Analytical Modeling and GA-Based Optimization of Multi-Layered Segmented SPM Magnets
Abstract
1. Introduction
2. Materials and Methods
2.1. Fundamentals of Single-Layer Segmented PM
- Magnetic Core Regions (Yoke and Stator): The structure is bounded radially by two ferromagnetic cores
- Slotless Stator Assumption: The stator is modeled as slotless, allowing us to neglect slotting effects and assume a smooth, continuous magnetic boundary at the outer airgap. This avoids field distortions that would arise from stator teeth and simplifies the field distribution in the airgap (Region I).
- Two-Dimensional (2D) Approximation: The problem is treated as a 2D planar model in cylindrical coordinates (r,α) under the assumption of translational invariance along the axial direction z. This is valid for long machines or magnet segments with negligible axial variation.
- No Current-Carrying Conductors: The model assumes the absence of current sources inside the magnet or airgap regions. The magnetic field is purely generated by the remanent magnetization of the segmented PM. This justifies the use of scalar magnetic vector potential and simplifies the Maxwell equations into Laplace and Poisson equations.
- Segment Width Constraints within Each Pole: Each magnetic pole is divided into multiple magnet segments with equal angular width, except for the radial segments, which have a predefined size determined by the variable magnet ratio . The remaining angular space within the pole is distributed equally among the non-radial segments. This structured segmentation enables a consistent mathematical representation for any controllable number of segments per pole.
- No demagnetization or any changes in material properties are considered.
- (1)
- Region I and III (Laplace Equation):
- (2)
- Region II (Poisson Equations):

2.2. Multi-Layered Segmented PM
- Layer Independence (Superposition Principle): Each magnetized layer is treated as an independent source of magnetic field. The layers are assumed to be magnetically linear, allowing the field contribution of each layer to be computed separately and superimposed to obtain the total magnetic field.
- Homogeneous Material Between Layers: The inter-layer regions not occupied by active magnets are modeled as homogeneous magnetized material with constant relative permeability . This simplifies the field computation while retaining the magnetic influence of adjacent layers.
- No Magnetic Coupling Between Layers: Nonlinear magnetic coupling between layers is neglected. This is justified under the assumption of low magnetic loading and linear material behavior, ensuring that the field generated by one layer does not significantly alter the magnetization of others.
- (1)
- Region I and III:
- (2)
- Region II′ and II‴:
- (3)
- Region II″:
2.3. Simplified Model for Multi-Layered Segmented PMs: Approach and Comparison
2.4. Flux Linkage Calculation
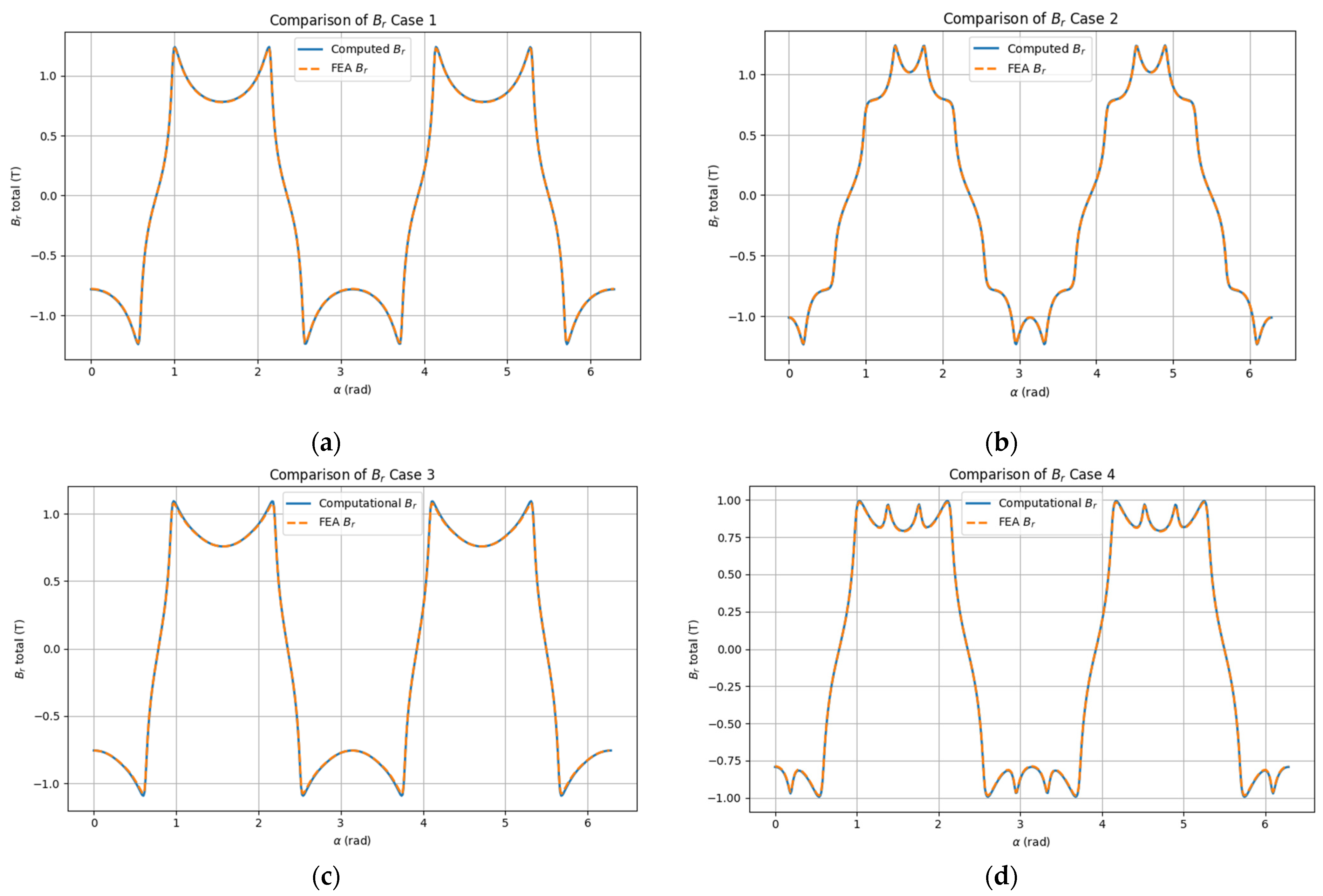
3. FEA Validation
| Vacuum Permeability (H/m) | Relative Permeability | Magnet Remanence (T) | Number of Pole Pairs in Magnet p | Thickness L (mm) |
|---|---|---|---|---|
| 1 | 1.1 | 2 | 20 |
| Cases | N | k (Outer to Inner) | Rmp (Outer to Inner) | Radii (mm) (Outer to Inner) | Rin (mm) | Rout (mm) |
|---|---|---|---|---|---|---|
| Case 1 | 3 | [2, 2, 2] | [0.75, 0.75, 0.75] | [30, 25, 20, 15] | 14 | 31 |
| Case 2 | 2 | [4, 2] | [0.75, 0.25] | [25, 20, 15] | 14 | 26 |
| Case 3 | 5 | [2, 4, 4, 4, 2] | [0.8, 0.7, 0.5, 0.7, 0.8] | [25, 23, 21, 19, 17, 15] | 14 | 26 |
| Case 4 | 2 | [4, 2] | [0.75, 0.25] | [25, 23, 15] | 14 | 26 |
4. Applications: Flux Linkage Maximization
- : radii of intermediate magnet layers (outer and inner bounds fixed).
- number of segments per pole per layer.
- magnet ratios in each layer.
- L: magnet axial length.
- r: midpoint in the outer airgap.
5. Conclusions
Author Contributions
Funding
Data Availability Statement
Acknowledgments
Conflicts of Interest
Abbreviations
| Abbreviations | ||
| SPM | Surface-mounted Permanent Magnet | |
| PM | Permanent Magnet | |
| FEA | Finite Element Analysis | |
| GA | Genetic Algorithm | |
| IPM | Interior Permanent Magnet | |
| HA | Halbach Arrays | |
| PMSM | Permanent Magnet Synchronous Motor | |
| EMF | Electromotive Force | |
| Nomenclatures | ||
| Magnetic field vector potential | ||
| Magnetization | ||
| Pole-arc of radially magnetized segments | ||
| Pole pitch of a single pole | ||
| Relative permeability | ||
| Differential permeability | ||
| Permeability of free space | ||
| Magnetic field strength | ||
| Magnetic flux density | ||
| Magnet remanence | ||
| Pole pairs number | ||
| Number of segments | ||
| Magnet ratio | ||
| Flux linkage |
References
- Shriwastava, R.G.; Diagavane, M.B.; Vaishnav, S.R. Literature Review of Permanent Magnet AC Motors and Drive for Automotive Application. Bull. Electr. Eng. Inform. 2012, 1, 7–14. [Google Scholar] [CrossRef]
- Melfi, M.; Evon, S.; McElveen, R. Induction Versus Permanent Magnet Motors. IEEE Ind. Appl. Mag. 2009, 15, 28–35. [Google Scholar] [CrossRef]
- Brinner, T.R.; McCoy, R.H.; Kopecky, T. Induction Versus Permanent-Magnet Motors for Electric Submersible Pump Field and Laboratory Comparisons. IEEE Trans. Ind. Appl. 2014, 50, 174–181. [Google Scholar] [CrossRef]
- Dobzhanskyi, O.; Amiri, E.; Gouws, R. Comparison Analysis of Electric Motors with Two Degrees of Mechanical Freedom: PM Synchronous Motor vs. Induction Motor. In Proceedings of the 2016 II International Young Scientists Forum on Applied Physics and Engineering (YSF), Kharkiv, Ukraine, 10–14 October 2016; Volume 2, pp. 1–6. [Google Scholar]
- Pellegrino, G.; Vagati, A.; Boazzo, B.; Guglielmi, P. Comparison of Induction and PM Synchronous Motor Drives for EV Application Including Design Examples. IEEE Trans. Ind. Appl. 2012, 48, 2322–2332. [Google Scholar] [CrossRef]
- Zhu, Z.Q.; Howe, D. Halbach Permanent Magnet Machines and Applications: A Review. IEE Proc. Electr. Power Appl. 2001, 148, 299–308. [Google Scholar] [CrossRef]
- Vagati, A.; Pellegrino, G.; Guglielmi, P. Comparison Between SPM and IPM Motor Drives for EV Application. In Proceedings of the XIX International Conference on Electrical Machines-ICEM 2010, Rome, Italy, 6–8 September 2010; Volume 1, pp. 1–5. [Google Scholar]
- Kim, K.-T.; Kim, K.-S.; Hwang, S.-M.; Kim, T.-J.; Jung, Y.-H. Comparison of Magnetic Forces for IPM and SPM Motor with Rotor Eccentricity. IEEE Trans. Magn. 2001, 37, 3448–3451. [Google Scholar] [CrossRef]
- Di Gerlando, A.; Negri, S.; Ricca, C. A Novel Analytical Formulation of the Magnetic Field Generated by Halbach Permanent Magnet Arrays. Magnetism 2023, 3, 280–296. [Google Scholar] [CrossRef]
- Dong, J.; Huang, Y.; Jin, L.; Lin, H. Comparative Study of Surface-Mounted and Interior Permanent-Magnet Motors for High-Speed Applications. IEEE Trans. Appl. Supercond. 2016, 26, 7370887. [Google Scholar] [CrossRef]
- Du, G.; Li, N.; Zhou, Q.; Gao, W.; Wang, L.; Pu, T. Multi-Physics Comparison of Surface-Mounted and Interior Permanent Magnet Synchronous Motor for High-Speed Applications. Machines 2022, 10, 700. [Google Scholar] [CrossRef]
- Zhu, Z.Q. Recent Development of Halbach Permanent Magnet Machines and Applications. In Proceedings of the 2007 Power Conversion Conference—Nagoya, Nagoya, Japan, 2–5 April 2007; Volume 4, pp. 1–6. [Google Scholar]
- Blümler, P.; Soltner, H. Practical Concepts for Design, Construction and Application of Halbach Magnets in Magnetic Resonance. Appl. Magn. Reson. 2023, 54, 1701–1739. [Google Scholar] [CrossRef]
- Galea, M.; Papini, L.; Zhang, H.; Gerada, C.; Hamiti, T. Demagnetization Analysis for Halbach Array Configurations in Electrical Machines. IEEE Trans. Magn. 2015, 51, 7101830. [Google Scholar] [CrossRef]
- Wang, J.; Li, C.; Li, Y.; Yan, L. Optimization Design of Linear Halbach Array. In Proceedings of the 2008 International Conference on Electrical Machines and Systems, Wuhan, China, 17–20 October 2008; Volume 1, pp. 170–174. [Google Scholar]
- Mallek, M.; Tang, Y.; Lee, J.; Wassar, T.; Franchek, M.A.; Pickett, J. An Analytical Subdomain Model of Torque Dense Halbach Array Motors. Energies 2018, 11, 3254. [Google Scholar] [CrossRef]
- Koo, M.-M.; Choi, J.-Y.; Shin, H.-J.; Kim, J.-M. No-Load Analysis of PMLSM with Halbach Array and PM Overhang Based on Three-Dimensional Analytical Method. IEEE Trans. Appl. Supercond. 2016, 26, 0604905. [Google Scholar] [CrossRef]
- Merritt, B.T.; Post, R.F.; Dreifuerst, G.R.; Bender, D.A. Halbach Array Motor/Generators: A Novel Generalized Electric Machine; Lawrence Livermore National Lab.: Livermore, CA, USA, 1994; Volume 1, pp. 1–10.
- Parsa, L.; Dwari, S. Design of Halbach-Array-Based Permanent-Magnet Motors with High Acceleration. IEEE Trans. Ind. Electron. 2011, 58, 3768–3775. [Google Scholar]
- Sadeghi, S.; Parsa, L. Multiobjective Design Optimization of Five-Phase Halbach Array Permanent-Magnet Machine. IEEE Trans. Magn. 2011, 47, 1658–1666. [Google Scholar] [CrossRef]
- Shen, Y.; Liu, G.; Xia, Z.; Zhu, Z.Q. Determination of Maximum Electromagnetic Torque in PM Brushless Machines Having Two-Segment Halbach Array. IEEE Trans. Ind. Electron. 2014, 61, 718–729. [Google Scholar] [CrossRef]
- Wang, N.; Wang, D.; Chen, K.; Wu, H. Research on Analytical Model and Design Formulas of Permanent Magnetic Bearings Based on Halbach Array with Arbitrary Segmented Magnetized Angle. J. Magn. Magn. Mater. 2016, 410, 257–264. [Google Scholar] [CrossRef]
- Liu, X.; Wan, D.; Wang, Z.; Huang, S. Multi-Objective Optimization of the Motor with the Novel Halbach Permanent Magnet Array. In Proceedings of the 2019 IEEE PES Asia-Pacific Power and Energy Engineering Conference (APPEEC), Macao, China, 1–4 December 2019; Volume 1, pp. 936–940. [Google Scholar]
- Asef, P.; Bargalló Perpiñá, R.; Barzegaran, M.R.; Agarwal, T. Electromagnetic-Based Evaluation of Different Halbach Array Topologies with Gap Consideration for the Permanent Magnet Synchronous Machines. Electr. Eng. 2018, 100, 1847–1856. [Google Scholar] [CrossRef]
- Xiang, Z.; Wei, J.; Zhu, X. Torque Ripple Suppression of a PM Vernier Machine from Perspective of Time and Space Harmonic Magnetic Field. IEEE Trans. Ind. Electron. 2023, 71, 10150–10161. [Google Scholar] [CrossRef]
- Ni, Y.; Jiang, X.; Xiao, B.; Wang, Q. Analytical Modeling and Optimization of Dual-Layer Segmented Halbach Permanent-Magnet Machines. IEEE Trans. Magn. 2020, 56, 2980222. [Google Scholar] [CrossRef]
- Rezal, M.; Ishak, D. Optimization of Surface-Mounted Permanent Magnet Brushless AC Motor Using Analytical Model and Differential Evolution Algorithm. J. Electr. Eng. 2019, 70, 208–217. [Google Scholar] [CrossRef]
- Ullah, W.; Khan, F.; Sulaiman, E.; Sami, I.; Ro, J.-S. Analytical Sub-Domain Model for Magnetic Field Computation in Segmented Permanent Magnet Switched Flux Consequent Pole Machine. IEEE Access 2021, 9, 3774–3783. [Google Scholar] [CrossRef]
- Rezal, M.; Ishak, D.; Salah, W.A. Multiobjective Design of Permanent Magnet Synchronous Machines Based on Analytical Sub-Domain Particle Swarm Optimization. In Proceedings of the 2017 IEEE Conference on Energy Conversion (CENCON), Kuala Lumpur, Malaysia, 30–31 October 2017; Volume 1, pp. 230–235. [Google Scholar]
- Wu, L.; Zhu, Z.Q.; Staton, D.; Popescu, M. An Improved Subdomain Model for Predicting Magnetic Field of Surface-Mounted Permanent Magnet Machines Accounting for Tooth-Tips. IEEE Trans. Magn. 2011, 47, 1693–1704. [Google Scholar] [CrossRef]
- Cassimere, B.N.; Sudhoff, S.D. Population-Based Design of Surface-Mounted Permanent-Magnet Synchronous Machines. IEEE Trans. Energy Convers. 2009, 24, 338–346. [Google Scholar] [CrossRef]
- Ling, L.; Gong, J. Analytical Model and Optimisation Design of Surface-Mounted PM Motors with Halbach Arrays Accounting for Semi-Closed Slots. IET Electr. Power Appl. 2020, 14, 2074–2081. [Google Scholar]









| N | Br (T) | K (Outer to Inner) | Rmp (Outer to Inner) | Rin (mm) | Rout (mm) | Radii (mm) (Outer to Inner) | ||
|---|---|---|---|---|---|---|---|---|
| Case a | 1 | 1.0446 | 1.2 | 2 | 0.7 | 22.275 | 28.5 | [27.5, 22.275] |
| Case b | 2 | 1.0446 | 1.1 | [4, 2] | [0.25, 0.75] | 16 | 26 | [25, 20, 15] |
| Cases | Case 1 | Case 2 | Case 3 | Case 4 |
|---|---|---|---|---|
| FEA flux Linkage (Wb) | 0.000746 | 0.000597 | 0.000616 | 0.000585 |
| Computed flux linkage (Wb) | 0.000750 | 0.000600 | 0.000620 | 0.000589 |
| Deviation % | 0.50 | 0.43 | 0.69 | 0.67 |
| Parameter | Population Size | Generations | Crossover Rate | Radii (mm) | k | Rmp |
|---|---|---|---|---|---|---|
| Details | 300 | 200 | 0.3 | 2 to 8 | 0.1 to 0.9 |
| Radii (mm) (Outer to Inner) | Segment Count k (Outer to Inner) | Magnet Ratios Rmp (Outer to Inner) | Optimal Linkage Flux (Wb) | Improvement % | |
|---|---|---|---|---|---|
| Case 5 | [30, 27.3, 15] | [8, 8] | [0.8, 0.5] | 0.000823 | 11.88 |
| Case 6 | [30, 28.3, 27, 25.4, 23.5, 22.9, 20.1, 18.5, 16.7, 15.8, 15] | [8, 8, 8, 8, 8, 8, 8, 8, 8, 8] | [0.8, 0.7, 0.6, 0.5, 0.5, 0.4, 0.4, 0.5, 0.6, 0.7] | 0.000826 | 12.22 |
Disclaimer/Publisher’s Note: The statements, opinions and data contained in all publications are solely those of the individual author(s) and contributor(s) and not of MDPI and/or the editor(s). MDPI and/or the editor(s) disclaim responsibility for any injury to people or property resulting from any ideas, methods, instructions or products referred to in the content. |
© 2025 by the authors. Licensee MDPI, Basel, Switzerland. This article is an open access article distributed under the terms and conditions of the Creative Commons Attribution (CC BY) license (https://creativecommons.org/licenses/by/4.0/).
Share and Cite
Barchouchi, C.; Franchek, M.; Tang, Y. Analytical Modeling and GA-Based Optimization of Multi-Layered Segmented SPM Magnets. Energies 2025, 18, 6303. https://doi.org/10.3390/en18236303
Barchouchi C, Franchek M, Tang Y. Analytical Modeling and GA-Based Optimization of Multi-Layered Segmented SPM Magnets. Energies. 2025; 18(23):6303. https://doi.org/10.3390/en18236303
Chicago/Turabian StyleBarchouchi, Choayeb, Matthew Franchek, and Yingjie Tang. 2025. "Analytical Modeling and GA-Based Optimization of Multi-Layered Segmented SPM Magnets" Energies 18, no. 23: 6303. https://doi.org/10.3390/en18236303
APA StyleBarchouchi, C., Franchek, M., & Tang, Y. (2025). Analytical Modeling and GA-Based Optimization of Multi-Layered Segmented SPM Magnets. Energies, 18(23), 6303. https://doi.org/10.3390/en18236303

