Next Article in Journal
The Pro-Ecological Evolution of Powertrains and Fuels in Formula 1
Previous Article in Journal
Modeling Wastewater Treatment Plants to Study Energy Optimal Control
 
 
Font Type:
Arial Georgia Verdana
Font Size:
Aa Aa Aa
Line Spacing:
Column Width:
Background:
Article

Standard Parameter Generation Strategy for Power Transformer Residual Flux Detection and Verification Platform

1
Electric Power Research Institute of State Grid Xinjiang Electric Power Company, Urumqi 830011, China
2
College of Modern Science and Technology, China Jiliang University, Yiwu 322000, China
*
Author to whom correspondence should be addressed.
Energies 2025, 18(22), 6012; https://doi.org/10.3390/en18226012 (registering DOI)
Submission received: 16 September 2025 / Revised: 7 October 2025 / Accepted: 10 October 2025 / Published: 17 November 2025

Abstract

Residual magnetism in power transformer cores can cause severe inrush currents, threatening grid safety. The accuracy of residual magnetism testers depends on reference values from calibration platforms, yet current calibration platforms suffer from three key limitations: (1) low-precision hysteresis modeling that fails to reflect real magnetic material behavior; (2) unstable generation of residual magnetism reference values; and (3) lack of standardized methods for dynamic inductance adjustment during testing. To address these challenges, this paper proposes a comprehensive reference parameter generation framework for high-accuracy calibration systems. First, an enhanced Preisach-based analytical model is developed using the Everett integral distribution, enabling precise characterization of ferromagnetic hysteresis. Second, a novel “demagnetize-then-magnetize” strategy is introduced to establish stable and repeatable residual flux references: demagnetization is achieved through a semi-cyclically decaying AC excitation over 20 cycles, effectively eliminating initial magnetic history; subsequent magnetization combines full positive/negative saturation pulses with reverse micro-pulse fine-tuning to achieve accurate residual flux control within ±6% error. Third, integrating hysteresis loop features, a dynamic inductance adjustment method is developed using quadratic polynomial fitting of excitation current peaks and normalized inductance. Tests verify that the proposed approach enables the calibration platform to produce high-accuracy, stable residual magnetism and dynamic inductance references, supporting full-condition calibration of test instruments.

1. Introduction

According to IEEE Standard C57.12.00-D2.1, as the pivotal hub for energy transmission and distribution within power systems, the operational reliability of power transformers directly determines the safety level of the grid [1]. When a transformer is taken out of service for maintenance or due to a fault, the magnetic hysteresis properties of the core material result in residual magnetism of a certain intensity remaining within the core. This residual magnetism induces an inrush current during reclosing that can reach 6–8 times the rated current. Such inrush currents not only cause mechanical stress accumulation in windings, increasing single-cycle closing stress by up to 25%, and accelerate insulation ageing, reducing service life by approximately 15%, but may also trigger false operation of relay protection devices and even lead to cascading issues such as harmonic pollution of adjacent equipment [2,3]. According to the IEEE’s 2023 Power Equipment Failure Statistics Report, approximately 30% of transformer closing faults in power systems are directly attributable to residual magnetism-induced inrush currents. The annual losses from grid outages and equipment maintenance costs exceeding hundreds of millions of US dollars stem from this phenomenon [4]. Consequently, the ability of residual magnetism detection devices to accurately assess the residual magnetism state of transformer cores represents a critical technological element in suppressing inrush currents and ensuring stable grid operation.
In recent years, residual magnetism detection techniques have encompassed empirical estimation methods, voltage integration methods, pre-magnetisation methods, and AC/DC indirect detection methods [5,6]. Many measurement methods fundamentally exploit the principle that magnetic permeability varies with residual magnetism, leading to inconsistent self-inductance or mutual inductance coefficients in windings. Residual magnetism in the core is calculated by measuring the coil’s response to different voltage signals. However, changes in transformer coil inductance are influenced not only by residual magnetism and environmental factors but also significantly by the previous inflection point of the hysteresis loop. Consequently, residual magnetism detection methods such as frequency response analysis and small hysteresis loop integration are equally influenced by coil inductance values. This paper, therefore, proposes a precision magnetisation platform for transformers featuring dynamically adjustable inductance. This enables verification of residual magnetism detection methods under inductance disturbance conditions and calibration of residual magnetism detection apparatus accuracy.
In the study of transformer magnetic characteristics, the hysteresis phenomenon constitutes an inherent property of ferromagnetic materials. An accurate description of transformer hysteresis characteristics is a prerequisite for researching precise magnetisation and dynamic inductance adjustment strategies. To date, researchers have proposed multiple hysteresis models. Among these, the Preisach hysteresis model has found extensive application in transformer magnetic characteristic analysis [7,8,9] due to its ability to effectively reflect the hysteresis loop shape and hysteresis losses of ferromagnetic materials. The Preisach model describes overall hysteresis characteristics through the superposition of a series of basic hysteresis units possessing rectangular hysteresis loops, employing distribution functions to characterise the distribution of these basic units. However, this model suffers from computational complexity and insufficient accuracy in parameter identification, limiting its further application in engineering practice [10,11].
In recent years, artificial intelligence techniques have delivered crucial breakthroughs for the engineering application of the Preisach hysteresis model. Addressing computational redundancy issues in the Preisach model, reference [12] proposed an approximate scheme using particle swarm optimisation to train feedforward neural networks, enhancing both predictive accuracy and training efficiency to enable real-time hysteresis analysis. By integrating the classical Preisach model with machine learning, a non-parametric high-fidelity model was constructed and successfully applied to characterise and optimise the hysteresis system of a particle accelerator [13]. Neural operator architectures further extend model generalisation capabilities. By fitting the Preisach distribution function via Fourier neural operators, precise prediction of untrained hysteresis loops is achieved [14]. Dynamic parameter identification methods based on uncertain neural network systems reduce the Preisach model’s reliance on historical data [15], whilst hybrid neural network-Preisach operator fusion models achieve a 40% reduction in inverse compensation errors [16].
Prior to precise magnetisation, the calibration platform must first demagnetise the transformer. Commonly employed demagnetisation methods include direct current demagnetisation, alternating current demagnetisation, and pulse demagnetisation [17,18]. The DC demagnetisation method achieves demagnetisation by applying a gradually decreasing direct current, but the demagnetisation effect is significantly influenced by the rate of current change, with errors exceeding ±10% [19]. The AC demagnetisation method reduces the amplitude of the alternating voltage to achieve demagnetisation, offering relatively simple operation but taking over 30 min [20]. The pulse demagnetisation method utilises the magnetic field generated by pulsed currents for demagnetisation, demonstrating high efficiency but demanding higher equipment specifications [21]. In the magnetisation scheme, the transformer core is primarily subjected to a specific magnetic field to impart a predetermined residual magnetism. However, the standard value of the generated residual magnetism fluctuates by more than ±5%, rendering calibration consistency unattainable [22].
Accurate calculation of transformer inductance values is a prerequisite for dynamic inductance adjustment. Currently, the primary methods for calculating transformer inductance include analytical methods, numerical analysis techniques, and experimental measurement approaches [23,24]. Analytical methods derive inductance formulas based on electromagnetic theory, offering rapid computation but exhibiting lower precision due to the omission of certain complex factors; Numerical analysis methods, such as the finite element method, can account for the complex structure and material properties of transformers, offering higher computational accuracy. However, the calculation process is intricate and time-consuming. Experimental measurement methods can directly obtain inductance values but are subject to the limitations of experimental equipment and measurement environments, making it difficult to guarantee the accuracy and repeatability of the results [25,26,27]. Integrating the advantages of these various methods to achieve accurate and reliable dynamic adjustment of inductance values represents one of the key challenges currently requiring resolution in the field of transformer parameter research.
In summary, although scholars both domestically and internationally have achieved certain research outcomes in areas such as transformer hysteresis models, residual magnetism control, and inductance calculation, numerous shortcomings persist in the generation strategies for standard parameters within residual magnetism detection device calibration platforms. For instance, existing hysteresis models struggle to meet engineering practice demands in terms of precision and efficiency; the accuracy and stability of residual magnetism standard value generation require further enhancement; and methods for generating inductance standard values lack uniformity and standardisation. Therefore, conducting research on precise magnetisation and dynamic inductance adjustment strategies, and establishing a comprehensive and reliable standard parameter generation system, holds significant practical importance for advancing power transformer technology and ensuring the safe and stable operation of power systems.
To this end, this paper investigates strategies for generating standard parameters for residual magnetism detection and calibration platforms in power transformers, with the following core contributions: (1) Optimisation of the Preisach hysteresis model: Deriving parameter expressions through analytical methods and incorporating the Everett integral distribution function to provide a high-precision foundation for magnetic characteristic analysis; (2) Proposal of a standardised residual magnetism generation process: First, rapid decaying AC demagnetisation with 20 half-cycle reductions; subsequently, precise residual magnetism control during magnetisation achieved through combined positive/negative saturation excitation and fine-tuning with reverse micro-pulse currents, maintaining residual magnetism standard values within ±6% accuracy; (3) Establishing a dynamic inductance adjustment mechanism: Integrating hysteresis loop characteristics, proposing a quadratic polynomial fitting method for excitation current peaks and normalised inductance to unify adjustment standards. Finally, an experimental platform was constructed to validate the effectiveness and feasibility of the proposed standard parameter generation strategy for the residual magnetism detection device calibration platform of power transformers.

2. Transformer Hysteresis Model

The accuracy of the model parameters directly determines whether the model can accurately simulate the hysteresis characteristics of ferromagnetic materials. The analytical formula method is used to calculate the parameters of the Preisach hysteresis model, and the Everett integral distribution function E(Hu,Hv) = 1/2[B(Hu,Hv) − B(Hu)] is introduced. As shown in Figure 1, B(Hu) is the magnetic flux density output value of the limiting hysteresis loop when the input is Hu, and B(Hu, Hv) is the turning point on the limiting hysteresis loop, which is the magnetic flux density output value when the input decreases to Hv obtained from the first-order reversal curve.
The output of the initial magnetization curve, the descending branch, and the ascending branch of the hysteresis loop for this model is expressed as
B t = E ( H t , H ( t ) ) H u = B ( H u ) = 0 B H u 2 E H u , H ( t ) H H u B H u + 2 E H t , H u H > H u
By characterizing the Preisach distribution function with an analytical function, the forward model can be obtained:
B t = i = 1 n a i 2 β i 2 e β i H ( t ) e β i H t 1 γ i 2 G 1 t G 2 t + l n G 1 t G 2 t G 3 t G 4 t 1 γ i 2 2 + k 1 H t + k 2 t a n h H t k 3   H u = B ( H u ) = 0 B H u 2 i = 1 n a i 2 β i 2 e β i H t e β i H u 1 γ i 2 F 1 t G 4 t + l n G 4 t F 1 t G 1 t F 2 t 1 γ i 2 2 + k 1 H t + k 2 t a n h H t k 3   H H u B | H u | + 2 i = 1 n a i 2 β i 2 e β i H u e β i H t 1 γ i 2 G 1 t F 2 t + l n G 1 t F 2 t G 4 t F 1 t 1 γ i 2 2 + k 1 H t + k 2 t a n h H t k 3   H > H u  
where k 1 H t + k 2 t a n h H t k 3 represents the reversible component of the magnetization, B | H u | represents the irreversible component at the turning point of the hysteresis curve, n is the number of terms of the Everett function, G 1 t = γ i + e β i H t , G 2 t = 1 + γ i e β i H t , G 3 t = γ i + e β i H t , G 4 t = 1 + γ i e β i H t , F 1 t = γ i + e β i H u , F 2 t = 1 + γ i e β i H u , a i , β i , γ i , k 1 , k 2 , k2, and k3 are the parameters of the model.
Differentiating the magnetic flux density output B(t) with respect to the magnetic field strength gives
R d B t d H ( t ) = 2 i = 1 n φ i ( H ) P i H P i H + k 1 + k 2 k 3 1 t a n h 2 H k 3 H u = B ( H u ) = 0 2 i = 1 n φ i ( H ) P i H P i H u + k 1 + k 2 k 3 1 t a n h 2 H k 3 H H u 2 i = 1 n φ i ( H ) P i H u P i H + k 1 + k 2 k 3 1 t a n h 2 H k 3 H > H u
where φ i H = a i e β i H 1 + γ i e β i H 2 , P i H = a i β i γ i 1 1 + γ i e β i H . Based on the numerically discretized approximate difference expression of dB(t)/dH(t): d B t d H t = B t H ( t ) , the magnetic field strength at the next time step can be obtained:
H t + t = H t + B t + t B ( t ) d B ( t ) / d H ( t )
Rearranged, the magnetic field strength is
H t + t = H t + B t + t B t 2 i = 1 n φ i H P i H P i H + k 1 + k 2 k 3 1 t a n h 2 H k 3 H u = B H u = 0 H t + B t + t B t 2 i = 1 n φ i H P i H P i H u + k 1 + k 2 k 3 1 t a n h 2 H k 3 H H u H t + B t + t B t 2 i = 1 n φ i H P i H u P i H + k 1 + k 2 k 3 1 t a n h 2 H k 3 H > H u
Based on this model, the parameters of the model can be fitted according to the initial residual flux value of the core and the state of the curve after zero-flux control as the starting point, based on the changes in magnetic flux density and magnetization intensity.

3. Principles Governing the Generation of Standard Residual Magnetism Values for Transformers

The generation of residual magnetism standard values for transformers necessitates a controllable and repeatable magnetisation process, with the core procedure being ‘demagnetisation followed by magnetisation’. This sequence stems from the unique magnetic properties of transformer cores, whose residual magnetism exhibits significant historical dependency. The residual magnetism is cumulatively influenced by prior magnetisation operations, such as transportation, installation, and trial runs. If magnetisation is applied directly, the original residual magnetism would combine with the new magnetisation effect. This would result in a final residual magnetism value exhibiting high dispersion and poor stability, rendering it unsuitable as a standard reference value. Therefore, it is necessary to first demagnetise the core to eliminate residual magnetism, returning it to a magnetically neutral initial state. Subsequently, controlled magnetisation conditions are applied based on a specific magnetisation protocol. This approach generates a residual magnetism standard value characterised by consistency and repeatability.

3.1. Demagnetization Scheme

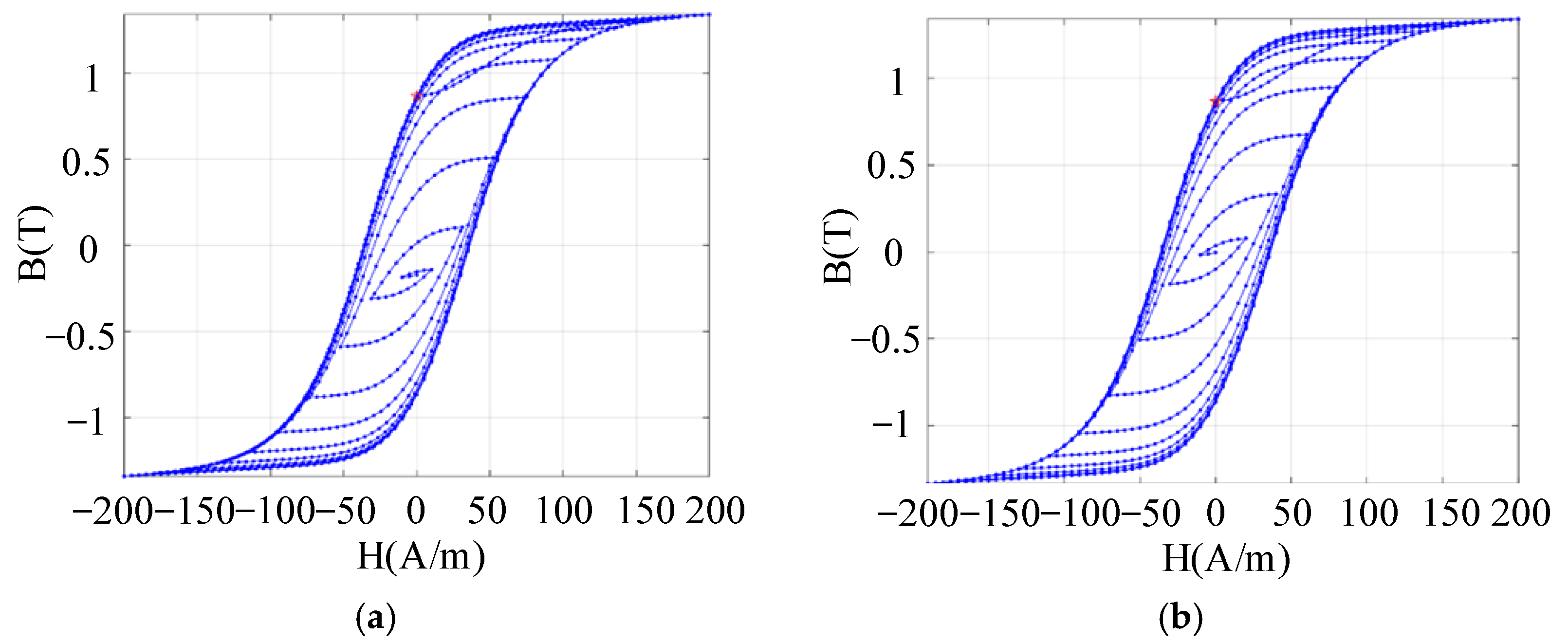
Using silicon steel sheets as an example, Figure 2 depicts hysteresis loops for both grain-oriented and non-grain-oriented types based on the Preisach model, showing distinct characteristics. Applying an alternating current with decreasing amplitude to reduce magnetic flux density produces BH curves shown in Figure 3. The method of decreasing AC amplitude influences core residual magnetism. Reducing the amplitude in full-cycle increments results in greater residual magnetism than half-cycle increments. We verified whether this characteristic also applies to core demagnetisation.
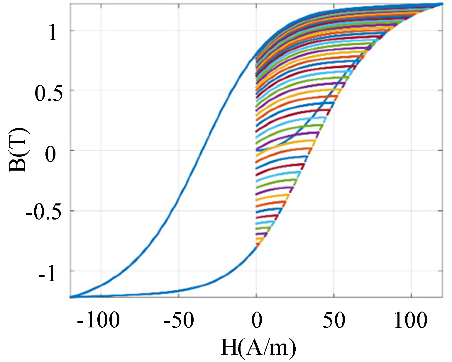
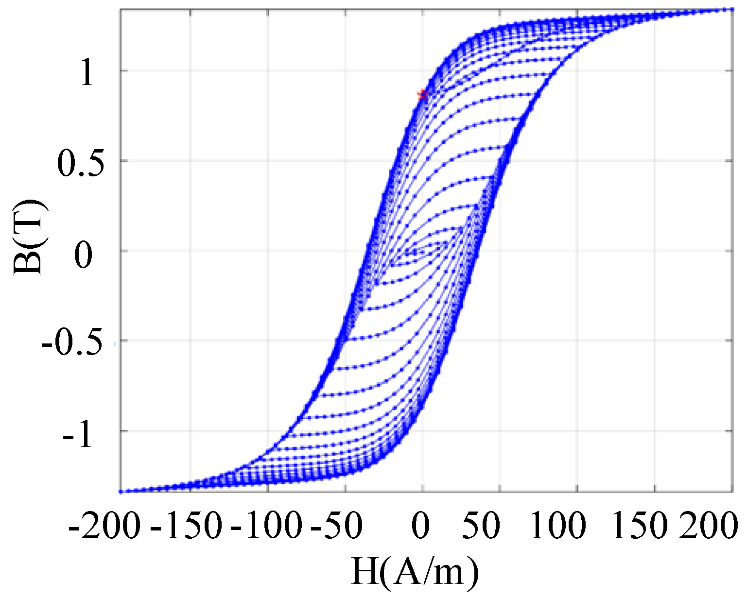
Set a fixed residual magnetism, with the asterisk marking the residual magnetism of the silicon steel sheet. Figure 4 illustrates the demagnetisation effect of excitation alternating current amplitude at different decay time scales. After ten decay cycles, the demagnetisation effect achieved by decreasing excitation in half-cycle increments significantly outperforms that achieved in full-cycle increments. Figure 5 depicts the demagnetisation effect after increasing the decay rate of the excitation current amplitude. The decay process is completed over 20 cycles. Compared to Figure 4a, the demagnetisation effect is significantly improved when the decay rate of the excitation current amplitude is higher.
Therefore, for silicon steel sheet cores, demagnetisation may be achieved using an alternating current with decaying amplitude. Specifically, the excitation current amplitude is reduced in half-cycle increments while simultaneously increasing the decay rate (for instance, completing the entire process through 20 successive decay cycles). Moreover, while the energy consumption of this 20-half-cycle demagnetisation process is relatively low, it necessitates the generation of substantial instantaneous currents. This requirement relies on high-power components for implementation, resulting in elevated costs. This constitutes the primary limitation hindering its practical application.

3.2. Magnetization Scheme

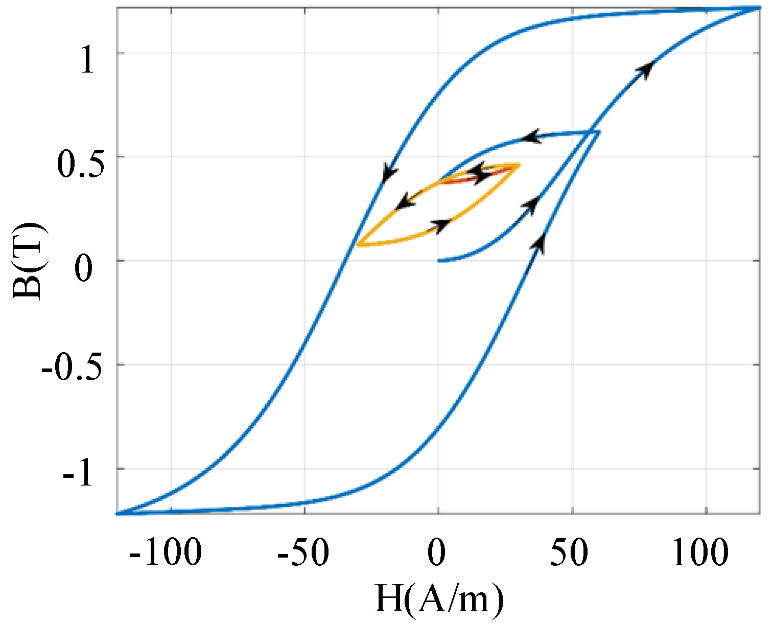
As the hysteresis loop reflects the state and variation prior to magnetisation, it is essential to analyse hysteresis curves and remanence under different magnetisation processes. As shown in Figure 6, after saturation excitation, varying the final excitation current amplitude leads to distinct hysteresis curves and core remanence values. Therefore, during magnetisation, the excitation current can first be increased to the reverse saturation region. Then, based on the corresponding relationship, the forward current can be raised to its corresponding peak value. Finally, reducing the current yields the desired remanence. However, the accuracy of this open-loop magnetisation is susceptible to factors such as temperature. If the residual magnetism from the initial magnetisation does not meet the required accuracy, reverse magnetisation to the reverse saturation region can be applied. Subsequently, the peak forward magnetising current should be readjusted and reduced to ensure the residual magnetism is slightly above or below the original value. Nevertheless, this fine-tuning method requires magnetising to the reverse saturation region first, leading to extended magnetisation times and increased power consumption. The following section explores whether residual magnetism can be finely adjusted using small forward or reverse excitation currents based on the existing residual magnetism.
Figure 7 shows the hysteresis loop under an excitation current with the same polarity as the previous one, in the presence of residual magnetism. It can be seen that after half a cycle, the residual magnetism equals its initial value. After each full cycle, the core’s residual magnetism returns to its initial state. Therefore, using a small excitation current of the same polarity cannot fine-tune the residual magnetism. As shown in Figure 8, when a small opposite-polarity excitation current is applied, the entire hysteresis loop shifts downward, clearly indicating a change in remanence. Since the direction of the previous current is known during magnetisation, subsequent excitation currents and directions can be selected based on the deviation between the current and target remanence to achieve fine adjustment.
Based on the analysis of the aforementioned hysteresis loop characteristics, the following appropriate magnetisation strategy can be derived. First, magnetise the core along the large hysteresis loop using positive and negative saturation excitation currents to achieve the desired residual magnetism. Subsequently, fine-tune the residual magnetism using small pulse currents in the opposite direction to the final excitation current. This enables precise control of the transformer’s residual magnetism.

4. Principle of Dynamic Inductance Adjustment for Transformers

To assess whether the output values of the residual magnetism detection device are affected by different transformer inductance values, precise dynamic adjustment of the transformer winding inductance must be achieved. According to the electromagnetic induction formula, the induced electromotive force in the winding can be calculated using the following equation:
U = N d ϕ d t = d ( L i ) d t
where N denotes coil turns, ϕ the magnetic flux, L the inductance, and i the coil current. The coil current and the core’s magnetic field strength satisfy
N i = l H  
l is the magnetic path length. The magnetic flux can be calculated by:
ϕ = B S  
Substituting Equations (7) and (8) into Equation (6) gives
d ( L H ) d t = N 2 S l d B d t
Assuming the change in magnetic flux density is very small and extremely slow, and neglecting the change in the inductance value, we get
L = N 2 S l   d B d H
Figure 9a shows hysteresis loops in silicon steel with 0.37 T residual magnetism after excitation at different peak currents in the final current direction. Figure 9b presents corresponding inductances calculated with Equation (10). Residual magnetism remains unchanged, yet inductance varies: higher peak currents yield greater inductance after excitation. The standard procedure for power transformer parameters is thus: demagnetisation first, then magnetisation, and finally inductance customisation. For computational ease, after the final magnetising current, the relationship between in-phase excitation current peaks and normalised inductance can be represented by a quadratic polynomial. For example, Figure 10 shows normalised inductance values fitted using Equation (11), closely matching actual measurements.
L g = 6.279 × 10 5 H 2 + 0.01606 H 0.01276  

5. Experimental Results

To validate the effectiveness of the proposed standard parameter generation strategy, a verification platform experimental prototype was constructed, as shown in Figure 11. The system hardware architecture block diagram is shown in Figure 12, and the MCU task flowchart is shown in Figure 13. The main component models are listed in Table 1. The flux sensor error is less than 2.23 Gs. The current sensor error is less than 5 mA. Silicon steel sheets were selected as the core material for the transformer. A constant current source generated by a power operational amplifier was used as the excitation current. A magnetic flux sensor was attached to the side of the transformer. The excitation current in the primary winding was detected using a Hall current sensor. The PC plotted the BH curve based on the measured magnetic flux density and magnetic field strength, and the dynamic inductance was calculated according to Equation (9). All test values were normalized: the residual flux test values were normalized using the reciprocal of the maximum residual flux under saturated current, while the dynamic inductance test values were normalized using the reciprocal of the inductance value under saturated current. Table 2 presents the demagnetization results, showing that after 20 rapid decays of the sinusoidal excitation current, the residual flux in the core was essentially reduced to zero. Table 3 shows the magnetization accuracy test results, indicating a relative magnetization precision within 6%. When the residual flux was fixed at a specific value, the adjustment accuracy of the dynamic inductance is summarized in Table 4. The relative error exhibited fluctuations, with a maximum error of approximately 20% and a minimum error of only 2%. The primary cause of errors reaching up to 20% in dynamic inductance control for transformers likely stems from the dynamic inductance model’s omission of core hysteresis losses, eddy current effects, and the non-linear variation in magnetic permeability with current and frequency during its establishment. Concurrently, hardware-level issues such as insufficient sensor accuracy and control algorithm response delays contribute to the discrepancy. Furthermore, uncontrolled environmental factors like temperature and humidity during experimentation further exacerbate the deviation between actual values and the ideal control target.
Figure 14 presents a comparison of the theoretical BH curve derived using the Preisach hysteresis model during demagnetisation with the experimental BH curve. It can be observed that the theoretical and experimental curves are in close agreement.

6. Conclusions

This paper investigates the strategy for generating standard parameters in a power transformer residual magnetism detection and calibration platform, with key conclusions:
  • A high-precision method for describing hysteresis characteristics based on the Preisach model has been established. Through analytical derivation of model parameters and magnetic field strength iteration formulas, combined with the Everett integral distribution function, accurate simulation of the hysteresis loops for both grain-oriented and non-grain-oriented silicon steel sheets has been achieved.
  • A residual magnetism standard value generation process of ‘demagnetisation followed by magnetisation’ is proposed. The demagnetisation stage employs a rapid decay scheme with 20 iterations, where the alternating current amplitude decreases in half-cycle increments to eliminate historical residual magnetism in the core. The magnetisation stage achieves precise residual magnetism control through a combination of positive and negative saturation excitation coupled with fine-tuning via reverse micro-pulse currents, thereby enhancing the consistency and stability of residual magnetism standard values.
  • An inductance standard value generation method based on hysteresis loop characteristics is proposed. Precise inductance customisation is achieved by fitting a quadratic polynomial relationship between excitation current peaks and normalised inductance values, establishing the parameter generation sequence: ‘demagnetisation–magnetisation–dynamic inductance adjustment’.
Experimental validation confirms the proposed strategy’s effectiveness and feasibility. It provides standardised parameter support for full-condition calibration of residual magnetism testing instruments, holding significant engineering value for ensuring stable operation of power systems.
However, owing to limitations in experimental conditions and the capabilities of the researchers, this paper still exhibits numerous shortcomings. Future research endeavours include: (1) Comparing the accuracy of the Preisach hysteresis model against other hysteresis models; (2) Analysing the extent to which environmental factors such as temperature and humidity influence the calibration platform’s operation; (3) Enhancing the intelligence of the calibration process through machine learning algorithms; (4) Applying the proposed standard parameter generation method to large-capacity power transformers; (5) Developing a dynamic inductance generation method with reduced error and improved stability.

Author Contributions

Conceptualization, Y.W.; Methodology, W.D. and A.D.; Validation, W.D.; Formal analysis, A.D. and X.W.; Investigation, X.W.; Resources, X.W. and W.R.; Data curation, W.R. and C.J.; Writing—original draft, Y.W.; Writing—review & editing, C.S. and G.L.; Visualization, H.W., C.J. and C.S.; Supervision, J.H.; Project administration, H.W. and G.L.; Funding acquisition, W.D. All authors have read and agreed to the published version of the manuscript.

Funding

The fund comes from the Science and Technology Project of Electric Power Research Institute of State Grid Xinjiang Electric Power Company, Ltd. (Contract No.: SGXJDK00LCJS2400369).

Data Availability Statement

The original contributions presented in this study are included in the article. Further inquiries can be directed to the corresponding author.

Conflicts of Interest

Authors Yuwei Wang, Wenjuan Dong, Azan Delinuer, Xingang Wang, Wufuer Renaguli and Hao Wang were employed by the Electric Power Research Institute of State Grid Xinjiang Electric Power Company. The remaining authors declare that the research was conducted in the absence of any commercial or financial relationships that could be construed as a potential conflict of interest. The authors declare that this study received funding from Electric Power Research Institute of State Grid Xinjiang Electric Power Company, Ltd. The funder was not involved in the study design, collection, analysis, interpretation of data, the writing of this article or the decision to submit it for publication.

References

  1. IEEE Std C57.12.00-D2.1; IEEE Draft Standard for General Requirements for Liquid-Immersed Distribution, Power, and Regulating Transformers. IEEE Standards Association: Piscataway, NJ, USA, 9 November 2021.
  2. Huo, C.; Yang, Y. A novel residual magnetism detection method of power transformer cores based on magnetization time. IEEE Sens. J. 2024, 24, 2647–2656. [Google Scholar] [CrossRef]
  3. Yang, Y.; Zhang, Z.; Pan, Z.; Lv, J.; Dong, Z.; Zhu, L. Research on the residual magnetic flux density measurement of single-phase transformer based on magnetomotive force. IEEE Trans. Instrum. Meas. 2025, 74, 6002516. [Google Scholar] [CrossRef]
  4. Huo, C.; Yang, Y. A review of research progress on residual magnetism detection methods for power transformer cores. IEEE Sens. J. 2024, 24, 7636–7645. [Google Scholar] [CrossRef]
  5. Fan, P.; Yao, H.; Wang, J.; Tao, S.; Chen, W. Measurement and research of DC magnetization curves based on DC excitation method. In Proceedings of the IEEE 2nd International Power Electronics and Application Symposium, Guangzhou, China, 10–13 November 2023. [Google Scholar]
  6. Li, D.; Zhou, J.; Zhang, Z.; Yang, Y.; Dong, Z.; He, W.; Pei, X.; Gao, J.; Chen, S.; Pan, Z. Research on the remanence measurement method of transformers based on the degaussing hysteresis loop. Appl. Sci. 2025, 15, 5375. [Google Scholar] [CrossRef]
  7. Zeinali, R.; Krop, D.C.J.; Lomonova, E.A. Comparison of preisach and congruency-based static hysteresis models applied to non-oriented steels. IEEE Trans. Magn. 2020, 56, 8936576. [Google Scholar] [CrossRef]
  8. Michna, M.; Dworakowski, P.; Wilk, A.; Kutt, F.; Mermet-Guyennet, M. Modified preisach model of hysteresis in multi air gap ferrite core medium frequency transformer. IEEE Trans. Power Deliv. 2022, 37, 116–124. [Google Scholar] [CrossRef]
  9. Heo, C.G.; Im, S.H.; Jeong, H.S.; Cho, S.H.; Park, G.S. Magnetic hysteresis analysis of a pipeline re-inspection by using preisach model. IEEE Trans. Magn. 2020, 56, 1–4. [Google Scholar] [CrossRef]
  10. Liu, R.; Gu, C.; Sun, J.; Shu, F.; Tang, B. Analytical inverse preisach model and its comparison with inverse jiles–atherton model in terms of accuracy and computational speed. IEEE Trans. Magn. 2023, 59, 3281779. [Google Scholar] [CrossRef]
  11. Kim, D.; Kim, H.; Jin, S. Recurrent neural network with preisach model for configuration-specific hysteresis modeling of tendon-sheath mechanism. IEEE Robot. Autom. Lett. 2022, 7, 2763–2770. [Google Scholar] [CrossRef]
  12. Jansen, H.; Wang, X. A neural network method for approximating preisach’s model of magnetic hysteresis using particle swarm optimization. In Proceedings of the IEEE International Conference on Control, Automation and Diagnosis, Paris, France, 15–17 May 2024. [Google Scholar]
  13. Chandra, A.; Kapoor, T.; Daniels, B.; Curti, M.; Tiels, K.; Tartakovsky, D.M.; Lomonova, E.A. Generalizable models of magnetic hysteresis via physics-aware recurrent neural networks. Comput. Phys. Commun. 2025, 314, 109650. [Google Scholar] [CrossRef]
  14. Licciardi, S.; Ala, G.; Francomano, E.; Viola, F.; Giudice, M.L.; Salvini, A.; Sargeni, F.; Bertolini, V.; Di Schino, A.; Faba, A. Neural network architectures and magnetic hysteresis: Overview and comparisons. Mathematics 2024, 12, 3363. [Google Scholar] [CrossRef]
  15. Lai, G.; Deng, G.; Yang, W.; Wang, X.; Su, X. Tracking control of uncertain neural network systems with preisach hysteresis inputs: A new iteration-based adaptive inversion approach. Actuators 2023, 12, 341. [Google Scholar] [CrossRef]
  16. Bahiuddin, I.; Fadhila, R.N.; Utami, D.; Mazlan, S.A.; Widyotriatmo, A.; Wardana, A.A.; Cakravastia, A.; Rijanto, E.; Imaduddin, F. Optimized hybrid residual compensation feedforward neural networks for predicting field dependent hysteresis in magnetorheological valves under normal and degraded conditions. Results Eng. 2025, 27, 106183. [Google Scholar] [CrossRef]
  17. Chen, B.; Yang, X.; Hu, Y.; Jia, J.; Wang, H.; Yang, X. Analysis of ac and dc demagnetization of a rare earth free permanent magnet assisted synchronous reluctance motor. In Proceedings of the 26th International Conference on Electrical Machines and Systems, Zhuhai, China, 5–8 November 2023. [Google Scholar]
  18. Wu, T.; Wang, Q.; Yang, Y.; Lv, Y. Magnetization and demagnetization characteristics of NdFeB blocks in pulsed magnetic field. In Proceedings of the IEEE 1st China International Youth Conference on Electrical Engineering, Wuhan, China, 1–4 November 2020. [Google Scholar]
  19. Ren, Y.; Liu, C.; Wang, Y. Fast demagnetization method for power transformers combined with residual flux measurement. Int. J. Electr. Power Energy Syst. 2025, 164, 110431. [Google Scholar] [CrossRef]
  20. Smara, A.; Mineev, N.; Climente-Alarcon, V.; Tomkow, L.; Reis, T.; Glowacki, B.A. Influence of architecture of composite superconducting tape-based stacks on ac demagnetization for electric machines application. IEEE Trans. Appl. Supercond. 2020, 30, 1–6. [Google Scholar] [CrossRef]
  21. Chen, X.; Adam, R.; Bürgler, D.E.; Wang, F.; Lu, Z.; Pan, L.; Heidtfeld, S.; Greb, C.; Liu, M.; Liu, Q.; et al. Ultrafast demagnetization in ferromagnetic materials: Origins and progress. Phys. Rep. 2025, 1102, 1–63. [Google Scholar] [CrossRef]
  22. Delaunay, C.; Joubert, C.; Sixdenier, F. Behaviour of electrical steels under rotational magnetization and high temperatures. J. Magn. Magn. Mater. 2024, 590, 171680. [Google Scholar] [CrossRef]
  23. Amirbande, M.; Vahedi, A. Calculation of leakage inductance in toroidal core transformer with non-interleaved windings. IEEE Trans. Plasma Sci. 2020, 48, 4215–4220. [Google Scholar] [CrossRef]
  24. Akbari, M.; Rezaei-Zare, A.; Cheema, M.A.M.; Kalicki, T. Air gap inductance calculation for transformer transient model. IEEE Trans. Power Deliv. 2021, 36, 492–494. [Google Scholar] [CrossRef]
  25. Yin, H.; Lai, J.; Ren, S.; Su, J.; Yu, X.; Ma, K. An accurate calculation method of leakage inductance of high-frequency transformer with litz wire winding considering irregular region. IEEE J. Emerg. Sel. Top. Power Electron. 2022, 10, 7441–7451. [Google Scholar] [CrossRef]
  26. Sima, W.; Zou, B.; Yang, M.; de León, F. New method to measure deep-saturated magnetizing inductances for dual reversible models of single-phase two-winding transformers. IEEE Trans. Power Deliv. 2021, 36, 488–491. [Google Scholar] [CrossRef]
  27. Wan, Z.; Li, Y.; Wang, H.; Sun, H.; Lin, S. An improved calculation method of leakage inductance for high-frequency transformer based on precise analysis of magnetic field. IEEE J. Emerg. Sel. Top. Power Electron. 2024, 12, 707–717. [Google Scholar] [CrossRef]
Figure 1. First-order reversal curve and turning point (Hu, B(Hu)).
Figure 1. First-order reversal curve and turning point (Hu, B(Hu)).
Energies 18 06012 g001
Figure 2. Simulated hysteresis loop characteristics of silicon steel sheets: (a) Grain-oriented silicon steel sheet. (b) Non-grain-oriented silicon steel sheet.
Figure 2. Simulated hysteresis loop characteristics of silicon steel sheets: (a) Grain-oriented silicon steel sheet. (b) Non-grain-oriented silicon steel sheet.
Energies 18 06012 g002
Figure 3. B-H curve change process caused by gradually decreasing excitation AC current amplitude: (a) Excitation current amplitude decaying per half-cycle. (b) Excitation current amplitude decaying per cycle.
Figure 3. B-H curve change process caused by gradually decreasing excitation AC current amplitude: (a) Excitation current amplitude decaying per half-cycle. (b) Excitation current amplitude decaying per cycle.
Energies 18 06012 g003
Figure 4. Demagnetization effect of excitation AC current amplitude at different decay time scales: (a) Excitation current amplitude decaying per cycle. (b) Excitation current amplitude decaying per half-cycle.
Figure 4. Demagnetization effect of excitation AC current amplitude at different decay time scales: (a) Excitation current amplitude decaying per cycle. (b) Excitation current amplitude decaying per half-cycle.
Energies 18 06012 g004
Figure 5. Demagnetization effect after increasing the decay rate of the excitation current amplitude.
Figure 5. Demagnetization effect after increasing the decay rate of the excitation current amplitude.
Energies 18 06012 g005
Figure 6. Different last excitation current amplitudes after saturation excitation correspond to different hysteresis curves and core residual flux.
Figure 6. Different last excitation current amplitudes after saturation excitation correspond to different hysteresis curves and core residual flux.
Energies 18 06012 g006
Figure 7. Hysteresis loop caused by an excitation current in the same direction as the previous excitation current under conditions with residual flux.
Figure 7. Hysteresis loop caused by an excitation current in the same direction as the previous excitation current under conditions with residual flux.
Energies 18 06012 g007
Figure 8. Hysteresis loop caused by an excitation current in the opposite direction to the previous excitation current under conditions with residual flux.
Figure 8. Hysteresis loop caused by an excitation current in the opposite direction to the previous excitation current under conditions with residual flux.
Energies 18 06012 g008
Figure 9. Normalized inductance values generated by different peak excitation currents in the same direction as the last excitation current under conditions with residual flux: (a) Hysteresis loops caused by different peak excitation currents. (b) Normalized inductance values corresponding to each excitation current.
Figure 9. Normalized inductance values generated by different peak excitation currents in the same direction as the last excitation current under conditions with residual flux: (a) Hysteresis loops caused by different peak excitation currents. (b) Normalized inductance values corresponding to each excitation current.
Energies 18 06012 g009
Figure 10. Correspondence between peak values of various in-phase excitation currents and normalized inductance values after applying the final magnetization current with a peak magnetic field strength of 1.0 A/m.
Figure 10. Correspondence between peak values of various in-phase excitation currents and normalized inductance values after applying the final magnetization current with a peak magnetic field strength of 1.0 A/m.
Energies 18 06012 g010
Figure 11. Experimental prototype of the residual flux detection verification platform.
Figure 11. Experimental prototype of the residual flux detection verification platform.
Energies 18 06012 g011
Figure 12. System Hardware Architecture Diagram.
Figure 12. System Hardware Architecture Diagram.
Energies 18 06012 g012
Figure 13. MCU Task Flowchart.
Figure 13. MCU Task Flowchart.
Energies 18 06012 g013
Figure 14. Comparison of theoretical and experimental BH curves during demagnetisation.
Figure 14. Comparison of theoretical and experimental BH curves during demagnetisation.
Energies 18 06012 g014
Table 1. Main component models.
Table 1. Main component models.
ComponentModel
MCUAT32F403A
Power Op-AmpOPA549T
Current SensorHCS-ES5-5A
Magnetic Flux SensorTMAG5170
Table 2. Demagnetization effect.
Table 2. Demagnetization effect.
Normalized Remanence Value Before
Demagnetization (%)
Normalized Remanence Value After
Demagnetization (%)
1002
93.51
90.70
79.60
66.70
55.60
47.71.5
380.5
28.71
18.50.5
4.60
Table 3. Magnetization accuracy.
Table 3. Magnetization accuracy.
Magnetization Normalization
Command Value (%)
Residual Magnetism Value After Magnetization (%)Relative Error (%)
97992
90944
80833
70733
60633
50511
45505
40455
35332
30311
25223
20211
1596
1082
Table 4. Dynamic inductance adjustment accuracy.
Table 4. Dynamic inductance adjustment accuracy.
Normalized Residual
Magnetism Value (%)
Normalized Inductance
Reference Value (%)
Normalized Inductance
Adjustment Value (%)
Relative Error (%)
57809818
709222
607717
506919
405313
40809919
708919
60677
504010
40328
20809111
708212
60655
50428
40382
Disclaimer/Publisher’s Note: The statements, opinions and data contained in all publications are solely those of the individual author(s) and contributor(s) and not of MDPI and/or the editor(s). MDPI and/or the editor(s) disclaim responsibility for any injury to people or property resulting from any ideas, methods, instructions or products referred to in the content.

Share and Cite

MDPI and ACS Style

Wang, Y.; Dong, W.; Delinuer, A.; Wang, X.; Renaguli, W.; Wang, H.; Ji, C.; Song, C.; He, J.; Li, G. Standard Parameter Generation Strategy for Power Transformer Residual Flux Detection and Verification Platform. Energies 2025, 18, 6012. https://doi.org/10.3390/en18226012

AMA Style

Wang Y, Dong W, Delinuer A, Wang X, Renaguli W, Wang H, Ji C, Song C, He J, Li G. Standard Parameter Generation Strategy for Power Transformer Residual Flux Detection and Verification Platform. Energies. 2025; 18(22):6012. https://doi.org/10.3390/en18226012

Chicago/Turabian Style

Wang, Yuwei, Wenjuan Dong, Azan Delinuer, Xingang Wang, Wufuer Renaguli, Hao Wang, Changao Ji, Chunwei Song, Jinlong He, and Gang Li. 2025. "Standard Parameter Generation Strategy for Power Transformer Residual Flux Detection and Verification Platform" Energies 18, no. 22: 6012. https://doi.org/10.3390/en18226012

APA Style

Wang, Y., Dong, W., Delinuer, A., Wang, X., Renaguli, W., Wang, H., Ji, C., Song, C., He, J., & Li, G. (2025). Standard Parameter Generation Strategy for Power Transformer Residual Flux Detection and Verification Platform. Energies, 18(22), 6012. https://doi.org/10.3390/en18226012

Note that from the first issue of 2016, this journal uses article numbers instead of page numbers. See further details here.

Article Metrics

Back to TopTop