Assessment of Overall and Module-Specific Performance Comparisons for Residential Grid-Tied Photovoltaic Systems in the Maldives
Abstract
1. Introduction
1.1. Motivation
1.2. Literature Review
1.2.1. Evaluating Hybrid Renewable Energy Solutions for the Maldives: Challenges and Opportunities
1.2.2. Performance Analysis of Grid-Connected PV Systems: Insights from Global Studies
1.2.3. Research Gaps and Contributions
2. Materials and Data
2.1. The Site and Meteorological Data
2.2. PV Systems Configuration and Specifications
2.3. Meteorological and Energy Production Data Collection and Processing
2.4. Performance Assessment Methodology
2.4.1. IEC 61724 Evaluation Parameters
2.4.2. PVsyst Software for Ideal System Performance Evaluation
2.4.3. Optimal Orientation Estimation Method
2.5. Module-Level Daily Energy Performance Evaluation
- Step 1: Data collection and site selection
- Step 2: IEC 61724 Standard Performance Evaluation
- Step 3: Modeling and Simulation with PVSyst
- Step 4: Comparative Evaluation of Predicted, Optimal, and Actual Performance
- Step 5: S-Mile Cloud System Monitoring Data Validation
3. Results and Discussion
3.1. Weather Condition Variations
3.2. Operational Performance Assessment
3.2.1. Yield Factors, Predicted vs. Actual
3.2.2. Total Loss, Predicted vs. Actual
3.2.3. Performance Ratios, Predicted vs. Actual
3.2.4. Capacity Utilization Factors, Predicted vs. Actual
3.2.5. Systems Efficiency, Predicted vs. Actual
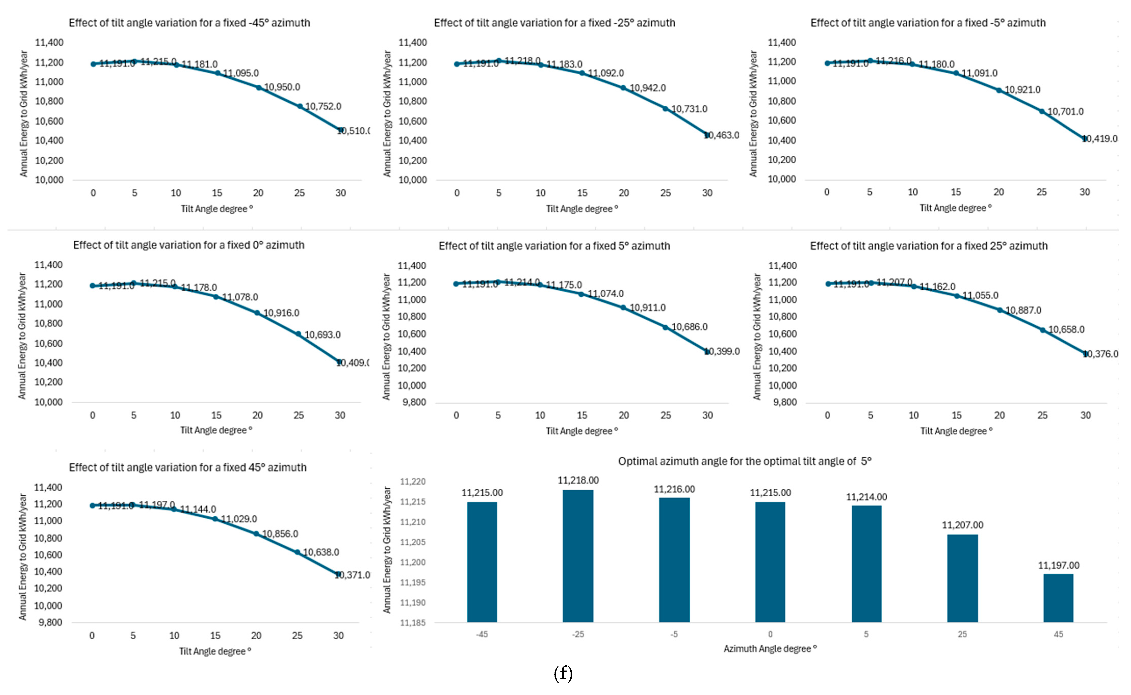
3.3. Orientation Analysis
3.4. Module-Level Performance Assessment
3.4.1. Aabin Lift
3.4.2. Velima 4th-Floor
3.4.3. Ocean Front Residence 11F-PH1
3.4.4. Samraahi
3.4.5. Fehigiri
3.4.6. Maavehi
4. Conclusions
Author Contributions
Funding
Data Availability Statement
Acknowledgments
Conflicts of Interest
Declaration of Generative AI and AI-Assisted Technologies in the Writing Process
References
- Maharaja, K.; Balaji, P.P.; Sangeetha, S.; Elakkiya, M. Development of bidirectional net meter in grid connected solar PV system for domestic consumers. In Proceedings of the 2016 International Conference on Energy Efficient Technologies for Sustainability (ICEETS), Nagercoil, India, 7–8 April 2016; pp. 46–49. [Google Scholar] [CrossRef]
- Kouro, S.; Leon, J.I.; Vinnikov, D.; Franquelo, L.G. Grid-connected photovoltaic systems: An overview of recent research and emerging PV converter technology. IEEE Ind. Electron. Mag. 2015, 9, 47–61. [Google Scholar] [CrossRef]
- Hasan, K.; Yousuf, S.B.; Tushar, M.S.H.K.; Das, B.K.; Das, P.; Islam, M.S. Effects of different environmental and operational factors on the PV performance: A comprehensive review. Energy Sci. Eng. 2022, 10, 656–675. [Google Scholar] [CrossRef]
- Hameed, H. The adoption of PV systems in the Maldives: A technological review. Maldives Natl. J. Res. 2015, 3, 52–73. [Google Scholar] [CrossRef]
- van Sark, W.G.J.H.M.; Lysen, E.H.; Cocard, D.; Beutin, P.; Merlo, G.F.; Mohanty, B.; van den Akker, J.; Razzak Idris, A.; Firag, A.; Waheed, A.; et al. The first PV–diesel hybrid system in the Maldives installed at Mandhoo Island. In Proceedings of the 21st European Photovoltaic Solar Energy Conference, Dresden, Germany, 4–8 September 2006; Available online: https://www.researchgate.net/publication/46691530 (accessed on 12 September 2025).
- van Alphen, K.; van Sark Wilfried, G.J.H.M.; Hekkert, M.P. Renewable energy technologies in the Maldives—Determining the potential. Renew. Sustain. Energy Rev. 2007, 11, 1650–1674. [Google Scholar] [CrossRef]
- Wijayatunga, P.; George, L.; Lopez, A.; Aguado, J.A. Integrating clean energy in small island power systems: Maldives experience. Energy Procedia 2016, 103, 274–279. [Google Scholar] [CrossRef]
- Ali, I.; Shafiullah, G.M.; Urmee, T. A preliminary feasibility of roof-mounted solar PV systems in the Maldives. Renew. Sustain. Energy Rev. 2018, 83, 18–32. [Google Scholar] [CrossRef]
- Wang, Y.; Song, J.; Yin, C.; Yan, J.; Zhang, Z. Techno-economic assessment of implementing photovoltaic water villas in Maldives. iScience 2023, 26, 106658. [Google Scholar] [CrossRef] [PubMed]
- Jung, T.Y.; Kim, D.; Moon, J.; Lim, S.K. A scenario analysis of solar photovoltaic grid parity in the Maldives: The case of Malahini resort. Sustainability 2018, 10, 4045. [Google Scholar] [CrossRef]
- Zaghba, L.; Khennane, M.; Mekhilef, S.; Fezzani, A.; Borni, A. Long-term outdoor performance of grid-connected photovoltaic power plant in a desert climate. Energy Sustain. Dev. 2023, 74, 430–453. [Google Scholar] [CrossRef]
- Haffaf, A.; Lakdja, F.; Abdeslam, D.O.; Meziane, R. Monitoring, measured and simulated performance analysis of a 2.4 kWp grid-connected PV system installed on the Mulhouse campus, France. Energy Sustain. Dev. 2021, 62, 44–55. [Google Scholar] [CrossRef]
- Alazazmeh, A.; Ahmed, A.; Siddiqui, M.; Asif, M. Real-time data-based performance analysis of a large-scale building applied PV system. Energy Rep. 2022, 8, 15408–15420. [Google Scholar] [CrossRef]
- Minai, A.F.; Usmani, T.; Alotaibi, M.A.; Malik, H.; Nassar, M.E. Performance analysis and comparative study of a 467.2 kWp grid-interactive SPV system: A case study. Energies 2022, 15, 1107. [Google Scholar] [CrossRef]
- Singh, T.S.D.; Shimray, B.A.; Singh, A.B.; Meitei, S.N. Performance measurement of 5 kWp rooftop grid-connected SPV system in moderate climatic region of Imphal, Manipur, India. Energy Sustain. Dev. 2023, 73, 292–302. [Google Scholar] [CrossRef]
- Dobaria, B.; Pandya, M.; Aware, M. Analytical assessment of 5.05 kWp grid tied photovoltaic plant performance on the system level in a composite climate of western India. Energy 2016, 111, 47–51. [Google Scholar] [CrossRef]
- Yadav, S.K.; Bajpai, U. Performance evaluation of a rooftop solar photovoltaic power plant in Northern India. Energy Sustain. Dev. 2018, 43, 130–138. [Google Scholar] [CrossRef]
- Emmanuel, M.; Akinyele, D.; Rayudu, R. Techno-economic analysis of a 10 kWp utility interactive photovoltaic system at Maungaraki school, Wellington, New Zealand. Energy 2017, 120, 573–583. [Google Scholar] [CrossRef]
- Arora, R.; Arora, R.; Sridhara, S.N. Performance assessment of 186 kWp grid interactive solar photovoltaic plant in Northern India. Int. J. Ambient. Energy 2022, 43, 128–141. [Google Scholar] [CrossRef]
- Pramanick, D.; Kumar, J. Performance and degradation assessment of two different solar PV cell technologies in the remote region of eastern India. e-Prime-Adv. Electr. Eng. Electron. Energy 2024, 7, 100432. [Google Scholar] [CrossRef]
- Aarich, N.; Bennouna, A.; Erraissi, N.; Raoufi, M.; Asselman, A.; Barhdadi, A.; Boukhattem, L.; Cherkaoui, A.; Darmane, Y.; Doudou, A.; et al. Assessment the long-term performance ratio maps of three grid-connected photovoltaic systems in the Moroccan climate. Energy Sustain. Dev. 2024, 79, 101388. [Google Scholar] [CrossRef]
- IEC Standard 61724; Photovoltaic System Performance Monitoring-Guidelines for Measurement, Data Exchange and Analysis. International Electrotechnical Commission (IEC): Geneva, Switzerland, 1998. Available online: https://law.resource.org/pub/in/bis/S05/is.iec.61724.1998.pdf (accessed on 12 September 2025).
- Yakubu, R.O.; Quansah, D.A.; Mensah, L.D.; Ahiataku-Togobo, W.; Acheampong, P.; Adaramola, M.S. Comparison of ground-based and floating solar photovoltaic systems performance based on monofacial and bifacial modules in Ghana. Energy Nexus 2023, 12, 100245. [Google Scholar] [CrossRef]
- Anang, N.; Azman, S.N.A.S.N.; Muda, W.M.W.; Dagang, A.N.; Daud, M.Z. Performance analysis of a grid-connected rooftop solar PV system in Kuala Terengganu, Malaysia. Energy Build. 2021, 248, 111182. [Google Scholar] [CrossRef]
- Sharma, R.; Goel, S. Performance analysis of an 11.2 kWp rooftop grid-connected PV system in Eastern India. Energy Rep. 2017, 3, 76–84. [Google Scholar] [CrossRef]















| Ref./Year | Location | Main Objective | System Configuration | Tools/Models | Key Outcomes | Simulation-Based | Performance-Based | Overall System Level | Module Level |
|---|---|---|---|---|---|---|---|---|---|
| [5]/2005 | Mandhoo Island, Maldives | Design and implement a pilot hybrid PV–diesel system | PV + Diesel + Battery | HOMER | Optimal 12 kWp PV with 108 kWh battery and diesel units (31 kW, 21.6 kW) met ~207 kWh/day; pilot failed due to component faults. | ✓ | ✗ | ✓ | ✗ |
| [6]/2007 | K. Malé, Fehendhoo, Uligam, Hanimadhoo Islands, Maldives | Evaluate renewable resource potential and hybrid feasibility | PV, PV + Wind, Diesel + PV, Diesel + Wind | HOMER | Fully renewable systems not viable; hybrid PV–diesel reduces cost by 5–10 ¢/kWh. | ✓ | ✗ | ✓ | ✗ |
| [7]/2016 | Addu City, Villingili, Khurendhoo, Goidhoo, Buruni Islands, Maldives | Develop hybrid diesel–PV–battery models for small islands | PV + Diesel/PV + Diesel + Battery | HOMER, PSCAD | Hybrid PV–diesel–battery improves reliability and energy security for island grids. | ✓ | ✗ | ✓ | ✗ |
| [8]/2018 | Hulhumalé Island, Maldives | Assess rooftop PV potential and hybrid configurations | Rooftop PV + Diesel/PV + Diesel + Battery | HOMER, RETScreen | Rooftop PV can supply 34–57% of demand; PV–diesel–battery system most cost-effective. | ✓ | ✗ | ✓ | ✗ |
| [9]/2023 | Three resort islands, Maldives | Assess PV integration on resort water villas | Rooftop PV | Excel-based assessment | Potential PV capacity 86.3 MW, generation 124.6 GWh/year; payback ≈ 7 years. | ✓ | ✗ | ✓ | ✗ |
| [10]/2018 | Kuda Bandos Island, Maldives | Compare off-grid system alternatives for grid parity | Diesel, Diesel + PV, Diesel + PV + Battery | HOMER | PV–diesel viable; grid parity within 20 years; ESS costly. | ✓ | ✗ | ✓ | ✗ |
| [11]/2021 | Ghardaïa, Algeria | Long-term outdoor performance of thin-film PV | 2.25 kWp Grid PV (a-Si/μc-Si) | PVsyst, PVGIS, PVWatts | PR 75–80%; degradation 0.22%/year; stable under high temp; yield 3.1–3.7 MWh/year. | ✓ | ✓ | ✓ | ✗ |
| [12]/2021 | Mulhouse, France | Compare measured and simulated small-grid PV output | 2.4 kWp Rooftop (Mono-Si) | PVGIS, PVWatts, HOMER | YF 3.75 kWh/kWp; CUF 15.6%; PVWatts/HOMER matched field data; CO2 avoided 4.17 t. | ✓ | ✓ | ✓ | ✗ |
| [13]/2023 | Dhahran, Saudi Arabia | Real-time evaluation of large BIPV | Building-integrated Grid PV | SCADA/Monitoring | Real-time PR and CUF tracking for large-scale BIPV. | ✗ | ✓ | ✓ | ✗ |
| [14]/2022 | Lucknow, India | Analyze multi-building rooftop PV performance | 467.2 kWp Rooftop (Poly-Si) | PVsyst, SCADA | PR ≈ 78%; CUF ≈ 17%; consistent output; major CO2 reduction. | ✓ | ✓ | ✓ | ✗ |
| [15]/2023 | Imphal, India | Compare measured and simulated rooftop PV | 5 kWp Rooftop (Poly-Si) | PVsyst + Monitoring | PR 74.4%; CUF 14.3%; confirms PV suitability in moderate climates. | ✓ | ✗ | ✓ | ✗ |
| [16]/2016 | Rajkot, India | Evaluate performance and losses in small-grid PV | 5.05 kWp Grid-tied (Poly-Si) | PVWatts + Monitoring | PR 68–83%; yield 1636 kWh/kWp/year; total losses 26%. | ✗ | ✓ | ✓ | ✗ |
| [17]/2018 | Lucknow, India | Assess annual performance of rooftop PV | 5 kW Rooftop PV | Monitored data | Yf 3.99 kWh/kWp/day; PR 77%; CUF 16%; CO2 avoided 7.03 t/year. | ✗ | ✓ | ✓ | ✗ |
| [18]/2016 | Wellington, New Zealand | Evaluate technical and financial PV performance | 10 kWp Grid-connected PV | SAM, Monitoring | PR 76–79%; CF 12.5%; ηsys 12%; good seasonal stability. | ✗ | ✓ | ✓ | ✗ |
| [19]/2024 | Bihar, India | Assess hybrid RE configurations | PV + Wind + Biomass + Diesel + Battery | HOMER | Optimal: 86.7 kW PV, 30 kW wind, 50 kW diesel; demand 615.6 kWh/day met reliably. | ✓ | ✗ | ✓ | ✗ |
| [20]/2024 | Eastern India | Compare Mono-Si and Poly-Si PV under tropical climate | Mono-Si vs. Poly-Si PV Arrays | HOMER + Monitoring | Mono-Si: PR 77.5%, CF 16.8%; Poly-Si: PR 72.4%, CF 15.4%; degradation ~0.7%/year. | ✗ | ✓ | ✓ | ✗ |
| [21]/2024 | Morocco | Compare DC PR of different PV technologies | Grid-connected PV (Mono, Poly, a-Si) | Performance monitoring | Avg. DC PR: Poly 90.6%, Mono 90.1%, a-Si 87.3%; minor variation. | ✗ | ✓ | ✓ | ✗ |
| Plant Name | Location Coordinates | Online Date | System Capacity (kW) |
|---|---|---|---|
| Aabin Lift | 4°10′21.0″ N 73°30′48.1″ E | 21 January | 3.96 |
| Velima 4th-Floor | 4°10′29.5″ N 73°30′43.7″ E | 21 March | 2.64 |
| Ocean Front Residence 11F-PH1 | 4°13′10.2″ N 73°32′20.4″ E | 21 September | 7.92 |
| Samraahi | 4°10′20.5″ N 73°29′06.2″ E | 22 January | 1.36 |
| Fehigiri | 4°10′20.9″ N 73°30′14.9″ E | 22 February | 12.24 |
| Maavehi | 4°10′18.2″ N 73°30′49.6″ E | 22 July | 6.8 |
| Plant Name | Module Technology | #PV Modules | #Microinverters | Tilt Angle | Azimuth |
|---|---|---|---|---|---|
| Aabin Lift | Polycrystalline | 3 | 10° | −85° | |
| Velima 4th-Floor | Polycrystalline | 2 | 10° | −150° | |
| Ocean Front Residence 11F-PH1 | Polycrystalline | 6 | 0° | −150° | |
| Samraahi | Mono Perc Half Cell | 1 | 10° | −90° | |
| Fehigiri | Mono Perc Half Cell | 9 | 10° | −80° | |
| Maavehi | Mono Perc Half Cell | 5 | 10° | −170°, 10° |
| PV Modules | Microinverter | |||
|---|---|---|---|---|
| Parameters | Specification | Parameters | Specification | |
| Module type | JKM330PP-72-V JKM340M-60H | Model | HME-1200-AU | |
| Pmax (W) | 330 | 340 | Input (DC) | |
| Imp (A) | 8.74 | 9.95 | Commonly used module power (W) | 240 to 405+ |
| Vmp (A) | 37.8 | 34.2 | Maximum input voltage (V) | 60 |
| Isc (A) | 9.14 | 10.82 | MPPT voltage range (V) | 16–60 |
| Voc (V) | 46.9 | 41.7 | Maximum input current (A) | 4 × 11.5 |
| Temperature coefficient of Pmax (%/°C) | −0.38 | −0.36 | Output AC (V) | 230 |
| Nominal operating cell temperature (NOCT) (°C) | 45 ± 2 | 45 ± 2 | Rated output power (VA) | 1200 |
| Module area (m2) | 1.94 | 1.69 | Rated output current (A) | 5.22 |
| No. of cells | 72 (6 × 12) | 120 (6 × 20) | Nominal output voltage/range (V) | 230/180–275 |
| Efficiency (STC) (%) | 17.01 | 20.15 | Nominal frequency | 50 |
| Weight/module (kg) | 22.5 | 19.0 | Efficiency (%) | 96.70 |
| Date | Avg. GHI. (kWh/m2/day) | Avg. Ambient Temp. (°C) | Avg. RH. (%) | Avg. Sunshine. (h) | Avg. Rainfall. (mm) |
|---|---|---|---|---|---|
| 23 January | 5.70 | 28.20 | 75.39 | 8.0 | 5.16 |
| 23 February | 6.38 | 28.61 | 75.04 | 9.3 | 0.23 |
| 23 March | 6.21 | 29.13 | 80.45 | 8.4 | 5.21 |
| 23 April | 6.20 | 29.99 | 78.60 | 9.1 | 4.38 |
| 23 May | 5.65 | 29.61 | 81.13 | 8.6 | 9.12 |
| 23 June | 5.15 | 29.62 | 81.51 | 6.7 | 3.44 |
| 23 July | 5.52 | 29.53 | 79.52 | 8.3 | 8.22 |
| 23 August | 6.25 | 29.62 | 76.61 | 9.3 | 2.53 |
| 23 September | 4.32 | 28.84 | 82.00 | 4.2 | 10.16 |
| 23 October | 4.94 | 28.64 | 81.81 | 5.4 | 11.63 |
| 23 November | 4.71 | 28.55 | 83.67 | 5.9 | 14.61 |
| 23 December | 4.12 | 28.59 | 83.55 | 5.1 | 19.00 |
| Parameter | Definition | Formula | Reference |
|---|---|---|---|
| Reference yield | The maximum theoretical solar energy that can be harnessed at a specific location (kWh/kW/day). | [23] | |
| Yield factor | The amount of daily AC energy the PV system produces (kWh/day) per unit (1 kWp) capacity of the PV system installed. | [15] | |
| Total energy losses | The difference between the reference yield (YR) and the yield factor (YF). These losses are due to mismatched photovoltaic losses, ohmic wiring, array temperature, irradiance level, and module quality. | [24] | |
| Performance ratio | The ratio of actual to theoretical energy outputs of the PV plant. It shows the overall impact of losses on the rated output caused by temperature changes in PV modules, inefficient inverters, improper wiring, soiling, or component failure. | [25] | |
| Capacity utilization factor | The ratio of the PV system’s actual annual energy production to its annual energy production at full-rated power for a full year. | [25] | |
| System efficiency | The ratio of AC energy output from the PV system to solar radiation energy that is present in the PV system’s plane. | [15] |
| Month | Malé_GHI | Aabin Lift | Velima | Ocean Front | Samraahi | Fehigiri | Maavehi |
|---|---|---|---|---|---|---|---|
| 23 January | 5.70 | 4.54 | 4.40 | 4.67 | 4.77 | 4.83 | 4.95 |
| 23 February | 6.38 | 5.17 | 4.99 | 5.17 | 5.26 | 5.31 | 5.41 |
| 23 March | 6.21 | 4.97 | 5.00 | 5.02 | 5.07 | 5.09 | 5.15 |
| 23 April | 6.20 | 4.95 | 5.13 | 5.00 | 5.07 | 5.03 | 5.00 |
| 23 May | 5.65 | 4.55 | 4.84 | 4.60 | 4.66 | 4.68 | 4.52 |
| 23 June | 5.15 | 4.17 | 4.48 | 4.22 | 4.27 | 4.23 | 4.11 |
| 23 July | 5.52 | 4.44 | 4.76 | 4.51 | 4.55 | 4.50 | 4.42 |
| 23 August | 6.25 | 4.97 | 5.23 | 5.08 | 5.09 | 5.09 | 5.06 |
| 23 September | 4.32 | 3.49 | 3.55 | 3.53 | 3.53 | 3.56 | 3.57 |
| 23 October | 4.94 | 4.10 | 4.01 | 4.05 | 4.15 | 4.13 | 4.17 |
| 23 November | 4.71 | 3.88 | 3.71 | 3.87 | 3.95 | 3.98 | 4.04 |
| 23 December | 4.12 | 3.38 | 3.23 | 3.39 | 3.42 | 3.44 | 3.56 |
| Month | Malé_GHI | Aabin Lift | Velima | Ocean Front | Samraahi | Fehigiri | Maavehi |
|---|---|---|---|---|---|---|---|
| 23 January | 5.70 | 2.75 | 3.72 | 4.41 | 4.07 | 4.26 | 3.36 |
| 23 February | 6.38 | 3.58 | 4.24 | 5.17 | 4.78 | 4.81 | 5.21 |
| 23 March | 6.21 | 3.41 | 4.28 | 4.97 | 4.73 | 4.91 | 5.02 |
| 23 April | 6.20 | 3.03 | 4.03 | 5.02 | 4.67 | 4.56 | 4.61 |
| 23 May | 5.65 | 3.10 | 4.14 | 4.82 | 4.69 | 4.54 | 3.51 |
| 23 June | 5.15 | 2.18 | 3.89 | 4.33 | 4.24 | 4.15 | 4.34 |
| 23 July | 5.52 | 2.94 | 4.04 | 4.49 | 4.54 | 4.41 | 4.44 |
| 23 August | 6.25 | 3.16 | 4.39 | 5.17 | 5.07 | 5.05 | 5.17 |
| 23 September | 4.32 | 1.60 | 3.22 | 3.63 | 3.64 | 3.53 | 3.53 |
| 23 October | 4.94 | 2.10 | 3.43 | 4.13 | 3.87 | 3.95 | 4.09 |
| 23 November | 4.71 | 1.65 | 3.33 | 3.95 | 3.80 | 3.86 | 3.96 |
| 23 December | 4.12 | 0.78 | 2.93 | 3.35 | 3.28 | 3.42 | 3.69 |
| Month | Malé_GHI | Aabin Lift | Velima | Ocean Front | Samraahi | Fehigiri | Maavehi |
|---|---|---|---|---|---|---|---|
| 23 January | 5.70 | 1.16 | 1.30 | 1.03 | 0.93 | 0.87 | 0.75 |
| 23 February | 6.38 | 1.21 | 1.39 | 1.21 | 1.12 | 1.07 | 0.97 |
| 23 March | 6.21 | 1.24 | 1.21 | 1.19 | 1.14 | 1.12 | 1.06 |
| 23 April | 6.20 | 1.25 | 1.07 | 1.20 | 1.13 | 1.17 | 1.20 |
| 23 May | 5.65 | 1.10 | 0.81 | 1.05 | 0.99 | 0.97 | 1.13 |
| 23 June | 5.15 | 0.98 | 0.67 | 0.93 | 0.88 | 0.92 | 1.04 |
| 23 July | 5.52 | 1.08 | 0.76 | 1.01 | 0.97 | 1.02 | 1.10 |
| 23 August | 6.25 | 1.28 | 1.02 | 1.17 | 1.16 | 1.16 | 1.19 |
| 23 September | 4.32 | 0.83 | 0.77 | 0.79 | 0.79 | 0.76 | 0.75 |
| 23 October | 4.94 | 0.84 | 0.93 | 0.89 | 0.79 | 0.81 | 0.77 |
| 23 November | 4.71 | 0.83 | 1.00 | 0.84 | 0.76 | 0.73 | 0.67 |
| 23 December | 4.12 | 0.74 | 0.89 | 0.73 | 0.70 | 0.68 | 0.56 |
| Month | Malé_GHI | Aabin Lift | Velima | Ocean Front | Samraahi | Fehigiri | Maavehi |
|---|---|---|---|---|---|---|---|
| 23 January | 5.70 | 2.95 | 1.98 | 1.29 | 1.66 | 1.44 | 2.34 |
| 23 February | 6.38 | 2.80 | 2.14 | 1.21 | 1.59 | 1.57 | 1.17 |
| 23 March | 6.21 | 2.80 | 1.93 | 1.24 | 1.56 | 1.30 | 1.19 |
| 23 April | 6.20 | 3.17 | 2.17 | 1.18 | 1.99 | 1.64 | 1.59 |
| 23 May | 5.65 | 2.55 | 1.51 | 0.83 | 1.72 | 1.11 | 2.14 |
| 23 June | 5.15 | 2.97 | 1.26 | 0.82 | 2.15 | 1.00 | 0.81 |
| 23 July | 5.52 | 2.58 | 1.48 | 1.03 | 1.55 | 1.11 | 1.08 |
| 23 August | 6.25 | 3.09 | 1.86 | 1.08 | 2.01 | 1.20 | 1.08 |
| 23 September | 4.32 | 2.72 | 1.10 | 0.69 | 2.03 | 0.79 | 0.79 |
| 23 October | 4.94 | 2.84 | 1.51 | 0.81 | 2.03 | 0.99 | 0.85 |
| 23 November | 4.71 | 3.06 | 1.38 | 0.76 | 2.30 | 0.85 | 0.75 |
| 23 December | 4.12 | 3.34 | 1.19 | 0.77 | 2.57 | 0.70 | 0.43 |
| Month | Malé_GHI | Aabin Lift | Velima | Ocean Front | Samraahi | Fehigiri | Maavehi |
|---|---|---|---|---|---|---|---|
| 23 January | 5.70 | 79.64 | 77.26 | 81.89 | 83.68 | 84.75 | 86.80 |
| 23 February | 6.38 | 81.06 | 78.20 | 81.00 | 82.49 | 83.19 | 84.79 |
| 23 March | 6.21 | 80.04 | 80.46 | 80.87 | 81.62 | 81.99 | 82.88 |
| 23 April | 6.20 | 79.88 | 82.74 | 80.58 | 81.71 | 81.08 | 80.72 |
| 23 May | 5.65 | 80.61 | 85.73 | 81.46 | 82.53 | 82.89 | 79.93 |
| 23 June | 5.15 | 80.94 | 87.04 | 81.89 | 82.91 | 82.12 | 79.86 |
| 23 July | 5.52 | 80.47 | 86.31 | 81.68 | 82.46 | 81.59 | 80.10 |
| 23 August | 6.25 | 79.60 | 83.68 | 81.33 | 81.52 | 81.38 | 80.91 |
| 23 September | 4.32 | 80.73 | 82.16 | 81.74 | 81.76 | 82.39 | 82.61 |
| 23 October | 4.94 | 82.93 | 81.08 | 82.04 | 84.03 | 83.60 | 84.51 |
| 23 November | 4.71 | 82.35 | 78.73 | 82.12 | 83.88 | 84.59 | 85.76 |
| 23 December | 4.12 | 82.13 | 78.30 | 82.35 | 83.07 | 83.54 | 86.47 |
| Month | Malé_GHI | Aabin Lift | Velima | Ocean Front | Samraahi | Fehigiri | Maavehi |
|---|---|---|---|---|---|---|---|
| 23 January | 5.70 | 48.24 | 65.22 | 77.32 | 71.40 | 74.74 | 58.95 |
| 23 February | 6.38 | 56.12 | 66.50 | 81.07 | 74.92 | 75.39 | 81.66 |
| 23 March | 6.21 | 54.91 | 68.87 | 80.04 | 76.17 | 79.07 | 80.84 |
| 23 April | 6.20 | 48.86 | 64.93 | 80.92 | 75.32 | 73.55 | 74.35 |
| 23 May | 5.65 | 54.90 | 73.32 | 85.34 | 83.01 | 80.35 | 62.12 |
| 23 June | 5.15 | 42.25 | 75.60 | 84.04 | 82.33 | 80.58 | 84.27 |
| 23 July | 5.52 | 53.23 | 73.17 | 81.38 | 82.25 | 79.89 | 80.43 |
| 23 August | 6.25 | 50.61 | 70.29 | 82.67 | 81.12 | 80.80 | 82.72 |
| 23 September | 4.32 | 36.98 | 74.50 | 84.01 | 84.26 | 81.71 | 81.71 |
| 23 October | 4.94 | 42.44 | 69.34 | 83.64 | 78.34 | 79.96 | 82.79 |
| 23 November | 4.71 | 34.94 | 70.69 | 83.82 | 80.68 | 81.95 | 84.08 |
| 23 December | 4.12 | 18.82 | 71.05 | 81.28 | 79.61 | 83.01 | 89.56 |
| Month | Malé_GHI | Aabin Lift | Velima | Ocean Front | Samraahi | Fehigiri | Maavehi |
|---|---|---|---|---|---|---|---|
| 23 January | 5.70 | 18.92 | 18.35 | 19.45 | 19.87 | 20.13 | 20.62 |
| 23 February | 6.38 | 21.55 | 20.79 | 21.53 | 21.93 | 22.11 | 22.54 |
| 23 March | 6.21 | 20.71 | 20.82 | 20.92 | 21.12 | 21.22 | 21.45 |
| 23 April | 6.20 | 20.64 | 21.38 | 20.82 | 21.11 | 20.95 | 20.85 |
| 23 May | 5.65 | 18.98 | 20.18 | 19.18 | 19.43 | 19.51 | 18.82 |
| 23 June | 5.15 | 17.37 | 18.68 | 17.57 | 17.79 | 17.62 | 17.14 |
| 23 July | 5.52 | 18.51 | 19.85 | 18.79 | 18.97 | 18.77 | 18.42 |
| 23 August | 6.25 | 20.73 | 21.79 | 21.18 | 21.23 | 21.19 | 21.07 |
| 23 September | 4.32 | 14.53 | 14.79 | 14.71 | 14.72 | 14.83 | 14.87 |
| 23 October | 4.94 | 17.07 | 16.69 | 16.89 | 17.30 | 17.21 | 17.39 |
| 23 November | 4.71 | 16.16 | 15.45 | 16.12 | 16.46 | 16.60 | 16.83 |
| 23 December | 4.12 | 14.10 | 13.44 | 14.14 | 14.26 | 14.34 | 14.84 |
| Month | Malé_GHI | Aabin Lift | Velima | Ocean Front | Samraahi | Fehigiri | Maavehi |
|---|---|---|---|---|---|---|---|
| 23 January | 5.70 | 11.46 | 15.49 | 18.36 | 16.94 | 17.75 | 14.02 |
| 23 February | 6.38 | 14.92 | 17.68 | 21.55 | 19.91 | 20.03 | 21.69 |
| 23 March | 6.21 | 14.21 | 17.82 | 20.71 | 19.72 | 20.45 | 20.93 |
| 23 April | 6.20 | 12.62 | 16.77 | 20.90 | 19.45 | 19.02 | 19.19 |
| 23 May | 5.65 | 12.92 | 17.26 | 20.09 | 19.55 | 18.90 | 14.62 |
| 23 June | 5.15 | 9.07 | 16.22 | 18.03 | 17.67 | 17.28 | 18.06 |
| 23 July | 5.52 | 12.24 | 16.83 | 18.72 | 18.90 | 18.39 | 18.48 |
| 23 August | 6.25 | 13.18 | 18.30 | 21.53 | 21.11 | 21.02 | 21.53 |
| 23 September | 4.32 | 6.66 | 13.41 | 15.12 | 15.18 | 14.71 | 14.73 |
| 23 October | 4.94 | 8.74 | 14.27 | 17.22 | 16.14 | 16.45 | 17.05 |
| 23 November | 4.71 | 6.86 | 13.87 | 16.45 | 15.85 | 16.10 | 16.51 |
| 23 December | 4.12 | 3.23 | 12.20 | 13.95 | 13.66 | 14.24 | 15.38 |
| Month | Malé_GHI | Aabin Lift | Velima | Ocean Front | Samraahi | Fehigiri | Maavehi |
|---|---|---|---|---|---|---|---|
| 23 January | 5.70 | 13.55 | 13.14 | 13.93 | 16.84 | 17.05 | 17.46 |
| 23 February | 6.38 | 13.79 | 13.30 | 13.78 | 16.59 | 16.74 | 17.06 |
| 23 March | 6.21 | 13.62 | 13.69 | 13.76 | 16.42 | 16.50 | 16.67 |
| 23 April | 6.20 | 13.59 | 14.07 | 13.71 | 16.44 | 16.31 | 16.24 |
| 23 May | 5.65 | 13.71 | 14.58 | 13.86 | 16.60 | 16.68 | 16.08 |
| 23 June | 5.15 | 13.77 | 14.80 | 13.93 | 16.68 | 16.52 | 16.07 |
| 23 July | 5.52 | 13.69 | 14.68 | 13.89 | 16.59 | 16.42 | 16.11 |
| 23 August | 6.25 | 13.54 | 14.23 | 13.83 | 16.40 | 16.37 | 16.28 |
| 23 September | 4.32 | 13.73 | 13.98 | 13.90 | 16.45 | 16.58 | 16.62 |
| 23 October | 4.94 | 14.11 | 13.79 | 13.95 | 16.90 | 16.82 | 17.00 |
| 23 November | 4.71 | 14.01 | 13.39 | 13.97 | 16.88 | 17.02 | 17.25 |
| 23 December | 4.12 | 13.97 | 13.32 | 14.01 | 16.71 | 16.81 | 17.40 |
| Month | Malé_GHI | Aabin Lift | Velima | Ocean Front | Samraahi | Fehigiri | Maavehi |
|---|---|---|---|---|---|---|---|
| 23 January | 5.70 | 8.21 | 11.09 | 13.15 | 14.35 | 15.04 | 11.88 |
| 23 February | 6.38 | 9.55 | 11.31 | 13.79 | 15.07 | 15.16 | 16.42 |
| 23 March | 6.21 | 9.34 | 11.71 | 13.62 | 15.34 | 15.90 | 16.27 |
| 23 April | 6.20 | 8.31 | 11.04 | 13.76 | 15.15 | 14.81 | 14.95 |
| 23 May | 5.65 | 9.34 | 12.47 | 14.52 | 16.71 | 16.15 | 12.49 |
| 23 June | 5.15 | 7.19 | 12.86 | 14.30 | 16.57 | 16.20 | 16.94 |
| 23 July | 5.52 | 9.05 | 12.45 | 13.84 | 16.53 | 16.09 | 16.17 |
| 23 August | 6.25 | 8.61 | 11.96 | 14.06 | 16.31 | 16.24 | 16.63 |
| 23 September | 4.32 | 6.29 | 12.67 | 14.29 | 16.97 | 16.44 | 16.46 |
| 23 October | 4.94 | 7.22 | 11.79 | 14.23 | 15.78 | 16.07 | 16.67 |
| 23 November | 4.71 | 5.94 | 12.02 | 14.26 | 16.24 | 16.50 | 16.93 |
| 23 December | 4.12 | 3.20 | 12.09 | 13.83 | 16.01 | 16.68 | 18.03 |
| Sites | Aabin Lift | Velima 4th-Floor | Ocean Front Residence 11F-PH1 | Samraahi | Fehigiri | Maavehi |
|---|---|---|---|---|---|---|
| Site Coordinates | 4°10′21.0″ N 73°30′48.1″ E | 4°10′29.5″ N 73°30′43.7″ E | 4°13′10.2″ N 73°32′20.4″ E | 4°10′20.5″ N 3°29′06.2″ E | 4°10′20.9″ N 73°30′14.9″ E | 4°10′18.2″ N 73°30′49.6″ E |
| Azimuth | (−) 85° | (−) 150° | (−) 150° | (−) 90° | (−) 80° | (−) 170° 10° |
| Tilt | 10° | 10° | 0° | 10° | 10° | 10° |
| Annual E_Grid kWh | 6352.9 | 4280.4 | 12,786.0 | 2224.0 | 20,042.0 | 11,151.0 |
| Optimal orientation (Tilt°, Azimuth°) | (5°, 5°) | (5°, 0°) & (5°, 5°) | (5°, −5°) | (5°, 0°) & (5°, 5°) | (5°, 5°) | (5°, −25°) |
| % Increase with optimal orientation | 0.77% | 1.29% | 0.22% | 0.82% | 0.81% | 0.60% |
Disclaimer/Publisher’s Note: The statements, opinions and data contained in all publications are solely those of the individual author(s) and contributor(s) and not of MDPI and/or the editor(s). MDPI and/or the editor(s) disclaim responsibility for any injury to people or property resulting from any ideas, methods, instructions or products referred to in the content. |
© 2025 by the authors. Licensee MDPI, Basel, Switzerland. This article is an open access article distributed under the terms and conditions of the Creative Commons Attribution (CC BY) license (https://creativecommons.org/licenses/by/4.0/).
Share and Cite
Mohamed, K.A.A.; Shareef, H.; Nizam, I.; Esan, A.B.; ALAhmad, A.K. Assessment of Overall and Module-Specific Performance Comparisons for Residential Grid-Tied Photovoltaic Systems in the Maldives. Energies 2025, 18, 6272. https://doi.org/10.3390/en18236272
Mohamed KAA, Shareef H, Nizam I, Esan AB, ALAhmad AK. Assessment of Overall and Module-Specific Performance Comparisons for Residential Grid-Tied Photovoltaic Systems in the Maldives. Energies. 2025; 18(23):6272. https://doi.org/10.3390/en18236272
Chicago/Turabian StyleMohamed, Khalid Adil Ali, Hussain Shareef, Ibrahim Nizam, Ayodele Benjamin Esan, and Ahmad K. ALAhmad. 2025. "Assessment of Overall and Module-Specific Performance Comparisons for Residential Grid-Tied Photovoltaic Systems in the Maldives" Energies 18, no. 23: 6272. https://doi.org/10.3390/en18236272
APA StyleMohamed, K. A. A., Shareef, H., Nizam, I., Esan, A. B., & ALAhmad, A. K. (2025). Assessment of Overall and Module-Specific Performance Comparisons for Residential Grid-Tied Photovoltaic Systems in the Maldives. Energies, 18(23), 6272. https://doi.org/10.3390/en18236272

