Viscous Dissipation Effects and Developing Heat Transfer for Fully Developed Power-Law Fluid Flow in the Entrance Region of a Tube
Abstract
1. Introduction
2. Model
2.1. Governing Equations
2.2. Approximate Temperature Profile
2.3. Integral Energy Equation
2.4. Fully Developed Temperature Profile
2.5. Nusselt Number
3. Solution Methodology
3.1. Asymptotic Solution
3.2. Fully Developed Nusselt Number and Thermal Shape Factor
3.3. Numerical Solution
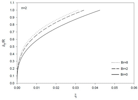
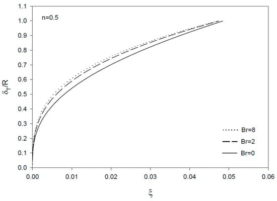
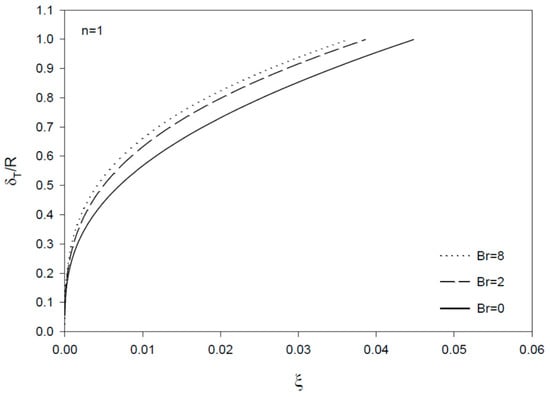
4. Results and Discussion
5. Conclusions
- The present model for developing heat transfer and developed power-law fluid flow in a heated tube subject to a uniform flux (isoflux Graetz–Brinkman problem) is based on the inlet-filled region concept and accounts for viscous dissipation.
- An integral method is used in the two regions forming the thermal entrance region: a thermal inlet region where the thermal boundary layer develops, and a thermally filled region where the centerline temperature keeps changing with thermal effects occurring in the whole tube cross section.
- The results include profiles for the dimensionless wall, bulk, and center line temperatures, Nusselt number, boundary layer thickness, and thermal shape factor, in addition to the dimensionless thermal inlet and entrance regions lengths for different values of the power-law index and Brinkman number.
- The model provides new and extensive results for the Graetz–Brinkman problem (Br ≠ 0) for power-law fluid flow in a tube subject to uniform heating flux and uniform inlet temperature. The model is validated against available published results (Br = 0 case) in Figure 2, Figure 3, Figure 5 and Figure 7 and the derived fully developed solution (expressions for fully developed values for the Nusselt number and thermal shape factor in Section 3.2 and dimensionless centerline temperature gradient in Section 4).
- The model can be used to estimate the entrance region length and evaluate temperature profiles in order to prevent fluid overheating in tubes subject to uniform heating and viscous dissipation.
- The computational task required using the present model is minimal as the model is essentially analytical.
- The present model applies to developing heat transfer for fully developed laminar power-law fluid flow in the case of uniform heating flux at the wall and uniform inlet temperature. Since the model is based on boundary layer theory, and axial conduction effects are neglected, the Reynolds and Peclet numbers are assumed sufficiently large. For large Prandtl numbers, the present solution can be considered as a good approximation for simultaneously developing power-law fluid flow and heat transfer, as the hydrodynamic entrance region length is significantly smaller than the thermal one at a large Prandtl number.
- Following the research works in [22,23], analysis and experimentation are recommended for nonisothermal heat transfer investigations including viscous effects to investigate solvability, uniqueness of solution, and stability. Further studies can also provide data for comparison with the present model in the case where viscous dissipation cannot be neglected. To the author’s knowledge, the published results are limited to one reference [18], where Re = 500 and Pr = 10 for the different problem of simultaneously developing power-law fluid flow and heat transfer, in which case the present model can represent a good approximation subject to the requirement of a large Prandtl number for the abovementioned reason.
Funding
Data Availability Statement
Acknowledgments
Conflicts of Interest
Nomenclature
| A | Constant defined in Equation (18) |
| B | Constant defined in Equation (18) |
| b0 − b4 | Approximate temperature profile coefficients |
| Br | Brinkman number, |
| cp | Specific heat capacity at constant pressure |
| C0, C2 | Fully developed temperature profile coefficients defined in Equation (19) |
| F | Defined in Equations (33) and (39) |
| g | Defined in Equations (32) and (38) |
| h | Convective heat transfer coefficient |
| I | Integrals defined in Equation (35) |
| k | Fluid thermal conductivity |
| K | Power-law fluid consistency index |
| n | Power-law fluid index |
| Nu | Nusselt number |
| p | q + 2 |
| P | Pressure |
| Pr | Prandtl number defined in Equation (13) |
| Pe | Re Pr |
| q | 1 + (1/n) |
| q0 | Uniform heat flux at the wall |
| r | Radial coordinate |
| R | Inner radius of the tube |
| Re | Reynolds number |
| T | Temperature |
| T0 | Entrance temperature |
| Tc | Centerline temperature |
| Tw | Temperature at the wall |
| Tb | Bulk temperature |
| Dimensionless temperature, | |
| Dimensionless fully developed temperature defined in Equation (18) | |
| T* | Dimensionless temperature, |
| u | Velocity axial component |
| u/Uc | |
| Uc/U0 | |
| U0 | Entrance velocity |
| v | Velocity radial component |
| x | Axial coordinate |
| y | Distance from the wall |
| Greek letters | |
| α | Thermal diffusivity, k/(ρcp) |
| ξ | Dimensionless x defined in Equation (12), x/(R Re Pr) |
| ξf | Dimensionless axial coordinate marking the beginning of the filled region, (x − xf)/(R Re Pr) |
| ηT | y/δT |
| ΓT | Thermal shape factor |
| ρ | Fluid density |
| ε | r/R |
| χ | Dimensionless axial distance defined in Equation (15) |
| δT | Thermal boundary layer thickness |
| Dimensionless thermal boundary layer thickness, δT/R | |
| θ | Dimensionless wall temperature, (T − T0)/(q0R/k) |
| Subscripts | |
| b | Bulk |
| c | Centerline |
| fd | Fully developed |
| f | Beginning of the filled region |
| w | Wall |
| ∞ | Core zone in the thermal inlet region |
References
- Manglik, R.M.; Prusa, J. Viscous Dissipation in Non-Newtonian Flows: Implications for the Nusselt Number. J. Thermophys. Heat Transf. 1995, 9, 733–742. [Google Scholar] [CrossRef]
- Bird, R.; Stewart, W.; Lightfoot, E. Transport Phenomena, 2nd ed.; John Wiley and Sons: New York, NY, USA, 2007. [Google Scholar]
- Mandapati, M.J.K. Effect of axial conduction and viscous dissipation on heat transfer for laminar flow through a circular pipe. Perspect. Sci. 2016, 8, 61–65. [Google Scholar] [CrossRef][Green Version]
- Khan, M.W.S.; Ali, N. Thermal entry flow of power-law fluid through ducts with homogeneous slippery wall(s) in the presence of viscous dissipation. Int. Commun. Heat Mass Transf. 2021, 120, 105041. [Google Scholar] [CrossRef]
- Siegel, R.; Sparrow, E.M.; Hallman, T.M. Steady laminar heat transfer in a circular tube with prescribed wall heat flux. Appl. Sci. Res. 1958, 7, 386–392. [Google Scholar] [CrossRef]
- Salazar, A.; Campo, A.; Schuler, C. On a solution of the Graetz-Nusselt problem and its extension with uniform wall heating. Heat Mass Transf. 1988, 22, 141–146. [Google Scholar] [CrossRef]
- Ou, J.W.; Cheng, K.C. Viscous dissipation effects on thermal entrance region heat transfer in pipes with uniform wall heat flux. App. Sci. Res. 1973, 28, 289–301. [Google Scholar] [CrossRef]
- Bird, R.B. Zur Theorie des Wärmeübergangs an nicht-Newtonsche Flüssigkeiten bei laminarer Rohrströmung. Chem. Ing. Tech. 1959, 31, 569–572. [Google Scholar] [CrossRef]
- Lyche, B.C.; Bird, R.B. The Graetz-Nusselt problem for a power-law non Newtonian fluid. Chem. Eng. Sci. 1956, 6, 35–41. [Google Scholar] [CrossRef]
- Cotta, R.M.; Özişik, M.N. Laminar forced convection to non-Newtonian fluids in ducts with prescribed wall heat flux. Int. Commun. Heat Mass Transf. 1986, 13, 325–334. [Google Scholar] [CrossRef]
- Khellaf, K.; Lauriat, G. A new analytical solution for heat transfer in the entrance region of ducts: Hydrodynamically developed flows of power-law fluids with constant wall temperature. Int. J. Heat Mass Transf. 1997, 40, 3443–3447. [Google Scholar] [CrossRef]
- ValkÓ, P.P. Solution of the Graetz–Brinkman problem with the Laplace transform Galerkin method. Int. J. Heat Mass Transf. 2005, 48, 1874–1882. [Google Scholar] [CrossRef]
- Barletta, A.; Magyari, E. Forced convection with viscous dissipation in the thermal entrance region of a circular duct with prescribed wall heat flux. Int. J. Heat Mass Transf. 2007, 50, 26–35. [Google Scholar] [CrossRef]
- Dehkordi, A.M.; Memari, M. Transient and steady-state forced convection to power-law fluids in the thermal entrance region of circular ducts: Effects of viscous dissipation, variable viscosity, and axial conduction. Energy Convers. Manag. 2010, 51, 1065–1074. [Google Scholar] [CrossRef]
- Al-Ali, H.H.; Selim, M.S. Analysis of laminar flow forced convection heat transfer with uniform heating in the entrance region of a circular tube. Can. J. Chem. Eng. 1992, 70, 1101–1107. [Google Scholar] [CrossRef]
- Chebbi, R.; Al-Ali, H.H.; Selim, M.S. Simultaneously developing laminar flow and heat transfer in the entrance region of a circular tube with constant wall temperature. Chem. Eng. Commun. 1997, 160, 59–70. [Google Scholar] [CrossRef]
- Hassan, M.F.; Chebbi, R. Analysis of heat transfer for simultaneously developing temperature profile and fluid flow of power-law fluids in the entrance region of a tube. Int. J. Thermofluids 2022, 16, 100240. [Google Scholar] [CrossRef]
- Etemad, S.G. Heat Transfer to Viscous Non-Newtonian FIuids in Non-Circular Ducts. Ph.D. Thesis, McGilI University, Montreal, QC, Canada, 1995. [Google Scholar]
- Ishizawa, S. The Axi-Symmetric Laminar Flow in an Arbitrarily Shaped Narrow Gap: (2nd Report, Theoretical Analysis for the Downstream Region). Bull. JSME 1966, 9, 86–103. [Google Scholar] [CrossRef]
- Mohanty, A.K.; Asthana, S.B.L. Laminar flow in the entrance region of a smooth pipe. J. Fluid Mech. 1979, 90, 433–447. [Google Scholar] [CrossRef]
- Chebbi, R. Laminar flow of power-law fluids in the entrance region of a pipe. Chem. Eng. Sci. 2002, 57, 4435–4443. [Google Scholar] [CrossRef]
- Baranovskii, E.S. The stationary Navier–Stokes–Boussinesq system with a regularized dissipation function. Math. Notes 2024, 115, 670–682. [Google Scholar] [CrossRef]
- Baranovskii, E.S.; Shishkina, O.Y. Generalized Boussinesq system with energy dissipation: Existence of stationary solutions. Mathematics 2024, 12, 756. [Google Scholar] [CrossRef]
- Press, W.; Flannery, B.; Teukolsky, S.; Vetterling, W. Numerical Recipes in FORTRAN 77: The Art of Scientific Computing, 2nd ed.; Cambridge University Press: Cambridge, UK, 1986. [Google Scholar]
- McKillop, A.A. Heat transfer for laminar flow of non-Newtonian fluids in entrance region of a tube. Int. J. Heat Mass Transf. 1964, 7, 853–862. [Google Scholar] [CrossRef]















| b0 | |
| b1 | −1 |
| b2 | |
| b3 | |
| b4 |
Disclaimer/Publisher’s Note: The statements, opinions and data contained in all publications are solely those of the individual author(s) and contributor(s) and not of MDPI and/or the editor(s). MDPI and/or the editor(s) disclaim responsibility for any injury to people or property resulting from any ideas, methods, instructions or products referred to in the content. |
© 2025 by the author. Licensee MDPI, Basel, Switzerland. This article is an open access article distributed under the terms and conditions of the Creative Commons Attribution (CC BY) license (https://creativecommons.org/licenses/by/4.0/).
Share and Cite
Chebbi, R. Viscous Dissipation Effects and Developing Heat Transfer for Fully Developed Power-Law Fluid Flow in the Entrance Region of a Tube. Energies 2025, 18, 1357. https://doi.org/10.3390/en18061357
Chebbi R. Viscous Dissipation Effects and Developing Heat Transfer for Fully Developed Power-Law Fluid Flow in the Entrance Region of a Tube. Energies. 2025; 18(6):1357. https://doi.org/10.3390/en18061357
Chicago/Turabian StyleChebbi, Rachid. 2025. "Viscous Dissipation Effects and Developing Heat Transfer for Fully Developed Power-Law Fluid Flow in the Entrance Region of a Tube" Energies 18, no. 6: 1357. https://doi.org/10.3390/en18061357
APA StyleChebbi, R. (2025). Viscous Dissipation Effects and Developing Heat Transfer for Fully Developed Power-Law Fluid Flow in the Entrance Region of a Tube. Energies, 18(6), 1357. https://doi.org/10.3390/en18061357
