A Wind Speed Prediction Method Based on Signal Decomposition Technology Deep Learning Model
Abstract
1. Introduction
2. Methodology
2.1. Multi-Scale Wavelet Power Spectrum Analysis (MWPSA)
- (1)
- Determining the analysis period. The period Tj of the wavelet transform is related to the scale parameter sj in wavelet analysis. Considering the characteristics of the Morlet mother wavelet, the period Tj is set as Tj = sj. And , for , j = 0, 1, …, J, with J + 1 scales, where the maximum value of J does not exceed Jmax = 4 log2(N).
- (2)
- Determining the global wavelet transform spectrum value. At the n-th sampling point, the local wavelet transform spectrum value Wn (sj) corresponding to the scale parameter sj is shown in Equation (1).where is the conjugate function of , and for the n-th sampling point, the Morlet wavelet function at scale parameter sj is shown in Equation (2).The modulus of with respect to is integrated over the entire sampling interval to obtain the global wavelet transform spectrum value corresponding to the scale parameter sj. The calculation is shown in Equation (3).The standardized global wavelet transform spectrum value is used, where is the variance of xn.
- (3)
- Significance test of the global wavelet transform spectrum value. Typically, the period corresponding to the maximum value of the global wavelet transform spectrum curve is defined as the dominant period. The global wavelet transform spectrum value obtained above is compared with the red noise spectrum value to assess its significance. The calculation of the red noise spectral value Qk is shown in Equation (4).where is the autocorrelation coefficient of the xn lagged by one sampling point, k = 0, 1, …, N/2.Assuming that the global wavelet transform spectrum value corresponds to the spectrum value of a non-periodic process, the ratio of this value to the red noise spectrum value follows an Xv2-distribution with v degrees of freedom removed:where the degrees of freedom , is the decorrelation factor, . At a significance level of Xv2 = 0.05, when , the period corresponding to the global wavelet transform spectrum value is considered significant.
- (4)
- Extract the time series corresponding to the significant periodic band. From Equation (1), it is known that the set periodic band [T1, T2] corresponds to the scale parameters [sj1, sj2]. The time series corresponding to the scale parameters [sj1, sj2] is obtained by summing the values of corresponding to this scale parameter band. The calculation is shown in Equation (6).where is the real part of Wn(sj). For the Morlet wavelet, and .
2.2. Variational Mode Decomposition (VMD)
- (1)
- The time series x(i) is reconstructed in phase space to get the matrix Xm, where m is the embedding dimension.
- (2)
- Define the distance between the vectors Xm(i) and Xm(j) as the absolute value of the maximum difference between their corresponding elements. The equation is shown in Equation (12).
- (3)
- The number of is counted as Bi. For , it is defined as follows:where Bim(r) is the proportion by which the absolute value of the largest difference between row i and other rows is below the threshold value r. The average of Bim(r) over n-m + 1 elements can be expressed as follows:
- (4)
- Repeat the above (1) to (3) steps to get Bm+1(r). The formula for calculating sample entropy is shown in Equation (15).
2.3. Convolutional Neural Network (CNN)
2.4. Bidirectional Long Short-Term Memory Neural Network (BiLSTM)
2.5. Attention Mechanism
- (1)
- Calculate the attention scores for the hidden states at each time step, and the calculation formula is as follows:
- (2)
- Use the softmax formula to assign weights to each time step in the input sequence, and the calculation formula is as follows:
- (3)
- Multiply the weight of each time step by the corresponding vector to represent the importance of that time step to the prediction target. Finally, the contributions of all time steps are summed up to get the output of the attention mechanism layer. The calculation formula is as follows:
2.6. Particle Swarm Optimization Algorithm
3. Basic Framework of the Proposed Method
- (1)
- First, the original signal is decomposed using multi-scale wavelet power spectrum analysis into a series of time series with significant periodic bands and residual sequences with fluctuating characteristics.
- (2)
- Next, the variational mode decomposition and sample entropy analysis are applied to the highly unpredictable residual sequence for secondary decomposition, thereby improving the predictability of the data.
- (3)
- For each series, a CNN-BiLSTM-Attention model optimized by PSO is constructed for multi-step wind speed prediction. First, the CNN network is used to extract local features from the data. Then, the BiLSTM network captures the global temporal dependencies of the wind speed. Finally, the attention mechanism is applied to emphasize the critical time steps for the prediction task. Given the complex fluctuations and long-term dependencies inherent in wind speed time series, this model effectively addresses these characteristics, providing a more comprehensive approach to accurate predictions.
- (4)
- Aggregate the prediction results of all series and residual sequences to get the final wind speed prediction values.
- (5)
- Compare the prediction results of the proposed method with those of other comparison models and the actual values, and draw experimental conclusions based on the analysis.
4. Experimental Study
4.1. Dataset Description
4.2. Evaluation Metrics
4.3. Data Decomposition
4.4. PSO Optimized Prediction Model
5. Results and Discussion
5.1. Comparison of Decomposition Techniques
5.2. Comparison with Combined Models
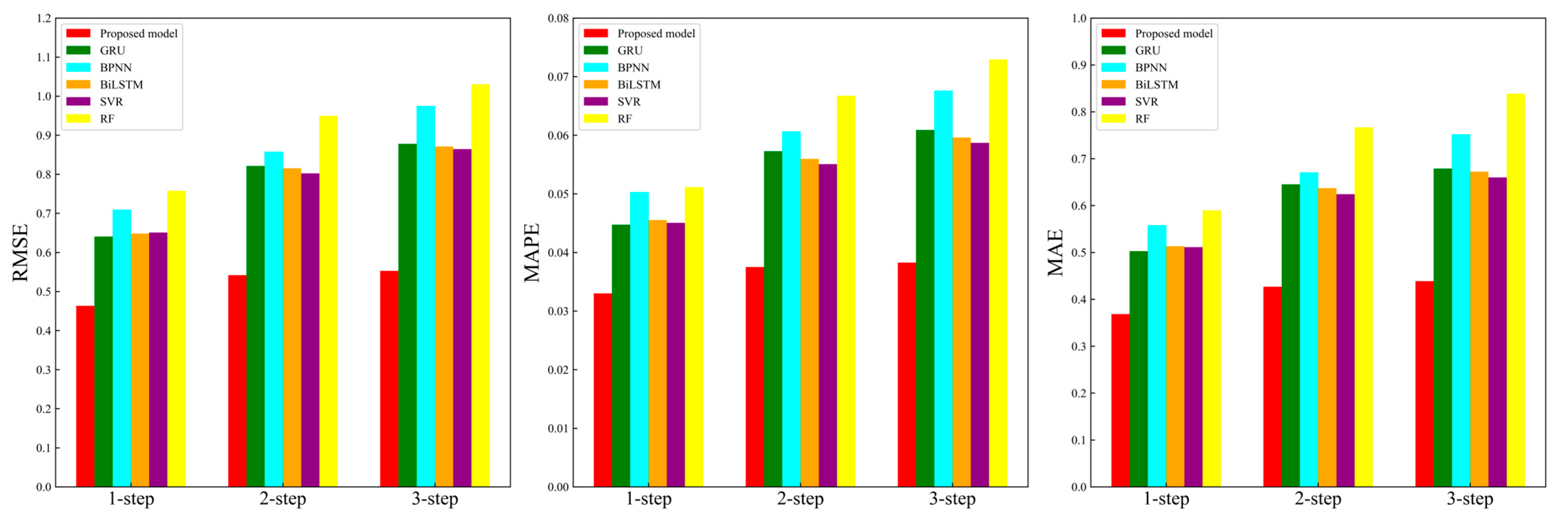
5.3. Comparison with Existing Models
6. Conclusions and Future Research
- (1)
- The proposed secondary decomposition technique further decomposes the high-frequency residual sequences obtained from the initial signal decomposition. This effectively extracts wind speed fluctuation features and significantly improves the data’s predictability.
- (2)
- A PSO-CNN-BiLSTM-Attention hybrid deep learning prediction model was developed. In this hybrid deep learning model, the CNN layer captures deep features of the data, the BiLSTM layer learns the temporal dependencies of wind speed, the attention mechanism enhances prediction accuracy, and the PSO algorithm optimizes the model parameters for wind speed prediction.
- (3)
- Compared with existing models, the proposed SD-PSO-CNN-BiLSTM-Attention method outperforms in terms of overall trend, fit degree, RMSE, MAE, MAPE, and R2 error evaluation metrics. It achieves excellent performance in both single-step and multi-step predicting.
Author Contributions
Funding
Data Availability Statement
Acknowledgments
Conflicts of Interest
References
- Jin, Z.; Fu, X.; Xiang, L.; Zhu, G.; Hu, A. Informer learning framework based on secondary decomposition for multi-step forecast of ultra-short term wind speed. Eng. Appl. Artif. Intell. 2025, 139, 109702. [Google Scholar] [CrossRef]
- Xia, Y.; Wang, J.; Zhang, Z.; Wei, D.; Cao, Z.; Li, Z. A wind speed point-interval fuzzy forecasting system based on data decomposition and multi-objective optimizer. Appl. Soft Comput. 2024, 165, 112084. [Google Scholar] [CrossRef]
- Więckowski, J.; Kizielewicz, B.; Sałabun, W. A multi-dimensional sensitivity analysis approach for evaluating the robustness of renewable energy sources in European countries. J. Clean. Prod. 2024, 469, 143225. [Google Scholar] [CrossRef]
- Chen, X.; Ye, X.; Shi, J.; Zhang, Y.; Xiong, X. A spatial transfer-based hybrid model for wind speed forecasting. Energy 2024, 313, 133920. [Google Scholar] [CrossRef]
- Nezhad, M.M.; Neshat, M.; Piras, G.; Garcia, D.A. Sites exploring prioritisation of offshore wind energy potential and mapping for wind farms installation: Iranian islands case studies. Renew. Sustain. Energy Rev. 2022, 168, 112791. [Google Scholar] [CrossRef]
- Meka, R.; Alaeddini, A.; Bhaganagar, K. A robust deep learning framework for short-term wind power forecast of a full-scale wind farm using atmospheric variables. Energy 2021, 221, 119759. [Google Scholar] [CrossRef]
- Xia, W.; Che, J.; Hu, K.; Xu, Y. A synchronized multi-step wind speed prediction with adaptive features and parameters selection: Insights from an interaction model. Expert Syst. Appl. 2024, 255, 124764. [Google Scholar] [CrossRef]
- Zhang, S.; Chen, Y.; Xiao, J.; Zhang, W.; Feng, R. Hybrid wind speed forecasting model based on multivariate data secondary decomposition approach and deep learning algorithm with attention mechanism. Renew. Energy 2021, 174, 688–704. [Google Scholar] [CrossRef]
- Guo, S.; Yang, Y.; Zhang, F.; Wang, J.; Cheng, Y. Study on bias correction method of ECMWF surface variable forecasts based on deep learning. Renew. Energy 2025, 239, 122132. [Google Scholar] [CrossRef]
- Cobos-Maestre, M.; Flores-Soriano, M.; Barrero, D.F. SWAN: A multihead autoregressive attention model for solar wind speed forecasting. Expert Syst. Appl. 2024, 252, 124128. [Google Scholar] [CrossRef]
- Mati, S.; Baita, A.J.; Ismael, G.Y.; Abdullahi, S.G.; Samour, A.; Ozsahin, D.U. Enhancing CO2 emissions prediction in Africa: A novel approach integrating enviroeconomic factors and nature-inspired neural network in the presence of unit root. Renew. Energy 2024, 237, 121561. [Google Scholar] [CrossRef]
- Kaytez, F. A hybrid approach based on autoregressive integrated moving average and least-square support vector machine for long-term forecasting of net electricity consumption. Energy 2020, 197, 117200. [Google Scholar] [CrossRef]
- Singh, S.N.; Mohapatra, A. Repeated wavelet transform based ARIMA model for very short-term wind speed forecasting. Renew. Energy 2019, 136, 758–768. [Google Scholar]
- Pang, J.; Dong, S. A novel ensemble system for short-term wind speed forecasting based on hybrid decomposition approach and artificial intelligence models optimized by self-attention mechanism. Energy Convers. Manag. 2024, 307, 118343. [Google Scholar] [CrossRef]
- Luo, X.; Zhang, M.; Han, Y.; Yan, R.; Wang, S. Ship fuel consumption prediction based on transfer learning: Models and applications. Eng. Appl. Artif. Intell. 2025, 141, 109769. [Google Scholar] [CrossRef]
- Harbola, S.; Coors, V. One dimensional convolutional neural network architectures for wind prediction. Energy Convers. Manag. 2019, 195, 70–75. [Google Scholar] [CrossRef]
- Wang, J.; Li, Z. Wind speed interval prediction based on multidimensional time series of Convolutional Neural Networks. Eng. Appl. Artif. Intell. 2023, 121, 105987. [Google Scholar] [CrossRef]
- Tian, Z. Backtracking search optimization algorithm-based least square support vector machine and its applications. Eng. Appl. Artif. Intell. 2020, 94, 103801. [Google Scholar] [CrossRef]
- Akyol, K. Comparing of deep neural networks and extreme learning machines based on growing and pruning approach. Expert Syst. Appl. 2020, 140, 112875. [Google Scholar] [CrossRef]
- Duan, J.; Zuo, H.; Bai, Y.; Duan, J.; Chang, M.; Chen, B. Short-term wind speed forecasting using recurrent neural networks with error correction. Energy 2021, 217, 119397. [Google Scholar] [CrossRef]
- Duan, J.; Chang, M.; Chen, X.; Wang, W.; Zuo, H.; Bai, Y.; Chen, B. A combined short-term wind speed forecasting model based on CNN–RNN and linear regression optimization considering error. Renew. Energy 2022, 200, 788–808. [Google Scholar] [CrossRef]
- Tian, Z. Modes decomposition forecasting approach for ultra-short-term wind speed. Appl. Soft Comput. 2021, 105, 107303. [Google Scholar] [CrossRef]
- Shahid, F.; Zameer, A.; Mehmood, A.; Raja, M.A.Z. A novel wavenets long short term memory paradigm for wind power prediction. Appl. Energy 2020, 269, 115098. [Google Scholar] [CrossRef]
- Tian, Z.; Chen, H. A novel decomposition-ensemble prediction model for ultra-short-term wind speed. Energy Convers. Manag. 2021, 248, 114775. [Google Scholar] [CrossRef]
- Kisvari, A.; Lin, Z.; Liu, X. Wind power forecasting–A data-driven method along with gated recurrent neural network. Renew. Energy 2021, 163, 1895–1909. [Google Scholar] [CrossRef]
- Wu, J.; Li, N.; Zhao, Y.; Wang, J. Usage of correlation analysis and hypothesis test in optimizing the gated recurrent unit network for wind speed forecasting. Energy 2022, 242, 122960. [Google Scholar] [CrossRef]
- Xiang, L.; Li, J.; Hu, A.; Zhang, Y. Deterministic and probabilistic multi-step forecasting for short-term wind speed based on secondary decomposition and a deep learning method. Energy Convers. Manag. 2020, 220, 113098. [Google Scholar] [CrossRef]
- Jaseena, K.U.; Kovoor, B.C. Decomposition-based hybrid wind speed forecasting model using deep bidirectional LSTM networks. Energy Convers. Manag. 2021, 234, 113944. [Google Scholar] [CrossRef]
- Qian, Z.; Pei, Y.; Zareipour, H.; Chen, N. A review and discussion of decomposition-based hybrid models for wind energy forecasting applications. Appl. Energy 2019, 235, 939–953. [Google Scholar] [CrossRef]
- Jiang, Z.; Che, J.; Wang, L. Ultra-short-term wind speed forecasting based on EMD-VAR model and spatial correlation. Energy Convers. Manag. 2021, 250, 114919. [Google Scholar] [CrossRef]
- He, Y.; Wang, Y. Short-term wind power prediction based on EEMD–LASSO–QRNN model. Appl. Soft Comput. 2021, 105, 107288. [Google Scholar] [CrossRef]
- Ding, Y.; Chen, Z.; Zhang, H.; Wang, X.; Guo, Y. A short-term wind power prediction model based on CEEMD and WOA-KELM. Renew. Energy 2022, 189, 188–198. [Google Scholar] [CrossRef]
- Li, Q.; Wang, G.; Wu, X.; Gao, Z.; Dan, B. Arctic short-term wind speed forecasting based on CNN-LSTM model with CEEMDAN. Energy 2024, 299, 131448. [Google Scholar] [CrossRef]
- Neshat, M.; Nezhad, M.M.; Mirjalili, S.; Piras, G.; Garcia, D.A. Quaternion convolutional long short-term memory neural model with an adaptive decomposition method for wind speed forecasting: North aegean islands case studies. Energy Convers. Manag. 2022, 259, 115590. [Google Scholar] [CrossRef]
- Zhang, C.; Ji, C.; Hua, L.; Ma, H.; Nazir, M.S.; Peng, T. Evolutionary quantile regression gated recurrent unit network based on variational mode decomposition, improved whale optimization algorithm for probabilistic short-term wind speed prediction. Renew. Energy 2022, 197, 668–682. [Google Scholar] [CrossRef]
- Zhang, Y.; Wang, H.; Wang, J.; Cheng, X.; Wang, T.; Zhao, Z. Ensemble optimization approach based on hybrid mode decomposition and intelligent technology for wind power prediction system. Energy 2024, 292, 130492. [Google Scholar] [CrossRef]
- Elshafei, B.; Popov, A.; Giddings, D. Enhanced offshore wind resource assessment using hybrid data fusion and numerical models. Energy 2024, 310, 133208. [Google Scholar] [CrossRef]
- Jiang, Z.; Che, J.; Li, N.; Tan, Q. Deterministic and probabilistic multi-time-scale forecasting of wind speed based on secondary decomposition, DFIGR and a hybrid deep learning method. Expert Syst. Appl. 2023, 234, 121051. [Google Scholar] [CrossRef]
- Lin, Y.; Chen, K.; Zhang, X.; Tan, B.; Lu, Q. Forecasting crude oil futures prices using BiLSTM-Attention-CNN model with Wavelet transform. Appl. Soft Comput. 2022, 130, 109723. [Google Scholar] [CrossRef]
- Li, J.; Song, Z.; Wang, X.; Wang, Y.; Jia, Y. A novel offshore wind farm typhoon wind speed prediction model based on PSO–Bi-LSTM improved by VMD. Energy 2022, 251, 123848. [Google Scholar] [CrossRef]
- Karijadi, I.; Chou, S.Y.; Dewabharata, A. Wind power forecasting based on hybrid CEEMDAN-EWT deep learning method. Renew. Energy 2023, 218, 119357. [Google Scholar] [CrossRef]
- Jiang, Z.; Che, J.; He, M.; Yuan, F. A CGRU multi-step wind speed forecasting model based on multi-label specific XGBoost feature selection and secondary decomposition. Renew. Energy 2023, 203, 802–827. [Google Scholar] [CrossRef]
- Ali, Y.; Aly, H.H. Short term wind speed forecasting using artificial and wavelet neural networks with and without wavelet filtered data based on feature selections technique. Eng. Appl. Artif. Intell. 2024, 133, 108201. [Google Scholar] [CrossRef]
- Li, K.; Shen, R.; Wang, Z.; Yan, B.; Yang, Q.; Zhou, X. An efficient wind speed prediction method based on a deep neural network without future information leakage. Energy 2023, 267, 126589. [Google Scholar] [CrossRef]
- Yu, E.; Xu, G.; Han, Y.; Li, Y. An efficient short-term wind speed prediction model based on cross-channel data integration and attention mechanisms. Energy 2022, 256, 124569. [Google Scholar] [CrossRef]





















| Sub-Series | VMD-IMF1 | VMD-IMF2 | VMD-IMF3 | VMD-IMF4 | VMD-IMF5 |
|---|---|---|---|---|---|
| SampEn | 0.053 | 0.0855 | 0.0201 | 0.0089 | 0.0057 |
| Series | Filters | Hidden_Unit | Batch_Size | Epoch |
|---|---|---|---|---|
| P1 | 65 | 71 | 2 | 68 |
| P2 | 128 | 119 | 33 | 130 |
| P3 | 99 | 92 | 106 | 112 |
| VMD-IMF1 | 16 | 110 | 3 | 81 |
| VMD-IMF2 | 30 | 49 | 2 | 150 |
| VMD-IMF3 | 68 | 43 | 2 | 80 |
| VMD-Residue | 119 | 54 | 40 | 110 |
| Models | 1-Step | 2-Step | 3-Step | ||||||
|---|---|---|---|---|---|---|---|---|---|
| RMSE | MAPE | MAE | RMSE | MAPE | MAE | RMSE | MAPE | MAE | |
| Proposed MWPSA-PSO-CNN-BiLSTM-Attention | 0.463287 | 0.033 | 0.368544 | 0.541607 | 0.0375 | 0.42686 | 0.552732 | 0.038254 | 0.438957 |
| 0.638728 | 0.044978 | 0.504875 | 0.678558 | 0.047096 | 0.536228 | 0.719186 | 0.048206 | 0.561006 | |
| VMD-PSO-CNN-BiLSTM-Attention | 0.526473 | 0.037728 | 0.421382 | 0.5597 | 0.038826 | 0.4495 | 0.592399 | 0.041438 | 0.479779 |
| PSO-CNN-BiLSTM-Attention | 0.644921 | 0.04562 | 0.50421 | 0.757334 | 0.053858 | 0.589936 | 0.827088 | 0.058307 | 0.638973 |
| Models | 1-Step | 2-Step | 3-Step | ||||||
|---|---|---|---|---|---|---|---|---|---|
| RMSE | MAPE | MAE | RMSE | MAPE | MAE | RMSE | MAPE | MAE | |
| Proposed SD-PSO-CNN-BiLSTM | 0.463287 | 0.033 | 0.368544 | 0.541607 | 0.0375 | 0.42686 | 0.552732 | 0.038254 | 0.438957 |
| 0.491289 | 0.033577 | 0.381357 | 0.565641 | 0.038449 | 0.442139 | 0.565487 | 0.039194 | 0.446548 | |
| SD-PSO-CNN SD-PSO- BiLSTM | 0.526506 | 0.037945 | 0.426204 | 0.576717 | 0.038889 | 0.449449 | 0.579386 | 0.040157 | 0.462147 |
| 0.485527 | 0.034145 | 0.387817 | 0.589608 | 0.040534 | 0.468949 | 0.596441 | 0.041214 | 0.476114 | |
| SD-CNN-BiLSTM-Attention | 0.521699 | 0.039419 | 0.422928 | 0.625694 | 0.045386 | 0.502695 | 0.650167 | 0.047888 | 0.529051 |
| Models | 1-Step | 2-Step | 3-Step | ||||||
|---|---|---|---|---|---|---|---|---|---|
| RMSE | MAPE | MAE | RMSE | MAPE | MAE | RMSE | MAPE | MAE | |
| Proposed | 0.463287 | 0.033 | 0.368544 | 0.541607 | 0.0375 | 0.42686 | 0.552732 | 0.038254 | 0.438957 |
| GRU | 0.640517 | 0.044717 | 0.502588 | 0.821272 | 0.057262 | 0.645201 | 0.877677 | 0.060896 | 0.678745 |
| BPNN | 0.709235 | 0.050287 | 0.557484 | 0.857369 | 0.060626 | 0.670464 | 0.974557 | 0.067595 | 0.751603 |
| BiLSTM | 0.648439 | 0.04552 | 0.513304 | 0.815182 | 0.05595 | 0.637167 | 0.871178 | 0.059602 | 0.672205 |
| SVR | 0.650813 | 0.045042 | 0.511241 | 0.802472 | 0.055062 | 0.624056 | 0.864412 | 0.058696 | 0.66011 |
| RF | 0.757399 | 0.051136 | 0.589705 | 0.94957 | 0.066739 | 0.766529 | 1.030193 | 0.072896 | 0.838604 |
Disclaimer/Publisher’s Note: The statements, opinions and data contained in all publications are solely those of the individual author(s) and contributor(s) and not of MDPI and/or the editor(s). MDPI and/or the editor(s) disclaim responsibility for any injury to people or property resulting from any ideas, methods, instructions or products referred to in the content. |
© 2025 by the authors. Licensee MDPI, Basel, Switzerland. This article is an open access article distributed under the terms and conditions of the Creative Commons Attribution (CC BY) license (https://creativecommons.org/licenses/by/4.0/).
Share and Cite
Du, J.; Chen, S.; Pan, L.; Liu, Y. A Wind Speed Prediction Method Based on Signal Decomposition Technology Deep Learning Model. Energies 2025, 18, 1136. https://doi.org/10.3390/en18051136
Du J, Chen S, Pan L, Liu Y. A Wind Speed Prediction Method Based on Signal Decomposition Technology Deep Learning Model. Energies. 2025; 18(5):1136. https://doi.org/10.3390/en18051136
Chicago/Turabian StyleDu, Jie, Shuaizhi Chen, Linlin Pan, and Yubao Liu. 2025. "A Wind Speed Prediction Method Based on Signal Decomposition Technology Deep Learning Model" Energies 18, no. 5: 1136. https://doi.org/10.3390/en18051136
APA StyleDu, J., Chen, S., Pan, L., & Liu, Y. (2025). A Wind Speed Prediction Method Based on Signal Decomposition Technology Deep Learning Model. Energies, 18(5), 1136. https://doi.org/10.3390/en18051136

