Next Article in Journal
A Cluster-Based Filtering Approach to SCADA Data Preprocessing for Wind Turbine Condition Monitoring and Fault Detection
Previous Article in Journal
Configuration Optimization of a Plate Fin Precooler Based on Multi-Objective Grey Wolf Optimizer
 
 
Font Type:
Arial Georgia Verdana
Font Size:
Aa Aa Aa
Line Spacing:
Column Width:
Background:
Article

Well Pattern Optimization for Gas Reservoir Compressed Air Energy Storage Considering Multifactor Constraints

1
School of Resources and Safety Engineering, Beijing University of Science and Technology, Beijing 100083, China
2
CNPC Engineering Technology R&D Company Limited, Beijing 102206, China
3
National Engineering Research Center of Oil & Gas Drilling and Completion Technology, Beijing 102206, China
*
Author to whom correspondence should be addressed.
Energies 2025, 18(22), 5953; https://doi.org/10.3390/en18225953 (registering DOI)
Submission received: 24 September 2025 / Revised: 28 October 2025 / Accepted: 7 November 2025 / Published: 12 November 2025
(This article belongs to the Section D: Energy Storage and Application)

Abstract

As an effective energy storage solution, gas reservoir compressed air energy storage (CAES) can efficiently utilize curtailed wind power to meet urban electricity demands. Well pattern optimization enables rational design and adjustment of well layouts to maximize productivity, efficiency, and economic benefits while reducing energy losses and operational costs. To address limitations in conventional optimization methods—including oversimplified constraints, neglect of reservoir heterogeneity, and insufficient consideration of complex flow regimes—this study proposes an innovative multi-constraint well pattern optimization method incorporating productivity, energy conversion efficiency, drainage area, and economic performance for quantitative evaluation of well configurations. First, the reservoir flow domain was partitioned based on two flow regimes (Darcy and non-Darcy flow) near wells. Mathematical flow equations accounting for reservoir heterogeneity were established and solved using the rectangular grid method to determine productivity and formation pressure distributions for vertical and horizontal wells. Second, a drainage radius prediction model was developed based on pressure drop superposition principles to calculate gas drainage areas. Finally, an optimization function F, integrating productivity models and drainage radius calculations through ratio optimization criteria, was formulated to quantitatively characterize well pattern performance. An optimization workflow adhering to inter-well interference minimization principles was designed, culminating in a comprehensive CAES well pattern optimization framework. Case studies and sensitivity analyses on the depleted Mabei Block 8 CAES reservoir demonstrated the following: The quantitative optimization metric w decreases with increasing reservoir heterogeneity. w exhibits a unimodal relationship with production pressure differential, peaking at approximately 2.5 MPa. Optimal configuration was achieved with 3 horizontal wells and 23 vertical wells.

1. Introduction

In recent years, the proportion of global wind and solar power generation in total electricity production has continued to rise. However, cumulative curtailed wind power and curtailment rates have also increased across regions worldwide [1]. Repurposing depleted gas reservoirs into compressed air energy storage (CAES) offers a preferred solution for storing surplus wind energy, reducing operational costs in oil and gas fields, enhancing production efficiency, and simultaneously addressing urban power supply demands [2,3,4,5,6,7,8,9]. Under varying well pattern configurations, rational well placement and layout design through well pattern optimization can maximize the productivity, efficiency, and economic benefits of gas reservoir-type CAES systems while minimizing energy losses and operational expenditures [10]. Consequently, well pattern optimization for depleted gas reservoir-based CAES facilities is imperative. Investigating well pattern optimization methods for gas reservoir CAES systems holds critical importance in the early-stage development and construction phases, as it significantly enhances power generation efficiency, reduces costs, and improves energy storage utilization rates [4].
Extensive research has been conducted on well pattern optimization methods. Tian et al. [11] employed numerical simulations to enhance oilfield development efficiency, investigating 10 well configurations (vertical wells and vertical-horizontal well combinations) in an isosceles right-triangular fault-block heavy oil reservoir. Comparative analyses of cumulative oil production, net oil production, gas–oil ratio, and recovery efficiency identified optimal well patterns. Liu et al. [12] demonstrated a permeability-dependent optimization strategy using the Su A gas storage facility as a case study. By partitioning the target zone into high- and low-permeability regions, they quantified gas productivity and working gas capacity variations with well density, proposing a non-uniform well placement strategy to maximize working gas volume while determining region-specific optimal well densities. Chen et al. [13] improved traditional reservoir production potential (RPP) evaluation methods for tight oil reservoirs. A modified RPP metric was developed and compared with conventional RPP and reservoir abundance indices. Orthogonal experimental design and numerical simulations of five-spot, inverted seven-spot, inverted nine-spot, and parallel well patterns were conducted to optimize well arrangements, incorporating natural fracture orientation analyses.
Current research predominantly employs numerical simulations or working gas capacity as optimization criteria. However, for gas reservoir CAES, a multi-constraint approach integrating productivity, economic efficiency, and energy conversion is essential. Optimizing well patterns for gas reservoir compressed air energy storage (CAES) under multifactor constraints necessitates accurate gas well productivity evaluation, which is particularly challenged by high-velocity non-Darcy flow in near-wellbore regions. Such non-Darcy effects significantly impede productivity prediction. Previous studies have advanced the modeling of these phenomena: Zhao et al. [14] developed a nonlinear transient flow model incorporating pressure-dependent gas properties and used numerical methods to assess productivity under non-Darcy conditions. Sheikhi et al. [15] quantitatively confirmed the adverse impact of non-Darcy flow through compositional simulation, demonstrating that water vaporization alleviates inertial effects in gas-condensate reservoirs. Further extending the theoretical framework, Li et al. [16] introduced dynamic boundary analysis to establish criteria for non-Darcy onset and proposed the concept of a non-Darcy boundary skin factor. Sun [17] subsequently applied this approach to thick, high-porosity, low-permeability reservoirs, formulating a radius-based non-Darcy flow model that integrates transient flow with dynamic boundaries for improved pressure loss and productivity estimation.
While existing studies have addressed non-Darcy flow boundaries through empirical or well-test-derived binomial productivity equations and pressure loss calculations, these approaches predominantly focus on vertical wells and neglect reservoir heterogeneity. For gas reservoir-type compressed air energy storage (CAES) systems, frequent injection/production cycles and complex stress variations exacerbate reservoir heterogeneity, necessitating high productivity that typically requires dense horizontal well deployment [18,19]. Current theoretical frameworks lack robust methodologies for calculating horizontal well productivity under elliptical flow regimes in heterogeneous reservoirs with non-Darcy flow boundaries. Conventional models, optimized for vertical wells, fail to account for the anisotropic permeability distribution of CAES operations. This theoretical gap impedes the accurate prediction of gas flow patterns and energy conversion efficiency in horizontal well clusters, particularly under dynamic pressure conditions induced by rapid cycling.
This study develops a physics-based, multi-constraint optimization methodology for well pattern design in gas reservoir compressed air energy storage (CAES) systems. The proposed approach comprehensively integrates key factors, including productivity, energy conversion efficiency, drainage area, and economic performance, within a unified quantitative optimization framework. Within this framework, the reservoir flow domain is divided into Darcy and non-Darcy regimes to rigorously account for inertial effects and reservoir heterogeneity. Analytical and numerical models are established for productivity prediction and drainage radius estimation based on formation pressure distribution derived from transient flow analysis [20]. Validation through case studies on the depleted Mabei Block 8 CAES reservoir confirms the accuracy and applicability of the model, while sensitivity analyses identify the dominant parameters influencing optimization performance. In contrast to conventional optimization strategies that largely depend on statistical fitting, the proposed method directly couples reservoir flow mechanisms with engineering and economic constraints. By integrating multiple performance indicators into a single optimization function, this framework enables a more comprehensive and physically consistent evaluation of well configurations. Overall, the study provides both theoretical innovation and practical guidance for optimizing well patterns in heterogeneous CAES reservoirs, achieving improved prediction reliability and operational efficiency.

2. Method

This study focuses on gas reservoir compressed air energy storage (CAES) systems, developing a computational model for well pattern optimization to maximize productivity, efficiency, and economic benefits while minimizing energy losses and operational costs. The workflow initiates with productivity prediction, explicitly accounting for permeability heterogeneity in CAES reservoirs. The flow domain is partitioned into Darcy and non-Darcy zones based on flow regimes [21]. Leveraging high-velocity non-Darcy flow theory, stabilized flow models for vertical and horizontal wells are established through theoretical derivation, incorporating non-Darcy radius effects. Numerical solutions are obtained using the rectangular discretization method for productivity forecasting. Subsequently, the formation pressure distribution derived from the flow models informs the development of a drainage radius calculation framework. Mathematical modeling links reservoir pressure gradients to gas release area constraints, defining optimal drainage radii for well placement. Finally, an integrated optimization model synthesizes stabilized flow behavior and drainage radius dynamics under multifactor constraints specific to CAES well patterns. Cases validate the effectiveness of the model, with sensitivity analyses identifying critical control parameters. A preprint has previously been published [22]. The technical workflow is illustrated in Figure 1.

3. Gas Well Productivity Prediction Model

Based on gas reservoir flow characteristics, the high gas velocity near the wellbore is against Darcy’s law, while Darcy flow predominantly governs in distal regions. This delineates two distinct flow zones: a high-velocity non-Darcy zone and a Darcy zone, bounded by the non-Darcy flow radius. The physical model is constructed accordingly.
The mathematical model adopts the following assumptions:
(1)
Steady-state single-phase gas flow in an infinite formation. Represents stabilized production conditions, with the pressure front far from reservoir boundaries.
(2)
Isothermal flow without physicochemical reactions. The local temperature changes near the wellbore have little influence on the steady-state productivity and the long-term well pattern optimization.
(3)
Negligible gravitational/capillary forces, with wellbore storage and skin effects excluded. These factors are minor compared with pressure-driven flow, allowing focus on the dominant gas flow behavior.

3.1. Non-Darcy Flow Radius Calculation Model

High-velocity non-Darcy flow primarily arises from inertial forces. The Reynolds number—defined as the ratio of inertial to viscous forces—serves to determine whether gas flow adheres to Darcy’s law. Experimental studies have established a critical Reynolds number range of 0.2–0.3. Darcy flow governs when the Reynolds number is less than or equal to this critical threshold, whereas non-Darcy flow prevails at higher values. Multiple Reynolds number formulations exist, with the expression proposed by Soviet scholar Kachanov being widely recognized as theoretically rigorous [23]:
R e = 1 1.75 v ( r ) k ( r ) ρ μ φ 1.5
At the non-Darcy flow radius boundary, gas density and velocity remain continuous with the Darcy zone, i.e.,
ρ = ρ s c B h v = p s c M a i r γ g B h v T s c R
v = q s c B h v 2 π r h v h
During reservoir development and production, fluid flow and formation/pore pressure interactions induce permeability heterogeneity. Liu et al. [24] established mathematical models for permeability heterogeneity variation using production data analysis, including linear, quadratic, logarithmic, and exponential functional patterns. The exponential model can naturally describe this heterogeneous pattern where the rate of change gradually slows down with increasing distance, which is in line with the MaBei 8 block, with the permeability configuration expressed as:
k r = a e b r
The parameter a represents the initial permeability reference value at the wellbore, and the parameter b quantifies the exponential change rate of permeability with the increase in well spacing. The two together constitute an exponential model describing reservoir heterogeneity. Then we can get non-Darcy flow radius:
r h v = a q s c p s c M a i r γ g 1.75 μ φ 1.5 2 π h R e T s c R 1 2 a b q s c p s c M a i r γ g

3.2. Vertical Well Productivity Prediction Model

Under high-frequency cyclic injection/production operations, gas migration within the reservoir demonstrates dual-flow-regime characteristics as depicted in Figure 2. The near-wellbore domain exhibits high-velocity non-Darcy flow behavior, where inertial dominance causes significant deviation from Darcy’s linear flow law, typically manifesting as accelerated velocity profiles and nonlinear pressure gradients within this confined radial zone. Conversely, the far-field region adheres strictly to Darcy flow principles, characterized by laminar flow patterns and parabolic pressure distributions, which gradually transition into the near-wellbore turbulent regime at the critical non-Darcy radius interface. This bifurcated flow architecture originates from the competing viscous-inertial force balance modulated by the local velocity magnitude and reservoir heterogeneity.
Within the high-velocity non-Darcy flow region near the wellbore, the flow physics of a vertical well can be described in a polar coordinate system. By employing a Forchheimer inertial coefficient of 4 × 1010 and utilizing the governing equations for high-velocity non-Darcy gas flow, we obtain the mass flow rate of each section being equal:
d p d r = μ k ( r ) p s c Z T 2 π r h Z s c T s c p q s c + 4 × 10 10 k 1.105 ( r ) ρ g s c p s c Z T 4 π 2 r 2 h 2 Z s c T s c p q s c 2
Introducing the pseudo-pressure function:
d m = 2 p e α p μ ( p ) Z ( p )
Integrate Equation (6) and substitute Equation (7) to obtain:
m h v m w = r w r h v ( μ k r p s c Z T 2 π r h Z s c T s c p q s c + 4 × 10 10 k 1.105 r ρ g s c p s c Z T 4 π 2 r 2 h 2 Z s c T s c p q s c 2 )
The rectangular grid method is adopted in this study due to its simplicity, flexibility, stability, and accuracy. More importantly, it balances computational efficiency and precision, which is crucial because the model is intended for thousands of rapid evaluations in well-field optimization workflows. The method allows reliable comparison of different well configurations at a much lower computational cost than more complex numerical schemes, such as finite element methods, while retaining sufficient accuracy for evaluating overall CAES system performance.
Solving (8) by the rectangle method yields:
m h v m w = i = 1 r h v r w r i ( 1 r i · k r i μ p s c Z T 2 π r h Z s c T s c p q s c + 10 10 r i 2 · k 1.105 r i ρ g s c p s c T π 2 h 2 Z s c T s c μ ¯ q s c 2 )
where r i + 1 = r i + r .
When the fluid far from the wellbore flows into the Darcy flow region near the wellbore, according to the physical model of vertical well flow, in the polar coordinate system, by combining the gas motion equation of high-speed non-Darcy flow and the gas state equation, the mass flow rate of each section is equal and integrated by the rectangular method to obtain:
m e m h v = i = 1 [ r e r h v ] 1 r i · k r i μ p s c Z T 2 π r h Z s c T s c p q s c
According to the equal pressure and flow at the intersection of the cross sections, the capacity equation can be derived by combining Equations (9) and (10):
m e m w = i = 1 [ r e r w ] 1 r i · k r i μ p s c Z T 2 π r h Z s c T s c p q s c + i = 1 [ r h v r w ] 10 10 r i 2 · k 1.105 ( r i ) ρ g s c p s c T π 2 h 2 Z s c T s c μ ¯ q s c 2
Vertical well productivity can be determined by solving the pressure drop-flow rate relationship equation.

3.3. Horizontal Well Productivity Prediction Model

Under high-frequency cyclic gas injection/production conditions, reservoir fluid flow exhibits dual-regime characteristics as illustrated in Figure 3. The near-wellbore domain within the horizontal well drainage ellipsoid demonstrates high-velocity non-Darcy flow behavior, where inertial forces dominate and the classical Darcy linear flow relationship becomes invalid. Conversely, the far-field region beyond this ellipsoidal boundary adheres strictly to Darcy flow principles, with viscous forces governing fluid migration toward the well’s influence zone.
The fluid flow in the high-speed non-Darcy region of a horizontal well is considered to be a family of rotating isobaric elliptical streamlines that form symmetrical common foci (with the two ends of the horizontal well as foci) in the formation around the horizontal well [25,26]. Therefore, the rectangular coordinate system is converted into an elliptical coordinate system.
In the elliptical coordinate system, the permeability distribution is:
k ζ = a e b c s h ζ
According to the gas state equation and the mass flow rate, the gas seepage velocity in the non-Darcy region of the horizontal well is obtained as follows:
v = q s c p s c T Z 4 c h s i n h ζ T s c Z s c p
In the high-speed non-Darcy flow region within the horizontal well control ellipse, according to the physical model of horizontal well flow, the gas motion equation and the flow velocity expression can be obtained in the elliptical coordinate system:
d p d r = μ q s c p s c T Z k ζ 4 c h · s i n h ζ · T s c Z s c p + 4 × 10 10 k 1.105 ( ζ ) T p s c ρ s c 16 c 2 h 2 T s c Z s c μ · ¯ s i n h 2 ζ
Integrating Equation (14) and using the rectangular method we get:
m h v m w = i = 1 [ ζ h v ζ w ] ( 1 sinh ζ i · k ζ i μ q s c p s c T Z 4 c h T s c Z s c p + 10 10 sinh 2 ζ i · k 1.105 ζ i T p s c ρ s c 4 c 2 h 2 T s c Z s c μ · ¯ s i n h 2 ζ )
where ζ w = a r c s i n ( r w c ) , ζ h v = a r c s i n ( r h v c ) .
When the fluid far from the wellbore flows into the Darcy seepage area near the wellbore, according to the physical model of horizontal well seepage, in the polar coordinate system, by combining the gas motion equation of high-speed non-Darcy seepage and the gas state equation, the mass flow rate of each section is equal and integrated by the rectangular method to obtain:
m e m h v = i = 1 [ r e r h v ] 1 r i · k r i μ p s c Z T 2 π r h Z s c T s c p q s c
According to the equal pressure and flow at the junction, the injection-production capacity calculation equation can be derived by combining (15) and (16):
m w m e = i = 1 ζ h v ζ w ( 1 sinh ζ i · k ζ i μ q s c p s c T Z 4 c h T s c Z s c p + 10 10 sinh 2 ζ i · k 1.105 ζ i T p s c ρ s c 4 c 2 h 2 T s c Z s c μ · ¯ s i n h 2 ζ ) + i = 1 [ r e r h v ] 1 r i · k r i μ p s c Z T 2 π r h Z s c T s c p q s c
Horizontal well productivity can be determined by solving the pressure drop-flow rate relationship equation.

4. Well Pattern Optimization Model

4.1. Reservoir Pressure Distribution Model

4.1.1. Reservoir Pressure Distribution Model of Vertical Well

According to the relationship between pressure difference and flow rate in vertical wells, the productivity q s c can be calculated when p e and p w are known. Under this condition, in Darcy flow region ( r h v < r < r e ), the pressure equation is:
m m w = i = 1 [ r r w ] 1 r i · k r i μ p s c Z T 2 π r h Z s c T s c p q s c + i = 1 [ r h v r w ] 10 10 r i 2 · k 1.105 ( r i ) ρ g s c p s c T π 2 h 2 Z s c T s c μ ¯ q s c 2
In the non-Darcy flow region ( r w < r < r h v ), the pressure equation is:
m m w = i = 1 [ r r w ] 1 r i · k r i μ p s c Z T 2 π r h Z s c T s c p q s c + i = 1 [ r r w ] 10 10 r i 2 · k 1.105 ( r i ) ρ g s c p s c T π 2 h 2 Z s c T s c μ ¯ q s c 2
To sum up, the formation pressure distribution of vertical well is:
m = i = 1 r r w 1 r i · k r i μ p s c Z T 2 π r h Z s c T s c p q s c + i = 1 r r w 10 10 r i 2 · k 1.105 r i ρ g s c p s c T π 2 h 2 Z s c T s c μ ¯ q s c 2 + m w         ( r w < r < r h v ) i = 1 r r w 1 r i · k r i μ p s c Z T 2 π r h Z s c T s c p q s c + i = 1 r h v r w 10 10 r i 2 · k 1.105 r i ρ g s c p s c T π 2 h 2 Z s c T s c μ ¯ q s c 2 + m w       r h v < r < r e

4.1.2. Reservoir Pressure Distribution Model of Horizontal Well

According to the relationship between pressure difference and flow rate in horizontal wells, the productivity q s c can be calculated when p e and p w are known. Under this condition, in Darcy flow region ( r h v < r < r e ), the pressure equation is:
m m e = i = 1 ζ h v ζ w ( 1 sinh ζ i · k ζ i μ q s c p s c T Z 4 c h T s c Z s c p + 10 10 sinh 2 ζ i · k 1.105 ζ i T p s c ρ s c 4 c 2 h 2 T s c Z s c μ · ¯ s i n h 2 ζ ) + i = 1 [ r r h v ] 1 r i · K 2 r i μ p s c Z T 2 π r h Z s c T s c p q s c
In the non-Darcy flow region ( r w < r < r h v ), the pressure equation is:
m m e = i = 1 ζ r ζ w ( 1 sinh ζ i · k ζ i μ q s c p s c T Z 4 c h T s c Z s c p + 10 10 sinh 2 ζ i · k 1.105 ζ i T p s c ρ s c 4 c 2 h 2 T s c Z s c μ · ¯ s i n h 2 ζ )
where ζ r = a r c s i n h ( r c ) .
To sum up, the formation pressure distribution of a horizontal well is:
m = i = 1 ζ r ζ w ( 1 sinh ζ i · k ζ i μ q s c p s c T Z 4 c h T s c Z s c p + 10 10 sinh 2 ζ i · k 1.105 ζ i T p s c ρ s c 4 c 2 h 2 T s c Z s c μ · ¯ s i n h 2 ζ ) + m w         ( r w < r < r h v ) i = 1 ζ h v ζ w ( 1 sinh ζ i · k ζ i μ q s c p s c T Z 4 c h T s c Z s c p + 10 10 sinh 2 ζ i · k 1.105 ζ i T p s c ρ s c 4 c 2 h 2 T s c Z s c μ · ¯ s i n h 2 ζ ) + i = 1 [ r r h v ] 1 r i · k 2 r i μ p s c Z T 2 π r h Z s c T s c p q s c + m w       ( r h v < r < r e )

4.1.3. Drainage Radius Calculation Model

In reservoir systems, the concurrent operation of multiple wells triggers well interference phenomena, leading to dynamic reorganization of the seepage field until stabilization establishes a reconfigured pressure distribution. This redistribution adheres to the pressure drop superposition principle, where the total pressure decline at any reservoir location equals the algebraic sum of individual pressure drops induced by each well operating independently. A well is considered non-interfering when its pressure transients exert negligible influence on surrounding wells, quantified by a critical pressure gradient threshold ( ε ) specific to the reservoir. The drainage radius ( r c ) is mathematically defined as the radial position where the pressure gradient satisfies d p d r = ε , demarcating the boundary beyond which pressure interactions become insignificant. As depicted in Figure 4, Wells 1 and 2 exhibit zero mutual interference when their respective depletion radii remain non-overlapping, with r c determined through analysis of the pressure gradient field derived from reservoir pressure distribution data.
After the formation stress distribution is known, d p d r at each location is solved when:
d p d r ( r = r c ) = ε
At this time, r c is the drainage radius of the reservoir.

4.2. Well Pattern Optimization Method

4.2.1. Well Pattern Optimization Function

The injection–production performance of gas reservoir-based compressed air energy storage (CAES) systems is evaluated in terms of electrical energy conversion efficiency, in which the compressed air stored in the reservoir is withdrawn through wells and subsequently converted into electricity via expansion turbines. In 1998, Najjar et al. [7] developed a mathematical model that correlates the power output of surface expansion turbines with the air mass flow rate under different pressure ratios, and the corresponding parametric relationship is graphically illustrated in Figure 5.
The relationship between air mass flow and power generation is obtained by data fitting:
P = λ q m
The proportional coefficients at different pressure ratios are shown in Table 1.
In the well-pattern optimization of gas reservoir-based compressed air energy storage (CAES) systems, the objective is to determine a configuration that balances economic viability and operational efficiency, thereby maximizing both economic returns and energy conversion efficiency while minimizing resource waste. This process involves optimizing not only the total electrical energy conversion but also economic indicators and drainage area coverage, with the goal of achieving maximum power generation per unit of well-placement cost and drainage area. Based on the ratio optimization principle, the well-pattern optimization function is defined to quantitatively evaluate the optimization effectiveness as follows:
w = F ( M , N ) = P C O · S
The expressions of C O and S are:
C O = M C 1 + N C 2 + C 3 ( p ) 2
S = π M r 1 2 + π N r 2 2
It is designed to maximize the power output that can be obtained per unit area of land occupation and per unit of capital investment. Different well pattern configurations correspond to distinct optimization function values. A larger optimization function value indicates a more optimal well pattern configuration. The optimal well pattern is thereby determined based on this criterion.

4.2.2. Well Pattern Optimization Workflow

If there is interference between wells, the production capacity of each well will be reduced, making the overall optimization function smaller [27,28]. In order to maximize the optimization function, the well spacing should be equal to the sum of the well release radius, that is, each well should be closely arranged within the control range. Assuming that the closed area of a gas reservoir is S 0 , there are M vertical wells and N horizontal wells, which are closely arranged as shown in Figure 6. Since there must be a dead gas zone when the circular control range is arranged, the actual area occupied by each well is approximately the area of a square with a side length of twice the drainage radius. Therefore, under this condition, the relationship between vertical wells and horizontal wells is:
M = S 0 4 N r 2 2 4 r 1 2
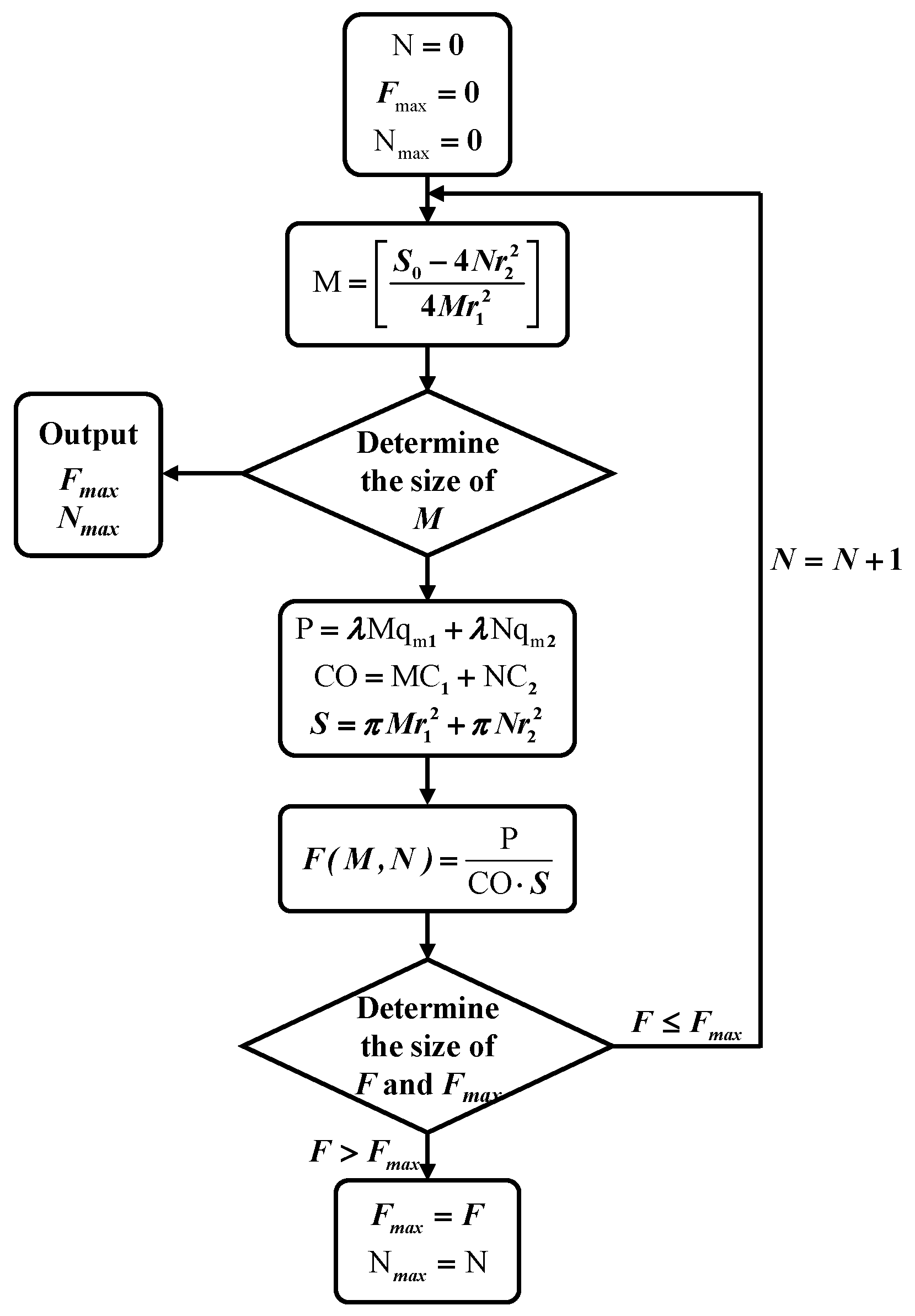
Based on this, this paper designs the well selection and well layout optimization process, as shown in Figure 7:
The specific steps are as follows:
① Set the number of horizontal wells N , the maximum optimization function F m a x , and the number of horizontal wells N m a x that meets the maximum optimization coefficient, and all initial values are zero.
② The number of vertical wells M is calculated according to Equation (27) so that the gas wells can be arranged to the maximum extent possible without interfering with each other.
③ Determine the size of M . If M < 0 , it means that the number of horizontal wells has exceeded the maximum number of horizontal wells that can be arranged without interfering with each other. Output F m a x and N m a x . If M 0 , calculate the total power generation power P , the total cost of well layout C O , the total gas leakage area S , and the optimization function F .
④ Determine the size of F and F m a x . If F > F m a x , then F m a x = F , N m a x = N , that is, replace the maximum optimization coefficient and the number of horizontal wells that meet the maximum optimization coefficient; if F F m a x , or the maximum optimization coefficient and the number of horizontal wells that meet the maximum optimization coefficient have been replaced, N = N + 1 , return to step ② and recalculate, that is, calculate the optimization function when there is one more horizontal well.
According to the above process, the number of vertical wells and horizontal wells that meet the maximum optimization function are calculated.
Therefore, the final expression of the well pattern optimization function can be derived from Equations (25)–(29) as follows:
F ( N ) = λ ρ ( S 0 4 N r 2 2 4 r 1 2 q s q 1 + N q s q 2 ) ( S 0 4 N r 2 2 4 r 1 2 C 1 + N C 2 + C 3 p 2 ) · ( S 0 4 N r 2 2 4 r 1 2 r 1 2 + π N r 2 2 )

5. Results and Discussion

The basic parameters of the depleted gas reservoirs in the Mabei 8 block are shown in Table 2.
The basic parameters of compressed air are shown in Table 3.
The basic parameters of production gas wells are shown in Table 4.

5.1. Capacity Calculation

5.1.1. Verification of the Correctness of the Capacity Forecast Model

Based on the production capacity equation established in this paper and the actual geological data of the MaBei 8 block, we solved the production capacity of Mabei 8 block when the production pressure difference is 1 MPa and compared it with the actual production data and the traditional Darcy production capacity model, as shown in Table 5. The comparative analysis indicates that the predicted capacities from the proposed model are highly consistent with the field data. The errors of the capacity of vertical wells and horizontal wells are 1.40% and 0.72%, respectively, which are significantly better than the traditional Darcy capacity model with errors of 23.85% and 23.89%, respectively. This fully validates the necessity of comprehensively considering high-speed non-Darcy seepage in the near-well zone and reservoir heterogeneity in the high-frequency injection and production scenarios of gas storage-type compressed air energy storage systems, and also highlights the effectiveness and engineering applicability of this model in accurately assessing the productivity of gas Wells.

5.1.2. Analysis of Influencing Factors

Taking horizontal wells as an example, the factors affecting production capacity are analyzed based on the production capacity prediction model. Figure 8 illustrates the effects of high-velocity non-Darcy flow and reservoir heterogeneity on production capacity under various pressure differentials. It can be seen from the figure that under the same production pressure difference, the production capacity is lower when high-speed non-Darcy flow is considered than when high-speed non-Darcy flow is not considered. When high-velocity non-Darcy flow is considered, incorporating reservoir heterogeneity leads to an increase in production capacity. This is because the permeability of the reservoir will increase during the development process. The production capacity calculated by considering high-speed non-Darcy and reservoir heterogeneity is more in line with actual production.
Figure 9, Figure 10, Figure 11 and Figure 12 are curves showing the variation in production capacity with production pressure difference under different initial permeability, different permeability parameter a and b , and different porosity conditions of the reservoir.
It can be seen from Figure 9, Figure 10, Figure 11 and Figure 12 that, under the same production pressure difference, greater permeability and larger permeability parameters a and b correspond to higher production capacity. When the production pressure difference is 10   M P a , the initial permeability increases by 100   m D , and the production capacity increases by about 12 × 10 4   m 3 / d ; the permeability coefficient a increases by 1 × 10 13 , the production capacity increases by about 4 × 10 4   m 3 / d ;the permeability coefficient b increases by 1 × 10 3 , and the production capacity increases by about 5 × 10 4   m 3 / d . It can be seen from Figure 12 that, under the same production pressure difference, the greater the porosity, the slightly greater the production capacity, and the porosity has little effect on the production capacity. This indicates that initial permeability is the most sensitive parameter affecting production capacity, and that permeability coefficient b is more influential than coefficient a.

5.2. Well Pattern Optimization

5.2.1. Determination of the Deflation Radius

Based on the non-Darcy flow radius model, the variations in non-Darcy flow radii for vertical and horizontal wells with respect to production pressure differential are presented in Figure 13.
It can be observed that the non-Darcy flow radius increases with the production pressure differential. At a production pressure differential of 1 MPa, the non-Darcy flow radii are 28.4 m for vertical wells and 43.3 m for horizontal wells. Based on these non-Darcy flow radii, the pressure (exp(p2)) distribution derived from this analysis is illustrated in Figure 14.
The analysis reveals that pressure dissipation primarily occurs near the wellbore. This arises from two factors: the reduced flow area and increased flow resistance in proximity to the wellbore, coupled with the additional pressure drop caused by high-velocity non-Darcy flow near the wellbore, which further amplifies pressure dissipation. Using the drainage radius calculation model (with ε = 10 6 for this gas reservoir), the calculated drainage radii are r 1 = 475   m for vertical wells and r 2 = 711   m for horizontal wells.

5.2.2. Analysis of Influencing Factors of Well Pattern Optimization Function

Within the same region, while reservoir heterogeneity varies, the average permeability of the reservoir remains constant. Under the exponential permeability model, the average permeability of the reservoir is expressed as:
k ¯ = a ( e b r e r w 1 ) ( r e r w ) b
Equations (4) and (31) can be obtained simultaneously:
k = k ¯ b ( r e r w ) e b r e r w 1 e b r
Therefore, the intensity of reservoir heterogeneity is governed by the permeability coefficient b . As given by Equation (33), the relationship between the quantitative measure of well pattern optimization effectiveness ( w ), the number of horizontal wells, and the permeability coefficient b can be expressed as:
w = F ( N , b ) = λ ρ ( S 0 4 N r 2 2 ( b ) 4 r 1 2 ( b ) q s q 1 ( b ) + N q s q 2 ( b ) ) ( S 0 4 N r 2 2 ( b ) 4 r 1 2 ( b ) C 1 + N C 2 + C 3 p 2 ) · ( S 0 4 N r 2 2 ( b ) 4 r 1 2 ( b ) r 1 2 ( b ) + π N r 2 2 ( b ) )
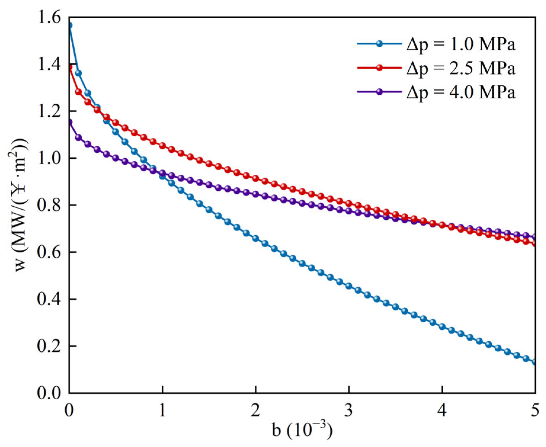
To maximize the well pattern optimization function under varying production pressure differentials, adjustments are made by controlling the permeability coefficient b and varying the number of horizontal wells. Using a step size of b = 10 4 and a permeability coefficient interval of 5 × 10 3 , the relationship between reservoir heterogeneity (characterized by b ) and the optimization function is plotted, as shown in the figure below.
As shown in Figure 15, w decreases as b increases, that is, w decreases as reservoir heterogeneity increases, and the rate of decrease slows down as reservoir heterogeneity increases. The stronger the reservoir heterogeneity, the more significant the permeability difference. The high permeability zone is prone to form a dominant seepage channel, which leads to faster fluid velocity, while the low permeability area is difficult to effectively mobilize due to the large flow resistance. Overall, the interlayer interference is aggravated, resulting in a decrease in the overall seepage efficiency, and the value of the well pattern optimization function also decreases. When reservoir heterogeneity is low, it has a greater impact on seepage efficiency. As heterogeneity increases, this impact gradually diminishes, and thus the rate at which w decreases also slows down. It can be preliminarily seen from the figure that when the permeability coefficient b is between 0 and 10 3 , the optimal production pressure difference is about 1 MPa; when the permeability coefficient b is between 10 3 and 4 × 10 3 , the optimal production pressure difference is about 2.5 MPa; when the permeability coefficient b is between 4 × 10 3 and 5 × 10 3 , the optimal production pressure difference is about 4 MPa; the optimal production pressure difference increases with the increase in reservoir heterogeneity.
From Equation (34), we can see that the relationship between the value w that quantitatively represents the effect of well pattern optimization and the number of horizontal wells and production pressure difference is:
w = F ( N , p ) = λ ρ ( S 0 4 N r 2 2 ( p ) 4 r 1 2 ( p ) q s q 1 ( p ) + N q s q 2 ( p ) ) ( S 0 4 N r 2 2 ( p ) 4 r 1 2 ( p ) C 1 + N C 2 + C 3 p 2 ) · ( S 0 4 N r 2 2 ( p ) 4 r 1 2 ( p ) r 1 2 ( p ) + π N r 2 2 ( p ) )
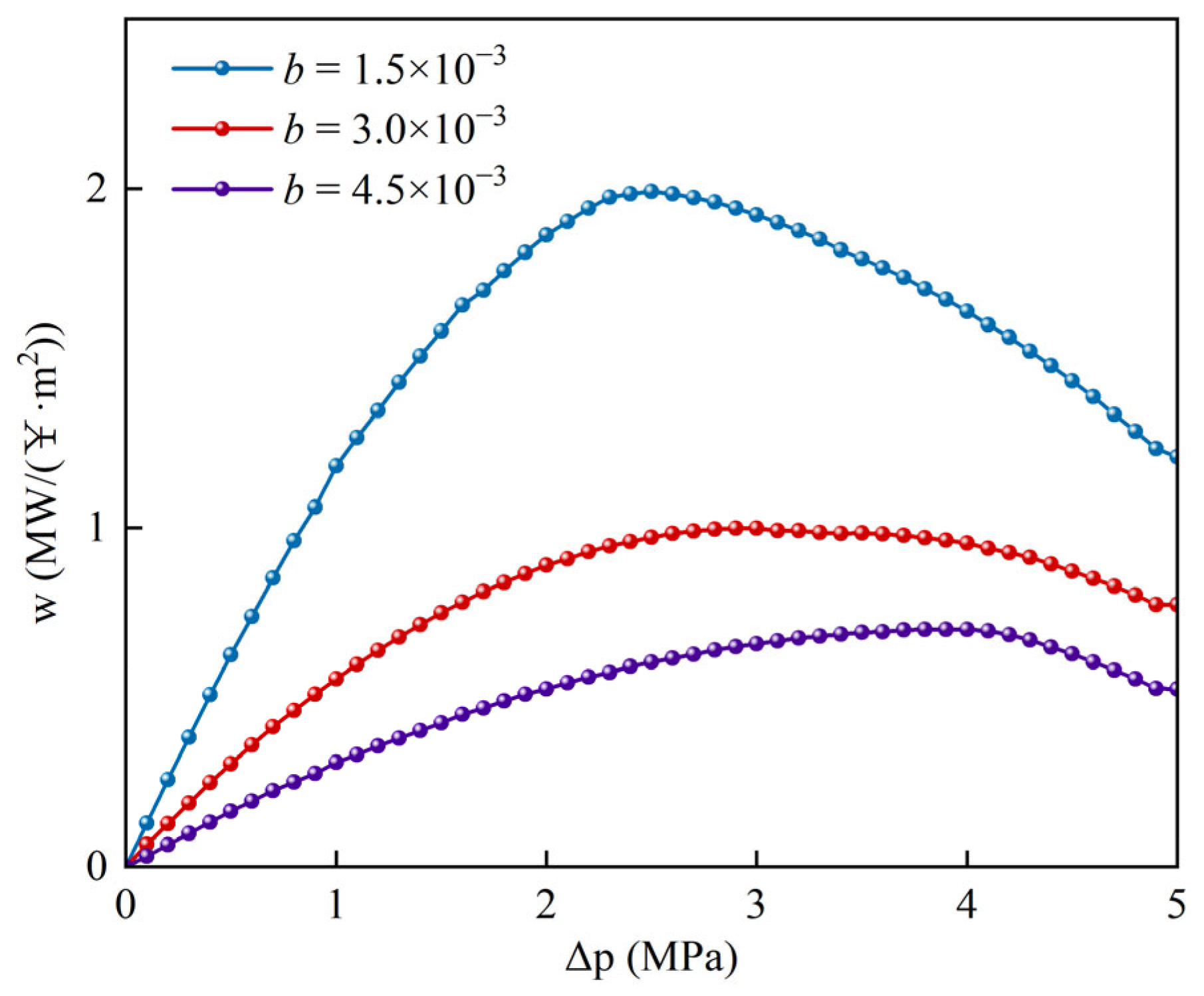
Under different reservoir heterogeneities, the maximum value of the well pattern optimization function is obtained by controlling the production pressure difference and changing the number of horizontal wells. Therefore, p = 0.1   M P a is taken as a step size, and the production pressure difference interval is 5 MPa. The relationship between the production pressure difference and the optimization function under different reservoir heterogeneities is plotted as shown in the figure.
As shown in Figure 16, w first increases and then decreases with the production pressure difference, reaching a maximum value at a certain point, which is the optimal production pressure difference. When the production pressure difference is small, the production pressure difference can increase the single well production capacity and increase w , indicating that the production capacity is the main factor affecting the well pattern optimization function at this time. In this stage, with the increase in the production pressure difference, the gas flow rate and transmission efficiency increase. This increase improves the effective utilization rate of the gas reservoir and the well pattern optimization function, making the optimization function value gradually increase. When the production pressure difference is large, the gas leakage area and energy cost increase with the increase in the production pressure difference, causing w to decrease, indicating that the gas leakage area and energy cost are the main factors affecting the well pattern optimization function at this time. The energy consumption is large at this stage, and excessive pressure difference may make the gas flow unstable, which is not conducive to the overall well network optimization. In actual production, it should be controlled at the optimal production pressure difference.
In this way, combined with the impact of reservoir heterogeneity on productivity, the optimal production pressure difference under different reservoir heterogeneity conditions is plotted as shown in Figure 17.
As shown in the figure, the optimal production pressure differential increases with increasing reservoir heterogeneity. The stronger the heterogeneity, the lower the single-well productivity and the greater the production pressure differential required to achieve the optimal well pattern. Without considering reservoir heterogeneity, the optimal production pressure differential is approximately 0.7 MPa. This figure can be used to determine the optimal production pressure differential that satisfies the well pattern optimization criteria for reservoirs with different degrees of heterogeneity.

5.2.3. Well Pattern Optimization Results

According to Figure 16, the optimal production pressure difference in the compressed air energy storage reservoir in the depleted gas reservoir of the Mabei 8 block is 2.5 MPa. According to the above formula, the relationship between the number of horizontal wells N and the number of vertical wells M in the gas reservoir is shown in Table 6.
According to the flow chart, the curve of the optimization function changing with the number of horizontal wells N is shown in Figure 18.
As shown in the figure, the optimization function exhibits non-smooth and multi-peaked characteristics. This behavior arises from the discrete nature of the numbers of horizontal and vertical wells, as well as from the nonlinear coupling between non-Darcy flow and inter-well interference. When the number of wells exceeds a critical threshold, the drainage radii of adjacent wells begin to overlap, causing abrupt changes in the effective drainage area and leading to discrete jumps in the optimization function.
To ensure the reliability of the obtained optimum, a full-grid enumeration of well-number combinations was adopted to determine the global optimal configuration. The search was performed up to 12 horizontal wells, which represents the upper limit considered in this study. Specifically, when the number of horizontal wells is within the ranges of 0–2, 3–7, and 8–11, the optimization function decreases with increasing well number, while it increases in the ranges of 2–3, 7–8, and 11–12. The maximum value of the optimization function occurs when there are 3 horizontal wells. According to Table 6, this corresponds to 23 vertical wells, indicating that a well pattern consisting of three horizontal and 23 vertical wells provides the optimal configuration for the depleted-gas-reservoir-based CAES system in the Mabei 8 block.
The optimized well configuration presents a practical and scalable layout for CAES systems in depleted gas reservoirs. In this arrangement, vertical wells primarily function as injection–production conduits, facilitating uniform pressure distribution and efficient air displacement throughout the reservoir. Horizontally drilled wells, strategically located within zones of higher permeability, further enhance gas deliverability and reduce non-Darcy flow losses near the wellbore, thereby improving the overall operational efficiency of the system.

6. Conclusions

This study establishes a novel well pattern optimization method for gas reservoir-type compressed air energy storage (CAES) facilities based on multifactor constraints. First, the reservoir flow domain is partitioned according to two fluid flow states (Darcy flow and non-Darcy flow) around the storage layer. A mathematical flow equation incorporating reservoir heterogeneity is formulated and solved using the rectangular method to determine the productivity of vertical/horizontal wells and formation pressure distribution. Subsequently, a drainage radius prediction model is developed based on pressure drop superposition principles to calculate drainage areas. Finally, by integrating the productivity model and drainage radius calculation model, a well pattern optimization function is defined according to ratio optimization principles. An optimization workflow is designed following the principle of minimizing well interference, thereby forming a comprehensive well pattern optimization methodology for gas reservoir-type CAES systems considering multifactor constraints. This approach aims to maximize productivity, efficiency, and economic benefits while reducing energy losses and operational costs. The proposed model is applied to the Mabei-8 depleted gas reservoir CAES facility for case analysis, yielding the following conclusions:
(1)
The well pattern optimization function value decreases progressively with increasing reservoir heterogeneity, while the rate of decrease diminishes as heterogeneity intensifies. Stronger heterogeneity amplifies permeability contrasts, exacerbating interlayer interference and reducing overall flow efficiency. When heterogeneity is low, its impact on flow efficiency is more pronounced; this influence gradually weakens as heterogeneity increases.
(2)
The optimization function value exhibits a unimodal relationship with production pressure differential (PPD), reaching maximum at approximately 2.5 MPa in this reservoir. At lower PPDs, increased differential enhances single-well productivity, thereby elevating the optimization function value. Conversely, higher PPDs expand drainage areas and energy costs proportionally, resulting in decreased function values.
(3)
The optimization function curve displays wave-like characteristics. The maximum horizontal well count satisfying optimization principles is 12, while peak function value occurs with 3 horizontal wells. Consequently, the optimal configuration comprises 3 horizontal wells and 23 vertical wells for this reservoir.
This research provides a novel methodology for optimizing well patterns in gas reservoir-type CAES facilities, demonstrating capabilities to enhance power generation efficiency, reduce costs, and improve storage utilization. The proposed framework offers theoretical guidance for initial development planning of gas reservoir-type CAES systems and establishes mathematical foundations for related research in this field. However, the present study is limited by simplified assumptions regarding reservoir pressure mechanisms and temporal variations. Future work will incorporate artificial intelligence-based optimization and comparative analyses to refine model adaptability, and establish well pattern optimization models that account for long-term operational scales and diverse pressure mechanisms.

Author Contributions

M.Y., methodology, project administration, resources, funding acquisition, validation; C.W., data curation, visualization, writing—original draft preparation; M.J., data curation, visualization, writing—original draft preparation, validation; K.D., resources, writing—review and editing; W.Z., resources and supervision; H.S., writing—review and editing; All authors have read and agreed to the published version of the manuscript.

Funding

We are very grateful to all the people who have contributed to this work. This work received funding support from the National Natural Science Foundation of China (Grant No. U23B2083).

Data Availability Statement

The raw data supporting the conclusions of this article will be made available by the authors on request.

Conflicts of Interest

Author Kun Dai was employed by the company CNPC Engineering Technology R&D Company Limited. The remaining authors declare that the research was conducted in the absence of any commercial or financial relationships that could be construed as a potential conflict of interest.

Nomenclature

ReReynolds number
v gas flow velocity, m / s
ρ gas density, k g / m 3
μ gas viscosity, m P a · s
φ porosity
ρ s c gas density under standard state, k g / m 3
B h v gas volume coefficient at the non-Darcy seepage boundary
p s c standard state pressure, M P a
M a i r molar mass of air, 28.96   g / m o l
γ g gas relative density
T s c standard state temperature, K
α the rate of change in the gas deviation factor Z
R universal gas constant, 8.314   J / ( m o l · K )
q s c gas production, m 3 / s
r h v non-Darcy flow radius, m
h gas reservoir thickness, m
k reservoir permeability, × 10 3   μ m 2
a Permeability coefficient a
b Permeability coefficient b
Z gas compressibility coefficient
T reservoir temperature, K
Z s c gas compressibility coefficient under standard conditions
r w wellbore radius, m
μ ¯ average gas viscosity, m P a · s
ε critical pressure gradient threshold
r c drainage radius
P power generation, M W
λ proportional coefficient
q m air mass flow rate, k g / s
Fwell pattern optimization function
w quantitatively evaluate optimization effectiveness, M W / ( ¥ · m 2 )
C O total cost of well layout, ¥ ;
S total gas leakage area of well layout, m 2
M number of vertical wells
N number of horizontal wells
C 1 costs of each vertical well, ¥
C 2 costs of each horizontal well, ¥
C 3 unit pressure differential variable cost coefficient, ¥ / M P a 2
p production differential pressure. M P a
r 1 drainage radius of vertical wells, m
r 2 drainage radius of horizontal wells, m
S 0 enclosed area, m 2
k ¯ the average permeability, m 2
q s q 1 productivity of vertical wells, m 3 / s
q s q 2 productivity of horizontal wells, m 3 / s

References

  1. Godwin, V.; Oliver, M.E. Wind intermittency and supply-demand imbalance: Evidence from US regional power markets. Energy J. 2025, 46, 241–269. [Google Scholar] [CrossRef]
  2. Esmaeilion, F.; Soltani, M.; Nathwani, J.; Al-Haq, A.; Dusseault, M.B.; Rosen, M.A. Exergoeconomic assessment of a high-efficiency compressed air energy storage system. Renew. Sustain. Energy Rev. 2024, 191, 114143. [Google Scholar] [CrossRef]
  3. Wan, J.; Sun, Y.; He, Y.; Ji, W.; Li, J.; Jiang, L.; Jurado, M.J. Development and technology status of energy storage in depleted gas reservoirs. Int. J. Coal Sci. Technol. 2024, 11, 29. [Google Scholar] [CrossRef]
  4. Olabi, A.G.; Wilberforce, T.; Ramadan, M.; Abdelkareem, M.A.; Alami, A.H. Compressed air energy storage systems: Components and operating parameters—A review. J. Energy Storage 2021, 34, 102000. [Google Scholar] [CrossRef]
  5. Wang, G.; Zhang, X.; Li, Z.; Li, Q.; Han, Y.; Xue, X.; Mei, S. Thermodynamics analysis of salt cavern for compressed air energy storage system. Renew. Energy Resour. 2019, 37, 618–624. (In Chinese) [Google Scholar]
  6. Zhang, F.; Shi, S.; Zhao, Y.; Zhang, M.; Ling, L.; Wang, H. Compressed air energy storage system using abandoned caves as storage space and its thermodynamic performance analysis. Ind. Instrum. Autom. 2023, 6, 11–18+25. (In Chinese) [Google Scholar]
  7. Najjar, Y.S.; Zaamout, M.S. Performance analysis of compressed air energy storage (CAES) plant for dry regions. Energy Convers. Manag. 1998, 39, 1503–1511. [Google Scholar] [CrossRef]
  8. Pan, B.; Yin, X.; Ju, Y.; Iglauer, S. Underground hydrogen storage: Influencing parameters and future outlook. Adv. Colloid Interface Sci. 2021, 294, 102473. [Google Scholar] [CrossRef]
  9. Storli, P.-T.; Lundström, T.S. A New Technical Concept for Water Management and Possible Uses in Future Water Systems. Water 2019, 11, 2528. [Google Scholar] [CrossRef]
  10. Wang, J.; Lu, K.; Ma, L.; Wang, J.; Dooner, M.; Miao, S.; Wang, D. Overview of compressed air energy storage and technology development. Energies 2017, 10, 991. [Google Scholar] [CrossRef]
  11. Tian, H.; Liu, Y. The Optimization Research of Injection-production Well Pattern in Small Triangle Fault-block Heavy Oil Reservoir. J. Chongqing Univ. Sci. Technol. (Nat. Sci. Ed.) 2015, 2, 52–54. (In Chinese) [Google Scholar]
  12. Liu, P.C.; Yu, H.J.; An, H.Y.; Xu, W.; Zhu, Y. Optimization design of well pattern in heterogeneous gas storage. J. Southwest Pet. Univ. (Sci. Technol. Ed.) 2020, 42, 141. (In Chinese) [Google Scholar]
  13. Chen, K.; Lai, F.P.; Wang, H.; Liang, Y.S. Study on optimization of well pattern form in tight reservoir based on production potential. China Min. Mag. 2022, 31, 175–181. (In Chinese) [Google Scholar]
  14. Zhao, X.Y.; Yao, J.; Cui, C.Z.; Su, Y.L. A high velocity non-Darcy flow model considering real gas PVT behavior. Pet. Drill. Tech. 2009, 37, 78–81. (In Chinese) [Google Scholar]
  15. Sheikhi, E.; Hashemi, A.; Kaffash, A. Effect of Non-Darcy Flow Coefficient Variation Due to Water Vaporization on Well Productivity of Gas Condensate Reservoirs. Braz. J. Chem. Eng. 2015, 32, 237–245. [Google Scholar] [CrossRef]
  16. Li, Y.S.; Li, X.F.; Teng, S.N.; Xu, D.; He, X. Effect of Non-Darcy Flow Moving Boundary of High Velocity Nearby Wellbore on Productivity Prediction. J. Southwest Pet. Univ. Sci. Technol. Ed. 2015, 37, 128–134. (In Chinese) [Google Scholar]
  17. Sun, Y. Productivity model of gas well unsteady flow considering non-Darcy flow radius. China Sci. 2020, 15, 486. (In Chinese) [Google Scholar]
  18. Gu, J.; Yu, X.; Yang, B.; Kong, L.; Wu, Y. Variable drainage radius and productivity of tight gas well before and after fracturing considering stress sensitivity. Sci. Technol. Eng. 2017, 17, 35–40. (In Chinese) [Google Scholar]
  19. Liang, H. Exploration of prediction methods for final gas release radius of fractured gas wells in low-permeability gas reservoirs in the Great Ox Lands. China Pet. Chem. Stand. Qual. 2017, 19, 29–30. (In Chinese) [Google Scholar]
  20. Wang, S. Method for determining horizontal well drainage range in plane heterogeneous fluvial reservoir. Sci. Technol. Eng. 2021, 21, 6677–6680. (In Chinese) [Google Scholar]
  21. Zhu, W.; Liu, Y.; Li, Z.; Yue, M.; Kong, D. Study on pressure propagation in tight oil reservoirs with stimulated reservoir volume development. ACS Omega 2021, 6, 2589–2600. [Google Scholar] [CrossRef]
  22. Yue, M.; Jia, M.; Dai, K.; Zhu, W.; Song, H. Well Pattern Optimization for Gas Reservoir Compressed Air Energy Storage Considering Multi Factor Constraints. SSRN 2025. [Google Scholar] [CrossRef]
  23. Karjahov, F.I. Physical Fundamentals of the Oil Formation; Petroleum Industry Press: Beijing, China, 1958. [Google Scholar]
  24. Liu, J.; Song, H.; Zhu, W.; An, Y.; Zhang, M. Calculation and Analysis of Effective Drive Radius with the Consideration of non Homogeneity in Low Permeability Reservoir Thickness. J. Daqing Pet. Inst. 2011, 35, 68–72+119. (In Chinese) [Google Scholar]
  25. Liu, Y.; Ma, K.; Liu, Z.; Zhang, J.; Ren, X. Study of Critical Drainage Radius of Horizontal Wells in Heavy Oil Reservoir. J. Chongqing Univ. Sci. Technol. (Nat. Sci. Ed.) 2012, 14, 55–56+60. (In Chinese) [Google Scholar]
  26. Liu, C. Production capacity of horizontal wells and analytical formulas for well test. Oil Gas Well Test. 1995, 1, 45–49. (In Chinese) [Google Scholar]
  27. Chu, H.; Chen, Z.; Liao, X.; Zhao, X.; Lee, W.J. Pressure transient analysis of a multi-horizontal-well pad by a semi-analytical model: Methodology and case study. J. Pet. Sci. Eng. 2022, 208, 109538. [Google Scholar] [CrossRef]
  28. Alpak, F.O.; Jin, L.; Ramirez, B.A. Robust optimisation of well placement in geologically complex reservoirs. Int. J. Pet. Eng. 2016, 2, 247–264. [Google Scholar] [CrossRef]
Figure 1. Technology roadmap.
Figure 1. Technology roadmap.
Energies 18 05953 g001
Figure 2. Schematic diagram of the division of seepage areas around the vertical well of the gas reservoir type compressed air energy storage.
Figure 2. Schematic diagram of the division of seepage areas around the vertical well of the gas reservoir type compressed air energy storage.
Energies 18 05953 g002
Figure 3. Schematic diagram of the division of seepage areas around horizontal wells in gas reservoir-type compressed air energy storage.
Figure 3. Schematic diagram of the division of seepage areas around horizontal wells in gas reservoir-type compressed air energy storage.
Energies 18 05953 g003
Figure 4. Pressure distribution curve when there is no interference between the two wells.
Figure 4. Pressure distribution curve when there is no interference between the two wells.
Energies 18 05953 g004
Figure 5. Relationship between air mass flow and power generation.
Figure 5. Relationship between air mass flow and power generation.
Energies 18 05953 g005
Figure 6. Distribution of gas wells in gas reservoirs.
Figure 6. Distribution of gas wells in gas reservoirs.
Energies 18 05953 g006
Figure 7. Well selection and well layout optimization flow chart.
Figure 7. Well selection and well layout optimization flow chart.
Energies 18 05953 g007
Figure 8. Relationship between production pressure difference and production capacity when considering different influencing factors.
Figure 8. Relationship between production pressure difference and production capacity when considering different influencing factors.
Energies 18 05953 g008
Figure 9. Relationship between production pressure difference and production capacity at different initial permeability.
Figure 9. Relationship between production pressure difference and production capacity at different initial permeability.
Energies 18 05953 g009
Figure 10. Relationship between production pressure difference and production capacity when permeability parameter a is different.
Figure 10. Relationship between production pressure difference and production capacity when permeability parameter a is different.
Energies 18 05953 g010
Figure 11. Relationship between production pressure difference and production capacity when permeability parameter b is different.
Figure 11. Relationship between production pressure difference and production capacity when permeability parameter b is different.
Energies 18 05953 g011
Figure 12. Relationship between production pressure difference and production capacity at different porosity.
Figure 12. Relationship between production pressure difference and production capacity at different porosity.
Energies 18 05953 g012
Figure 13. Relationship between non-Darcy seepage radius and production pressure difference.
Figure 13. Relationship between non-Darcy seepage radius and production pressure difference.
Energies 18 05953 g013
Figure 14. Pressure distribution diagram.
Figure 14. Pressure distribution diagram.
Energies 18 05953 g014
Figure 15. Relationship curve between well pattern optimization function and reservoir heterogeneity under different production pressure differences.
Figure 15. Relationship curve between well pattern optimization function and reservoir heterogeneity under different production pressure differences.
Energies 18 05953 g015
Figure 16. Relationship between well pattern optimization function and production pressure difference under different reservoir heterogeneity.
Figure 16. Relationship between well pattern optimization function and production pressure difference under different reservoir heterogeneity.
Energies 18 05953 g016
Figure 17. Relationship curve between optimal production pressure difference and reservoir heterogeneity.
Figure 17. Relationship curve between optimal production pressure difference and reservoir heterogeneity.
Energies 18 05953 g017
Figure 18. Relationship between optimization function and number of horizontal wells.
Figure 18. Relationship between optimization function and number of horizontal wells.
Energies 18 05953 g018
Table 1. Proportional coefficient table under different pressure ratios.
Table 1. Proportional coefficient table under different pressure ratios.
Rc λ
703.62
653.51
603.41
553.31
503.21
453.08
Table 2. Basic parameters of depleted gas reservoirs in Mabei 8 block.
Table 2. Basic parameters of depleted gas reservoirs in Mabei 8 block.
NameSymbolSize
Formation temperature T 333   K
Porosity φ 0.23
Reservoir thickness h 10   m
Permeability parameters aa 2 × 10 13
Permeability parameters bb 1.4 × 10 3
Boundary pressure p e 10 13 a   M P
Enclosed area S 0 2 5   k m 2
Critical pressure gradient threshold ε 10 6
Table 3. Basic parameters of compressed air.
Table 3. Basic parameters of compressed air.
NameSymbolSize
Compression factor Z 0.89
Viscosity μ 2 × 10 2   m P a · s
Reynolds number R e 0.2
Molar mass M a i r 28.96   g / m o l
Relative density γ 1
Universal gas constant R 8.314   J / ( m o l · K )
Pressure ratio R c 70
density ρ g 30   k g / m 3
Table 4. Basic parameters of production gas wells.
Table 4. Basic parameters of production gas wells.
NameSymbolSize
Well effective radius r w 0.1   m
Horizontal well half length c 150   m
Costs of each vertical well C 1 2 ¥
Costs of each horizontal well C 2 3 ¥
Pressure differential variable cost C 3 2.5   ¥ / M P a 2
Table 5. Comparison of capacity calculation results from different models.
Table 5. Comparison of capacity calculation results from different models.
Data SourceVertical Well ProductivityHorizontal Well ProductivityError
Field data27 × 104 m3/d18 × 104 m3/d
The productivity calculation model in this paper26.62 × 104 m3/d17.87 × 104 m3/d1.40%, 0.72%
Traditional Darcy productivity calculation model20.56 × 104 m3/d13.70 × 104 m3/d23.85%, 23.89%
Table 6. Relationship between number of horizontal wells N and number of vertical wells M.
Table 6. Relationship between number of horizontal wells N and number of vertical wells M.
NM
030
127
225
323
421
520
618
716
814
912
109
117
125
Disclaimer/Publisher’s Note: The statements, opinions and data contained in all publications are solely those of the individual author(s) and contributor(s) and not of MDPI and/or the editor(s). MDPI and/or the editor(s) disclaim responsibility for any injury to people or property resulting from any ideas, methods, instructions or products referred to in the content.

Share and Cite

MDPI and ACS Style

Yue, M.; Wei, C.; Jia, M.; Dai, K.; Zhu, W.; Song, H. Well Pattern Optimization for Gas Reservoir Compressed Air Energy Storage Considering Multifactor Constraints. Energies 2025, 18, 5953. https://doi.org/10.3390/en18225953

AMA Style

Yue M, Wei C, Jia M, Dai K, Zhu W, Song H. Well Pattern Optimization for Gas Reservoir Compressed Air Energy Storage Considering Multifactor Constraints. Energies. 2025; 18(22):5953. https://doi.org/10.3390/en18225953

Chicago/Turabian Style

Yue, Ming, Chaoran Wei, Mingqi Jia, Kun Dai, Weiyao Zhu, and Hongqing Song. 2025. "Well Pattern Optimization for Gas Reservoir Compressed Air Energy Storage Considering Multifactor Constraints" Energies 18, no. 22: 5953. https://doi.org/10.3390/en18225953

APA Style

Yue, M., Wei, C., Jia, M., Dai, K., Zhu, W., & Song, H. (2025). Well Pattern Optimization for Gas Reservoir Compressed Air Energy Storage Considering Multifactor Constraints. Energies, 18(22), 5953. https://doi.org/10.3390/en18225953

Note that from the first issue of 2016, this journal uses article numbers instead of page numbers. See further details here.

Article Metrics

Back to TopTop