The Possibility of Intermittent Water Spray Implementation in a Non-Porous Indirect Evaporative Cooler
Abstract
1. Introduction
1.1. Evaporative Cooling Technology
1.2. Heat Exchanger Material
1.3. Intermittent Water System Operation
1.4. Research Gap
1.5. Objective and Novelty of the Study
2. Materials and Methods
2.1. Test Rig
2.1.1. Airflow Organization
2.1.2. Heat Exchanger
2.1.3. Water System
2.1.4. Measurements
2.1.5. Parameter Setting
2.2. Regression Model
2.2.1. Operation After Water System Turnoff
- Turnoff of the water system;
- Lowest T2 value is achieved;
- T2 value starts to increase;
- T2 is equal to the T2 in τ = 0 s.
2.2.2. Regression Analysis
3. Results and Discussion
3.1. Supply Air Parameters
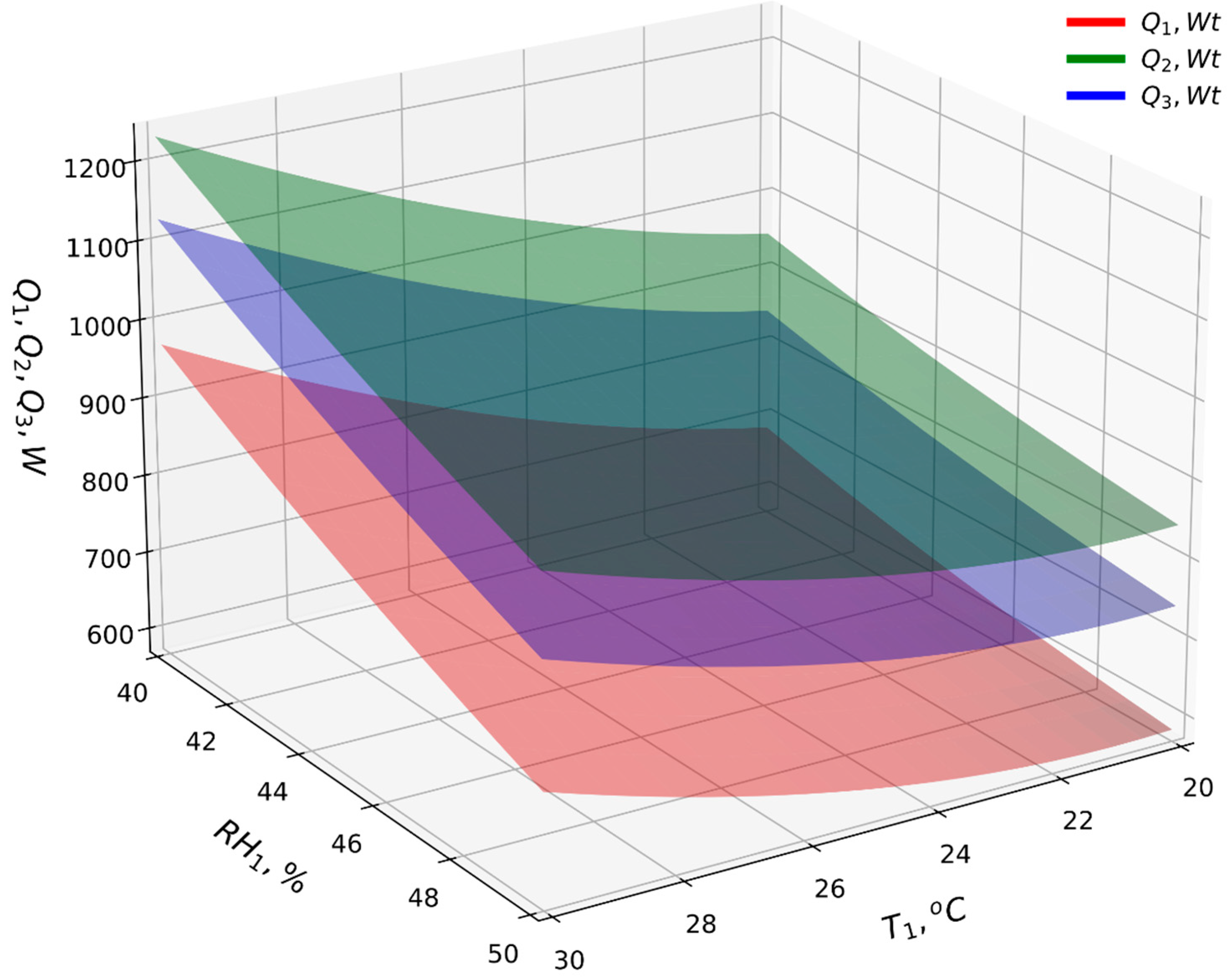
3.2. Cooling Capacity
3.3. Minimum Supply Air Temperature (T2)
4. Conclusions
- The experimental findings reveal that in the investigated device, after the water system is turned off, the supply air temperature (T2) decreases initially by 5.9–11.1 K, stabilizes at a minimum value, and then gradually rises back to the initial temperature. This characteristic offers an opportunity for optimizing intermittent water spraying cycles.
- The investigated system can also work in moderate climate conditions.
- Evaporative cooling devices with non-porous surfaces but with upgraded water supply system (intermittent spraying) have great potential for improvements in terms of energy efficiency (water pump pause time can achieve up to around 1000 s).
- The findings suggest that there is a specific time (4–6 min) after water system turnoff when the cooling capacity achieves maximum value. Optimized pause time in intermittent water supply can enhance DIEC performance, providing a basis for future research.
- Future studies can focus on developing control systems for intermittent spraying to maximize performance and energy efficiency in varying climatic conditions.
Author Contributions
Funding
Data Availability Statement
Conflicts of Interest
References
- Tahir, F.; Al-Ghamdi, S.G. Climatic Change Impacts on the Energy Requirements for the Built Environment Sector. Energy Rep. 2023, 9, 670–676. [Google Scholar] [CrossRef]
- Labriet, M.; Joshi, S.R.; Vielle, M.; Holden, P.B.; Edwards, N.R.; Kanudia, A.; Loulou, R.; Babonneau, F. Worldwide Impacts of Climate Change on Energy for Heating and Cooling. Mitig. Adapt. Strateg. Glob. Change 2015, 20, 1111–1136. [Google Scholar] [CrossRef]
- Szczęśniak, S. Systemy Wentylacji i Klimatyzacji Budynków w Kontekście Neutralności Węglowej. Ciepłownictwo Ogrzewnictwo Wentylacja 2024, 1, 33–40. [Google Scholar] [CrossRef]
- Dhawan, V.; Shah, N.; Dreyfuss, G.; Zaelke, D.; Osho, Z.; Murphy, A.; Seth, S. Low Carbon Development Pathways for Cooling: Leveraging Kigali Amendment Across Residential Applications; Lawrence Berkeley National Laboratory: Berkeley, CA, USA, 2023. [Google Scholar] [CrossRef]
- Shahzad, M.W.; Burhan, M.; Ybyraiymkul, D.; Oh, S.J.; Ng, K.C. An Improved Indirect Evaporative Cooler Experimental Investigation. Appl. Energy 2019, 256, 113934. [Google Scholar] [CrossRef]
- Szczęśniak, S.; Stefaniak, Ł. Global Warming Potential of New Gaseous Refrigerants Used in Chillers in HVAC Systems. Energies 2022, 15, 5999. [Google Scholar] [CrossRef]
- Lundgren-Kownacki, K.; Hornyanszky, E.D.; Chu, T.A.; Olsson, J.A.; Becker, P. Challenges of Using Air Conditioning in an Increasingly Hot Climate. Int. J. Biometeorol. 2018, 62, 401–412. [Google Scholar] [CrossRef] [PubMed]
- Ismail, M.; Yebiyo, M.; Chaer, I. A Review of Recent Advances in Emerging Alternative Heating and Cooling Technologies. Energies 2021, 14, 502. [Google Scholar] [CrossRef]
- Pezzutto, S.; Quaglini, G.; Riviere, P.; Kranzl, L.; Novelli, A.; Zambito, A.; Wilczynski, E. Screening of Cooling Technologies in Europe: Alternatives to Vapour Compression and Possible Market Developments. Sustainability 2022, 14, 2971. [Google Scholar] [CrossRef]
- Xiao, X.; Liu, J. A State-of-Art Review of Dew Point Evaporative Cooling Technology and Integrated Applications. Renew. Sustain. Energy Rev. 2024, 191, 114142. [Google Scholar] [CrossRef]
- Lai, L.; Wang, X.; Hu, E.; Choon Ng, K. A Vision of Dew Point Evaporative Cooling: Opportunities and Challenges. Appl. Therm. Eng. 2024, 244, 122683. [Google Scholar] [CrossRef]
- Li, R.; Wang, W.; Shi, Y.; Wang, C.-T.; Wang, P.; Li, R.; Wang, W.; Shi, Y.; Wang, P.; Wang, C.-T. Advanced Material Design and Engineering for Water-Based Evaporative Cooling. Adv. Mater. 2024, 36, 2209460. [Google Scholar] [CrossRef] [PubMed]
- Yang, Y.; Cui, G.; Lan, C.Q. Developments in Evaporative Cooling and Enhanced Evaporative Cooling—A Review. Renew. Sustain. Energy Rev. 2019, 113, 109230. [Google Scholar] [CrossRef]
- Stefaniak, Ł.; Szczęśniak, S.; Walaszczyk, J.; Rajski, K.; Piekarska, K.; Danielewicz, J. Challenges and Future Directions in Evaporative Cooling: Balancing Sustainable Cooling with Microbial Safety. Build Environ. 2025, 267, 112292. [Google Scholar] [CrossRef]
- Gorlach, J.; Gazda, D.; Trusz, A.; Walaszczyk, J.J.; Szczęsniak, S.; Piekarska, K. Ventilation and Air Conditioning Systems Are a Source of Antibiotic-Resistant Bacteria—A Review. Build Environ. 2025, 271, 112583. [Google Scholar] [CrossRef]
- Yang, H.; Shi, W.; Chen, Y.; Min, Y. Research Development of Indirect Evaporative Cooling Technology: An Updated Review. Renew. Sustain. Energy Rev. 2021, 145, 111082. [Google Scholar] [CrossRef]
- Stefaniak, Ł.; Rajski, K.; Danielewicz, J. Przegląd Zastosowania Nanopłynów Oraz Materiałów Porowatych w Pośrednim Chłodzeniu Wyparnym. Ciepłownictwo Ogrzewnictwo Wentylacja 2023, 1, 35–42. [Google Scholar] [CrossRef]
- Guilizzoni, M.; Milani, S.; Liberati, P.; De Antonellis, S. Effect of Plates Coating on Performance of an Indirect Evaporative Cooling System. Int. J. Refrig. 2019, 104, 367–375. [Google Scholar] [CrossRef]
- Chen, Y.; Liu, L.; Yan, H.; Tao, Q.; Fan, Y. Study of a Nano-Coated Hydrophilic Polymer for Indirect Evaporative Cooler from Wetting, Thermal and Corrosion Resistance Performance. Appl. Therm. Eng. 2024, 257, 124180. [Google Scholar] [CrossRef]
- You, Y.; Wang, G.; Yang, B.; Guo, C.; Ma, Y.; Cheng, B. Study on Heat Transfer Characteristics of Indirect Evaporative Cooling System Based on Secondary Side Hydrophilic. Energy Build. 2022, 257, 111704. [Google Scholar] [CrossRef]
- Zhao, X. Porous Materials for Direct and Indirect Evaporative Cooling in Buildings. In Materials for Energy Efficiency and Thermal Comfort in Buildings; Elsevier: Amsterdam, The Netherlands, 2010; pp. 399–426. [Google Scholar]
- Wijaksana, H.; Winaya, I.N.S.; Sucipta, M.; Ghurri, A. An Overview of Different Indirect and Semi-Indirect Evaporative Cooling System for Study Potency of Nanopore Skinless Bamboo as An Evaporative Cooling New Porous Material. J. Adv. Res. Fluid Mech. Therm. Sci. 2020, 76, 109–116. [Google Scholar] [CrossRef]
- Sofia, E.; Putra, N. Evaporative Cooling Innovations—A Review. In AIP Conference Proceedings; AIP Publishing: New York, NY, USA, 2020; p. 020036. [Google Scholar]
- Sofia, E.; Putra, N.; Kosasih, E.A. Development of Indirect Evaporative Cooler Based on a Finned Heat Pipe with a Natural-Fiber Cooling Pad. Heliyon 2022, 8, e12508. [Google Scholar] [CrossRef] [PubMed]
- Xu, P.; Ma, X.; Zhao, X.; Fancey, K. Experimental Investigation of a Super Performance Dew Point Air Cooler. Appl. Energy 2017, 203, 761–777. [Google Scholar] [CrossRef]
- Grzegorzek, M.; Wartalska, K.; Kaźmierczak, B. Review of Water Treatment Methods with a Focus on Energy Consumption. Int. Commun. Heat Mass Transf. 2023, 143, 106674. [Google Scholar] [CrossRef]
- Sun, T.; Huang, X.; Chen, Y.; Zhang, H. Experimental Investigation of Water Spraying in an Indirect Evaporative Cooler from Nozzle Type and Spray Strategy Perspectives. Energy Build. 2020, 214, 109871. [Google Scholar] [CrossRef]
- Shi, W.; Min, Y.; Ma, X.; Chen, Y.; Yang, H. Performance Evaluation of a Novel Plate-Type Porous Indirect Evaporative Cooling System: An Experimental Study. J. Build. Eng. 2022, 48, 103898. [Google Scholar] [CrossRef]
- Shi, W.; Min, Y.; Ma, X.; Chen, Y.; Yang, H. Dynamic Performance Evaluation of Porous Indirect Evaporative Cooling System with Intermittent Spraying Strategies. Appl. Energy 2022, 311, 118598. [Google Scholar] [CrossRef]
- Wang, F.; Sun, T.; Huang, X.; Chen, Y.; Yang, H. Experimental Research on a Novel Porous Ceramic Tube Type Indirect Evaporative Cooler. Appl. Therm. Eng. 2017, 125, 1191–1199. [Google Scholar] [CrossRef]
- Elahi, S.H.; Farhani, S.D. Increasing Evaporative Cooler Efficiency by Controlling Water Pump Run and off Times. Int. Commun. Heat Mass Transf. 2021, 127, 105525. [Google Scholar] [CrossRef]
- Chen, Y.; Huang, X.; Sun, T.; Chu, J. Experimental Study of Plant Fiber-Polymer Composite for Indirect Evaporative Cooler Application. Appl. Therm. Eng. 2021, 199, 117543. [Google Scholar] [CrossRef]
- Shi, W.; Yang, H.; Ma, X.; Liu, X. A Novel Indirect Evaporative Cooler with Porous Media under Dual Spraying Modes: A Comparative Analysis from Energy, Exergy, and Environmental Perspectives. J. Build. Eng. 2023, 76, 106874. [Google Scholar] [CrossRef]
- Chen, Y.; Yan, H.; Min, Y. Visualized Study of Wetting Enhancement and Thermal Performance of Fiber-Coated Indirect Evaporative Cooler. Appl. Therm. Eng. 2023, 221, 119904. [Google Scholar] [CrossRef]
- Chen, Y.; Yan, H.; Pan, Y. Wetting and Evaporative Performance Analysis of Wet Channels in Indirect Evaporative Cooler with Hydrophilic Nano-Coating. Appl. Therm. Eng. 2023, 229, 120622. [Google Scholar] [CrossRef]
- Khan, I.; Khalid, W.; Ali, H.M.; Sajid, M.; Ali, Z.; Ali, M. An Experimental Investigation on the Novel Hybrid Indirect Direct Evaporative Cooling System. Int. Commun. Heat Mass Transf. 2024, 155, 107503. [Google Scholar] [CrossRef]
- Szczęśniak, S.; Stefaniak, Ł.; Kanaś, P.; Małyszko, M.; Jaskóła, W.; Brzeźniak, K. O Potrzebie Zmian Parametrów Obliczeniowych Powietrza Zewnętrznego Na Przykładzie Miasta Wrocław. Ciepłownictwo Ogrzewnictwo Wentylacja 2023, 1, 13–20. [Google Scholar] [CrossRef]
- Szczęśniak, S.; Karpuk, M.; Stefaniak, Ł.; Grabka, A.; Michalak, W.; Jaskóła, W.; Maciewicz, M. Obowiązujące Normy Na Tle Rzeczywistych Wartości Temperatury Powietrza Zewnętrznego w Polsce. Ciepłownictwo Ogrzewnictwo Wentylacja 2024, 1, 22–31. [Google Scholar] [CrossRef]
- Abd Manaf, I.; Durrani, F.; Eftekhari, M. A Review of Desiccant Evaporative Cooling Systems in Hot and Humid Climates. Adv. Build. Energy Res. 2021, 15, 1–42. [Google Scholar] [CrossRef]
- Pakari, A.; Ghani, S. Regression Models for Performance Prediction of Counter Flow Dew Point Evaporative Cooling Systems. Energy Convers. Manag. 2019, 185, 562–573. [Google Scholar] [CrossRef]
- Montgomery, D.; Jennings, C.; Kulahci, M. Introduction to Time Series Analysis and Forecasting, 2nd ed.; John Wiley & Sons, Inc.: New York, NY, USA, 2015. [Google Scholar]
- Fuller, W. Introduction to Statistical Time Series, 2nd ed.; John Wiley & Sons, Inc.: New York, NY, USA, 1996. [Google Scholar]
- Simonoff, J.S. Smoothing Methods in Statistics; Springer: New York, NY, USA, 1996; ISBN 978-1-4612-8472-7. [Google Scholar]
- Darlington, R.; Hayes, A. Regression Analysis and Linear Models. Concepts, Applications, and Implementation; The Guilford Press: New York, NY, USA, 2017. [Google Scholar]
- Montgomery, D.; Peck, E.; Vinning, G. Introduction to Linear Regression Analysis, 5th ed.; John Wiley & Sons, Inc.: New York, NY, USA, 2012. [Google Scholar]










| Year | Source | Type * | Porous Heat Exchanger Surface | Surface Type |
|---|---|---|---|---|
| 2017 | Xu et al. [25] | E | Yes | Fabric |
| 2017 | Wang et al. [30] | E | Yes | Ceramics |
| 2020 | Sun et al. [27] | E | Yes | Ceramics |
| 2021 | Elahi et al. [31] | E | Yes | - |
| 2021 | Chen et al. [32] | E | Yes | Plant fiber–polymer composite |
| 2022 | Shi et al. [29] | T/E | Yes | Stainless steel + sintered porous nickel |
| 2022 | Shi et al. [28] | E | Yes | Stainless steel + sintered porous nickel |
| 2023 | Shi et al. [33] | E | Yes | Stainless steel + sintered porous nickel |
| 2023 | Chen et al. [34] | E | Yes | Fiber fabric |
| 2023 | Chen et al. [35] | E | Yes | TiO2/SiO2 nano-coated polypropylene |
| 2024 | Chen et al. [19] | E | Yes | TiO2/SiO2 nano-coated polypropylene |
| 2024 | Khan et al. [36] | E | Yes | SuperKool cellulose cooling pad |
| Parameter | Instrument | Accuracy | |
|---|---|---|---|
| Air | Temperature | Sensirion SHT25 | ±0.2 °C |
| Relative humidity | Sensirion SHT25 | 1.8% (RH 10–90%), 3% (RH 90–100%) | |
| Flow rate (inlet) | SMAY IRIS 250 | 5% | |
| Flow rate (outlet) | Lindab FMU-FMDRU 250-200 | 5% | |
| Water | Temperature | WIKA TF37 Pt100/4/F0,15 | ±(0.15 + 0.002 t) |
| Flow rate | IFM SM6004 magnetic-inductive flow meter | ±(2% MW * + 0.5% MEW **) | |
| Parameter | Value | Unit |
|---|---|---|
| Inlet air temperature | 20, 25, 30 | °C |
| Inlet air relative humidity | 40, 45, 50 | % |
| Water flow rate | 5.94 | L/min |
| Inlet air flow rate | 540 | m3/h |
| Purge ratio | 35 | % |
| Air velocity in dry channel | 2.0 | m/s |
| a0 | aT1 | aT1RH1 | aRH1 |
|---|---|---|---|
| 348.7261 | 71.3488 | −111.0783 | 41.6207 |
| Parameter | Standard Deviation | 95% Confidence Interval | temp | ||
|---|---|---|---|---|---|
| a | 4.2129 | 1.4395 | 3.0125 | 5.8915 | 4.29 |
| b | 0.0059 | 0.0021 | 0.0041 | 0.0084 | 14.41 |
| c | 23.2458 | 5.2116 | 18.6112 | 29.0345 | 14.15 |
| d | 0.4185 | 0.2749 | 0.2258 | 0.7756 | 1.41 |
| f | 0.0009 | 0.0010 | 0.0004 | 0.0024 | 7.28 |
| A | −27.2041 | 0.1240 | −27.4473 | −26.9610 | −219.32 |
| B | 1.0215 | 0.0059 | 1.0100 | 1.0331 | 173.41 |
| C1 | 0.0693 | 0.0199 | 0.0302 | 0.1084 | 3.48 |
| C2 | 1.1074 | 0.0296 | 1.0493 | 1.1654 | 37.41 |
| C3 | −0.2654 | 0.0112 | −0.2874 | −0.2434 | −23.64 |
| Parameter | Standard Deviation | 95% Confidence Interval | temp | ||
|---|---|---|---|---|---|
| a | 53.9280 | 3.6521 | 50.3995 | 57.7037 | 58.93 |
| b | 0.0003 | 0.0000 | 0.0002 | 0.0003 | 74.39 |
| c | 20.8809 | 3.9974 | 17.2628 | 25.2575 | 15.97 |
| d | 0.0691 | 0.0081 | 0.0615 | 0.0777 | 22.77 |
| f | 0.0108 | 0.0013 | 0.0096 | 0.0122 | 36.91 |
| A | −52.9753 | 0.4150 | −53.7880 | −52.1620 | −127.73 |
| B | 0.9666 | 0.0060 | 0.9560 | 0.9770 | 174.04 |
| C1 | 1.9228 | 0.0690 | 1.7880 | 2.0580 | 27.96 |
| C2 | −2.2500 | 0.1020 | 50.3995 | 57.7037 | 58.93 |
| C3 | 1.8252 | 0.0390 | 0.0002 | 0.0003 | 74.39 |
| T1, °C | RH1, % | Time to Achieve Minimum T2, s |
|---|---|---|
| 20 | 40 | 315 |
| 45 | 339 | |
| 50 | 314 | |
| 25 | 40 | 261 |
| 45 | 307 | |
| 50 | 308 | |
| 30 | 40 | 322 |
| 45 | 320 | |
| 50 | 254 |
Disclaimer/Publisher’s Note: The statements, opinions and data contained in all publications are solely those of the individual author(s) and contributor(s) and not of MDPI and/or the editor(s). MDPI and/or the editor(s) disclaim responsibility for any injury to people or property resulting from any ideas, methods, instructions or products referred to in the content. |
© 2025 by the authors. Licensee MDPI, Basel, Switzerland. This article is an open access article distributed under the terms and conditions of the Creative Commons Attribution (CC BY) license (https://creativecommons.org/licenses/by/4.0/).
Share and Cite
Stefaniak, Ł.; Walaszczyk, J.; Karpuk, M.; Rajski, K.; Danielewicz, J. The Possibility of Intermittent Water Spray Implementation in a Non-Porous Indirect Evaporative Cooler. Energies 2025, 18, 882. https://doi.org/10.3390/en18040882
Stefaniak Ł, Walaszczyk J, Karpuk M, Rajski K, Danielewicz J. The Possibility of Intermittent Water Spray Implementation in a Non-Porous Indirect Evaporative Cooler. Energies. 2025; 18(4):882. https://doi.org/10.3390/en18040882
Chicago/Turabian StyleStefaniak, Łukasz, Juliusz Walaszczyk, Michał Karpuk, Krzysztof Rajski, and Jan Danielewicz. 2025. "The Possibility of Intermittent Water Spray Implementation in a Non-Porous Indirect Evaporative Cooler" Energies 18, no. 4: 882. https://doi.org/10.3390/en18040882
APA StyleStefaniak, Ł., Walaszczyk, J., Karpuk, M., Rajski, K., & Danielewicz, J. (2025). The Possibility of Intermittent Water Spray Implementation in a Non-Porous Indirect Evaporative Cooler. Energies, 18(4), 882. https://doi.org/10.3390/en18040882

