Next Article in Journal
Enhancing Vienna Rectifier Performance with a Simplified abc Frame Multi-Loop Control Scheme
Previous Article in Journal
Attention-Guided Multi-Task Learning for Fault Detection, Classification, and Localization in Power Transmission Systems
 
 
Font Type:
Arial Georgia Verdana
Font Size:
Aa Aa Aa
Line Spacing:
Column Width:
Background:
Article

Effects of Construction-Induced Conditions on the Bearing Capacity of Deep-Water Pile Anchors for Floating Offshore Wind Turbines

1
PowerChina Zhongnan Engineering Co., Ltd., Changsha 410014, China
2
State Key Laboratory of Hydraulic Engineering Intelligent Construction and Operation, Tianjin 300072, China
*
Author to whom correspondence should be addressed.
Energies 2025, 18(24), 6548; https://doi.org/10.3390/en18246548
Submission received: 23 October 2025 / Revised: 20 November 2025 / Accepted: 24 November 2025 / Published: 15 December 2025
(This article belongs to the Section A3: Wind, Wave and Tidal Energy)

Abstract

Using the geologically complex Wanning (Hainan) site as context, this study applies finite-element analyses to quantify how three construction-induced conditions—foundation out-of-level, directional misalignment, and seabed scour—affect the bearing performance of deep-water pile-anchor foundations for floating offshore wind. For the Wanning case, typical installation and loading deviations reduce the characteristic resistance by a clearly measurable amount: changing the loading inclination from 30° to 45° and superimposing a 5° out-of-level installation leads to reductions in Rc of approximately 7–10%. A 3 m scour pit around the pile has a more severe impact, decreasing Rc by about 18% for 30° loading and up to 28% for 45° loading. Under accidental-limit-state loading, the maximum pile-head displacement increases from about 0.247 m (ULS) to 0.396 m (ALS), i.e., by roughly 60%. These quantitative results demonstrate that construction-induced deviations and scour can significantly erode safety margins, highlighting the need to control installation accuracy and to explicitly incorporate scour allowances and protection in design.

1. Introduction

The intensifying energy and environmental crises continue to drive the search for clean, efficient, and sustainable alternatives. Against this backdrop, wind energy—renewable, low-pollution, and intrinsically safe—has become a crucial pillar of the global energy transition [1,2]. In particular, floating offshore wind enables power generation in deeper waters while reducing dependence on seabed conditions, thus expanding the feasible development envelope and improving capacity factors [3,4]. Within floating systems, the mooring foundation is a key structural component that ensures platform safety and stable operation; the rationality of its design and selection directly influences overall project safety and economics [5].
As the structural system linking a floating platform to the seabed, the mooring foundation maintains positional stability and verticality under strong winds and currents; it is no exaggeration to say that platform safety and reliability are fundamentally underpinned by the foundation’s load-carrying and deformation behavior. In engineering practice, to accommodate variable environmental and geotechnical conditions as well as installation constraints, a range of foundation solutions is adopted—such as gravity anchors, suction anchors, drag anchors, and pile anchors [6,7]—each with its own advantages and limitations for specific sites and requirements.
Pile anchors are increasingly favored in deep water owing to their robust capacity and adaptability and can continue to serve as mooring foundations at large water depths. However, unlike idealized assumptions in static design, the installation and service process inevitably introduces deviations—such as construction-induced tilt, directional misalignment, and post-installation scour—that may alter the intended load-transfer mechanism and degrade long-term reliability. To accurately assess such potential impacts on safety, construction effects must be explicitly considered in design and managed through appropriate analysis and quality control measures.
Although there is a relatively systematic body of research on pile anchors, studies that specifically address construction-induced effects remain limited; among them, many focus primarily on scour impacts on deep-sea pile foundations. For example, Wu et al. [8] systematically reviewed structural issues of offshore wind foundations, the challenges encountered during construction and installation, and the outstanding research gaps, in order to delineate the scope of construction-effect influences. Hong et al. [9] examined in depth the technical, operational, and economic aspects of installing floating offshore wind farms, providing a comprehensive overview of the state of the art. In parallel, a substantial body of work has been devoted to scour and scour protection of monopile and pile-type foundations. Li et al. [10] numerically simulated local scour around monopile foundations under combined waves and currents, exploring its effects on monopile bearing capacity. Chen et al. [11] integrated field measurements with numerical simulation to investigate how scour depth influences the deformation response and load–displacement characteristics of monopile foundations. Jiu et al. [12] proposed a simplified analysis method for the lateral bearing behavior of piles under scour conditions to evaluate scour-induced changes in lateral capacity. Zhang et al. [13] modified p–y curves by accounting for changes in the stress history of the remaining soil after scour and investigated the lateral load-bearing behavior of piles in sandy foundations under scour. More recent experimental and numerical studies have further clarified the impact of scour and scour protection on the static and dynamic performance of offshore wind foundations, including changes in stiffness, natural frequency and seismic response [14,15,16,17]. By contrast, deep-water pile-anchor foundations for floating offshore wind turbines have received much less attention in terms of construction-induced conditions such as out-of-level installation, directional-angle deviation and their combined effects with scour. Recent experimental and numerical investigations have started to address the bearing behaviour of pile anchors under inclined or multidirectional cyclic loading for floating wind applications, but these studies typically assume ideal installation and neglect realistic construction tolerances [18,19,20]. To date, there is still a lack of systematic research that quantifies how practical construction-induced deviations and scour jointly affect the capacity, displacement response and load-transfer mechanisms of deep-water pile-anchor foundations.
To further clarify how construction effects influence the performance of deep-water pile-anchor foundations in floating offshore wind, this paper takes the Wanning project—characterized by complex geology—as the engineering background. From the three perspectives of foundation out-of-level, directional misalignment, and scour, it conducts numerical simulation and comparative analysis. The aim is to elucidate the mechanisms by which construction effects act on the bearing characteristics of deep-water pile anchors and to provide technical reference for similar deep-sea floating wind projects under complex conditions.

2. Numerical Model

2.1. Environmental Parameters

This study focuses on mooring and anchoring technologies for floating wind turbines in complex marine environments, using the Wanning floating offshore wind project in Hainan as the study object and developing a design for its anchoring foundation. The site is located in deep water with an average depth of approximately 100 m. The seabed geology is complex; soil parameters are given in Table 1. The geotechnical profile exhibits a typical multilayered structure composed primarily of various sediments and rock strata. According to the overall project design, the upper floating platform adopts a semi-submersible hull, positioned by a multi-point catenary mooring system. A systematic sensitivity and uncertainty analysis of the soil parameters and material properties is not included in this study and is therefore identified as an important direction for future research. Future work will focus on varying key parameters (e.g., undrained shear strength, stiffness modulus and interface properties) within plausible ranges to quantify their influence on the predicted capacity and deformation response.

2.2. Pile-Anchor Design Scheme

In selecting the anchoring foundation, the study comprehensively considered key factors including the marine environment, load characteristics, geological conditions, and techno-economic performance. Based on the Wanning soil parameters, a preliminary pile-anchor design was completed: the pile anchor has a length of 50 m and an outer diameter of 3 m. Local wall thickening (80 mm) is applied at the pad-eye connection located 9 m below the pile head to accommodate the complex stress state. The pile anchor uses steels DH36 and DH36-Z35: the anchor body adopts marine steel DH36 and DH36-Z35, and the pad-eye (lug) adopts DH36-Z35. The yield strength is 355 MPa, and the tensile strength is 490–630 MPa. The detailed design dimensions are shown in Figure 1.

2.3. ABAQUS Computational Model

The numerical investigation was conducted using the ABAQUS finite-element program. A numerical model of the deep-water pile-anchor foundation for a floating offshore wind turbine was established. The model boundary conditions are specified as follows: on the lateral boundaries of the soil domain, U1 = U2 = UR3 = 0; at the base of the soil domain, full restraint is imposed, i.e., U1 = U2 = U3 = UR1 = UR2 = UR3 = 0. Contact between the pile and soil is defined as frictional, with a friction coefficient of 0.3. The soil adopts the Mohr–Coulomb constitutive model, and the mesh uses C3D8R elements. The computational model established in ABAQUS is shown in Figure 2. Two representative load inclinations, 30° and 45°, are considered, corresponding to the ultimate limit state (ULS) design load of 9410 kN. The basic calculation cases are listed in Table 2.
Figure 3 presents the two load–displacement curves obtained from the computations. The verification results show that, under all specified cases, the ultimate bearing capacity of the anchoring foundation Rc is significantly greater than the corresponding design load Td (i.e., Rc > Td). This indicates that the currently designed parameters—pile-anchor geometry, material strengths, and pad-eye configuration—satisfy design-code requirements and provide a certain safety margin.

3. Mechanistic Analysis of How Construction Effects Influence the Performance of Deep-Water Pile-Anchor Foundations

To elucidate the mechanisms by which construction effects influence the bearing performance of deep-water pile-anchor foundations, this study investigates three principal aspects—foundation out-of-level, directional angle, and scour. Deviations in foundation levelness may induce non-uniform stress states within the pile anchor, thereby affecting overall bearing performance and displacement response. Directional-angle deviation directly determines the force-coupling relationship between the pile anchor and the mooring line, which in turn affects overall bearing performance and displacement response; directional-angle deviation also directly determines the force-coupling between the pile anchor and the mooring line and thus influences structural stability under combined wind-wave-current actions. The scour effect weakens the effective confinement of the soil surrounding the pile, reducing lateral resistance and uplift capacity.
It should be noted that the present analysis is conducted for the specific geotechnical and metocean conditions of the Wanning site, and the quantitative results should therefore be interpreted as a site-specific case study rather than universally applicable values for all seabed types. Nonetheless, the modelling framework and identified mechanisms are generic and can be readily extended to other soil profiles and foundation layouts. Future work will apply the same approach to a wider range of seabed conditions to assess how different soil types and stratigraphies influence the degree of capacity degradation induced by construction effects.

3.1. Foundation Out-of-Level

Foundation out-of-level refers to the levelness state of the anchoring foundation after construction, i.e., the degree of deviation between the foundation top surface or critical installation plane and the horizontal plane. It is one of the key indicators for assessing construction quality and directly affects the stress state and long-term service performance of the anchoring foundation. In deep-water environments, the construction of pile-anchor foundations mainly relies on vibratory driving, impact driving, or bored piling with post-grouting. During construction, due to vessel motion, ocean currents, and limitations in installation-equipment precision, the top-surface levelness of the pile often fails to meet design requirements. Out-of-level typically manifests as an angular deviation between the pile-top surface and the horizontal reference plane; it can usually be controlled within 0.5–2° but may reach 3–5° under complex sea states. In this study, an installation error of 5° is considered. The ABAQUS computational model is shown in Figure 4, and the design cases are listed in Table 3.
Figure 5 presents displacement contour plots of the soil surrounding the foundation under the four cases. It can be observed that the bearing behaviour of the pile anchor exhibits a typical pile–soil interaction pattern. Under loading, the soil on the windward (loaded) side of the upper pile experiences significant compression, forming a passive-resistance wedge; this region shows the largest displacements, which then attenuate rapidly outward and with depth. The distributions of the soil displacement fields are essentially consistent across all four cases, indicating that the installation error and load deflection angle considered in this study do not alter the primary load-transfer path or the soil failure mode. The pile undergoes an approximately rigid-body rotation about a point near its lower section, with the maximum displacement occurring at the pile head. Under ultimate conditions, the maximum pile-head displacement is within 0.20 m.
It is also noted that the largest pile-head displacement occurs for the 30° loading direction, whereas the displacement becomes slightly smaller when the loading direction is changed to 45° or when a 5° out-of-level installation is introduced. This apparently non-monotonic trend can be explained by the combined effects of load decomposition and the adopted ultimate-state criterion. For a given resultant mooring load, a 30° loading direction produces a larger horizontal component but a smaller vertical component than a 45° direction. Consequently, the 30° case is dominated by lateral loading and bending, which leads to greater pile-head rotation and lateral displacement. In contrast, the 45° case mobilises a larger share of axial compression, increasing confinement around the pile and enhancing the lateral stiffness, so that the maximum displacement at ultimate load is reduced. When a 5° out-of-level installation is considered, the characteristic resistance decreases. As a result, the ultimate state is reached at a lower load level than in the perfectly level cases. Under the present definition of ultimate capacity, this reduction in means that the pile anchor is not pushed to as large an absolute displacement as in the level reference configuration, even though its stiffness and resistance are degraded. Physically, out-of-level installation and load misalignment induce an eccentric load path and a non-uniform redistribution of soil reactions, with increased contact stresses and passive wedges on the downslope side and partial unloading on the upslope side. This evolution of normal and shear stresses along the pile–soil interface, as captured by the contact model, explains why the system exhibits lower capacity but does not necessarily develop a larger maximum displacement at its respective ultimate state.
Figure 6 shows the equivalent plastic-strain contours. On the windward side of the pile anchor, the soil exhibits upward-and-outward extrusion and flow, forming a typical passive failure wedge; macroscopically, this appears as heave in front of the pile, while downward movement occurs to some extent behind and beneath the pile, consistent with the rotational deformation mode of the pile under load. Plastic strain is not uniformly distributed; rather, it is highly concentrated in the passive zone on the windward side of the upper pile and in the vicinity of the pile–soil interface, fully corresponding to the pile-anchor loading mechanism.
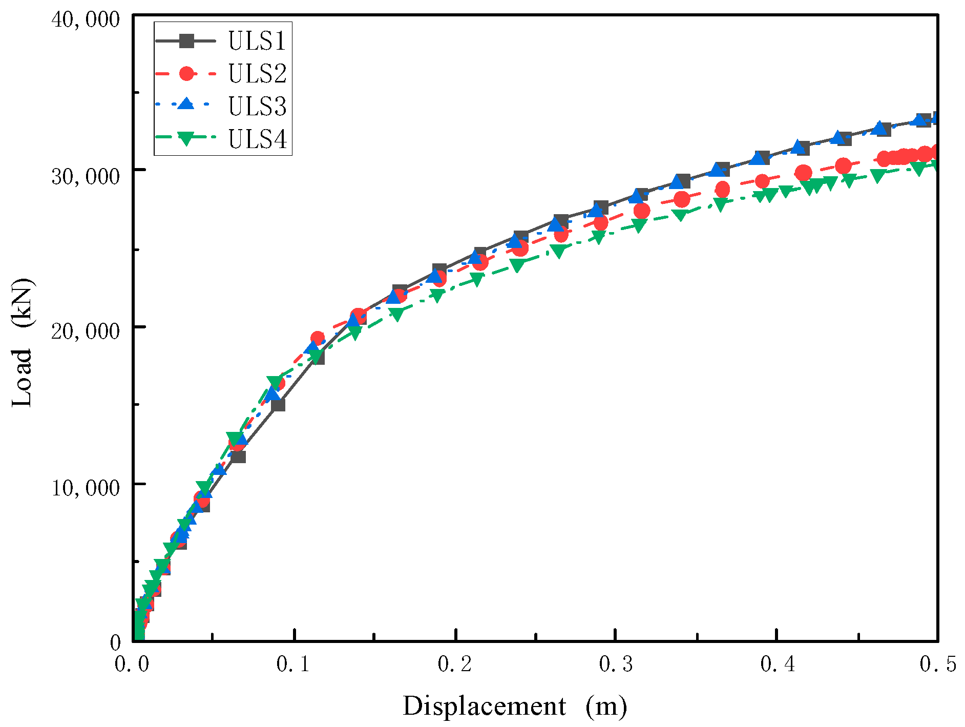
Figure 7 shows the load–displacement curves for the four cases. All four curves indicate that the bearing resistance of the pile anchor increases with displacement and tends to grow linearly after 0.2 m, implying a distinct initial stage of nonlinear consolidation and mobilization of frictional resistance, followed by a more stable bearing stage. When out-of-level is taken into account, the bearing capacity of the pile anchor decreases, and performance degradation is more pronounced under oblique loading (i.e., 45°). According to the load–displacement curves, when the loading direction changes from 30° to 45°, the characteristic resistance Rc decreases from 16,168.22 kN to 14,949.28 kN, corresponding to a reduction of about 7.5%. When a 5° foundation out-of-level is introduced, the degradation becomes more significant: for a loading direction of 30°, Rc decreases from 16,168.22 kN to 14,339.82 kN, and for 45° it decreases from 14,949.28 kN to 12,850.77 kN. The combined effect of out-of-level and directional-angle deviation therefore leads to a reduction in Rc from 14,339.82 kN to 12,850.77 kN, about 10.38%.
These trends highlight that deviation in the loading direction has a more significant influence on bearing capacity than out-of-level alone, particularly under deep-water conditions where variations in load direction are superimposed on levelness errors. Physically, foundation out-of-level and load misalignment induce an eccentric load path and a non-uniform redistribution of soil reactions around the pile: the downslope side experiences increased compression and concentrated contact stresses, while the upslope side partially unloads and may locally lose contact. Within the adopted contact model, this leads to partial softening of the pile–soil interface thereby reducing the global stiffness and ultimate resistance of the pile anchor. These findings indicate that installation accuracy—both in terms of foundation levelness and alignment with the mooring load direction—should be prioritized in design and construction to mitigate adverse effects arising from cumulative deviations.

3.2. Directional Angle

During the construction of deep-water pile-anchor foundations, control of the directional angle is a critical factor affecting pile performance and structural stability. The directional angle generally refers to the in-plane angular deviation between the pile anchor and the design axis or the principal action direction of the mooring line. Ideally, the pile anchor should be strictly aligned with the design direction to ensure a rational force path and smooth load transfer. In practice, however, due to vessel-positioning errors, insufficient precision of installation equipment, and disturbances from currents and waves, a certain directional-angle deviation often arises. Such deviation alters the distribution of soil reactions around the pile, introducing asymmetry into the pile–soil interaction that would otherwise be more uniform. Especially in clay or sand, increasing the directional angle is often accompanied by a reduction in effective lateral soil resistance, resulting in diminished lateral bearing capacity of the pile. Recent experimental and numerical studies on pile anchors for floating offshore wind turbines under inclined or multidirectional loading have also highlighted the sensitivity of pile response to load inclination and direction, but generally without explicitly considering construction-induced misalignment [21,22].
To reflect a more unfavourable environmental action, larger external loads are applied to simulate the structural response under extreme conditions. Accordingly, two Accidental Limit State (ALS) cases are defined with a load magnitude of 14,813 kN, while the loading inclinations remain 30° and 45°, respectively, to examine the safety margin and ultimate capacity of the pile-anchor foundation. The specific computational cases are summarised in Table 4.
Figure 8 displays displacement contour plots of the soil surrounding the foundation under the four cases. As above, the pile anchor exhibits a typical pile–soil interaction pattern. Under loading, the soil on the windward side of the upper pile is significantly compressed, forming a passive-resistance wedge with the largest displacement, which rapidly attenuates outward and with depth. Under ALS conditions, the deformation zone around the pile deepens, indicating more non-uniform and concentrated loading on the pile, and a larger local soil-displacement state. The pile undergoes an approximately rigid-body rotation about a point near its lower section, with the maximum displacement occurring at the pile head. The maximum pile-head displacement under ultimate conditions is 0.247 m. When a 5° directional-angle deviation is introduced, the soil deformation becomes more pronounced. For the ALS-1 load, the maximum soil displacement reaches about 0.396 m for a 30° loading direction, whereas it is approximately 0.350 m for 45°. This indicates that the 30° case, with a larger horizontal load component, is more strongly governed by lateral loading and bending, leading to a more pronounced passive wedge and greater soil and pile-head displacements. In contrast, the 45° case mobilises a larger vertical component, enhancing axial compression and confinement of the surrounding soil, which slightly increases the lateral stiffness and reduces the maximum displacement despite the overall degradation in capacity. Physically, the combination of installation deviation and oblique loading induces an eccentric load path and a non-uniform redistribution of soil reactions around the pile: contact stresses and passive resistance are concentrated on the windward side, while the leeward side partially unloads. The resulting evolution of normal pressure and mobilised shear along the pile–soil interface, as captured by the contact model, provides the physical basis for the quantitative differences in displacement observed between the different loading directions.
Figure 9 provides the displacement-vector plots and equivalent plastic-strain contours. Comparison of the equivalent plastic-strain distributions under ULS and ALS indicates consistency in the overall failure pattern: a passive failure wedge forms in the windward soil in front of the pile, with plastic-strain concentration near the pile–soil interface. However, pronounced differences arise in the range and intensity of strain concentration across cases. In ULS-1 and ULS-2, the plastic-strain zone is primarily confined to the windward side of the upper pile; strains behind and beneath the pile are comparatively weaker, indicating a limited failure extent and overall stable bearing performance of the pile foundation. In ALS-1 and ALS-2, due to the increased applied load and the offset effect associated with the angle to the XZ plane, the plastic-strain band expands markedly—not only enlarging in front of the pile on the windward side but also showing stronger strain accumulation locally behind the pile—indicating a more complex and asymmetric failure tendency. In addition, under ALS the concentration of strain at the pile–soil interface intensifies significantly, suggesting that the pile foundation is more prone to local yielding and even instability under extreme loading.
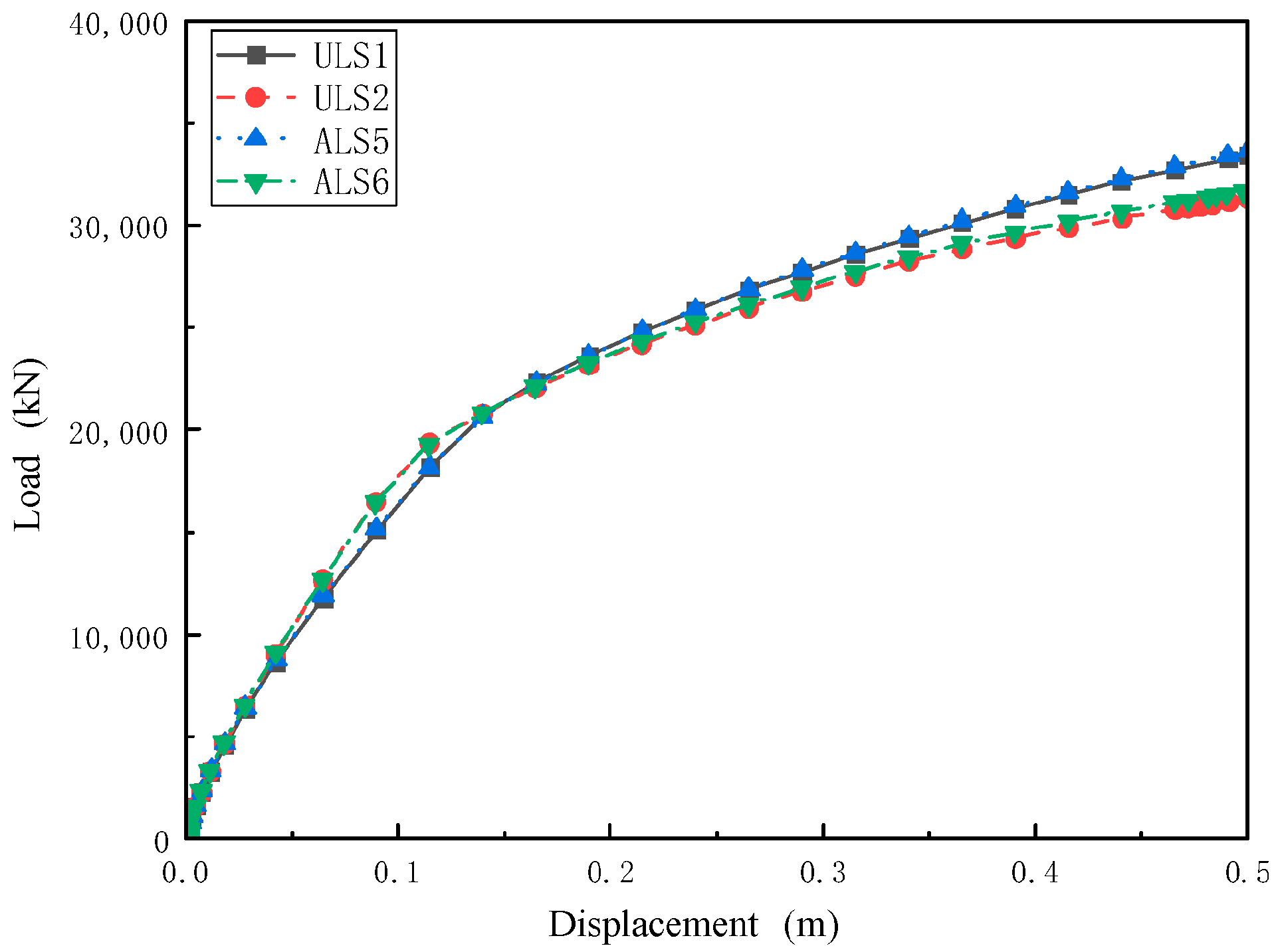
Figure 10 shows the load–displacement curves for the four cases. All four curves indicate that the pile-anchor bearing resistance increases with displacement and tends to grow linearly after 0.2 m; the ultimate resistance in all cases does not exceed 35,000 kN. This behaviour suggests a distinct initial stage of nonlinear consolidation and frictional-resistance mobilization, followed by a more stable bearing stage.
For the reference configuration, the characteristic resistance R c is 21,018.69 kN for a 30° loading direction and 19,434.06 kN for 45°, so rotating the load vector from 30° to 45° leads to a reduction in R c of about 7.5%. When an additional 5° directional-angle deviation is introduced, R c decreases to 20,701.75 kN for the 30° case and to 19,275.61 kN for the 45° case, corresponding to further reductions of approximately 1.5% and 0.8% relative to their aligned counterparts. These quantitative comparisons confirm that the pile-anchor bearing capacity is more sensitive to changes in the inclination of the load with respect to the horizontal plane than to a small directional-angle deviation alone, while the combination of both effects leads to a cumulative degradation of capacity.
From a physical perspective, changing the loading direction modifies the coupling between the vertical, horizontal and moment components of the mooring load transmitted to the pile anchor. In the present configuration, the 45° loading direction induces a more unfavourable combination of lateral load and overturning moment, together with a more eccentric load path relative to the pile axis, which results in a non-uniform redistribution of soil reactions and limits the extent to which axial and lateral resistances can be fully mobilised in the direction of loading. The additional 5° directional-angle deviation further increases this eccentricity, leading to local concentration of contact stresses and earlier mobilisation of the pile–soil interface, and thus to the observed reductions in R c . Especially under deep-water conditions, where environmental loads vary in direction and may superimpose with installation deviations, these mechanisms can significantly degrade pile-anchor performance. Therefore, installation accuracy—both in terms of directional alignment and control of load inclination—should be prioritised in design and construction to reduce adverse effects arising from the accumulation of deviations.

3.3. Scour Effect

The scour effect refers to the process by which the soil surrounding a pile-anchor foundation is repeatedly transported, scoured, and eroded under marine hydrodynamic actions such as waves, tides, and swell. For offshore wind foundations, scour has been extensively recognised as a long-term serviceability and safety issue, and numerous experimental and numerical studies have quantified its impact on the deformation response, stiffness and bearing capacity of monopiles and other fixed-bottom foundations, as well as the role of various scour-protection measures [23,24,25].
However, for deep-water pile-anchor foundations supporting floating offshore wind turbines, scour is not only a long-term service risk but also an important effect that must be considered during construction, when local flow-field variations and installation disturbances can trigger the formation of an initial scour pit shortly after installation. To investigate the influence of scour on the bearing performance of deep-water pile-anchor foundations for floating offshore wind, this study assumes an equivalent scour depth of 3 m around the pile—superimposed on the original design cases—and incorporates this effect into the numerical model for simulation and analysis. The scour model is shown in Figure 11, and the specific computational cases are listed in Table 5. By comparing bearing capacity, displacement response, and platform coupled-dynamic characteristics with and without scour, the degradation mechanisms induced by scour can be revealed, thereby informing the design and optimisation of subsequent scour-protection measures. In Figure 11, different colours are used to distinguish soil layers with different geotechnical properties.
Figure 12 shows the displacement contour plots of the soil surrounding the foundation under the four cases. Under the 3 m scour condition, overall soil displacements increase, albeit modestly. The displacement contours indicate that, for ULS-5 and ULS-6 with the 3 m scour, the pattern of displacement change exhibits a trend similar to that in the baseline cases; notably, the magnitude and areal extent of displacement in the top region further increase with the severity of the case. Compared with normal conditions, scour reduces embedment depth and weakens the constraint at the structural base, ultimately decreasing the overall stiffness of the pile-anchor system. Consequently, larger horizontal displacements and lateral deformations occur, with a broader region of concentration.
Figure 13 presents the equivalent plastic-strain contours. For ULS-5 and ULS-6 with 3 m scour, the plastic-strain distribution follows a trend similar to the baseline cases, but with a clearly increased failure intensity and reduced resistance of the soil surrounding the pile. Scour weakens the effective embedment depth of the pile, diminishing the soil’s contribution to bearing capacity. The plastic-strain band expands both in front of and behind the pile, with more pronounced heave in the region ahead of the pile. This indicates that, while scour does not directly alter the loading mode, it reduces the soil confinement; as a result, the safety reserve of the pile foundation under the same load level is lowered.
Figure 14 shows the load–displacement curves for the four cases. All four curves demonstrate that the bearing resistance of the pile anchor increases with displacement and tends toward linear growth after 0.2 m, indicating a distinct initial stage of nonlinear consolidation and frictional-resistance mobilization, followed by a more stable bearing stage. For the intact seabed, the characteristic resistance Rc is 21,018.686 kN for a 30° loading direction and 19,434.064 kN for 45°, the 45° case exhibits a reduction in Rc of about 7.5% relative to 30°. When a 3 m scour is introduced, Rc decreases to 17,317.495 kN for 30° and to 13,933.218 kN for 45°, corresponding to capacity losses of approximately 17.6% and 28.3% compared with their respective non-scour counterparts. Within the scoured cases, the 45° loading direction yields an Rc that is about 19.5% lower than that for 30°, indicating that scour not only reduces the overall capacity but also amplifies the directional sensitivity of the pile-anchor response.
These quantitative results highlight that, although the loading angle still affects the bearing performance, the pile-anchor capacity is much more sensitive to the presence of scour. Physically, scour removes the upper soil layer, weakens the confining action around the pile and reduces the effective fixity (embedment) depth. As a result, the stress bulb becomes shallower, the passive-resistance wedge on the loaded side is truncated, and the lateral and uplift resistances are less fully mobilised. Under oblique loading, the reduced overburden and shortened embedment depth lead to a more eccentric load path and a non-uniform redistribution of soil reactions, with higher bending moments and larger rotations concentrated near the scour depth. These mechanisms jointly explain the pronounced reduction in Rc under scour and the relatively smaller role of loading angle when compared with the dominant effect of scour-induced degradation of the pile–soil system.

4. Conclusions

Using the deep-sea floating offshore wind project in Wanning, Hainan as the engineering context, this study conducted a systematic finite-element investigation of the bearing capacity of deep-water pile-anchor foundations for floating offshore wind, explicitly considering three construction effects: foundation out-of-level, directional angle, and scour. The principal findings are as follows:
(1)
Under normal Ultimate Limit State (ULS-1, ULS-2) conditions, the overall structural displacement increases with the inclination of the applied load relative to the horizontal. For the geotechnical conditions at the Wanning site, the designed parameters—pile-anchor geometry, material strengths, and pad-eye configuration—satisfy relevant design codes and exhibit a safety margin.
(2)
Finite-element results indicate that out-of-level and directional-angle deviations reduce the bearing performance of the pile-anchor foundation to some extent; however, the bearing capacity is more sensitive to changes in the load’s inclination to the horizontal. In particular, under deep-water complex conditions, variations in loading angles may superimpose and further degrade performance. Accordingly, installation accuracy should be prioritised in design and construction to mitigate adverse effects arising from the accumulation of deviations.
(3)
With a 3 m scour depth, the foundation’s restraining capacity is markedly diminished, leading to a reduction in overall stiffness and a substantial increase in structural displacement. Displacement contour results show that, under extreme loading, the maximum displacement with scour is clearly greater—and more unevenly distributed—than without scour. Scour amplifies lateral and top offsets under combined wave and current actions, posing potential risks to the platform’s long-term stability and service safety. Therefore, structural design and operational assessments must jointly consider ultimate states, accidental conditions, and scour-related environmental effects to capture safety and reliability over the full life cycle.
This study is limited by the absence of site-specific experimental or field data for direct validation of the FEM predictions. Future work will therefore focus on obtaining in situ measurements and/or laboratory test results to further validate and calibrate the numerical model.

Author Contributions

Conceptualization, Y.Z.; Methodology, F.Z.; Software, Y.L.; Validation, H.W. and Y.L.; Formal analysis, H.W.; Resources, Q.H.; Data curation, Q.H.; Writing—original draft, Y.L.; Writing—review & editing, P.Z.; Supervision, Y.Z. and P.Z.; Project administration, F.Z. All authors have read and agreed to the published version of the manuscript.

Funding

This research received no external funding.

Data Availability Statement

The original contributions presented in the study are included in the article, further inquiries can be directed to the corresponding author.

Conflicts of Interest

Authors Yao Zhong, Fanquan Zeng, Hui Wang and Qi He were employed by the company PowerChina Zhongnan Engineering Co., Ltd. The remaining authors declare that the research was conducted in the absence of any commercial or financial relationships that could be construed as a potential conflict of interest.

References

  1. China Renewable Energy Society (Wind Energy Committee); Global Wind Energy Council. Offshore Wind: Review and Outlook 2024; China Energy Research Society: Beijing, China, 2024; pp. 23–45. [Google Scholar]
  2. Energy Research Institute. World Energy Statistical Yearbook 2024; Energy Research Institute: Beijing, China, 2024. [Google Scholar]
  3. Roach, K.L.; Lackner, M.A.; Manwell, J.F. A new methodology for upscaling semi-submersible platforms for floating offshore wind turbines. Wind. Energy Sci. 2023, 8, 1873–1891. [Google Scholar] [CrossRef]
  4. Zhao, J. Global Offshore Wind Market Outlook 2022–2031. Wind Energy 2022, 7, 46–51. [Google Scholar]
  5. Kumar, S.; Chaudhary, B.; Sajan, M.K.; Akarsh, P.K. Response of Offshore Wind Turbine Foundation Subjected to Earthquakes, Sea Waves and Wind Waves: Numerical Simulations. In Geo-Sustainnovation for Resilient Society; Springer: Singapore, 2024; Volume 446, pp. 217–224. [Google Scholar]
  6. Wen, F.; Han, F. Review and Cost Analysis of Anchored Foundation for Floating Offshore Wind Turbine. South. Energy Constr. 2025, 1–13. [Google Scholar] [CrossRef]
  7. Wang, Z. Application Research of Suction Anchor and Pile Anchor in Mooring System of Deepwater Floating Platform. Mech. Eng. 2021, 7, 155–157+160. [Google Scholar]
  8. Wu, X.; Hu, Y.; Li, Y.; Yang, J.; Duan, L.; Wang, T.; Adcock, T.; Jiang, Z.; Gao, Z.; Lin, Z.; et al. Foundations of Offshore Wind Turbines: A Review. Renew. Sustain. Energy Rev. 2019, 104, 379–393. [Google Scholar] [CrossRef]
  9. Hong, S.; McMorland, J.; Zhang, H.; Collu, M.; Halse, K.H. Floating Offshore Wind Farm Installation, Challenges and Opportunities: A Comprehensive Survey. Ocean Eng. 2024, 304, 117793. [Google Scholar] [CrossRef]
  10. Li, W.; Zhang, Q.; Liao, C.; Zhou, X.; Liu, C. Numerical Analysis of Local Scour and Protection of a Single Pile around a Seabed under Solitary Wave and Current. J. Shanghai Jiao Tong Univ. (Sci.) 2021, 55, 631–637. [Google Scholar]
  11. Tseng, W.C.; Chen, C.H.; Hsieh, C.C.; Cheng, W.C. An Investigation into the Effect of Scour on the Loading and Deformation Responses of Monopile Foundations. Energies 2017, 10, 1190. [Google Scholar] [CrossRef]
  12. Jiu, Y.; Xue, Y.; Gao, H.; Zhu, Y. Nonlinear Analysis of Horizontal Bearing Characteristics of Pile Foundation under Scouring Condition. Water Resour. Hydropower Eng. 2023, 54, 84–94. [Google Scholar]
  13. Zhang, A.; Tang, G. Scour Effects on the Response of Laterally Loaded Piles Considering the Stress History of Sand. Henan Sci. 2017, 35, 2014–2022. [Google Scholar]
  14. Chen, S.-G.; Gong, E.-Y.; Zhao, X.; Arikawa, T.; Chen, X. Large-scale experimental study on scour around offshore wind monopiles under irregular waves. Water Sci. Eng. 2022, 15, 40–46. [Google Scholar] [CrossRef]
  15. Li, J.Z.; Fuhrman, D.R.; Kong, X.; Xie, M.X.; Yang, Y.L. Three-dimensional numerical simulation of wave-induced scour around a pile on a sloping beach. Ocean Eng. 2021, 233, 109174. [Google Scholar] [CrossRef]
  16. Reddy, S.K.; Chandra, V. Prediction models for scour depth around circular compound bridge piers. Water Sci. Eng. 2025, 18, 378–390. [Google Scholar] [CrossRef]
  17. Raeisi, F.; Zomorodian, S.M.A.; Zolghadr, M.; Azamathulla, H.M. Sacrificial piles as a countermeasure against local scour around underwater pipelines. Water Sci. Eng. 2024, 17, 187–196. [Google Scholar] [CrossRef]
  18. Wang, Y.; Liu, P.; Liu, B.; Shu, J.; Deng, H.; Zhu, M.; Li, X.; Chen, J.; Ouyang, H. Experimental Study on Bearing Characteristics of Pile-Anchor Foundations for Floating Offshore Wind Turbines Under Inclined Loading. J. Mar. Sci. Eng. 2025, 13, 1890. [Google Scholar] [CrossRef]
  19. Emirler, B.; Tolun, M.; Yildiz, A. Investigation on determining uplift capacity and failure mechanism of the pile groups in sand. Ocean. Eng. 2020, 218, 108145. [Google Scholar] [CrossRef]
  20. Kong, G.Q.; Liu, Z.P.; Wang, L.H.; Liu, H.L.; Yang, Q. Experimental studies on the behavior of a single shaped pile under oblique pullout loads. Acta Geotech. 2023, 18, 4733–4746. [Google Scholar] [CrossRef]
  21. Kong, G.Q.; Cao, Z.H.; Zhou, H.; Sun, X.J. Analysis of piles under oblique pullout load using transparent-soil models. Geotech. Test. J. 2015, 38, 725–738. [Google Scholar] [CrossRef]
  22. Liu, K.; Xu, C.; Xu, H.; Zhu, W.; Nie, Z. Experimental Study on Load-Transfer Mechanism and Failure Mode of Batter Pile under Oblique Uplift Loading. Int. J. Geomech. 2022, 22, 04022231. [Google Scholar] [CrossRef]
  23. Fakhimjoo, M.S.; Ardeshir, A.; Behzadian, K.; Karami, H. Experimental investigation and flow analysis of clear-water scour around pier and abutment in proximity. Water Sci. Eng. 2023, 16, 94–105. [Google Scholar] [CrossRef]
  24. Sumer, B.M.; Kirca, V.S.O. Scour and liquefaction issues for anchors and other subsea structures in floating offshore wind farms: A review. Water Sci. Eng. 2022, 15, 3–14. [Google Scholar] [CrossRef]
  25. Liang, D.-F.; Jia, H.; Xiao, Y.; Yuan, S.-Y. Experimental investigation of turbulent flows around high-rise structure foundations and implications on scour. Water Sci. Eng. 2022, 15, 47–56. [Google Scholar] [CrossRef]
Figure 1. Schematic of the pile-anchor design.
Figure 1. Schematic of the pile-anchor design.
Energies 18 06548 g001
Figure 2. ABAQUS computational model.
Figure 2. ABAQUS computational model.
Energies 18 06548 g002
Figure 3. Load–displacement curves for the two load-inclination cases.
Figure 3. Load–displacement curves for the two load-inclination cases.
Energies 18 06548 g003
Figure 4. ABAQUS computational model considering foundation out-of-level.
Figure 4. ABAQUS computational model considering foundation out-of-level.
Energies 18 06548 g004
Figure 5. Comparison of soil displacement distributions under various ultimate limit state (ULS) conditions: (a) ULS-1; (b) ULS-2; (c) ULS-3; (d) ULS-4.
Figure 5. Comparison of soil displacement distributions under various ultimate limit state (ULS) conditions: (a) ULS-1; (b) ULS-2; (c) ULS-3; (d) ULS-4.
Energies 18 06548 g005
Figure 6. Comparison of equivalent plastic strain of soil under various ultimate limit state (ULS) conditions: (a) ULS-1; (b) ULS-2; (c) ULS-3; (d) ULS-4.
Figure 6. Comparison of equivalent plastic strain of soil under various ultimate limit state (ULS) conditions: (a) ULS-1; (b) ULS-2; (c) ULS-3; (d) ULS-4.
Energies 18 06548 g006
Figure 7. Load–displacement curves for the four load-inclination cases.
Figure 7. Load–displacement curves for the four load-inclination cases.
Energies 18 06548 g007
Figure 8. Comparison of soil displacement distributions under various ultimate limit state (ULS) conditions: (a) ULS-1; (b) ULS-2; (c) ALS-1; (d) ALS-2.
Figure 8. Comparison of soil displacement distributions under various ultimate limit state (ULS) conditions: (a) ULS-1; (b) ULS-2; (c) ALS-1; (d) ALS-2.
Energies 18 06548 g008
Figure 9. Comparison of equivalent plastic strain of soil under various ultimate limit state (ULS) conditions: (a) ULS-1; (b) ULS-2; (c) ALS-1; (d) ALS-2.
Figure 9. Comparison of equivalent plastic strain of soil under various ultimate limit state (ULS) conditions: (a) ULS-1; (b) ULS-2; (c) ALS-1; (d) ALS-2.
Energies 18 06548 g009
Figure 10. Load–displacement curves for the four load-inclination cases.
Figure 10. Load–displacement curves for the four load-inclination cases.
Energies 18 06548 g010
Figure 11. Model under scour conditions.
Figure 11. Model under scour conditions.
Energies 18 06548 g011
Figure 12. Comparison of soil displacement distributions under various ultimate limit state (ULS) conditions: (a) ULS-1; (b) ULS-2; (c) ULS-5; (d) ULS-6.
Figure 12. Comparison of soil displacement distributions under various ultimate limit state (ULS) conditions: (a) ULS-1; (b) ULS-2; (c) ULS-5; (d) ULS-6.
Energies 18 06548 g012
Figure 13. Comparison of equivalent plastic strain of soil under various ultimate limit state (ULS) conditions: (a) ULS-1; (b) ULS-2; (c) ULS-5; (d) ULS-6.
Figure 13. Comparison of equivalent plastic strain of soil under various ultimate limit state (ULS) conditions: (a) ULS-1; (b) ULS-2; (c) ULS-5; (d) ULS-6.
Energies 18 06548 g013
Figure 14. Load–displacement curves for the four load-inclination cases.
Figure 14. Load–displacement curves for the four load-inclination cases.
Energies 18 06548 g014
Table 1. Soil Parameters.
Table 1. Soil Parameters.
Stratum No.Soil TypeStateThickness (m)Effective Unit Weight (kN/m3)Recommended Shear Strength (kPa)Recommended Internal Friction Angle (°)Pile–Soil Friction Angle δLateral Friction Coefficient β
Silty clayey siltSlightly dense18.19 26210.31
Silty clayPlastic–stiff plastic69.150
Silty clayey siltMedium dense6.69.2 30250.37
④-1Silty clayStiff plastic–hard plastic6.59.375
④-2ClayStiff plastic1.78.878
Silty clayey siltMedium dense8.39.7 29240.36
Silty clayPlastic–stiff plastic3.48.890
Table 2. Basic Calculation Cases.
Table 2. Basic Calculation Cases.
CaseAngle to Horizontal (°)Angle to XZ Plane (°)Angle to XZ Plane (°)Load (kN)
ULS-130 9410
ULS-245
Table 3. Calculation Cases.
Table 3. Calculation Cases.
CaseAngle to Horizontal (°)Angle to XZ Plane (°)Angle to XZ Plane (°)Load (kN)
ULS-130009410
ULS-245
ULS-3305
ULS-445
Table 4. Calculation Cases.
Table 4. Calculation Cases.
CaseAngle to Horizontal (°)Angle to XZ Plane (°)Angle to XZ Plane (°)Load (kN)
ULS-130009410
ULS-245
ALS-1301514,813
ALS-245
Table 5. Calculation Cases.
Table 5. Calculation Cases.
CaseAngle to Horizontal (°)Angle to XZ Plane (°)Angle to XZ Plane (°)Load (kN)Equivalent Scour Depth (m)
ULS-1300094100
ULS-245
ULS-5303
ULS-645
Disclaimer/Publisher’s Note: The statements, opinions and data contained in all publications are solely those of the individual author(s) and contributor(s) and not of MDPI and/or the editor(s). MDPI and/or the editor(s) disclaim responsibility for any injury to people or property resulting from any ideas, methods, instructions or products referred to in the content.

Share and Cite

MDPI and ACS Style

Zhong, Y.; Zeng, F.; Wang, H.; He, Q.; Liu, Y.; Zhang, P. Effects of Construction-Induced Conditions on the Bearing Capacity of Deep-Water Pile Anchors for Floating Offshore Wind Turbines. Energies 2025, 18, 6548. https://doi.org/10.3390/en18246548

AMA Style

Zhong Y, Zeng F, Wang H, He Q, Liu Y, Zhang P. Effects of Construction-Induced Conditions on the Bearing Capacity of Deep-Water Pile Anchors for Floating Offshore Wind Turbines. Energies. 2025; 18(24):6548. https://doi.org/10.3390/en18246548

Chicago/Turabian Style

Zhong, Yao, Fanquan Zeng, Hui Wang, Qi He, Yingfei Liu, and Puyang Zhang. 2025. "Effects of Construction-Induced Conditions on the Bearing Capacity of Deep-Water Pile Anchors for Floating Offshore Wind Turbines" Energies 18, no. 24: 6548. https://doi.org/10.3390/en18246548

APA Style

Zhong, Y., Zeng, F., Wang, H., He, Q., Liu, Y., & Zhang, P. (2025). Effects of Construction-Induced Conditions on the Bearing Capacity of Deep-Water Pile Anchors for Floating Offshore Wind Turbines. Energies, 18(24), 6548. https://doi.org/10.3390/en18246548

Note that from the first issue of 2016, this journal uses article numbers instead of page numbers. See further details here.

Article Metrics

Back to TopTop