Optimization of pH Controller Performance for Industrial Cooling Towers via the PSO–MANFIS Hybrid Algorithm
Abstract
1. Introduction
2. System Description and Design
2.1. Background
2.2. pH Loop Components of Cooling Tower
2.2.1. pH Sensor
2.2.2. pH Transmitter
2.2.3. Sulfuric Acid Pump
2.3. Replacement of the Existing Sulfuric Acid Pump
2.3.1. The Reasons for Replacement
- The existing pump was very old.
- The cooling towers need 1000 L/day or 42 L/hour of sulfuric acid.
- The pump operated with a start/stop mechanism at a constant speed of 1400 rpm.
- The pump’s flow rate was very high, at 65 L/min, which exceeds the cooling tower’s needs.
- The existing pump dosed a large quantity of sulfuric acid in a very short time, which causes corrosion in the mechanical equipment, while the new dosing pump is specifically designed to gradually dose sulfuric acid.
2.3.2. The Adjustment of the New Sulfuric Acid Dosing Pump’s Valve Stroke
- Electric motor: operates at a constant speed of 1400 rpm.
- Control valve: opens from 0% to 100%.
2.4. Data Collection and System Modeling
2.4.1. Real-Time Open-Loop pH Data Collection
2.4.2. Yokogawa Data Viewer Software
2.4.3. pH Data Transfer Stages
- 1st stage: After the pH data recording, the data were transferred from the recorder to the laptop using flash RAM media.
- 2nd stage: The data were opened using Yokogawa Data Viewer software, as shown in Figure 20, and transferred to a Microsoft Excel file, as shown in Figure 21.
- 3rd stage: The data were copied and pasted from the Microsoft Excel file to MATLAB, as shown in Figure 21. At this stage, the data became ready for use.
2.4.4. Real-Time pH Data Collection Method
- Optimal set point calculation:
- The methodology of the experiment:
- -
- Circulating water with a specific pH.
- -
- Stopping the sulfuric acid dosing pump until the pH value of the circulating water reaches the maximum value of 8.31.
- -
- Setting the control valve stroke to 15% to achieve the optimal set point.
- -
- Starting the pump to reduce the pH value to the optimal set point of 7.45, the target value.
- -
- Collecting pH data from the maximum pH (8.31) to the optimal set point (7.45). The experimental data are between cursors A and B of the Yokogawa Data Viewer software. Figure 20 displays the real-time pH data between cursors A and B using the Yokogawa Data Viewer software. Figure 21 shows the real-time pH data obtained from the titration circuit in an Excel file.
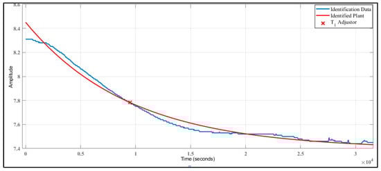
2.4.5. Modeling of the pH System in Cooling Towers
2.5. Open-Loop and Closed-Loop Control System Definitions
2.5.1. Open-Loop Control System
2.5.2. Closed-Loop Control System
2.6. Energy Savings Based on Closed-Loop Control
2.6.1. Manual Pump Operation
2.6.2. Automatic Pump Operation
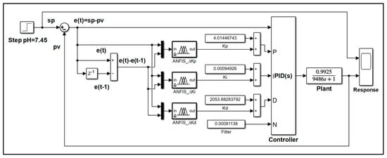
2.7. PID Controller Design
2.7.1. MATLAB Tuner
2.7.2. MANFIS Tuner
- Fuzzy logic concept:
- ANFIS concept:
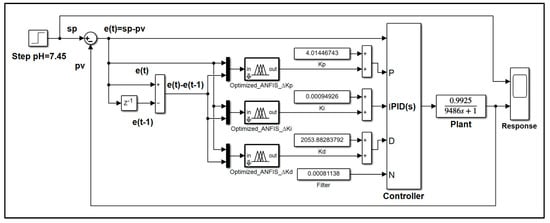
2.7.3. PSO–MANFIS Tuner
3. Results and Discussion
4. Conclusions
Author Contributions
Funding
Data Availability Statement
Acknowledgments
Conflicts of Interest
References
- Afshari, F.; Dehghanpour, H. A Review Study On Cooling Towers; Types, Performance and Application. ALKU J. Sci. 2019, NSP2018 Special Issue, 1–10. [Google Scholar]
- Alhamid, M.I.; Bismo, S.; Nainggolan, F.; Yatim, A. Analysis of the effectiveness of ozonation on corrosion and bacteria on closed system cooling towers. AIP Conf. Proc. 2019, 2062, 020046. [Google Scholar] [CrossRef]
- Zhang, H.; Liu, D.; Zhao, L.; Wang, J.; Xie, S.; Liu, S.; Lin, P.; Zhang, X.; Chen, C. Review on corrosion and corrosion scale formation upon unlined cast iron pipes in drinking water distribution systems. J. Environ. Sci. 2022, 117, 173–189. [Google Scholar] [CrossRef] [PubMed]
- AlSalhi, M.S.; Devanesan, S.; Rajasekar, A.; Kokilaramani, S. Characterization of plants and seaweeds based corrosion inhibitors against microbially influenced corrosion in a cooling tower water environment. Arab. J. Chem. 2022, 16, 104513. [Google Scholar] [CrossRef]
- Alhamid, M.I.; Rainanda, M.; Miftah, R. Effectiveness Analysis of Ozonation for Prevention of Corrosion and Precipitation of Crust in Closed System Cooling Towers. Evergreen 2021, 8, 904–909. [Google Scholar] [CrossRef]
- Hafez, O.M.; Shoeib, M.A.; El-Khateeb, M.A.; Abdel-Shafy, H.I.; Youssef, A.O. Removal of scale forming species from cooling tower blowdown water by electrocoagulation using different electrodes. Chem. Eng. Res. Des. 2018, 136, 347–357. [Google Scholar] [CrossRef]
- Meng, Z.; Zhang, L.; Li, H.; Zhou, R.; Bu, H.; Shan, Y.; Ma, X.; Ma, R. Design and Application of Liquid Fertilizer pH Regulation Controller Based on BP-PID-Smith Predictive Compensation Algorithm. Appl. Sci. 2022, 12, 6162. [Google Scholar] [CrossRef]
- Nguyen, V.-K.; Tran, V.-K.; Pham, H.; Nguyen, H.-D.; Nguyen, C.-N. Design and Implementation of Fuzzy-based Fine-tuning PID Controller for Programmable Logic Controller. Int. J. Integr. Eng. 2024, 16, 359–372. [Google Scholar] [CrossRef]
- Ram, S.S.; Kumar, D.D.; Meenakshipriya, B. Designing of PID Controllers for pH Neutralization Process. Indian J. Sci. Technol. 2016, 9, 1–5. [Google Scholar] [CrossRef]
- Babu, C.G. An Investigation of HMI based PLC-PID for Automatic Quality Water Distribution System. In Proceedings of the 2021 Smart Technologies, Communication and Robotics (STCR), Sathyamangalam, India, 9–10 October 2021. [Google Scholar]
- Kalavathi Devi, T.; Mouleeshuwarapprabhu, R.; Uma Devi, S.; Sakthivel, P.; Poojashri, V.; Swetha, A.; Vasuki, P. Sensor Technology and Regulation method for Sustaining the pH value in Sugar Mechanized Process. In Proceedings of the 2021 Fourth International Conference on Electrical, Computer and Communication Technologies (ICECCT), Erode, India, 15–17 September 2021; pp. 1–5. [Google Scholar]
- Zainal, A.; Wahab, N.A.; Yusof, M.I. PLC-based PID controller for real-time pH neutralization process using Palm Oil Mill Effluent. IIUM Eng. J. 2023, 24, 244–255. [Google Scholar] [CrossRef]
- Xu, Y.; Zeng, X.; Bernard, S.; He, Z. Data-driven prediction of neutralizer pH and valve position towards precise control of chemical dosage in a wastewater treatment plant. J. Clean. Prod. 2022, 348, 131360. [Google Scholar] [CrossRef]
- Fadzlullah, A.; Yusof, M.I.; Zainal, A.; Azhar, A.; Karim, A.H.; Aliff, M.; Safie, S.I. Design and Simulation of PID Controller for PH Neutralization Process. Int. J. Innov. Technol. Explor. Eng. 2020, 9, 2740–2743. [Google Scholar] [CrossRef]
- Borase, R.P.; Maghade, D.K.; Sondkar, S.Y.; Pawar, S.N. A review of PID control, tuning methods and applications. Int. J. Dyn. Control. 2020, 9, 818–827. [Google Scholar] [CrossRef]
- Liu, H.; He, Y.; He, J. Research on Incremental Adaptive Fuzzy PID Algorithm for Permanent Magnet Synchronous Motor System. In Proceedings of the 2022 23rd International Conference on Electronic Packaging Technology (ICEPT), Dalian, China, 10–13 August 2022; pp. 1–5. [Google Scholar]
- Sun, W. Research on real-time tuning of PID parameters based on fuzzy control. In Proceedings of the 2024 IEEE 2nd International Conference on Image Processing and Computer Applications (ICIPCA), Shenyang, China, 28–30 June 2024; pp. 964–968. [Google Scholar]
- Rahman, M.; Islam, S. Design of a Fuzzy Based Pid Algorithm for Temperature Control of An Incubator. J. Phys. Conf. Ser. 2021, 1969, 012055. [Google Scholar] [CrossRef]
- Oladipo, S.; Sun, Y.; Amole, A.O. Investigating the influence of clustering techniques and parameters on a hybrid PSO-driven ANFIS model for electricity prediction. Discov. Appl. Sci. 2024, 6, 265. [Google Scholar] [CrossRef]
- Wali, W.A. Carbon Dioxide Conversion Control Based on Microwave Plasma Technology. In Proceedings of the 2020 International Conference on Electrical, Communication, and Computer Engineering (ICECCE), Istanbul, Turkey, 12–13 June 2020; pp. 1–4. [Google Scholar]
- Al-Musawi, W.A.; Wali, W.A.; Al-Ibadi, M.A.A. New artificial neural network design for Chua chaotic system prediction using FPGA hardware co-simulation. Int. J. Electr. Comput. Eng. (IJECE) 2022, 12, 1955–1964. [Google Scholar] [CrossRef]
- Sharma, P.; Ohri, J. ANFIS Based PID Control of Antilock Braking System Model. In Proceedings of the 2023 7th International Conference on Computer Applications in Electrical Engineering-Recent Advances (CERA), Roorkee, India, 27–29 October 2023; pp. 1–6. [Google Scholar]
- Saraswathi, K.; Vijayaraghavan, S. Design of TITO system using ANFIS-PID controller for polymerization industry. Meas. Sens. 2023, 31, 100996. [Google Scholar] [CrossRef]
- Kruthika, U.; Paneerselvam, S. Improved Adaptive PSO-based Gain Tuning for PID Controllers in Utility Boilers. Procedia Comput. Sci. 2024, 230, 183–192. [Google Scholar] [CrossRef]
- Rahayu, E.S.; Ma’Arif, A.; Çakan, A. Particle Swarm Optimization (PSO) Tuning of PID Control on DC Motor. Int. J. Robot. Control. Syst. 2022, 2, 435–447. [Google Scholar] [CrossRef]
- Qader, H.A.; Al-Bahrani, L.T. Improvement of Load Frequency Control of Multi-Sources Power System Based on PID Controller Using Particle Swarm Optimization with Renewable Energy Sources. In Proceedings of the 2023 International Symposium on Fundamentals of Electrical Engineering (ISFEE), Bucharest, Romania, 16–18 November 2023; pp. 1–6. [Google Scholar]
- Yang, T.; Wang, W.; Zeng, D.; Liu, J.; Cui, C. Closed-loop optimization control on fan speed of air-cooled steam condenser units for energy saving and rapid load regulation. Energy 2017, 135, 394–404. [Google Scholar] [CrossRef]
- Mukherjee, S.; Birru, D.; Cavalcanti, D.; Shen, E.; Patel, M.; Wen, Y.J.; Das, S. Closed Loop Integrated Lighting and Daylighting Control for Low Energy Buildings. In Proceedings of the 2010 ACEEE, Osaka, Japan, 2–5 December 2010; pp. 252–269. [Google Scholar]
- Wätzig, D. Reducing energy costs through closed loop refiner control. Pap. Conf. Trade Show 2011, 1, 566–569. [Google Scholar]
- Al-Najari, B.; Hen, C.K.; Paw, J.K.S.; Marhoon, A.F. Design and Implementation of PID Controller for the Cooling Tower’s pH Regulation Based on Particle Swarm Optimization PSO Algorithm. Iraqi J. Electr. Electron. Eng. 2024, 20, 59–67. [Google Scholar] [CrossRef]
- Available online: https://ekopomp.pl/wp-content/uploads/2024/09/jesco-memdos-kms.pdf (accessed on 17 February 2025).
- Available online: https://www.yokogawa.com/us/library/videos/how-tos/yokogawa-daqstandard-data-viewer-part-1-of-2/ (accessed on 17 February 2025).
- Zhou, R.; Zhang, L.; Fu, C.; Wang, H.; Meng, Z.; Du, C.; Shan, Y.; Bu, H. Fuzzy Neural Network PID Strategy Based on PSO Optimization for pH Control of Water and Fertilizer Integration. Appl. Sci. 2022, 12, 7383. [Google Scholar] [CrossRef]
- Peng, C.-C.; Cheng, Y.-H. Data Driven based Modeling and Fault Detection for the MATLAB/Simulink Turbofan Engine: An ARX Model Approach. In Proceedings of the 2022 IEEE Conference on Control Technology and Applications (CCTA), Trieste, Italy, 22–25 August 2022; pp. 498–503. [Google Scholar]
- Chen, M.; Gao, F.; Ren, W. Speed Control of PMSM Based on Data-Driven Method. In Proceedings of the 2022 11th International Conference of Information and Communication Technology (ICTech), Wuhan, China, 4–6 February 2022; pp. 271–276. [Google Scholar]
- Estofanero, L.; Edwin, R.; Claudio, G. Predictive controller applied to a pH neutralization process. IFAC-PapersOnLine 2019, 52, 202–206. [Google Scholar] [CrossRef]
- Li, Y.; Zhang, Y.; Cui, S.; Liu, Y.; Lv, X. Application of optimizing PID Parameters based on PSO in the Temperature Control System of Haematococcus Pluvialis. In Proceedings of the 2020 IEEE 9th Joint International Information Technology and Artificial Intelligence Conference (ITAIC), Chongqing, China, 11–13 December 2020; pp. 1850–1853. [Google Scholar]
- Ray, N.K.; Mohapatra, S.K.; Dash, S.S. Gravitational Search Algorithm for Optimal Tunning of controller parameters in AVR system. In Proceedings of the 2020 International Conference on Computational Intelligence for Smart Power System and Sustainable Energy (CISPSSE), Keonjhar, India, 29–31 July 2020; pp. 1–6. [Google Scholar]
- Mamuda, M.; Sathasivan, S. The development of Adaptive Neuro-Fuzzy Inference System model to diagnosis diabetes disease data set. Matematika 2017, 33, 11–19. [Google Scholar] [CrossRef]
- Saatchi, R. Fuzzy Logic Concepts, Developments and Implementation. Information 2024, 15, 656. [Google Scholar] [CrossRef]
- Nishanth, F.P.; Dash, S.K.; Mahapatro, S.R. Critical study of type-2 fuzzy logic control from theory to applications: A state-of-the-art comprehensive survey. e-Prime 2024, 10, 100771. [Google Scholar] [CrossRef]
- Chen, C.-H.; Jeng, S.-Y.; Lin, C.-J. Fuzzy Logic Controller for Automating Electrical Conductivity and pH in Hydroponic Cultivation. Appl. Sci. 2021, 12, 405. [Google Scholar] [CrossRef]
- Tunstel, E.; Lippincott, T.; Jamshidi, M. Introduction to Fuzzy Logic Control with Application to Mobile Robotics; NASA Center for Autonomous Control Engineering Department of Electrical and Computer Engineering: Urbana, IL, USA, 1996. [Google Scholar]
- Lilly, J.H. Fuzzy Control and Identification; Wiley: Hoboken, NJ, USA, 2010. [Google Scholar] [CrossRef]
- Petrov, M.; Ganchev, I.; Taneva, A. Fuzzy PID control of nonlinear plants. In Proceedings of the First International IEEE Symposium Intelligent Systems, Varna, Bulgaria, 10–12 September 2002. [Google Scholar]
- Klir, E.; Sun, J.R.; Mizutami, C.T. Neuro Fuzzy and Soft Computing; Prentice-Hall Inc.: Upper Saddle River, NJ, USA, 1997. [Google Scholar]
- Salleh, M.N.M.; Talpur, N.; Talpur, K.H. A Modified Neuro-Fuzzy System Using Metaheuristic Approaches for Data Classification. In Artificial Intelligence–Emerging Trends and Applications; BoD: Norderstedt, Germany, 2018; pp. 29–45. [Google Scholar] [CrossRef]
- Salleh, M.N.M.; Hussain, K. A Review of Training Methods of ANFIS for Applications in Business and Economics. Int. J. u- e- Serv. Sci. Technol. 2016, 9, 165–172. [Google Scholar] [CrossRef]
- Yonar, A.; Yonar, H. Modeling air pollution by integrating ANFIS and metaheuristic algorithms. Model. Earth Syst. Environ. 2022, 9, 1621–1631. [Google Scholar] [CrossRef]
- Ghomsheh, V.S.; Shoorehdeli, M.A.; Teshnehlab, M. Training ANFIS structure with modified PSO algorithm. In Proceedings of the Mediterranean Conference on Control & Automation (MED’07), Athens, Greece, 27–29 June 2007; pp. 1–6. [Google Scholar] [CrossRef]
- Kennedy, J.; Eberhart, R. Particle swarm optimization. In Proceedings of the ICNN’95-International Conference on Neural Networks, Perth, WA, Australia, 27 November–1 December 1995; IEEE: Piscataway, NJ, USA, 1995; Volume 4, pp. 1942–1948. [Google Scholar] [CrossRef]
- Ozgenc, B.; Ayas, M.S.; Altas, I.H. A Hybrid Optimization Approach to Design Optimally Tuned PID Controller for an AVR System. In Proceedings of the 2020 International Congress on Human-Computer Interaction, Optimization and Robotic Applications (HORA), Ankara, Turkey, 26–28 June 2020; pp. 1–5. [Google Scholar]
- Maghfiroh, H.; Saputro, J.S.; Hermanu, C.; Ibrahim, M.H.; Sujono, A. Performance Evaluation of Different Objective Function in PID Tuned by PSO in DC-Motor Speed Control. IOP Conf. Ser. Mater. Sci. Eng. 2021, 1096, 012061. [Google Scholar] [CrossRef]
- Oladipo, S.; Sun, Y.; Adeleke, O. An Improved Particle Swarm Optimization and Adaptive Neuro-Fuzzy Inference System for Predicting the Energy Consumption of University Residence. Int. Trans. Electr. Energy Syst. 2023, 2023, 1–16. [Google Scholar] [CrossRef]
























| Item | Existing Pump | New Dosing Pump |
|---|---|---|
| The components | Motor only | Motor and control valve |
| State | Ancient | New brand |
| Flow rate | constant | Variable |
| Maximum flow rate | 65 L per minute | 272 L per hour, or 4.55 L per minute At 100% control valve stroke |
| Motor speed | 1400 rpm | 1400 rpm |
| Motor power | 2.2 kW | 0.55 kW |
| Motor rated current | 12.5 A | 1.3 A |
| Control | Start/stop (manual) | Continuous control |
| Operation time | 1, 2, or 3 min each, for 2 or 3 h. | Continuous operation |
| Control signal | No | 4~20 Milliamps (mA) |
| Control element | No | Control valve |
| Device | Type | Job |
|---|---|---|
| Signal supply | TAYLOR MicroScan 500 | To supply the set value to the control valve (15%). |
| Duplicator | PHOENIX CONTACT MINI MCR-BL-I-2I-2810829 | To duplicate the signal (4–20 mA) entering from the signal supply |
| Dosing pump | MEMDOS-KMS-272 | To pump sulfuric acid and control the flow rate |
| pH sensor | YOKOGAWA EXA PH202 | To measure the pH of the cooling water |
| pH transmitter | YOKOGAWA Redox PH202 | To convert the pH sensor reading to a standard level of 4~20 mA |
| Recorder | YOKOGAWA DX1100 | To record the pH values (the scanning time is 20 seconds) |
| Prefix | Description | Value |
|---|---|---|
| m | Number of variables (MANFIS parameters) | 39 |
| n | Population size | 30 |
| Wmax | Maximum inertial weight | 0.9 |
| Wmin | Minimum inertial weight | 0.4 |
| c1 and c2 | Accelation factors c1 and c2 | 1 and 2 |
| r1 and r2 | Uniformly distributed random factors r1 and r2 | 1 |
| LB | Variables lower bound | −10 |
| UB | Variables upper bound | 10 |
| Maxiter | Maximum number of iterations | 1000 |
| Name | Description |
|---|---|
| Partition type | GridPartition |
| Function type | gaussmf |
| Number of membership functions | 3 |
| Number of input parameters | 12 |
| Number of output parameters | 27 |
| Number of total parameters | 39 |
| Item | Value |
|---|---|
| Fitting rate | 87.68% |
| Final prediction error (FPE) | 0.00114331 |
| Variable | Description | Value | Unit |
|---|---|---|---|
| k | Gain coefficient | 0.9925 | ---- |
| θ | Dead time | 0 | s |
| τ | Time constant | 9486 | s |
| Parameter | Name | Value | Unit |
|---|---|---|---|
| Kp | Proportional gain | 4.01446743 | ---- |
| Ki | Intergral gain | 0.00094926 | s |
| Kd | Derivative gain | 2053.88283792 | s |
| N | Filter | 0.00081138 | ---- |
| Parameter | MATLAB Tuner | MANFIS | Optimized MANFIS | Unit |
|---|---|---|---|---|
| Rise time | 7.4786 × 104 | 5.1276 × 104 | 5.1719 × 104 | s |
| Settling time | 3.5006 × 105 | 1.1131 × 105 | 1.1200 × 105 | s |
| Overshoot | 0.5465 | 0.3171 | 0.2582 | % |
| Peak | 7.9965 | 7.4777 | 7.4731 | % |
| Peak time | 190,118 | 267,739 | 273,917 | s |
| RMSE | MANFIS Epoch = 350 | Optimized MANFIS Iteration = 1000 |
|---|---|---|
| ∆Kp_RMSE | 0.695383 | 0.34338 |
| ∆Ki_RMSE | 1.3862 × 10−6 | 7.2193 × 10−7 |
| ∆Kd_RMSE | 138.72 | 70.7642 |
Disclaimer/Publisher’s Note: The statements, opinions and data contained in all publications are solely those of the individual author(s) and contributor(s) and not of MDPI and/or the editor(s). MDPI and/or the editor(s) disclaim responsibility for any injury to people or property resulting from any ideas, methods, instructions or products referred to in the content. |
© 2025 by the authors. Licensee MDPI, Basel, Switzerland. This article is an open access article distributed under the terms and conditions of the Creative Commons Attribution (CC BY) license (https://creativecommons.org/licenses/by/4.0/).
Share and Cite
Al-Najari, B.M.A.; Wali, W.A. Optimization of pH Controller Performance for Industrial Cooling Towers via the PSO–MANFIS Hybrid Algorithm. Energies 2025, 18, 1232. https://doi.org/10.3390/en18051232
Al-Najari BMA, Wali WA. Optimization of pH Controller Performance for Industrial Cooling Towers via the PSO–MANFIS Hybrid Algorithm. Energies. 2025; 18(5):1232. https://doi.org/10.3390/en18051232
Chicago/Turabian StyleAl-Najari, Basim Mohsin Abdulwahid, and Wasan Abdulrazzaq Wali. 2025. "Optimization of pH Controller Performance for Industrial Cooling Towers via the PSO–MANFIS Hybrid Algorithm" Energies 18, no. 5: 1232. https://doi.org/10.3390/en18051232
APA StyleAl-Najari, B. M. A., & Wali, W. A. (2025). Optimization of pH Controller Performance for Industrial Cooling Towers via the PSO–MANFIS Hybrid Algorithm. Energies, 18(5), 1232. https://doi.org/10.3390/en18051232

