Abstract
The oxidation of filter cake particles (FCPs) is beneficial for preventing filter media blockage during the hot filtration of raw biomass gasification gas. The influence of particle characteristics on hot oxidative filtration was investigated through characterization, kinetic study, and lab-scale experiments. The characterization results indicated that FCPs are particles with C content of more than 60%, containing –CHn and C=O functional groups. After pyrolysis treatment, these functional groups gradually diminished, while the degree of atomic nucleus condensation increased. The oxidation kinetic calculation indicated that the oxidation activation energy of particles ranged from 55.24 to 117.84 kJ/mol, and higher treatment temperatures could reduce the particle reactivity. The hot oxidative filtration at 400 °C revealed that the primary reaction was C + O2 = CO2 rather than combustion or oxidation of combustive gas components. Furthermore, it was observed that the active minerals on the surface of carbon particles would promote the catalytic oxidation of CO. Experimental findings confirmed that the untreated FCPs containing abundant –CHn functional groups could effectively react with low-concentration O2. However, the presence of active minerals on the particle surface likely promoted CO oxidation within the FCP layer, thereby reducing the calorific value of the product gas.
1. Introduction
Biomass gasification technology has garnered significant attention from researchers due to its ability to convert waste biomass into product gas for power generation, heat supply, or Fischer–Tropsch synthesis. Prior to its application, raw gas purification is essential to ensure the proper functioning of downstream catalysts and reformers. Typically, the combination of cyclone separators and hot gas filtration is employed to prevent significant temperature drops in the product gas and to maintain high overall efficiency [1]. Particulate matter (PM) collection efficiency can exceed 90%, and with the use of rigid barrier filters, it can achieve an impressive rate up to 99.5% [2,3,4]. Moreover, when suitable catalysts are loaded onto the filter, most tar components can be eliminated simultaneously during high efficiency, achieving integrated dust and tar removal.
However, the filter cake evolved from PM and tars poses a significant challenge in hot gas filtration. When the temperature falls below 500 °C, high molecular-weight tar components tend to condense, leading to the formation of viscous substances between particulate matter and tar [5]. This makes it difficult to regenerate the filter media through periodic back-pulsing. Conversely, when the system operates at temperature above 500 °C, the accumulated filter cake particles can induce additional effects, for instance dust sintering [6], soot formation [7], and alkali corrosion [8,9], leading to a significant and permanent pressure drop. Therefore, there is an urgent need to develop suitable methods for managing the filter cake.
Understanding the characteristics of filter cakes is crucial for determining appropriate treatment methods for PM during hot gasification. Eva Gustafsson et al. investigated particle mass size distribution and highlighted the risk of downstream particle formation due to the nucleation and condensation of volatilized components [10]. Miguel et al. characterized particulate matter from biomass gasification power plants, revealing that the solid particulate matter in filters primarily consists of ash, unconverted carbon particles, and tar condensates, with their composition largely dependent on the operating conditions of biomass gasification [11]. Their research also indicated a high carbon content of 88% in these particulates, suggesting potential for secondary combustion. To facilitate the removal of the cake layer, researchers focused on carbon burning on the hot surface of the filter media. Although this approach effectively decreased and controlled filter resistance, it often led to a serious problem: sintering of the filter media due to significant heat release from combustion [12].
Subsequently, partial oxidation has attracted significant attention from researchers. This method releases heat gradually, and excess heat can be efficiently removed by the flowing gas during filtration. Numerous studies [13,14] have shown that this approach effectively promotes the oxidation of particulates generated from fuel combustion on the filter surface in vehicle exhaust emissions, thereby reducing PM emissions. Jiang et al. conducted laboratory experiments focusing on the hot oxidative filtration of raw biomass gas. Their results indicated that introducing a low concentration of O2 (≤2%) into the filter altered the morphology and structure of filter cakes, enabling long-term operation without back-flushing [15]. Additionally, investigations into oxidative filtration in a 1.0 MWth fixed-bed biomass air gasification system demonstrated that it effectively prevented a continuous increase in filter pressure and reduced back-flushing frequency at temperatures between 400 °C and 600 °C [16,17].
Although some studies have addressed the reaction mechanisms of filter cake particles (FCPs) in filtration, such as functional group reactions [15], systematic research remains limited. In particular, there is a scarcity of studies on how particle characteristics influence oxidative filtration in both homogeneous and heterogeneous reactions. This paper focuses on the impact of FCPs with different structures obtained through pyrolysis treatment at various temperatures on gas composition during oxidative filtration. Simultaneously, the oxidative filtration results of commercial char particles were investigated to elucidate their mechanisms of action. The findings will provide a theoretical basis for the oxidative filtration technology of product gas from biomass gasification.
2. Materials and Methods
2.1. Sample Preparation
The FCPs tested in this research were derived from the hot ceramics filter located at the exhaust end of a fixed-bed gasifier employing sawdust as feedstock. Air was selected as the gasification agent, and the gasifier was operated at temperatures ranging from 750 to 900 °C. Although the FCPs were from the filter operating above 400 °C, they likely contained an amount of heavy tar component. Before the experiments, the FCPs underwent the following pretreatment steps: (1) They were sieved into particles with diameters between 0.15 and 0.20 mm, and then dried at 105 °C in a vacuum drying oven for 12 h. (2) The dried FCPs were heated up in a nitrogen atmosphere from room temperature to the processing temperature with a heating rate of 10 K/min. Upon reaching the processing temperature, they were immediately removed and placed in a desiccator for subsequent use. In experiments, the processing temperatures were 400, 600, 800, and 1000 °C, with the prepared samples named SA, SB, SC, and SD, respectively. Meanwhile, the commercial char particles purchased from company were named SE after drying at 105 °C. Additionally, the commercial char particles were treated with an acid (5 mol/L HCl solution) washing method similar to coal deashing [18]. After being dried at 105 °C for 12 h, the acid-washed commercial char was named SF. The simulated gas and high-purity N2 used in the experiments were from Guangzhou Pu Yuan Gas Company Limited. The simulated raw biomass gasification gases consisted of 10 vol % H2, 2 vol % O2, 15 vol % CO2, 22 vol % CO, 3 vol % CH4, and 48 vol % N2.
2.2. Experimental Setup
The hot oxidative filtration characteristics of FCPs under a biomass gasification gas atmosphere were evaluated in a laboratory-scale fixed-bed reactor. Figure 1 shows the schematic diagram of the experimental setup, which primarily consists of a quartz tube reactor, purification system, and gas chromatograph (GC-2014, Shimadzu, Kyoto, Japan). The quartz tube reactor, with an inner diameter of 20 mm and a thickness of 5 mm, was placed inside the heating furnace. During the experiment, the filtration temperature (TF) within the reactor was measured using thermocouples inserted into the particle layer. Prior to the main test, a temperature control test was conducted, confirming that the temperature variation did not exceed 1 °C. Based on previous research [15], each experiment involved loading a sample of 0.64 g/cm2 (2.0000 g of FCPs) onto the surface of the filter medium for each experiment at a TF of 400 °C. The reactor was heated from room temperature at a rate of 3 K/min, with 100 mL/min of N2 serving as the protective gas during the heating process. Once TF reached 400 °C, simulated gas with a total flow rate of 100 mL/min was introduced into the reactor and maintained for 5 h. The gas exiting the reactor first passed through the purification system before entering the gas chromatograph for component analysis using the method described in the literature [15]. The final data presented in this paper are the average values after removing outliers.
Figure 1.
Schematic diagram of quartz filter reactor.
The kinetic study of the samples was conducted using a TA thermo-gravimetric analyzer (STA 449 F3 Jupiter, NETZSCH, Selb, Bavaria, Germany). The experimental samples were placed in the TA thermo-gravimetric analyzer for oxidation testing. Each time, 10 mg of the sample was weighed and placed in a small crucible. The tests adopted temperature programming with a heating program as follows: commencing at room temperature and escalating to 30 °C at a rate of 5 °C/min, followed by a 5 min hold, then heating to 900 °C at a rate of 10 °C/min and maintained for 5 min. The balance gas is high-purity N2 with a flow rate of 80 mL/min, while the reactive gas is air with a flow rate of 20 mL/min. Since the balance gas also participates in the reactor, the entire experiment is conducted in a 2% O2 + 98% N2 atmosphere.
2.3. Oxidation Kinetics Model
Non-isothermal kinetics is commonly utilized to investigate the gas–solid reaction mechanisms in biomass gasification and oxidation processes. The basic equation is shown in Formula (1).
The α, calculated by α = (W0 − Wt)/(W0 − Wf), is the conversion fraction of particles. W0 is the initial weight of the sample (mg); Wt is the weight of the sample at a certain moment of the reaction (mg); Wf is the weight of the sample after reaction (mg); and k is the reaction rate constant. According to the Arrhenius equation, k = Aexp(−E/RT). A is the frequency factor, E is the activation energy, and R is the ideal gas constant.
The heating rate can be calculated through equation β = dT/dt as it is the constant during tests. And then Equation (1) is transformed into Equation (2). After separating variables and integrating with Coats Redfern integration method [19,20], Equation (2) turns into Equations (3) and (4). Due to the fact that E >> 2RT in most temperature ranges, the Formulas (3) and (4) are simplified, respectively, as Equations (5) and (6).
The trial method was introduced to calculate the E and A values. In biomass gasification, the kinetic reaction order is generally 1–2 orders. In this paper, n = 1, 1.5, and 2 were selected for fitting and trial calculation. The E and A values could be calculated after the decision of reaction order based on the best correlation coefficient (R2).
2.4. Data Analysis
In the fixed-bed reactor tests, the total incoming gas flow rate was set to 100 mL/min, and the exit gas flow rate was determined using nitrogen balance. ΔX (%) represents concentration change ratio of each gas component. A positive ΔX value indicates an increase in concentration, while a negative value indicates a decrease, as calculated by Equation (7). The increment of carbon element in gas after reaction, denoted as ΔC (mmol/min), is obtained from Equation (8).
Here, x (mmol/min) represents the flow rate of the gas components.
2.5. Sample Characterization
The methods to proximate and ultimate analysis are detailed in the literature [15]. The functional groups in all samples were analyzed via a Bruker Tensor 27 Fourier Transform Infrared Spectrometer (Bruker Tensor 27 FTIR, Bruker, Saarbrücken, Saarland, Germany), and the method followed that described in reference [21]. The apparent morphology of the samples was observed using a Hitachi S-4800 scanning electron microscopy (Hitachi S-4800 SEM, Tokyo, Japan) to obtain the images. In addition, Energy Dispersive X-Ray Spectroscopy (EDX) (EX-250X, Horiba, Kyoto, Japan) was used to analyze the elements on the surface of the samples. X-ray fluorescence (XRF) (PANalytical Axios MAX-Petro X, PANalytical, Eindhoven, The Netherlands) was used to test the metal elements in the particulate matter. Before testing, a certain amount of the sample was evenly spread over a specific plate as it was difficult to form into tablets. The X-ray diffraction (XRD) analysis was performed using a PANalytical X’ PertPro MPD X instrument(PANalytical X’ PertPro MPD X, PANalytical, Eindhoven, The Netherlands) to characterize the carbon structure. A small amount of sample was evenly flattened on a glass slide and then placed in the instrument for analysis. The angle used was 2θ, with a scanning angle range of 5° to 70° and a sampling interval of 0.008°.
3. Results
3.1. Characterization of Samples
The proximate and ultimate analysis of the experimental samples are presented in Table 1. According to the ultimate analysis, the heat treatment temperature had an significant impact on the C, H, and S element contents in FCPs. Specifically, higher treatment temperature led to an increase in C contents and a decrease in H and S. Additionally, the ratio of fixed carbon and ash gradually increased with a rising treatment temperature, whereas the volatile rapidly decreased. The results in Table 1 also indicate a significant difference in industrial and elemental analysis between SE and SF. After acid washing, the fixed carbon content and C element content were significantly higher than that of the unwashed commercial char while the ash content was much lower. There were no particularly noticeable changes in volatile matter and the contents of H, N, and S elements, indicating that the untreated commercial char may have contained soluble oxides that could be removed by acid.
Table 1.
Proximate and ultimate analysis in samples.
The samples were characterized using XRF and XRD to determine the mineral content and carbon crystal structures, as shown in Table 2 and Figure 2, respectively. The FCPs mainly contained Fe, Si, Al, Ca, S, and K elements. Notably, high treatment temperature led to a decrease in K and S content while an increase in the Fe, Si, Al, and Ca content. The reason was that high-temperature pyrolysis treatment causes alkali metals and some sulfides to volatilize or decompose, as well as the functional group in FCPs. Other stable elements, such as Fe, Si, Al, and Ca, exhibited higher relative contents with increasing temperature. For the SE sample, the commercial char contained higher amounts of metal contents such as Fe (21.50 wt. %), Zn (10.82 wt. %), and Ca (2.28 wt.%), which may be related to its production process. After treatment, these metal oxides were dissolved by a HCl solution, leading to a noticeable decrease.
Table 2.
The mineral content in the samples.
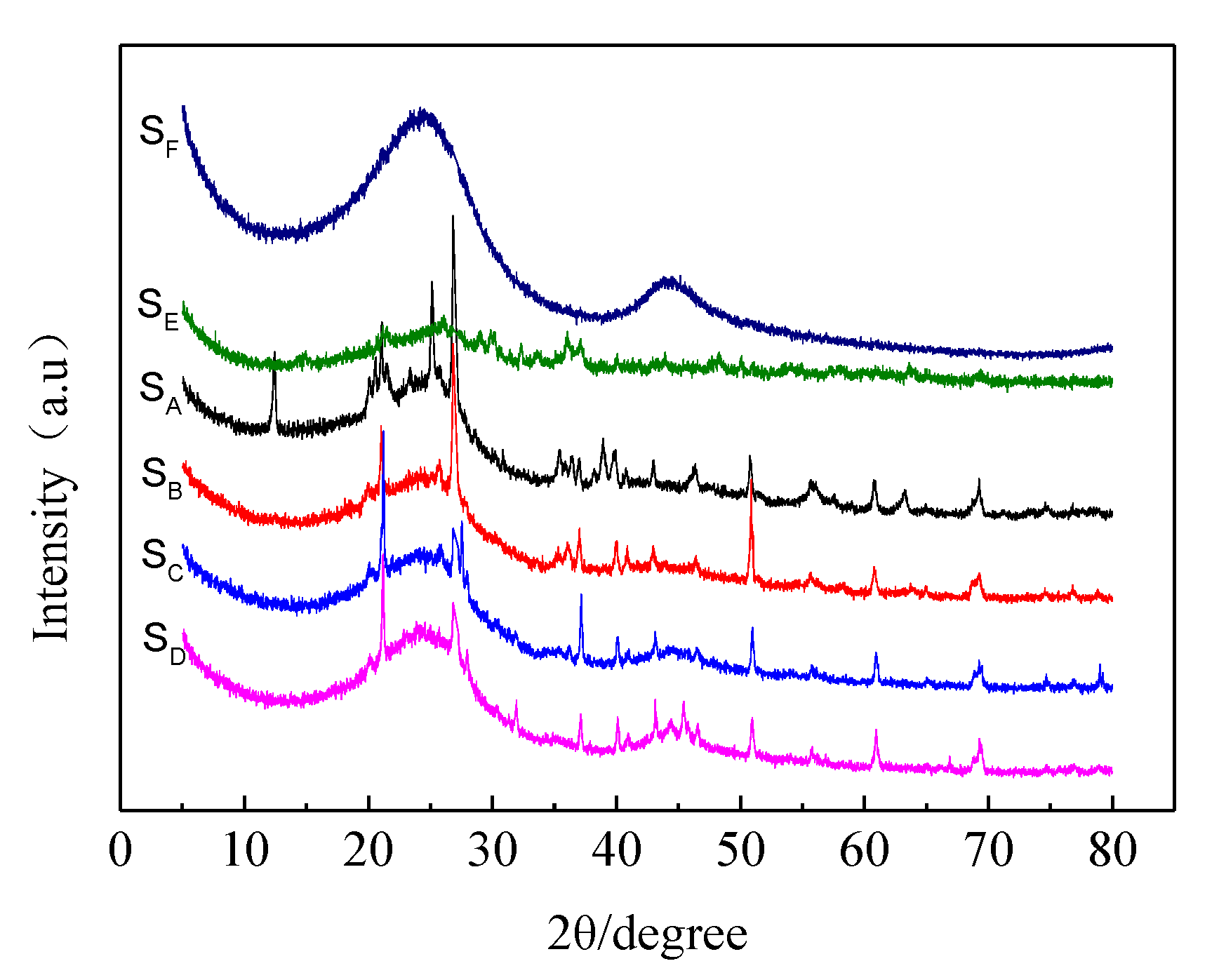
Figure 2.
XRD spectra of samples.
Comparing the XRD characterization between samples SE and SF in Figure 2, the metal oxide peaks in the acid-washed commercial char exhibited a significant decrease and even disappearance, resulting into more pronounced carbon crystal structure peaks at (002) (around 25°) and (100) peak (around 43°). In FCPs, the changes in the two characteristic peaks of the carbon particles could still be clearly observed despite interference from metal oxides. With increasing pyrolysis temperature, the intensity difference in the (002) peak among different FCPs was not apparent, while the intensity of the (100) peak showed differences as the intensity of the (100) peak increased with higher pretreatment temperatures. Generally, the (002) peak represents the degree of parallel orientation and spatial orientation of aromatic carbon layers in micro-crystals, whereas the (100) peak indicates the size of the aromatic carbon layers [22]. The observed changes in FCPs suggest that high-temperature pyrolysis treatment significantly enhances the condensation of the aromatic nuclei. The intensity of the (100) peak of SF was similar to that of SC and SD, indicating the comparable degrees of aromatic nuclei condensation.
FTIR characterizations of the samples were conducted, as shown in Figure 3. There was a significant decrease in the relative content of decomposable functional groups in FCPs after high-temperature treatment. Specifically, a significant decrease could be observed around 2930 cm−1 and the range of 1600~1750 cm−1, corresponding to aliphatic/branched –CHn groups and oxygen-containing functional groups, respectively. In addition, the obvious absorption peaks around 1100 cm−1 and 810 cm−1 could be observed in Figure 3, suggesting the possible presence of epoxy ether compounds. The commercial char particles (SE and SF) exhibited indistinct aliphatic/branched –CHn functional groups and oxygen-containing functional groups.
Figure 3.
FTIR infrared spectra of samples.
The surface morphology of the samples was shown in Figure 4. The SA sample primarily consisted of two distinct types of particles: those exhibiting severe surface fragmentation and those characterized by relatively flat surfaces. Most of the particles were aggregated, making it challenging to identify the raw material types. This was due to the fact that these particles underwent intense pyrolysis and gasification reactions in the high-temperature environment. They were involved in interactions with both the gasification medium and tar components, resulting in significant fragmentation and diverse particle sizes. The SB, SC, and SD samples were derived from further high-temperature treatment of the SA sample, and showed no significant morphological changes. The SE sample represented the original sample of commercial char, where the surface was coated by the uniformly small particles with a diameter of approximately 1 μm. After acid washing, these small particles were effectively eliminated from the surface of the carbon particles. As shown in the SF image, it was observable that most part of the particle surface was nearly free of such small particles after acid washing, presenting a flat surface with no obvious pore structure. The particles had distinct edges and could be identified as carbon. Nevertheless, a few uniformly small particles could still be discerned on the surface of the commercial char particles. A magnified image of SF particles clearly revealed some “small bulges”, with a diameter of about 1 μm, which were highly similar in morphology to the previously covered uniform small particles. Combined with XRF analysis results, it was inferred that these uniform small particles were metallic oxides.
Figure 4.
Surface morphology of samples.
The elemental content on the surfaces of the SA, SE, and SF particles were effectively detected via EDX and the results are shown in Figure 5 and Table 3. It could be seen that the surfaces of the three types of particles, SA, SE, and SF, were mainly composed of C and O elements. Significantly, a relatively high level of metal elements such as Fe and Zn was explored on the surface of SE particles and most would be dissolved in a HCl solution environment, which was consistent with the XRF, SEM, and XRD analysis results.
Figure 5.
EDX spectroscopy: (a)—SA sample; (b)—SE sample; (c)—SF sample.
Table 3.
Elemental content on surfaces of samples.
3.2. Oxidation Kinetics
3.2.1. TG/DTG Characteristics
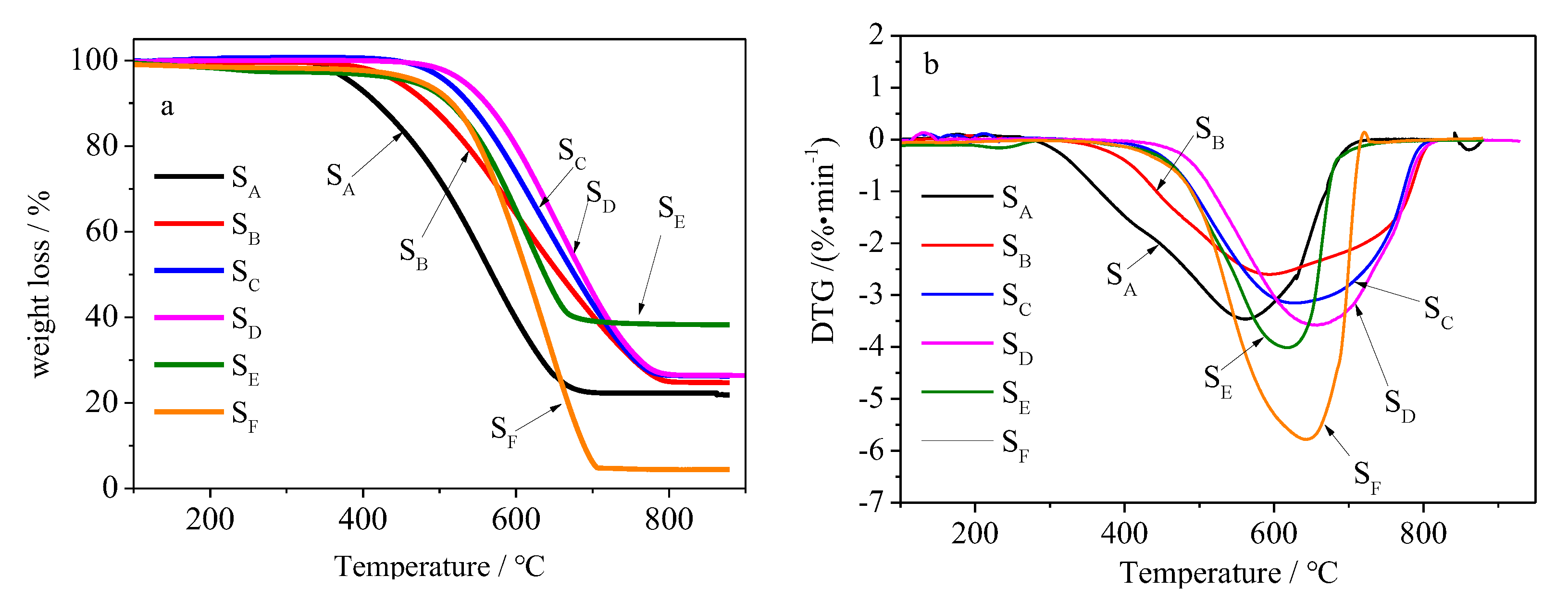
The TG and DTG curves of the samples during oxidation reactions under a 2% O2 + 98% N2 atmosphere are shown in Figure 6, with their corresponding basic characteristic parameters presented in Table 4. Biomass samples typically exhibit a weight loss peak in the DTG curve due to moisture release around 100 °C during pyrolysis, oxidation, and gasification. In this study, the particle samples were dried for an extended period prior to testing, resulting in an inconspicuous weight loss peak in both the TG and DTG curves. The fluctuations observed in the DTG curve at 200 °C can be attributed to measurement errors. According to the results, there was a significant weight loss as the temperature gradually increased from 300 to 900 °C. The final mass percentage of the residue closely matched the ash content in Table 1. From Table 4 and the DTG curves in Figure 6, it can be concluded that the maximum oxidation weight loss rate (ranging from 2.59 to 3.57% • min−1) did not significantly change with the increasing temperature treatment of the FCPs. However, the temperature of the initial weight loss and the temperature corresponding to the maximum weight loss rate shifted to higher temperatures. These results indicated that it became more difficult for FCPs pretreated at higher temperatures to react with O2.
Figure 6.
TG and DTG curves of samples.
Table 4.
The oxidation characteristic parameters of the samples.
Additionally, the oxidation TG and DTG curves of commercial char particles revealed that their maximum weight loss rates were higher, but the starting oxidation temperature was relatively close to that of the SC sample. For the SF sample, there was little change in other characteristic parameters except for the significant increase in the final weight loss and maximum weight loss rates compared with that of the SE sample. Combining the characterization results in Section 3.1, it could be inferred that acid washing was mainly associated with the removal of ash rather than the oxidation characteristic parameters.
3.2.2. Kinetic Parameter
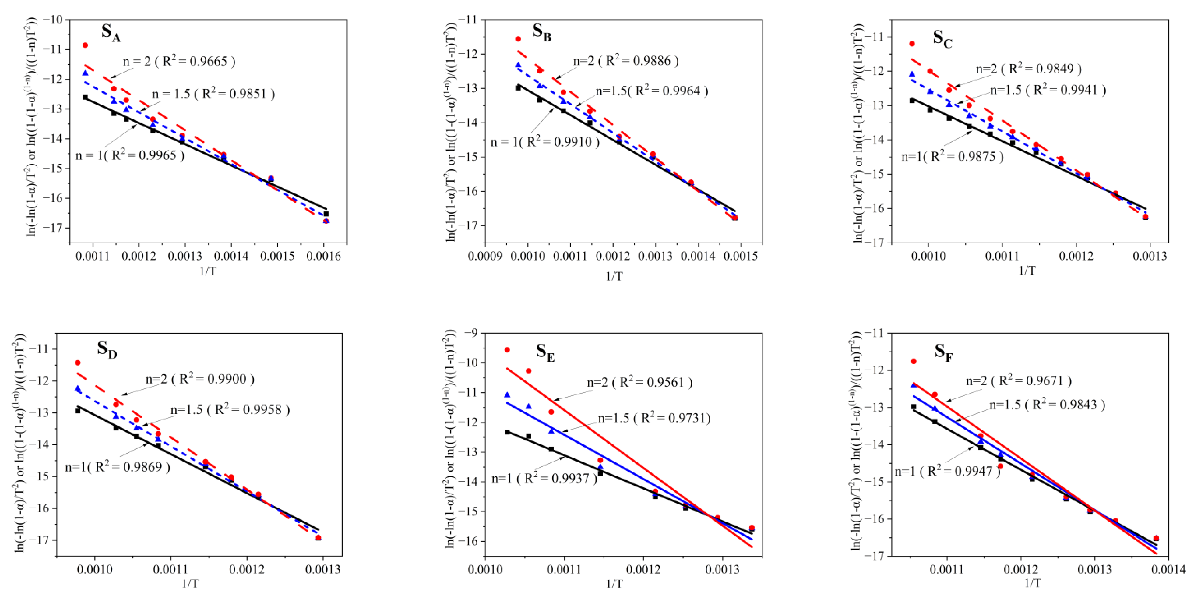
The kinetic parameters during the oxidation reactions of the samples were calculated and are shown in Figure 7 and Table 5. It is evident that the R2 value of the SA sample and commercial char (SE and SF) are closest to 1 at n = 1 through fitting and trial calculation, indicating that the oxidation reactions of these samples were close to first-order reactions, with the mechanism function expressed as F(α) = −ln(1 − α). For samples SB, SC, and SD, the oxidation reactions were close to 1.5 order reactions.
Figure 7.
ln[(−ln(1 − α))/T2] or ln[(1 − (1 − α)(1 − n))/((1 − n)T2)] versus 1/T curves of experimental samples oxidation under 2% O2 + 98% N2 atmosphere.
Table 5.
Oxidation kinetic parameters of samples.
The activation energy E and frequency factor A for the oxidation reactions of each sample were calculated, as presented in Table 5. It can be observed that the SA sample has the lowest E value for oxidation reactions, while the SD sample has highest, indicating that higher temperature treatment led to higher activation energy for oxidation reactions. This may be related to the structural changes induced by high-temperature treatment. Furthermore, the E value of commercial char (SE and SF) was relatively close to that of sample SC, and the frequency factors were in the same order of magnitude. This suggests that the extent of oxidation reactions for commercial char is likely similar to that of sample SC, exhibiting higher activity than sample SD, but lower than samples SA and SB.
3.3. Hot Oxidative Filtration of Particles
The results of the hot oxidative filtration experiments for the samples under simulated biomass gasification gas atmosphere are presented in Table 6. During the filtration process, competitive oxidation reactions among the gas components and reactions between the gas and samples occurred. The increase in CO2 concentration was attributed by both the oxidation of CO or CH4 components and the oxidation of carbon in the tested particles.
Table 6.
Results of hot oxidative filtration during different particle layers.
From Table 6, it was evident that the gas composition underwent varying degrees of change after passing through the layer of FCPs (SA, SB, SD and SD). The CO2 concentration in the gas showed a significant increase while the O2 concentration exhibited the opposite trend after filtration, with negligible changes in CO and CH4 concentration. Clearly, the increased CO2 concentration gas after filtration primarily resulted from the oxidation reactions of the particulates. The H2 concentration with a decrease ranging of 0~5% showed a certain degree of oxidation with O2, which was likely related to particle involvement during filtration. Jiang et al. discovered that H2 had the lowest reaction temperature, at 450–500 °C, during oxidation reactions in the gas, likely due to the lowest activation energy [15]. The carbon oxidation during hot filtration at 400 °C most probably produced localized overheating, leading to the formation of “hot spots” among particles. When passed through these areas, the slow oxidation of H2 occurred and resulted in a small decline. Additionally, the ΔC values and O2 concentration gradually decrease during the SA, SB, SC, and SD particle oxidation, indicating that their oxidative activity followed the order SA > SB > SC > SD during hot oxidative filtration. The results proved that high-temperature treatment of the FCPs significantly reduced their oxidation activity, which could also be supported by the E value changes in Table 5.
Subsequently, the hot oxidative filtration tests of the SE and SF samples were carried out under the same conditions. Similarly to the results in the FCPs tests, the O2 concentration exhibited a significant decrease while the CO2 concentration showed an obvious increase during the SE and SF tests. Meanwhile, the H2 concentration showed a relatively small decrease and the CH4 concentration change could be considered negligible. Interestingly enough, a notable decrease in CO concentration was detected when simulated gas passed through the SE sample layer, whereas little change was detected in the SF sample test. It could be concluded that both CO and carbon could react with O2 during the SE sample test according to the ΔC values, in contrast with the SE and SF tests. This phenomenon was caused by metallic oxides in the samples and will be analyzed during the Discussion Section. Moreover, the results of SE oxidation were similar to those of sample SC, which was consistent with the conclusions drawn from the E values in Table 5.
4. Discussion
The physical and chemical characteristics of the carbon particles significantly influence the gas–solid phase reactions. The main factors affecting the reaction rates of the oxidation, gasification, and combustion of the carbon particulates include specific surface area, types of surface functional groups, and mineral in ash. However, the specific surface area of carbon-containing particles collected from biomass gasification in the filter is generally quite low [9]. According to the summary literature, the specific surface area of bio-char derived through pyrolysis is not higher than 363.6 m2/g [23]. The FCP samples in this study were filter particles from wood chip gasification, and their specific surface area was extremely low due to the combustion of their carbon structure during the gasification process, which limited the formation of pore structures [24]. Furthermore, some particulates were formed through tar condensation reactions rather than wood chip carbonization reactions, leading to their low specific surface area. Therefore, the impact of the surface adsorption process on the hot oxidative filtration reactions could be neglected. Based on the reaction results in Table 6 and the characterization data from FTIR, XRF, XRD, and EDX, it could be concluded that the functional groups and minerals played a significant role in this reaction process.
4.1. Effect of Surface Functional Groups
In bio-char, eight types of common functional groups can be detected and determined through the frequency of the absorption band in the FTIR spectra [22], providing a basis to identify the functional groups in the tested samples. According to the results in Section 3, it could be found that the condensation degree of the aromatic nucleus in FCPs progressively increased with rising treatment temperature. This was primarily attributed to the influence of aliphatic/branched –CHn functional groups in the particles. Jiang et al. conducted experiments on these types of particles for 20 h, and the characterization of the particles at different reaction times showed that the aliphatic or branched –CHn functional groups gradually detached as the reaction time increased [15]. Karthik et al. demonstrated that the aliphatic or branched–CHn functional group in coal soot could promote its oxidation reaction significantly, improving its reaction performance [25]. In this study, the absorption peak of aliphatic or branched –CHn functional groups (around 2930 cm−1) was clearly observed in the SA sample but gradually decreased and even disappeared in SB, SC, and SD. As shown in Figure 8, the aliphatic or branched –CHn functional groups exhibited a significant reduction after 5 h filtration, indicating that the oxidation or pyrolysis of the –CHn functional group occurred. The FTIR characterization showed no obvious aliphatic or branched –CHn functional group in SE and SF (in Figure 3). During hot filtration, a small amount of O2 would react with H2, while most O2 was consumed by C or CO of and converted into CO2. In addition, with the continuous occurrence of oxidation reaction, the relative content of oxygen functional groups (lactones, carboxylic acids) around 1700 cm−1 had a slight increase (Figure 8), suggesting that carbon oxidation reactions occurred in the particles. Clearly, the presence of –CHn and oxygen functional groups in carbon particles enhances the activity of the oxidation in hot filtration.
Figure 8.
FTIR infrared spectra of FCPs: B—before reaction of SA; A—after reaction of SA.(The arrow positions indicate the absorption peak locations of the –CHn functional groups.)
4.2. Effect of Minerals
Numerous studies have demonstrated that alkali and alkaline earth metals (e.g., K, Na, Ca, Mg, etc.) can improve the gasification reaction activity of carbon particles [26,27,28]. The mechanism is that metal salts form “spot” activation centers on the surface of carbon particles, thereby reducing the activation energy required for particle gasification. In the hot oxidative filtration reaction of this study, however, these metal salts were unlikely to exert an activating effect due to the relatively low temperature of 400 °C, which is significantly lower than typical gasification temperatures. Additionally, the extremely low content of these metal salts (as shown in Table 2) prevented their exposure on the particle surfaces. Conversely, some metal oxides on the surface of the char particles exhibited a strong “catalytic” effect on the oxidation of the combustible components of the gas during the hot oxidative filtration. This was clearly illustrated by comparing the results of the SE and SF samples. Although Table 5 showed that the A and E values of the SE and SF samples were very similar when oxidized under a 2% O2 + 98% N2 atmosphere, their reaction behaviors during hot oxidative filtration were markedly different. A competitive oxidation reaction occurred between the combustible components and carbon particles when they came into contact with O2 simultaneously. Due to the complexity of the particles, the ignition point of certain reactants within the particles were significantly lower than those of the combustible components, leading to preferential oxidation of these reactants even in the absence of intense exothermic conditions.
However, the opposite result would probably be received if the active metal oxides were introduced on the surface of the particles. The mechanism is analogous to that of “catalytic combustion” [29,30]. In the presence of active metal oxides, the activation energy (E value) required for the oxidation of the combustible gases is reduced, allowing these gases to be oxidized at lower temperatures through catalytic action. Therefore, the uniform metal oxides on the SE surface promoted the oxidation of combustible gases during hot oxidative filtration, leading to a significant decrease in the calorific value of the gas. Compared with the tests of SE, the H2 concentration showed only a minor decline during the SE filtration test, with no significant differences observed among all tests. The preferential catalytic oxidation of CO over H2 may be attributed to a higher reduction capacity of CO compared to H2.
In fact, FCPs also contained a certain amount of active metal oxides (as shown in Table 2 and Table 3), which had little effect on their hot oxidative filtration. On the one hand, the contents of these metal oxides were significantly lower than that in the SE sample. On the other hand, they were primarily present in the ash and did not effectively contact with CO during filtration, resulting in negligible effects on CO concentration. Therefore, if the carbon particles contain a high mineral content and are of very small size, it is essential to further investigate the influence of metal content on the combustible gas component during the hot oxidative filtration technology.
5. Conclusions
In this paper, the characteristics of carbon-containing particles and their effects on the hot oxidative filtration under a simulated biomass gasification atmosphere were investigated. The oxidation kinetics analysis reveals that the oxidation reaction of the untreated FCPs and commercial char are close to first-order reactions while those of the FCPs treated at 600~1000 °C exhibit 1.5-order kinetics. As the treatment temperature increases, the activation energy for the oxidation reaction of FCPs gradually rises. Calculations show that the activation energy ranges from 55.24 to 117.84 KJ/mol with the activation energy of commercial char being similar to those of the FCPs pretreated at 800 °C. Additionally, the FCPs will be obviously oxidized to produce CO2 during hot filtration at 400 °C when a low O2 concentration of 2.0 vol. % is introduced into the biomass gasification gas. Other gas components remain largely unchanged, except for a slight decrease in H2 concentration during hot oxidative filtration. FTIR analysis indicates that FCPs possess rich surface functionality, which enhances activity during hot oxidative filtration, particularly the aliphatic or branched –CHn functional groups. As the treatment temperature increases, the number of surface functional groups rapidly decreases, and the degree of carbon particle condensation gradually increases, as confirmed by XRD analysis. Furthermore, combining XRF, XRD, and EDX characterization of commercial char reveals that metallic oxides on the surface of commercial char particles significantly promote the catalytic oxidation of CO when the mixture gas passes through the particle layer.
Author Contributions
Conceptualization, J.J. and X.J.; methodology, J.J.; validation, J.J. and Q.L.; formal analysis, Q.L.; investigation, J.J. and F.L.; resources, P.L.; data curation, J.J. and Q.L.; writing—original draft preparation, J.J.; writing—review and editing, X.J. and P.Z.; visualization, J.J., H.F. and X.W.; supervision, X.J.; project administration, J.J.; funding acquisition, X.J. All authors have read and agreed to the published version of the manuscript.
Funding
This research was supported by the National Natural Science Foundation of China (grant number: 51969017) and the Science and Technology Projects of the Education Department of Jiangxi Province (grant number: GJJ2401405 and GJJ201913). Additionally, this work was also funded by the college students’ innovation and entrepreneurship training program project (number: 2024142).
Institutional Review Board Statement
Not applicable.
Informed Consent Statement
Not applicable.
Data Availability Statement
The original contributions presented in this study are included in the article. Further inquiries can be directed to the corresponding author.
Conflicts of Interest
The authors declare no conflicts of interest.
Abbreviations
The following abbreviations are used in this manuscript.
| FCPs | filter cake particles |
| PM | particulate matter |
| TF | temperature of filtration |
| FTIR | Fourier Transform Infrared Spectrometer |
| SEM | scanning electron microscopy |
| EDX | Energy Dispersive X-Ray Spectroscopy |
| XRF | X-ray fluorescence |
| XRD | X-ray diffraction |
References
- Simell, P.; Hannula, I.; Tuomi, S.; Nieminen, M.; Kurkela, E.; Hiltunen, I.; Kaisalo, N.; Kihlman, J. Clean syngas from biomass—Process development and concept assessment. Biomass Convers. Biorefinery 2014, 4, 357–370. [Google Scholar] [CrossRef]
- Woolcock, P.J.; Brown, R.C. A review of cleaning technologies for biomass-derived syngas. Biomass Bioenergy 2013, 52, 54–84. [Google Scholar] [CrossRef]
- Li, S.; Baeyens, J.; Dewil, R.; Appels, L.; Zhang, H.; Deng, Y. Advances in rigid porous high temperature filters. Renew. Sustain. Energy Rev. 2021, 139, 110713. [Google Scholar] [CrossRef]
- Gregorovičová, E.; Pospíšil, J. Ceramic filters for high-temperature flue gas filtration and their regeneration: A review of the current state of knowledge. Process Saf. Environ. Prot. 2024, 190, 688–703. [Google Scholar] [CrossRef]
- Tuomi, S.; Kurkela, E.; Simell, P.; Reinikainen, M. Behaviour of tars on the filter in high temperature filtration of biomass-based gasification gas. Fuel 2015, 139, 220–231. [Google Scholar] [CrossRef]
- Hurley, J.P.; Mukherjee, B.; Mann, M.D. Assessment of filter dust characteristics that cause filter failure during hot-gas filtration. Energy Fuels 2006, 20, 1629–1638. [Google Scholar] [CrossRef]
- Kurkela, E. Formation and Removal of Biomass-Derived Contaminants in Fluidised-Bed Gasification Processes; VTT Publications: Espoo, Finland, 1996; p. x-47. [Google Scholar]
- Schaafhausen, S.; Yazhenskikh, E.; Heidenreich, S.; Müller, M. Corrosion of silicon carbide hot gas filter candles in gasification environment. J. Eur. Ceram. Soc. 2014, 34, 575–588. [Google Scholar] [CrossRef]
- Bläsing, M.; Schaafhausen, S.; Müller, M. Investigation of alkali induced corrosion of SiC filter candles at high temperature, in gasification environment. J. Eur. Ceram. Soc. 2014, 34, 1041–1044. [Google Scholar] [CrossRef]
- Gustafsson, E.; Lin, L.; Strand, M. Characterization of particulate matter in the hot product gas from atmospheric fluidized bed biomass gasifiers. Biomass Bioenergy 2011, 35, S71–S78. [Google Scholar] [CrossRef]
- San Miguel, G.; Domínguez, M.P.; Hernández, M.; Sanz-Pérez, F. Characterization and potential applications of solid particles produced at a biomass gasification plant. Biomass Bioenergy 2012, 47, 134–144. [Google Scholar] [CrossRef]
- Kamiya, H.; Sekiya, Y.; Horio, M. Thermal stress fracture of rigid ceramic filter due to char combustion in collected dust layer on filter surface. Powder Technol. 2001, 115, 139–145. [Google Scholar] [CrossRef]
- Choi, S.; Oh, K.C.; Lee, C.B. The effects of filter porosity and flow conditions on soot deposition/oxidation and pressure drop in particulate filters. Energy 2014, 77, 327–337. [Google Scholar] [CrossRef]
- Du, Y.; Meng, Z.; Fang, J.; Qin, Y.; Jiang, Y.; Li, S.; Li, J.; Chen, C.; Bai, W. Characterization of soot deposition and oxidation process on catalytic diesel particulate filter with ash loading through an optimized visualized method. Fuel 2019, 243, 251–261. [Google Scholar] [CrossRef]
- Jiang, J.-F.; Lang, L.; Lin, L.-T.; Liu, H.-C.; Yin, X.-L.; Wu, C.-Z. Partial oxidation of filter cake particles from biomass gasification process in the simulated product gas environment. Energy Fuels 2018, 32, 1703–1710. [Google Scholar] [CrossRef]
- Lang, L.; Yang, W.; Xie, J.; Yin, X.; Wu, C.; Lin, J.Y. Oxidative filtration for flyash & tar removal from 1.0 MWth fixed-bed biomass air gasification. Biomass Bioenergy 2019, 122, 145–155. [Google Scholar]
- Lang, L.; Zhu, H.-Y.; Ding, Y.-N.; Yin, X.-L.; Wu, C.-Z.; Yu, X.; Bridgwater, A.V. Mini-review on hot gas filtration in biomass gasification: Focusing on ceramic filter candles. Energy Fuels 2021, 35, 11800–11819. [Google Scholar] [CrossRef]
- Guo, S.; Zhou, X.; Song, S.; Mei, Y.; Zhao, J.; Fang, Y. Optimization of leaching conditions for removing sodium from sodium-rich coals by orthogonal experiments. Fuel 2017, 208, 499–507. [Google Scholar] [CrossRef]
- Mian, I.; Li, X.; Jian, Y.; Dacres, O.D.; Zhong, M.; Liu, J.; Ma, F.; Rahman, N. Kinetic study of biomass pellet pyrolysis by using distributed activation energy model and Coats Redfern methods and their comparison. Bioresour. Technol. 2019, 294, 122099. [Google Scholar] [CrossRef]
- Ali, S.; Hussain, S.A.; Tohir, M.Z.M.; Nuruddin, A.A. Investigation of kinetic decomposition characteristics of Malaysian wood species using Coats and Redfern (CR) method. Mater. Today Proc. 2021, 42, 178–185. [Google Scholar] [CrossRef]
- Zhao, S.; Luo, Y.; Zhang, Y.; Long, Y. Experimental investigation of the synergy effect of partial oxidation and bio-char on biomass tar reduction. J. Anal. Appl. Pyrolysis 2015, 112, 262–269. [Google Scholar] [CrossRef]
- Jiang, S.F.; Sheng, G.P.; Jiang, H. Advances in the characterization methods of biomass pyrolysis products. ACS Sustain. Chem. Eng. 2019, 7, 12639–12655. [Google Scholar] [CrossRef]
- Mastalerz, M.; Drobniak, A.; Briggs, D.; Bradburn, J. Variations in microscopic properties of biomass char: Implications for biochar characterization. Int. J. Coal Geol. 2023, 271, 104235. [Google Scholar] [CrossRef]
- Marsh, H.; Rodríguez-Reinoso, F. Activated Carbon; Elsevier Science & Technology: Amsterdam, The Netherlands, 2006. [Google Scholar]
- Nithyanandan, K.; Lin, Y.; Donahue, R.; Meng, X.; Zhang, J.; Lee, C.-F.F. Characterization of soot from diesel-CNG dual-fuel combustion in a CI engine. Fuel 2016, 184, 145–152. [Google Scholar] [CrossRef]
- Jiao, W.; Wang, Z.; Jiao, W.; Li, L.; Zuo, Z.; Li, G.; Hao, Z.; Song, S.; Huang, J.; Fang, Y. Influencing factors and reaction mechanism for catalytic CO2 gasification of sawdust char using K-modified transition metal composite catalysts: Experimental and DFT studies. Energy Convers. Manag. 2020, 208, 112522. [Google Scholar] [CrossRef]
- Kirtania, K.; Axelsson, J.; Matsakas, L.; Christakopoulos, P.; Umeki, K.; Furusjö, E. Kinetic study of catalytic gasification of wood char impregnated with different alkali salts. Energy 2017, 118, 1055–1065. [Google Scholar] [CrossRef]
- Chen, X.; Miao, Z.; Chen, Y.; Zhuang, J.; Lv, J.; Jiang, E.; Hu, Z. Effect of alkali and alkaline earth metals on agglomeration in biomass chemical looping gasification. J. Energy Inst. 2024, 117, 101815. [Google Scholar] [CrossRef]
- Waqas, M.; El Kasmi, A.; Wu, L.-N.; Arshad, M.F.; Qin, W.; Tian, Z.-Y. Catalytic combustion of CO over Cu-doped iron oxides: CO2 effects on activity. Fuel 2021, 289, 119760. [Google Scholar] [CrossRef]
- Wang, L.; Hu, W.; Shang, Z.; Cao, X.; Guo, Y.; Li, J.; Gu, Q.; Li, K.; Li, X. Regulating potassium state to enable the high performance of Co3O4 for catalytic oxidation. Fuel 2023, 335, 126968. [Google Scholar] [CrossRef]
Disclaimer/Publisher’s Note: The statements, opinions and data contained in all publications are solely those of the individual author(s) and contributor(s) and not of MDPI and/or the editor(s). MDPI and/or the editor(s) disclaim responsibility for any injury to people or property resulting from any ideas, methods, instructions or products referred to in the content. |
© 2025 by the authors. Licensee MDPI, Basel, Switzerland. This article is an open access article distributed under the terms and conditions of the Creative Commons Attribution (CC BY) license (https://creativecommons.org/licenses/by/4.0/).







