statista—The Statistics Portal for Market Data. 2024. Available online: https://www.statista.com/ (accessed on 13 March 2025).
- The World Bank. The World Bank in Poland. Overview. 2023. Available online: https://www.worldbank.org (accessed on 9 October 2020).
- Wright, R.M.; Le Quéré, C.; Mayot, N.; Olsen, A.; Bakker, D.C.E. Fingerprint of Climate Change on Southern Ocean Carbon Storage. Glob. Biogeochem. Cycles 2023, 37, e2022GB007596. [Google Scholar] [CrossRef]
- Bae, I.; Park, S.; Shin, J.; Triolo, J.M.; Shin, S.G. Country-Specific Modeling of Methane Production and Emission Reduction Utilizing Pig Manure. Energies 2025, 18, 95. [Google Scholar] [CrossRef]
- Dula, M.; Kraszkiewicz, A. Theory and Practice of Burning Solid Biofuels in Low-Power Heating Devices. Energies 2025, 18, 182. [Google Scholar] [CrossRef]
- Edenhofer, O.; Steckel, J.C.; Jakob, M.; Bertram, C. Reports of coal’s terminal decline may be exaggerated. Environ. Res. Lett. 2018, 13, 024019. [Google Scholar] [CrossRef]
- Edenhofer, O.; Pichs-Madruga, R.; Sokona, Y.; Seyboth, K.; Kadner, S.; Zwickel, T.; Eickemeier, P.; Hansen, G.; Schlömer, S.; von Stechow, C. Renewable Energy Sources and Climate Change Mitigation: Special Report of the Intergovernmental Panel On Climate Change; Cambridge University Press: Cambridge, UK, 2012; Available online: https://books.google.com.ua/books?hl=en&lr=&id=AjP9sVg01zoC&oi=fnd&pg=PR9&dq=info:9AvGqqi0mp8J:scholar.google.com&ots=p01XS0iWGN&sig=K--6DPgp1CSDtf4GnobUWsgFaNY&redir_esc=y#v=onepage&q&f=false/ (accessed on 13 March 2025).
- Shironitta, K.; Okamoto, S.; Kagawa, S. Cross-country analysis of relationship between material input structures and consumption-based CO2 emissions. Environ. Econ. Policy Stud. 2019, 21, 533–554. [Google Scholar] [CrossRef]
- Bustos-Brinez, O.A.; Rosero Garcia, J. Clustering Analysis for Active and Reactive Energy Consumption Data Based on AMI Measurements. Energies 2025, 18, 221. [Google Scholar] [CrossRef]
- Dong, F.; Li, J.; Li, Z.; Chen, Y.; Zheng, L.; Lu, B.; Liu, Y. Exploring synergistic decoupling of haze pollution and carbon emissions in emerging economies: Fresh evidence from China. Environ. Dev. Sustain. 2024, 26, 17281–17318. [Google Scholar] [CrossRef]
- Stern, N. The Economics of Climate Change: The Stern Review. Cambridge University Press: Cambridge, UK, 2007; Volume 1, pp. 50–75. [Google Scholar]
- Yakymchuk, A.; Yakymchuk, O.; Popadynets, N.; Bilyk, R.; Yakubiv, V.; Maksymiv, Y.; Hryhoruk, I.; Irtyshcheva, I.; Husakovska, T.; Boiko, Y. Integral Assessment of the Level of Ukraine’s Economic Security: Modeling and Economic Analysis. Accounting 2020, 7, 381–390. [Google Scholar] [CrossRef]
- Yakymchuk, A. The Carbon Dioxide Emissions’ World Footprint: Diagnosis of Perspectives. Scientific Papers of Silesian University of Technology—Organization and Management Series—Issue. Wydaw. Politech. Śląskiej 2024, 195, 665–683. [Google Scholar] [CrossRef]
- Atstāja, D. Renewable Energy for Sustainable Development: Opportunities and Current Landscape. Energies 2025, 18, 196. [Google Scholar] [CrossRef]
- Distribution of Carbon Dioxide Emissions Worldwide in 2022, by Sector. 2024. Available online: https://www.statista.com/statistics/1129656/global-share-of-co2-emissions-from-fossil-fuel-and-cement/ (accessed on 13 March 2025).
- Nowak, C.; Kowalski, M. Impact of Renewable Energy Investments on Employment in Poland. Energy Policy 2019, 134, 110964. [Google Scholar]
- International Energy Agency (IEA). World Energy Outlook; International Energy Agency (IEA): Paris, France, 2020; Volume 3, pp. 50–75. [Google Scholar]
- Intergovernmental Panel on Climate Change (IPCC). IPCC Sixth Assessment Report. In Climate Change 2021: The Physical Science Basis; Intergovernmental Panel on Climate Change (IPCC): Geneva, Switzerland, 2021; Volume 1, pp. 200–250. [Google Scholar]
- Davis, S.J.; Caldeira, K.; Matthews, H.D. Implications of Existing Energy Infrastructure for Future CO2 Emissions Trajectories. Environ. Res. Lett. 2010, 5, 300–320. [Google Scholar]
- Statistics Poland GUS (sdg.gov.pl). Available online: https://sdg.gov.pl (accessed on 13 March 2025).
- Nwokolo, S.C.; Obiwulu, A.U.; Okonkwo, P.C. Africa’s Propensity for a Net Zero Energy Transition, 1st ed.; CRC Press: Boca Raton, FL, USA, 2024. [Google Scholar] [CrossRef]
- Yoichi, K.; Keiichi, Y. Environment, Energy, and Economy: Strategies for Sustainability; United Nations Univ. Press: Tokyo, Japan, 1997. [Google Scholar]
- Hepburn, C.; Stern, N.; Stiglitz, J.E. “Carbon pricing” special issue in the European economic review. Eur. Econ. Rev. 2020, 127, 103440. [Google Scholar] [CrossRef] [PubMed] [PubMed Central]
- Jiang, Y.; Ren, Z.; Lu, C.; Li, H.; Yang, Z. A region-based low-carbon operation analysis method for integrated electricity-hydrogen-gas systems. Appl. Energy 2024, 355, 122230. [Google Scholar] [CrossRef]
- Zhao, Q.; Han, F.; Huang, Y.; She, X.; You, Z.; Zhang, B. Research of the carbon footprint calculation and evaluation method based on the pattern microalgae for biodiesel production. Renew. Energy 2024, 231, 120912. [Google Scholar] [CrossRef]
- OECD. Global Debt Report 2024: Bond Markets in a High-Debt Environment; OECD Publishing: Paris, France, 2024. [Google Scholar] [CrossRef]
- Official Site of the European Statistics Service. 2024. Available online: https://eurostat.ec.europa (accessed on 13 March 2025).
- Organisation for Economic Co-Operation and Development (OECD). Gross National Income (GNI) Indicator; OECD: Paris, France, 2020; Available online: https://doi.org/10.1787/8a36773a-en (accessed on 13 March 2025).
- Lütkepohl, H. New Introduction to Multiple Time Series Analysis. Springer Books; Springer: Berlin/Heidelberg, Germany, 2005; ISBN 978-3-540-27752-1. [Google Scholar]
- European Commission (European Green Deal). European Green Deal: Roadmap to Sustainable Europe; European Commission: Brussels, Belgium, 2019; Volume 2, pp. 10–30. [Google Scholar]
- Jędrzejowska, K.; Wróbel, A. Gospodarka Światowa 2022–2023: Czas Niepewności, Niepokoju i Postępującej Fragmentacji. Rocznik Strategiczny. 2022. Available online: https://wnpism.uw.edu.pl/wp-content/uploads/2023/06/08_Gospodarka_KJedrzejowska_AWrobel.pdf (accessed on 13 March 2025).
- Official Site of the State Statistics Service of Ukraine. 2024. Available online: http://www.ukrstat.gov.ua (accessed on 13 March 2025).
- Tenga, X.; Lub, L.C.; Chiu, Y.-H. How the European Union reaches the target of CO2 emissions under the Paris Agreement. Eur. Plan. Stud. 2020, 28, 1836–1857. [Google Scholar] [CrossRef]
- Yakymchuk, A.; Rataj, M. Development of the green policy strategies of enterprises: A decent work. Econ. Environ. 2024, 89, 752. [Google Scholar] [CrossRef]
- Lewandowska, A.; Stopa, M. Do SME’s innovation strategies influence their effectiveness of innovation? Some evidence from the case of Podkarpackie as peripheral region in Poland. Equilibrium. Q. J. Econ. Econ. Policy 2019, 14, 521–536. [Google Scholar] [CrossRef]
- Lewandowska, A.; Pater, R.; Cywiński, Ł. Determinants of business innovation in the Regional Innovation System context. Policy implications for a less developed region. Stud. Reg. Lokal. 2019, 1, 5–27. [Google Scholar] [CrossRef]
- Annual Carbon Dioxide (CO2) Emissions Worldwide from 1940 to 2023. 2024. Available online: https://www.statista.com/statistics/276629/global-co2-emissions/ (accessed on 13 March 2025).
- Carbon Dioxide Emissions of the Most Polluting Countries Worldwide in 2010 and 2022. 2024. Available online: https://www.statista.com/statistics/270499/co2-emissions-in-selected-countries/ (accessed on 13 March 2025).
- Chen, M.A.; Carré, F. The Informal Economy Revisited Examining the Past, Envisioning the Future; Routledge: Oxfordshire, UK, 2020; 308p, Available online: https://library.oapen.org/bitstream/id/43b3c6c8-6a94-4fbe-94a8-a6580b73be2c/9780367191511_text.pdf (accessed on 13 March 2025)ISBN 978-0-367-19151-1.
- CO2 Emissions per Capita vs. Population Growth. 2021. Available online: https://ourworldindata.org/grapher/co-emissions-per-capita-vs-population-growth (accessed on 13 March 2025).
- Average Monthly Carbon Dioxide (CO2) Levels in the Atmosphere Worldwide from 1990 to 2024. 2024. Available online: https://www.statista.com/statistics/1091999/atmospheric-concentration-of-co2-historic/ (accessed on 13 March 2025).
- Wright, R.M.; Quéré, C.L.; Mayot, N.; Olsen, A.; Bakker, D. Fingerprint of climate change on Southern Ocean carbon storage. ESS Open Arch. 2022, 12. [Google Scholar] [CrossRef]
- Hoang, K.T.; Thilker, C.A.; Knudsen, B.R.; Imsland, L.S. A hierarchical framework for minimising emissions in hybrid gas-renewable energy systems under forecast uncertainty. Appl. Energy 2024, 373, 123796. [Google Scholar] [CrossRef]
- Ritchie, H.; Rosado, P.; Roser, M. CO2 and Greenhouse Gas Emissions. Data Adapted from Global Carbon Project, Bolt and van Zanden. 2023. Available online: https://ourworldindata.org/grapher/co2-intensity (accessed on 13 March 2025).
- Fischer, C.; Newell, R. Environmental and technology policies for climate mitigation. J. Environ. Econ. Manag. 2008, 55/2, 142–162. Available online: https://ideas.repec.org/a/eee/jeeman/v55y2008i2p142-162.html (accessed on 13 March 2025). [CrossRef]
- Roser, M.; Arriagada, P.; Hasell, J.; Ritchie, H.; Ortiz-Ospina, E. Economic Growth. Data adapted from World Bank, Bolt and van Zanden, Angus Maddison. 2023. Available online: https://ourworldindata.org/grapher/global-gdp-over-the-long-run (accessed on 13 March 2025).
- Polish Ministry of Climate and Environment. National Action Plan for Renewable Energy Sources; Ministry of Climate and Environment: Warsaw, Poland, 2020. [Google Scholar]
- Smith, A.; Johnson, B. Renewable Energy Policies and Job Creation: The Case of Poland. Renew. Energy 2020, 112, 14–22. [Google Scholar]
- Yakymchuk, A.; Popadynets, N.; Valyukh, A.; Skrypko, T.; Levkov, K. Rural “green” tourism as a driver of local economy development in the process of decentralization of power. Agric. Resour. Econ. 2021, 7, 232–259. [Google Scholar]
- Yakymchuk, A.; Valyukh, A.; Pustovit, N.; Yakymchuk, O. Development of the Nature-Reserved Fund of Ukraine on the Basis of the Best Polish Experience. In Proceedings of the 2022 IX International Scientific Conference Determinants of Regional Development, Pila, Poland, 27–28 October 2022; pp. 79–95. [Google Scholar] [CrossRef]
- What are the Sustainable Development Goals? 2024. Available online: https://www.sightsavers.org/policy-and-advocacy/global-goals/?gad_source=1&gclid=Cj0KCQiAy9msBhD0ARIsANbk0A8x3Z2OnYDAmW8AnYh0x_J1zig90-bAHcaScOs_SQ2D5UOCrks7GksaApPaEALw_wcB (accessed on 13 March 2025).
- Griffiths, I.; Wang, R.; Ling-Chin, J.; Roskilly, A.P. Solid oxide fuel cells with integrated direct air carbon capture: A techno-economic study. Energy Convers. Manag. 2024, 315, 118739. [Google Scholar] [CrossRef]
- Organisation for Economic Co-operation and Development (OECD). OECD Data: Gross National Income. Available online: https://data.oecd.org (accessed on 13 March 2025).
- Poland—Contribution of Travel and Tourism to GDP as a Share of GDP. Poland Contribution of Travel and Tourism to GDP (% of GDP), 1995–2020. 2019. Available online: http://www.knoema.com (accessed on 13 March 2025).






| Year | Fossil CO2 Emissions, mln Tons | Population, mln Persons |
|---|---|---|
| 1969 | 15,669.7 | 3760.1 |
| 1970 | 15,678.8 | 3770.2 |
| 1971 | 15,679.7 | 3773.4 |
| 1972 | 16,464.9 | 3844.8 |
| 1973 | 17,441.8 | 3920.3 |
| 1974 | 17,396.4 | 3995.5 |
| 1975 | 17,346.5 | 4069.4 |
| 1976 | 18,329 | 4142.5 |
| 1977 | 18,874.3 | 4215.7 |
| 1978 | 19,477.4 | 4289.7 |
| 1979 | 20,031.9 | 4365.6 |
| 1980 | 19,803.8 | 4444 |
| 1981 | 19,439.7 | 4524.6 |
| 1982 | 19,184.2 | 4607.9 |
| 1983 | 19,301.7 | 4691.9 |
| 1984 | 19,904.7 | 4775.8 |
| 1985 | 20,176.7 | 4861.7 |
| 1986 | 20,530.3 | 4950 |
| 1987 | 21,195.4 | 5040.9 |
| 1988 | 21,945.7 | 5132.3 |
| 1989 | 22,341.8 | 5223.7 |
| 1990 | 22,450.4 | 5316.2 |
| 1991 | 2259.1 | 5406.2 |
| 1992 | 22,488.6 | 5492.7 |
| 1993 | 22,664.3 | 5577.4 |
| 1994 | 22,898.9 | 5660.7 |
| 1995 | 23,619.1 | 5743.2 |
| 1996 | 24,075.9 | 5825.1 |
| 1997 | 24,398.3 | 5906.5 |
| 1998 | 24,541.6 | 5987.3 |
| 1999 | 24,733.7 | 6067.8 |
| 2000 | 25,593.7 | 6148.9 |
| 2001 | 25,877.9 | 6230.8 |
| 2002 | 26,350.1 | 6312.4 |
| 2003 | 27,513.9 | 6393.9 |
| 2004 | 28,729.3 | 6475.8 |
| 2005 | 29,769 | 6558.2 |
| 2006 | 30,756.2 | 6641.4 |
| 2007 | 31,916.5 | 6725.9 |
| 2008 | 32,124.4 | 6811.6 |
| 2009 | 31,770.5 | 6898.3 |
| 2010 | 33,587.8 | 6985.6 |
| 2011 | 34,578.4 | 7073.1 |
| 2012 | 34,790.6 | 7161.7 |
| 2013 | 35,416.6 | 7250.6 |
| 2014 | 35,686.8 | 7339 |
| 2015 | 35,631.1 | 7426.6 |
| 2016 | 35,753.3 | 7513.5 |
| 2017 | 36,030 | 7599.8 |
| 2018 | 36,770 | 7683.8 |
| 2019 | 37,040 | 7764.9 |
| 2020 | 35,010 | 7840.9 |
| 2021 | 36,820 | 7909.3 |
| 2022 | 37,150 | 7975.1 |
| 2023 | 37,550 | 8045.3 |
| Indicator | Regression Statistics of the Model |
|---|---|
| Observations | 53 |
| Multiple R | 0.980622763 |
| R-squared | 0.961621004 |
| Normalized R-squared | 0.960868474 |
| Standard error | 1379670296 |
| Country | GDP (Trillion $) | CO2 Emissions (Metric tons per Capita) | Renewable Energy Share (%) | Carbon Intensity, kg CO2 |
|---|---|---|---|---|
| United States | 21.43 | 16.6 | 11.6 | 0.301 |
| China | 14.34 | 7.1 | 26.8 | 0.702 |
| European Union | 18.71 | 6.4 | 18.9 | 0.342 |
| India | 2.87 | 1.9 | 19.8 | 0.551 |
| Germany | 4.42 | 8.9 | 14.8 | 0.203 |
| Brazil | 1.87 | 2.1 | 42.3 | 0.112 |
| Perspective on Reducing the Negative Impact of CO2 | Content of Perspective on Reducing the Negative Impact of CO2 from Fossil Fuels | Source |
|---|---|---|
| Transition to renewable energy sources | A fundamental strategy for mitigating CO2 emissions involves transitioning from fossil fuels to renewable energy sources such as solar, wind, and hydroelectric power. This shift not only reduces greenhouse gas emissions but also promotes energy security and independence. | [1,12,14,15,20,22,23,25,26,40,42,43,44,48,49,50,51] |
| Energy efficiency improvements | Enhancing energy efficiency across various sectors, including industry, transportation, and buildings, can significantly reduce the demand for fossil fuels and associated CO2 emissions. Investments in energy-efficient technologies and practices offer cost-effective solutions for lowering emissions while improving productivity. | [4,5,15,16,17,28,31,34,35,38,39,41,43,45,48,51,52] |
| Carbon pricing mechanisms | Implementing carbon pricing mechanisms, such as carbon taxes or emissions trading systems, internalizes the social cost of CO2 emissions and provides economic incentives for emission reductions. By placing a price on carbon, these mechanisms encourage businesses and consumers to adopt cleaner technologies and behaviors. | [5,8,14,15,16,17,24,33,34,35,36,37,42,43,47,50,52,53] |
| Technological innovation and research | Continued investment in research and development of low-carbon technologies is essential for accelerating the transition away from fossil fuels. Innovations in renewable energy, carbon capture and storage (CCS), and sustainable transportation offer promising solutions for reducing CO2 emissions while fostering economic growth. | [3,6,7,9,14,15,20,24,26,28,34,39,41,44,50,51,52,53] |
| Policy support and international cooperation | Strong policy frameworks at the national and international levels are critical for driving emissions reductions and promoting clean energy transitions. Governments play a central role in setting ambitious targets, implementing supportive policies, and providing incentives for clean energy investments. International cooperation is also vital for addressing transboundary environmental challenges and promoting global climate action. | [5,14,15,17,19,22,23,28,32,36,40,41,46,50,51,53,54] |
| Decentralized energy systems | Transitioning towards decentralized energy systems, characterized by distributed generation and localized energy production, can enhance resilience, reduce transmission losses, and facilitate the integration of renewable energy sources. Community-led initiatives and decentralized energy solutions empower local stakeholders and promote sustainable development. | [4,11,13,14,25,32,33,35,39,43,49,50,55,56] |
| Behavioral change and public awareness | Promoting public awareness and fostering behavioral change are essential components of efforts to reduce CO2 emissions. Education, outreach campaigns, and incentives for sustainable behaviors can mobilize individuals and communities to adopt environmentally friendly practices, such as energy conservation, recycling, and alternative transportation modes. | [4,9,11,13,14,15,17,19,21,26,28,30,31,35,50,51,54] |
| Natural climate solutions | Harnessing the potential of natural climate solutions, such as reforestation, afforestation, and sustainable land management, can sequester carbon dioxide from the atmosphere and mitigate the impacts of climate change. Protecting and restoring ecosystems, including forests, wetlands, and mangroves, not only mitigates CO2 emissions but also enhances biodiversity and ecosystem services. | [1,6,9,10,13,14,15,16,22,29,34,35,39,42,48,49] |
| Just transition and social equity | Transitioning to a low-carbon economy must be accompanied by efforts to ensure social equity and address the needs of vulnerable communities. A just transition framework emphasizes fair employment opportunities, social safety nets, and inclusive decision-making processes to mitigate the social and economic impacts of decarbonization. | [2,7,8,10,11,12,13,14,15,17,20,26,34,35,37,38,40,45,48,51,53] |
| Long-term planning and resilience building | Long-term planning and resilience building are essential for adapting to climate change and minimizing its adverse effects. Integrated climate risk assessments, infrastructure investments, and adaptive management strategies enhance resilience to climate-related hazards and uncertainties, reducing the vulnerability of communities and ecosystems. | [4,5,6,11,14,15,17,18,24,25,26,30,31,33,35,36,40,41,42,44,45,46,48,50,51,52,53,56]; |
Disclaimer/Publisher’s Note: The statements, opinions and data contained in all publications are solely those of the individual author(s) and contributor(s) and not of MDPI and/or the editor(s). MDPI and/or the editor(s) disclaim responsibility for any injury to people or property resulting from any ideas, methods, instructions or products referred to in the content. |
© 2025 by the authors. Licensee MDPI, Basel, Switzerland. This article is an open access article distributed under the terms and conditions of the Creative Commons Attribution (CC BY) license (https://creativecommons.org/licenses/by/4.0/).
Share and Cite
Yakymchuk, A.; Maxand, S.; Lewandowska, A. Economic Analysis of Global CO2 Emissions and Energy Consumption Based on the World Kaya Identity. Energies 2025, 18, 1661. https://doi.org/10.3390/en18071661
Yakymchuk A, Maxand S, Lewandowska A. Economic Analysis of Global CO2 Emissions and Energy Consumption Based on the World Kaya Identity. Energies. 2025; 18(7):1661. https://doi.org/10.3390/en18071661
Chicago/Turabian StyleYakymchuk, Alina, Simone Maxand, and Anna Lewandowska. 2025. "Economic Analysis of Global CO2 Emissions and Energy Consumption Based on the World Kaya Identity" Energies 18, no. 7: 1661. https://doi.org/10.3390/en18071661
APA StyleYakymchuk, A., Maxand, S., & Lewandowska, A. (2025). Economic Analysis of Global CO2 Emissions and Energy Consumption Based on the World Kaya Identity. Energies, 18(7), 1661. https://doi.org/10.3390/en18071661

